Joint Detection and Reconstruction of Weak Spectral Lines under Non-Gaussian Impulsive Noise with Deep Learning
Abstract
1. Introduction
2. Proposed Framework and Training
2.1. Detection-and-Reconstruction Algorithm
2.1.1. Data Preprocessing
2.1.2. DRNet Structure
2.1.3. Adaptive Weighted Loss Function Based on Dual Classification
2.1.4. DRNet-Based Spectral-Line-Detection Algorithm
Offline Training
Online Detection
2.2. Training Process
3. Simulation Analysis
3.1. Datasets
3.2. Evaluation Metrics
3.3. Performance Analysis and Discussion
3.3.1. Necessity of AINP
3.3.2. Network-Structure Analysis
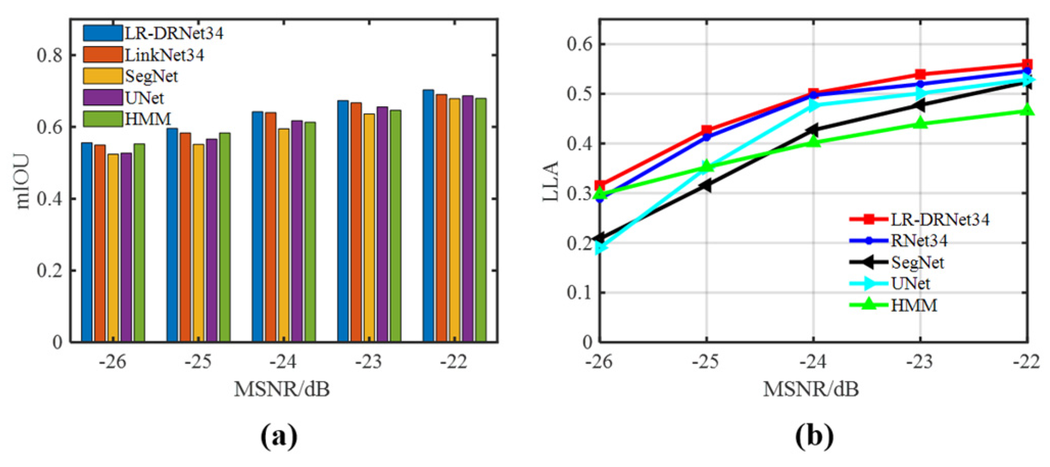
3.3.3. Detection and Reconstruction Performance Evaluation
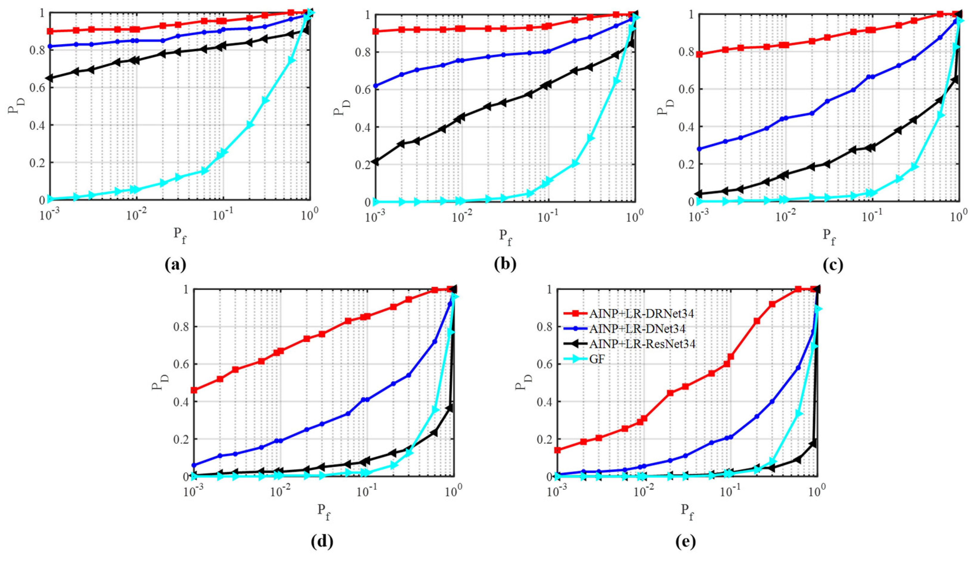
3.3.4. Comparison with Existing Methods
4. Experimental Data Analysis
4.1. Reconstruction of Weak Single Spectral Line from Strong Background Noise
4.2. Weak Multiple-Spectral-Line Reconstruction against Strong Interference Background
4.3. Detection Performances with Two Real-World Data
5. Conclusions
Author Contributions
Funding
Data Availability Statement
Conflicts of Interest
References
- Li, Q.; Li, M.; Yang, X. The detection of single frequency component of underwater radiated noise of target: Theoretical analysis. Acta Acust. 2008, 33, 193–196. [Google Scholar]
- Cohen, L. Time-frequency distributions—A review. Proc. IEEE 1989, 77, 941–981. [Google Scholar] [CrossRef]
- Yu, G.; Yang, T.C.; Piao, S. Estimating the delay-Doppler of target echo in a high clutter underwater environment using wideband linear chirp signals: Evaluation of performance with experimental data. J. Acoust. Soc. Am. 2017, 142, 2047–2057. [Google Scholar] [CrossRef] [PubMed]
- Abel, J.S.; Lee, H.J.; Lowell, A.P. An image processing approach to frequency tracking (application to sonar data). In Proceedings of the ICASSP-92: 1992 IEEE International Conference on Acoustics, Speech, and Signal Processing, San Francisco, CA, USA, 23–26 March 1992; IEEE: Piscataway, NJ, USA, 1992; Volume 2, pp. 561–564. [Google Scholar]
- Gillespie, D. Detection and classification of right whale calls using an ‘edge’ detector operating on a smoothed spectrogram. Can. Acoust. 2004, 32, 39–47. [Google Scholar]
- Khotanzad, A.; Lu, J.H.; Srinath, M.D. Target detection using a neural network based passive sonar system. In Proceedings of the International Joint Conference on Neural Networks, Washington, DC, USA, 18–22 June 1989; Volume 1, pp. 335–440. [Google Scholar]
- Leeming, N. Artificial neural nets to detect lines in noise. In Proceedings of the International Conference on Acoustic Sensing and Imaging, London, UK, 29–30 March 1993; IET: London, UK, 1993; pp. 147–152. [Google Scholar]
- Izacard, G.; Bernstein, B.; Fernandez-Granda, C. A learning-based framework for line-spectra super-resolution. In Proceedings of the ICASSP 2019—2019 IEEE International Conference on Acoustics, Speech and Signal Processing (ICASSP), Brighton, UK, 12–17 May 2019; IEEE: Piscataway, NJ, USA, 2019; pp. 3632–3636. [Google Scholar]
