Contrasting Forest Loss and Gain Patterns in Subtropical China Detected Using an Integrated LandTrendr and Machine-Learning Method
Abstract
:1. Introduction
2. Materials and Methods
2.1. Study Region
2.2. Data Sources and Descriptions
2.2.1. Satellite Data and Preprocessing
2.2.2. Training and Validation Sampling Data
2.2.3. Other Data Sources
2.3. Data Processing
2.3.1. Extraction of Forests
2.3.2. LandTrendr Algorithm and Implementation
2.3.3. Secondary Classification Using the RF Method
2.3.4. Post-Processing and Accuracy Assessment
3. Results
3.1. Spatiotemporal Patterns in Forest Loss Area
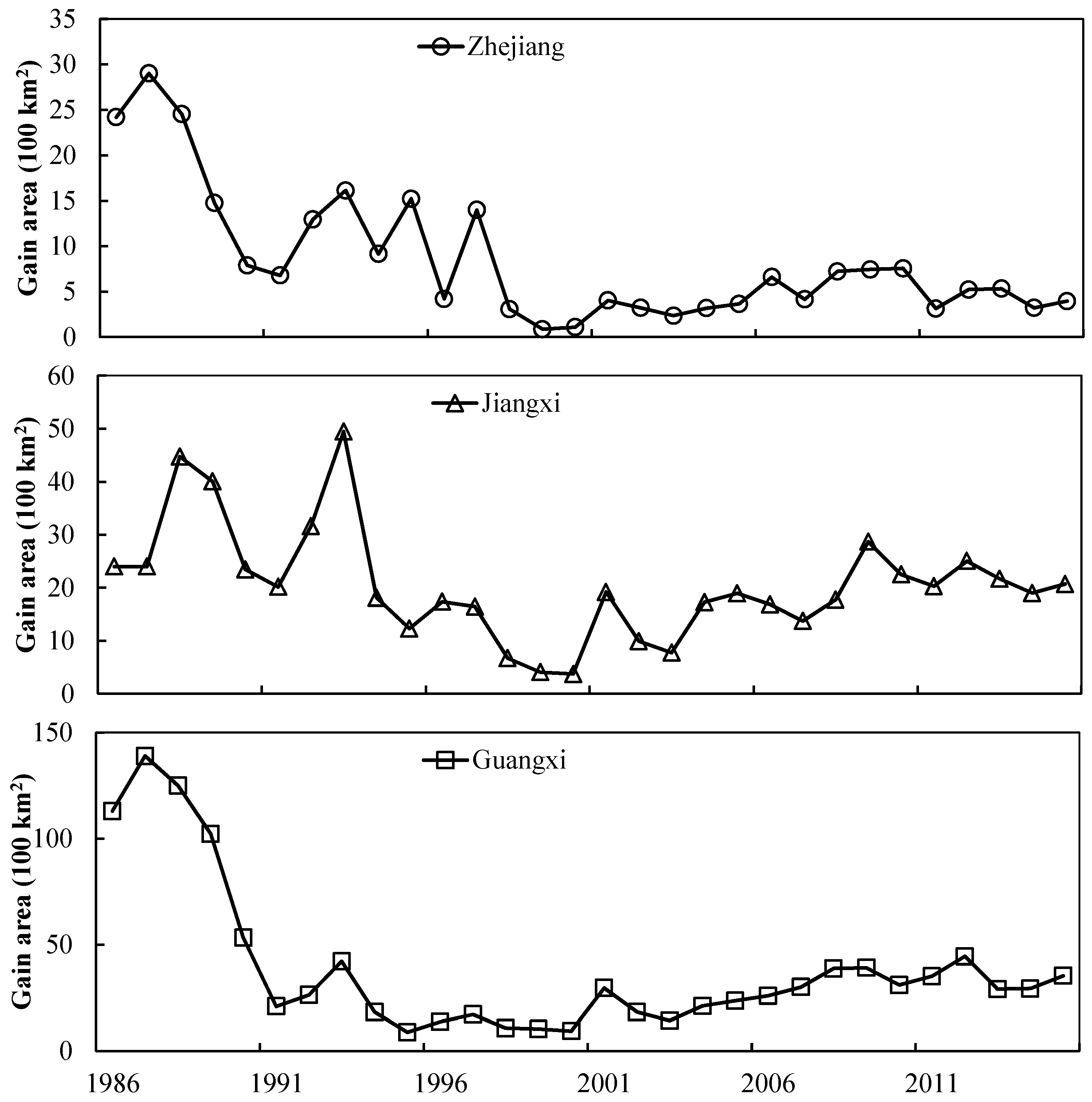
3.2. Spatiotemporal Patterns in Forest Gain Area
3.3. Impacts of Forest Policies and Elevation on Forest Loss and Gain
4. Discussion
4.1. Comparisons with Other Data Sources
4.2. Forestry Policies and Forest Loss and Gain Area
4.3. Forestry Economy and Forest Loss
4.4. Uncertainty and Outlook
5. Conclusions
Author Contributions
Funding
Data Availability Statement
Acknowledgments
Conflicts of Interest
References
- Chen, C.; Park, T.; Wang, X.; Piao, S.; Xu, B.; Chaturvedi, R.K.; Fuchs, R.; Brovkin, V.; Ciais, P.; Fensholt, R. China and india lead in greening of the world through land-use management. Nat. Sustain. 2019, 2, 122–129. [Google Scholar] [CrossRef] [PubMed]
- Zhu, Z.; Piao, S.; Myneni, R.B.; Huang, M.; Zeng, Z.; Canadell, J.G.; Ciais, P.; Sitch, S.; Friedlingstein, P.; Arneth, A. Greening of the earth and its drivers. Nat. Clim. Chang. 2016, 6, 791–795. [Google Scholar] [CrossRef]
- Lu, F.; Hu, H.F.; Sun, W.J.; Zhu, J.J.; Liu, G.B.; Zhou, W.M.; Zhang, Q.F.; Shi, P.L.; Liu, X.P.; Wu, X.; et al. Effects of national ecological restoration projects on carbon sequestration in China from 2001 to 2010. Proc. Natl. Acad. Sci. USA 2018, 115, 4039–4044. [Google Scholar] [CrossRef] [Green Version]
- Hyde, W.F.; Yin, R.S. 40 years of China’s forest reforms: Summary and outlook. For. Policy Econ. 2019, 98, 90–95. [Google Scholar] [CrossRef]
- Liu, C.; Wang, S.; Liu, H.; Zhu, W. Why did the 1980s’ reform of collective forestland tenure in southern China fail? For. Policy Econ. 2017, 83, 131–141. [Google Scholar] [CrossRef]
- Pan, D.; Chen, H.; Kong, F. The evolution of forestry policies since 1949: An quantitative analysis based on 283 texts of forest-related normative policy documents. China Rural Econ. 2019, 7, 20. [Google Scholar]
- Zhang, D.W. China’s forest expansion in the last three plus decades: Why and how? For. Policy Econ. 2019, 98, 75–81. [Google Scholar] [CrossRef]
