Precipitation Microphysics of Locally-Originated Typhoons in the South China Sea Based on GPM Satellite Observations
Abstract
1. Introduction
2. Data and Methods
2.1. Disdrometer Observations
2.2. GPM Observations
3. Results
3.1. Weather Situation Analysis
3.2. Ground Validation for GPM
3.3. Analysis of Precipitation Microphysics
3.3.1. Case Analysis of Typhoon Ewiniar (2018)
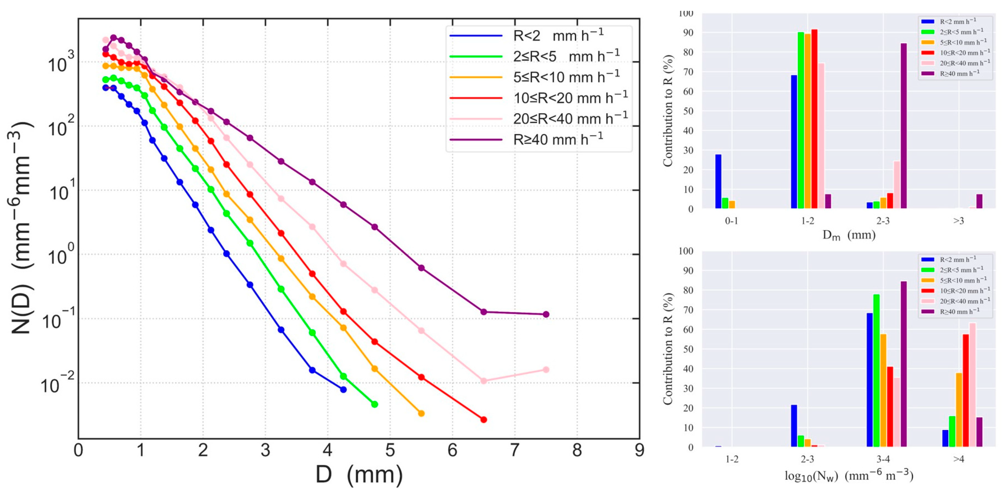
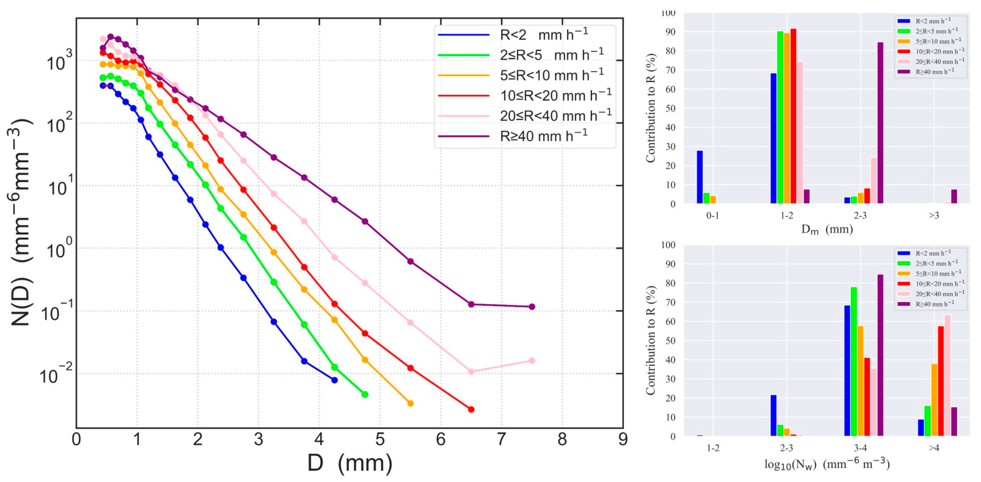
3.3.2. Statistical Analysis of Locally-Originated Typhoons in the SCS
4. Discussion
5. Conclusions
- (1)
- The typhoon genesis in the SCS is closely related to the monsoon trough or the easterly wave, and the southwest monsoon provides an important water vapor supply for the growth of typhoons in the SCS. Compared with the typhoons in the WP, the typhoons in the SCS are farther away from the subtropical high, leading to weak steering flow and slow moving speed in their initial stage. As the SCS typhoon moves northward, it is jointly affected by the continental high, the WP subtropical high, and the westerly trough, resulting in complex track.
- (2)
- The applicability of GPM satellite in the SCS is evaluated against ground-based OTT disdrometer measurements. It is suggested that the deviations of GPM-retrieved dBZ, Dm and Nw for R ≥ 10 mm h−1 (R < 10 mm h−1) are −0.94% (−2.41%), −6.53% (1.22%) and 2.63 (−4.81%), respectively. This indicates that the performance of GPM precipitation retrieval algorithm in the SCS is overall satisfying but needs to be improved in its retrieval of rain rates.