- Izacard, G.; Mohan, S.; Fernandez-Granda, C. Data-driven estimation of sinusoid frequencies. In Advances in Neural Information Processing Systems; MIT Press: Cambridge, MA, USA, 2019; Volume 32. [Google Scholar]
- Jiang, Y.; Li, H.; Rangaswamy, M. Deep learning denoising based line spectral estimation. IEEE Signal Process. Lett. 2019, 26, 1573–1577. [Google Scholar] [CrossRef]
- Jiang, Y.; Zhang, T.; Zhang, W. Model-Based Neural Network and Its Application to Line Spectral Estimation. arXiv 2022, arXiv:2202.06485. [Google Scholar]
- Han, Y.; Li, Y.; Liu, Q. DeepLofargram: A deep learning based fluctuating dim frequency line detection and recovery. J. Acoust. Soc. Am. 2020, 148, 2182–2194. [Google Scholar] [CrossRef]
- Paris, S.; Jauffret, C. Frequency line tracking using hmm-based schemes [passive sonar]. IEEE Trans. Aerosp. Electron. Syst. 2003, 39, 439–449. [Google Scholar] [CrossRef]
- Luo, X.; Shen, Z. A sensing and tracking algorithm for multiple frequency line components in underwater acoustic signals. Sensors 2019, 19, 4866. [Google Scholar] [CrossRef]
- Nikias, C.L.; Shao, M. Signal Processing with Alpha-Stable Distributions and Applications; Wiley-Interscience: Hoboken, NJ, USA, 1995. [Google Scholar]
- Webster, R.J. A random number generator for ocean noise statistics. IEEE J. Ocean. Eng. 1994, 19, 134–137. [Google Scholar] [CrossRef]
- Traverso, F.; Vernazza, G.; Trucco, A. Simulation of non-white and non-Gaussian underwater ambient noise. In Proceedings of the 2012 Oceans-Yeosu, Yeosu, Republic of Korea, 21–24 May 2012; IEEE: Piscataway, NJ, USA, 2012; pp. 1–10. [Google Scholar]
- Song, G.; Guo, X.; Li, H. The α stable distribution model in ocean ambient noise. Chin. J. Acoust. 2021, 40, 63–79. [Google Scholar]
- Wang, J.; Li, J.; Yan, S. A novel underwater acoustic signal denoising algorithm for Gaussian/non-Gaussian impulsive noise. IEEE Trans. Veh. Technol. 2020, 70, 429–445. [Google Scholar] [CrossRef]
- Vijaykumar, V.R.; Mari, G.S.; Ebenezer, D. Fast switching based median–mean filter for high density salt and pepper noise removal. AEU Int. J. Electron. Commun. 2014, 68, 1145–1155. [Google Scholar] [CrossRef]
- Sheela, C.J.J.; Suganthi, G. An efficient denoising of impulse noise from MRI using adaptive switching modified decision based unsymmetric trimmed median filter. Biomed. Signal Process. Control 2020, 55, 101657. [Google Scholar] [CrossRef]
- Chanu, P.R.; Singh, K.M. A two-stage switching vector median filter based on quaternion for removing impulse noise in color images. Multimed. Tools Appl. 2019, 78, 15375–15401. [Google Scholar] [CrossRef]
- Barazideh, R.; Sun, W.; Natarajan, B.; Nikitin, A.V.; Wang, Z. Impulsive noise mitigation in underwater acoustic communication systems: Experimental studies. In Proceedings of the 2019 IEEE 9th Annual Computing and Communication Workshop and Conference (CCWC), Las Vegas, NV, USA, 7–9 January 2019; IEEE: Piscataway, NJ, USA, 2019; pp. 880–885. [Google Scholar]