- Hyde, W.F. The experience of China’s forest reforms: What they mean for China and what they suggest for the world. For. Policy Econ. 2019, 98, 1–7. [Google Scholar] [CrossRef]
- Wang, X.; Yang, F.; Gao, X.; Wang, W.; Zha, X. Evaluation of forest damaged area and severity caused by ice-snow frozen disasters over southern China with remote sensing. Chin. Geogr. Sci. 2019, 29, 405–416. [Google Scholar] [CrossRef] [Green Version]
- Xu, C. Forest management in China from data of eight forest resources inventories. For. Econ. 2014, 36, 8–11. [Google Scholar]
- Zeng, W.; Tomppo, E.; Healey, S.P.; Gadow, K.V. The national forest inventory in China: History-results-international context. For. Ecosyst. 2015, 2, 23. [Google Scholar] [CrossRef] [Green Version]
- Liu, W.; Guo, Z.; Lu, F.; Wang, X.; Zhang, M.; Liu, B.; Wei, Y.; Cui, L.; Luo, Y.; Zhang, L.; et al. The influence of disturbance and conservation management on the greenhouse gas budgets of China’s forests. J. Clean. Prod. 2020, 261, 121000. [Google Scholar] [CrossRef]
- Zhang, X.; Wu, S.; Ning, Y. An analysis on China’s institutional change of collective forest tenure system and its economic motivation. J. Beijing For. Univ. (Soc. Sci.) 2015, 14, 57–63. [Google Scholar]
- Xu, J. China’s new forests aren’t as green as they seem. Nature 2011, 477, 371. [Google Scholar] [CrossRef] [PubMed] [Green Version]
- Sun, X.; Xu, J. On the efficiency of China’s timber market from the perspective of market integration. China Rural Econ. 2005, 6, 9. [Google Scholar]
- Hua, J.; Chen, G.; Yu, L.; Ye, Q.; Jiao, H.; Luo, X. Improved mapping of long-term forest disturbance and recovery dynamics in the subtropical China using all available landsat time-series imagery on google earth engine platform. J. Sel. Top. Appl. Earth Obs. Remote Sens. 2021, 14, 2754–2768. [Google Scholar] [CrossRef]
- Shen, W.; Li, M. Mapping disturbance and recovery of plantation forests in southern China using yearly landsat time series observations. Acta Ecol. Sin. 2017, 37, 1438–1449. [Google Scholar]
- Cohen, W.B.; Healey, S.P.; Yang, Z.; Zhu, Z.; Gorelick, N. Diversity of algorithm and spectral band inputs improves landsat monitoring of forest disturbance. Remote Sens. 2020, 12, 1673. [Google Scholar] [CrossRef]
- Li, Y.; Sulla-Menashe, D.; Motesharrei, S.; Song, X.P.; Kalnay, E.; Ying, Q.; Li, S.C.; Ma, Z.W. Inconsistent estimates of forest cover change in China between 2000 and 2013 from multiple datasets: Differences in parameters, spatial resolution, and definitions. Sci. Rep. 2017, 7, 8748. [Google Scholar] [CrossRef] [Green Version]