- (3)
- The eyewall and spiral rainbands of Typhoon Ewiniar (2018) in the SCS are found to be highly asymmetric. In the eyewall, the updraft is strong, the coalescence process of particles is distinct, and the precipitation is mainly concentrated in large raindrops. In the outer rainbands, the “bright-band” of melting layer is distinct, the melting of ice particles and the evaporation of raindrops are obvious, and there exist a few large raindrops in the precipitation.
- (4)
- Compared with the WP, the typhoon heavy precipitation in the SCS is composed of a higher concentration of smaller raindrops, which is more “oceanic deep convective”. Compared with the NIO, the typhoon heavy precipitation in the SCS is both larger in drop size and number concentration, which contains more abundant raindrops. In addition, with the increase in typhoon intensity over the SCS, heavy precipitation tends to develop towards “oceanic shallow convective”. For weak precipitation, the LWP of the SCS typhoons is higher than that of the NIO typhoons, while the IWP of the SCS typhoons is lower than that of the WP typhoons. For heavy precipitation, the LWP and IWP of the SCS typhoons are significantly higher than those of the WP typhoons and the NIO typhoons.
Author Contributions
Funding
Data Availability Statement
Conflicts of Interest
References
- Morton, B.; Blackmore, G. South China Sea. Mar. Pollut. Bull. 2001, 42, 1236–1263. [Google Scholar] [CrossRef] [PubMed]
- Wu, Z.; Zhang, Y.; Zhang, L.; Zheng, H. Improving the WRF forecast of landfalling tropical cyclones over the Asia-Pacific region by constraining the cloud microphysics model with GPM observations. Geophys. Res. Lett. 2022, 49, 2022GL100053. [Google Scholar] [CrossRef]
- Zhang, Y.; Wu, Z.; Zhang, L.; Zheng, H. A comparison of spectral bin microphysics versus bulk parameterization in forecasting Typhoon In-Fa (2021) before, during, and after its landfall. Remote Sens. 2022, 14, 2169. [Google Scholar] [CrossRef]
- Wu, Z.; Zhang, Y.; Xie, Y.; Zhang, L.; Zheng, H. Radiance-based assessment of bulk microphysics models with seven hydrometeor species in forecasting Super-typhoon Lekima (2019) near landfall. Atmos. Res. 2022, 273, 106173. [Google Scholar] [CrossRef]
- Tokay, A.; Bashor, P.; Habib, E.; Kasparis, T. Raindrop size distribution measurements in tropical cyclones. Mon. Weather Rev. 2008, 136, 1669–1685. [Google Scholar] [CrossRef]
- Chang, W.; Wang, T.; Lin, P. Characteristics of the raindrop size distribution and drop shape relation in typhoon systems in the western Pacific from the 2D video disdrometer and NCU C-band polarimetric radar. J. Atmos. Ocean. Technol. 2009, 26, 1973–1993. [Google Scholar] [CrossRef]
- Wen, L.; Zhao, K.; Chen, G.; Wang, M.; Zhou, B.; Huang, H.; Hu, D.; Lee, W.; Hu, H. Drop size distribution characteristics of seven typhoons in China. J. Geophys. Res. Atmos. 2018, 123, 6529–6548. [Google Scholar] [CrossRef]
- Bao, X.; Wu, L.; Tang, B.; Ma, L.; Wu, D.; Tang, J.; Chen, H.; Wu, L. Variable Raindrop Size Distributions in Different Rainbands Associated With Typhoon Fitow (2013). J. Geophys. Res. Atmos. 2019, 124, 12262–12281. [Google Scholar] [CrossRef]
- Seela, B.; Janapati, J.; Lin, P.; Lee, M. An insight into the microphysical attributes of northwest Pacific tropical cyclones. Sci. Rep. 2023, 13, 4432. [Google Scholar] [CrossRef]
- Lyu, J.; Xiao, H.; Du, Y.; Sha, L.; Deng, Y.; Jia, W.; Niu, S.; Zhou, Y.; Pang, G. Variations of Raindrop size distribution and radar retrieval in outer rainbands of typhoon Mangkhut (2018). J. Meteorol. Res. 2022, 36, 500–519. [Google Scholar] [CrossRef]
- May, P.; Kepert, J.; Keenan, T. Polarimetric radar observations of the persistently asymmetric structure of Tropical Cyclone Ingrid. Mon. Weather Rev. 2008, 136, 616–630. [Google Scholar] [CrossRef]