- Ronneberger, O.; Fischer, P.; Brox, T. U-net: Convolutional networks for biomedical image segmentation. In Medical Image Computing and Computer-Assisted Intervention–MICCAI 2015, Proceedings of the 18th International Conference, Munich, Germany, 5–9 October 2015; Part III 18; Springer International Publishing: Berlin/Heidelberg, Germany, 2015; pp. 234–241. [Google Scholar]
- Badrinarayanan, V.; Kendall, A.; Cipolla, R. Segnet: A deep convolutional encoder-decoder architecture for image segmentation. IEEE Trans. Pattern Anal. Mach. Intell. 2017, 39, 2481–2495. [Google Scholar] [CrossRef] [PubMed]
- Chaurasia, A.; Culurciello, E. Linknet: Exploiting encoder representations for efficient semantic segmentation. In Proceedings of the 2017 IEEE Visual Communications and Image Processing (VCIP), St. Petersburg, FL, USA, 10–13 December 2017; IEEE: Piscataway, NJ, USA, 2017; pp. 1–4. [Google Scholar]
- Hu, J.; Shen, L.; Sun, G. Squeeze-and-excitation networks. In Proceedings of the IEEE Conference on Computer Vision and Pattern Recognition, Salt Lake City, UT, USA, 18–23 June 2018; pp. 7132–7141. [Google Scholar]
- Kendall, A.; Gal, Y.; Cipolla, R. Multi-task learning using uncertainty to weigh losses for scene geometry and semantics. In Proceedings of the IEEE Conference on Computer Vision and Pattern Recognition, Salt Lake City, UT, USA, 18–23 June 2018; pp. 7482–7491. [Google Scholar]
- Liu, C.; Wang, J.; Liu, X. Deep CM-CNN for spectrum sensing in cognitive radio. IEEE J. Sel. Areas Commun. 2019, 37, 2306–2321. [Google Scholar] [CrossRef]
- Kingma, D.P.; Ba, J. Adam: A method for stochastic optimization. arXiv 2014, arXiv:1412.6980. [Google Scholar]
- Glorot, X.; Bengio, Y. Understanding the difficulty of training deep feedforward neural networks. In Proceedings of the Thirteenth International Conference on Artificial Intelligence and Statistics, Sardinia, Italy, 13–15 May 2010; JMLR Workshop and Conference Proceedings. pp. 249–256. [Google Scholar]
- Goyal, P.; Dollár, P.; Girshick, R. Accurate, large minibatch sgd: Training imagenet in 1 hour. arXiv 2017, arXiv:1706.02677. [Google Scholar]
- Loshchilov, I.; Hutter, F. Sgdr: Stochastic gradient descent with warm restarts. arXiv 2016, arXiv:1608.03983. [Google Scholar]
- Samorodnitsky, G.; Taqqu, M.S.; Linde, R.W. Stable non-gaussian random processes: Stochastic models with infinite variance. Bull. Lond. Math. Soc. 1996, 28, 554–555. [Google Scholar]
- Koutrouvelis, I.A. An iterative procedure for the estimation of the parameters of stable laws: An iterative procedure for the estimation. Commun. Stat-Simul. Comput. 1981, 10, 17–28. [Google Scholar] [CrossRef]
- Garcia-Garcia, A.; Orts-Escolano, S.; Oprea, S. A review on deep learning techniques applied to semantic segmentation. arXiv 2017, arXiv:1704.06857. [Google Scholar]
- Lampert, T.A.; O’Keefe, S.E.M. A survey of spectrogram track detection algorithms. Appl. Acoust. 2010, 71, 87–100. [Google Scholar] [CrossRef]