- Xu, Y.; Yu, L.; Peng, D.; Zhao, J.; Cheng, Y.; Liu, X.; Li, W.; Meng, R.; Xu, X.; Gong, P. Annual 30-m land use/land cover maps of China for 1980–2015 from the integration of avhrr, modis and landsat data using the bfast algorithm. Sci. China Earth Sci. 2020, 63, 1390–1407. [Google Scholar] [CrossRef]
- Yang, J.; Huang, X. The 30 m annual land cover dataset and its dynamics in China from 1990 to 2019. Earth Syst. Sci. Data 2021, 13, 3907–3925. [Google Scholar] [CrossRef]
- Cohen, W.B.; Yang, Z.; Stehman, S.V.; Schroeder, T.A.; Bell, D.M.; Masek, J.G.; Huang, C.; Meigs, G.W. Management. Forest disturbance across the conterminous united states from 1985–2012: The emerging dominance of forest decline. For. Ecol. Manag. 2016, 360, 242–252. [Google Scholar] [CrossRef]
- Hansen, M.C.; Potapov, P.V.; Moore, R.; Hancher, M.; Turubanova, S.A.; Tyukavina, A.; Thau, D.; Stehman, S.V.; Goetz, S.J.; Loveland, T.R. High-resolution global maps of 21st-century forest cover change. Science 2013, 342, 850–853. [Google Scholar] [CrossRef] [Green Version]
- Huang, C.; Goward, S.N.; Schleeweis, K.; Thomas, N.; Masek, J.G.; Zhu, Z. Dynamics of national forests assessed using the landsat record: Case studies in eastern united states. Remote Sens. Environ. 2009, 113, 1430–1442. [Google Scholar] [CrossRef]
- Masek, J.G.; Goward, S.N.; Kennedy, R.E.; Cohen, W.B.; Moisen, G.G.; Schleeweis, K.; Huang, C. United states forest disturbance trends observed using landsat time series. Ecosystems 2013, 16, 1087–1104. [Google Scholar] [CrossRef] [Green Version]
- DeVries, B.; Verbesselt, J.; Kooistra, L.; Herold, M. Robust monitoring of small-scale forest disturbances in a tropical montane forest using landsat time series. Remote Sens. Environ. 2015, 161, 107–121. [Google Scholar] [CrossRef]
- Huang, C.; Goward, S.N.; Masek, J.G.; Thomas, N.; Zhu, Z.; Vogelmann, J.E. An automated approach for reconstructing recent forest disturbance history using dense landsat time series stacks. Remote Sens. Environ. 2010, 114, 183–198. [Google Scholar] [CrossRef]
- Kennedy, R.E.; Cohen, W.B.; Schroeder, T.A. Trajectory-based change detection for automated characterization of forest disturbance dynamics. Remote Sens. Environ. 2007, 110, 370–386. [Google Scholar] [CrossRef]
- Vogelmann, J.E.; Gallant, A.L.; Shi, H.; Zhu, Z. Perspectives on monitoring gradual change across the continuity of landsat sensors using time-series data. Remote Sens. Environ. 2016, 185, 258–270. [Google Scholar] [CrossRef] [Green Version]