- Wang, M.; Zhao, K.; Xue, M.; Zhang, G.; Liu, S.; Wen, L.; Chen, G. Precipitation microphysics characteristics of a typhoon Matmo (2014) rainband after landfall over eastern China based on polarimetric radar observations. J. Geophys. Res. Atmos. 2016, 121, 12415–12433. [Google Scholar] [CrossRef]
- Wu, D.; Zhao, K.; Kumjian, M.; Chen, X.; Huang, H.; Wang, M.; Didlake, A.C., Jr.; Duan, Y.; Zhang, F. Kinematics and microphysics of convection in the outer rainband of Typhoon Nida (2016) revealed by polarimetric radar. Mon. Weather Rev. 2018, 146, 2147–2159. [Google Scholar] [CrossRef]
- Didlake, A.; Kumjian, M. Examining storm aymmetries in hurricane Irma (2017) using polarimetric radar observations. Geophys. Res. Lett. 2018, 45, 13513–13522. [Google Scholar] [CrossRef]
- Brauer, N.; Basara, J.; Kirstetter, P.; Wakefield, R.; Homeyer, C.; Yoo, J.; Shephers, M.; Santanello, J.A., Jr. The inland maintenance and reintensification of tropical storm Bill (2015). Part II: Precipitation microphysics. J. Hydrometeorol. 2021, 22, 2695–2711. [Google Scholar]
- Huang, H.; Zhao, K.; Fu, P.; Chen, H.; Chen, G.; Zhang, Y. Validation of precipitation measurements from the dual-frequency precipitation radar onboard the GPM core observatory using a polarimetric radar in South China. IEEE Trans. Geosci. Remote Sens. 2022, 60, 4104216. [Google Scholar] [CrossRef]
- Zheng, H.; Zhang, Y.; Zhang, L.; Lei, H.; Wu, Z. Precipitation microphysical processes in the inner rainband of tropical cyclone Kajiki (2019) over the South China Sea revealed by polarimetric Radar. Adv. Atmos. Sci. 2021, 38, 65–80. [Google Scholar] [CrossRef]
- Feng, L.; Xiao, H.; Liu, X.; Hu, S.; Li, H.; Xiao, L.; Hao, X. Precipitation microphysical characteristics of typhoon Ewiniar (2018) before and after its final landfall over southern China. Adv. Atmos. Sci. 2023, 40, 1005–1020. [Google Scholar] [CrossRef]
- Huang, H.; Chen, F. Precipitation microphysics of tropical cyclones over the western North Pacific based on GPM DPR observations: A preliminary analysis. J. Geophys. Res. Atmos. 2019, 124, 3124–3142. [Google Scholar] [CrossRef]
- Wu, Z.; Huang, Y.; Zhang, Y.; Zhang, L.; Lei, H.; Zheng, H. Precipitation characteristics of typhoon Lekima (2019) at landfall revealed by joint observations from GPM satellite and S-band radar. Atmos. Res. 2021, 260, 105714. [Google Scholar] [CrossRef]
- Wu, Z.; Zhang, Y.; Zhang, L.; Zheng, H.; Huang, X. A comparison of convective and stratiform precipitation microphysics of the record-breaking Typhoon In-Fa (2021). Remote Sens. 2022, 14, 344. [Google Scholar] [CrossRef]
- Zhang, A.; Chen, Y.; Pan, X.; Hu, Y.; Chen, S.; Li, W. Precipitation microphysics of tropical cyclones over Northeast China in 2020. Remote Sens. 2022, 14, 2188. [Google Scholar] [CrossRef]
- Kumar, K.; Das, S.; Deshpande, S. Pandithurai G. Regional variability of precipitation characteristics in tropical cyclones over the North Indian Ocean from GPM-DPR measurements. Atmos. Res. 2023, 283, 106568. [Google Scholar] [CrossRef]
- Battaglia, A.; Rustemeier, E.; Tokay, A.; Blahak, U.; Simmer, C. PARSIVEL snow observations: A critical assessment. J. Atmos. Ocean. Technol. 2010, 27, 333–344. [Google Scholar] [CrossRef]
- Wu, Z.; Zhang, Y.; Zhang, L.; Lei, H.; Xie, Y.; Wen, L.; Yang, J. Characteristics of summer season raindrop size distribution in three typical regions of western Pacific. J. Geophys. Res. Atmos. 2019, 124, 4054–4073. [Google Scholar] [CrossRef]
- Iguchi, T.; Seto, S.; Meneghini, R.; Yoshida, N.; Awaka, J.; Le, M.; Chandrasekar, V.; Brodzik, S.; Kubota, T. GPM/DPR Level-2 Algorithm Theoretical Basis Document; NASA Goddard Space Flight Center: Greenbelt, MD, USA, 2021. [Google Scholar]