- He, K.; Zhang, X.; Ren, S. Deep residual learning for image recognition. In Proceedings of the IEEE Conference on Computer Vision and Pattern Recognition, Las Vegas, NV, USA, 27–30 June 2016; pp. 770–778. [Google Scholar]
- Luo, J.; Wang, S.; Zhang, E. Signal detection based on a decreasing exponential function in alpha-stable distributed noise. KSII Trans. Internet Inf. Syst. TIIS 2018, 12, 269–286. [Google Scholar]




















| Methods | MSNR/dB | ||||
|---|---|---|---|---|---|
| −22 | −23 | −24 | −25 | −26 | |
| AINP+HMM | 0.5566 | 0.5383 | 0.5236 | 0.5047 | 0.4841 |
| AINP+SegNet | 0.6584 | 0.5909 | 0.5301 | 0.5027 | 0.4917 |
| AINP+UNet | 0.6719 | 0.6205 | 0.5660 | 0.5205 | 0.4991 |
| AINP+RNet34 | 0.6881 | 0.6655 | 0.6300 | 0.5833 | 0.5305 |
| AINP+LR-DRNet34 | 0.6932 | 0.6688 | 0.6316 | 0.5905 | 0.5387 |
| Methods | MSNR/dB | ||||
|---|---|---|---|---|---|
| −22 | −23 | −24 | −25 | −26 | |
| AINP+HMM | 0.3985 | 0.3599 | 0.3277 | 0.2840 | 0.2336 |
| AINP+SegNet | 0.5527 | 0.4182 | 0.1916 | 0.0734 | 0.0246 |
| AINP+UNet | 0.5757 | 0.5169 | 0.3406 | 0.1416 | 0.0499 |
| AINP+RNet34 | 0.5859 | 0.5774 | 0.5221 | 0.4328 | 0.2118 |
| AINP+LR-DRNet34 | 0.5950 | 0.5783 | 0.5373 | 0.4424 | 0.2777 |
| Methods | An Experiment in July 2021 | An Experiment in September 2021 | ||
|---|---|---|---|---|
| GF | 2.21% | 62.03% | 5.93% | 22.79% |
| AINP+LR-DNet34 | 11.0% | 89.47% | 14.83% | 76.47% |
| AINP+LR-DRNet34 | 2.21% | 94.73% | 5.93% | 94.79% |
Disclaimer/Publisher’s Note: The statements, opinions and data contained in all publications are solely those of the individual author(s) and contributor(s) and not of MDPI and/or the editor(s). MDPI and/or the editor(s) disclaim responsibility for any injury to people or property resulting from any ideas, methods, instructions or products referred to in the content. |
© 2023 by the authors. Licensee MDPI, Basel, Switzerland. This article is an open access article distributed under the terms and conditions of the Creative Commons Attribution (CC BY) license (https://creativecommons.org/licenses/by/4.0/).
Share and Cite
Li, Z.; Guo, J.; Wang, X. Joint Detection and Reconstruction of Weak Spectral Lines under Non-Gaussian Impulsive Noise with Deep Learning. Remote Sens. 2023, 15, 3268. https://doi.org/10.3390/rs15133268
Li Z, Guo J, Wang X. Joint Detection and Reconstruction of Weak Spectral Lines under Non-Gaussian Impulsive Noise with Deep Learning. Remote Sensing. 2023; 15(13):3268. https://doi.org/10.3390/rs15133268
Chicago/Turabian StyleLi, Zhen, Junyuan Guo, and Xiaohan Wang. 2023. "Joint Detection and Reconstruction of Weak Spectral Lines under Non-Gaussian Impulsive Noise with Deep Learning" Remote Sensing 15, no. 13: 3268. https://doi.org/10.3390/rs15133268
APA StyleLi, Z., Guo, J., & Wang, X. (2023). Joint Detection and Reconstruction of Weak Spectral Lines under Non-Gaussian Impulsive Noise with Deep Learning. Remote Sensing, 15(13), 3268. https://doi.org/10.3390/rs15133268