- Tokay, A.; Short, D. Evidence from tropical raindrop spectra of the origin of rain from stratiform versus convective clouds. J. Appl. Meteorol. Clim. 1996, 35, 355–371. [Google Scholar] [CrossRef]
- Ying, M.; Zhang, W.; Yu, H.; Lu, X.; Feng, J.; Fan, Y.; Zhu, Y.; Chen, D. An overview of the China Meteorological Administration tropical cyclone database. J. Atmos. Ocean. Technol. 2014, 31, 287–301. [Google Scholar] [CrossRef]
- Lu, X.; Yu, H.; Ying, M.; Zhao, B.; Zhang, S.; Lin, L.; Bai, L.; Wan, R. Western North Pacific tropical cyclone database created by the China Meteorological Administration. Adv. Atmos. Sci. 2021, 38, 690–699. [Google Scholar] [CrossRef]
- Fujiwara, S. The natural tendency towards symmetry of motion and its application as a principle in meteorology. Q. J. R. Meteorol. Soc. 1921, 47, 287–293. [Google Scholar] [CrossRef]
- Wu, Z.; Zhang, Y.; Zhang, L.; Hao, X.; Lei, H.; Zheng, H. Validation of GPM precipitation products by comparison with ground-based Parsivel disdrometers over Jianghuai region. Water 2019, 11, 1260. [Google Scholar] [CrossRef]
- Ryu, J.; Song, H.; Sohn, B.; Liu, C. Global distribution of three types of drop size distribution representing heavy rainfall from GPM/ DPR measurements. Geophys. Res. Lett. 2021, 48, e2020GL090871. [Google Scholar] [CrossRef]
- Bringi, V.; Chandrasekar, V.; Hubbert, J.; Gorgucci, E.; Randeu, W.; Schoenhuber, M. Raindrop size distribution in different climatic regimes from disdrometer and dual-polarized radar analysis. J. Atmos. Sci. 2003, 60, 354–365. [Google Scholar] [CrossRef]
- Subrahmanyam, K.V.; Kumar, K.K.; Tourville, N.D. CloudSat Observations of Three-Dimensional Distribution of Cloud Types in Tropical Cyclones. IEEE J. Sel. Top. Appl. Earth Obs. Remote Sens. 2018, 11, 339–344. [Google Scholar] [CrossRef]








| Rain Rate (mm h−1) | GPM Sample Quantity | OTT Sample Quantity | NB (%) of Ze | NB (%) of R | NB (%) of Dm | NB (%) of Nw |
|---|---|---|---|---|---|---|
| R ≥ 10 | 365 | 273 | −0.94 | −16.21 | −6.53 | 2.63 |
| R < 10 | 3708 | 2118 | −2.41 | −24.24 | 1.22 | −4.81 |
Disclaimer/Publisher’s Note: The statements, opinions and data contained in all publications are solely those of the individual author(s) and contributor(s) and not of MDPI and/or the editor(s). MDPI and/or the editor(s) disclaim responsibility for any injury to people or property resulting from any ideas, methods, instructions or products referred to in the content. |
© 2023 by the authors. Licensee MDPI, Basel, Switzerland. This article is an open access article distributed under the terms and conditions of the Creative Commons Attribution (CC BY) license (https://creativecommons.org/licenses/by/4.0/).
Share and Cite
Huang, X.; Wu, Z.; Xie, Y.; Zhang, Y.; Zhang, L.; Zheng, H.; Xiao, W. Precipitation Microphysics of Locally-Originated Typhoons in the South China Sea Based on GPM Satellite Observations. Remote Sens. 2023, 15, 2657. https://doi.org/10.3390/rs15102657
Huang X, Wu Z, Xie Y, Zhang Y, Zhang L, Zheng H, Xiao W. Precipitation Microphysics of Locally-Originated Typhoons in the South China Sea Based on GPM Satellite Observations. Remote Sensing. 2023; 15(10):2657. https://doi.org/10.3390/rs15102657
Chicago/Turabian StyleHuang, Xingtao, Zuhang Wu, Yanqiong Xie, Yun Zhang, Lifeng Zhang, Hepeng Zheng, and Wupeng Xiao. 2023. "Precipitation Microphysics of Locally-Originated Typhoons in the South China Sea Based on GPM Satellite Observations" Remote Sensing 15, no. 10: 2657. https://doi.org/10.3390/rs15102657
APA StyleHuang, X., Wu, Z., Xie, Y., Zhang, Y., Zhang, L., Zheng, H., & Xiao, W. (2023). Precipitation Microphysics of Locally-Originated Typhoons in the South China Sea Based on GPM Satellite Observations. Remote Sensing, 15(10), 2657. https://doi.org/10.3390/rs15102657