- DeVries, B.; Decuyper, M.; Verbesselt, J.; Zeileis, A.; Herold, M.; Joseph, S. Tracking disturbance-regrowth dynamics in tropical forests using structural change detection and landsat time series. Remote Sens. Environ. 2015, 169, 320–334. [Google Scholar] [CrossRef]
- Kennedy, R.E.; Yang, Z.; Cohen, W.B. Detecting trends in forest disturbance and recovery using yearly landsat time series: 1. Landtrendr—temporal segmentation algorithms. Remote Sens. Environ. 2010, 114, 2897–2910. [Google Scholar] [CrossRef]
- Zhu, Z.; Woodcock, C.E. Continuous change detection and classification of land cover using all available landsat data. Remote Sens. Environ. 2014, 144, 152–171. [Google Scholar] [CrossRef] [Green Version]
- Zhu, Z.; Zhang, J.; Yang, Z.; Aljaddani, A.H.; Cohen, W.B.; Qiu, S.; Zhou, C. Continuous monitoring of land disturbance based on landsat time series. Remote Sens. Environ. 2020, 238, 111116. [Google Scholar] [CrossRef]
- Cohen, W.B.; Yang, Z.; Kennedy, R. Detecting trends in forest disturbance and recovery using yearly landsat time series: 2. Timesync—tools for calibration and validation. Remote Sens. Environ. 2010, 114, 2911–2924. [Google Scholar] [CrossRef]
- Cohen, W.B.; Yang, Z.; Healey, S.P.; Kennedy, R.E.; Gorelick, N. A landtrendr multispectral ensemble for forest disturbance detection. Remote Sens. Environ. 2018, 205, 131–140. [Google Scholar] [CrossRef]
- Nguyen, T.H.; Jones, S.D.; Soto-Berelov, M.; Haywood, A.; Hislop, S. A spatial and temporal analysis of forest dynamics using landsat time-series. Remote Sens. Environ. 2018, 217, 461–475. [Google Scholar] [CrossRef]
- Bell, D.M.; Acker, S.A.; Gregory, M.J.; Davis, R.J.; Garcia, B.A. Quantifying regional trends in large live tree and snag availability in support of forest management. For. Ecol. Manag. 2021, 479, 118554. [Google Scholar] [CrossRef]
- Shimizu, K.; Saito, H. Country-wide mapping of harvest areas and post-harvest forest recovery using landsat time series data in japan. Int. J. Appl. Earth Obs. Geoinf. 2021, 104, 102555. [Google Scholar] [CrossRef]
- Diao, J.; Feng, T.; Li, M.; Zhu, Z.; Liu, J.; Biging, G.; Zheng, G.; Shen, W.; Wang, H.; Wang, J.; et al. Use of vegetation change tracker, spatial analysis, and random forest regression to assess the evolution of plantation stand age in southeast China. Ann. For. Sci. 2020, 77, 27. [Google Scholar] [CrossRef]
- Guo, X.Y. Detecting Forest Disturbance in Northeastern China Using Remote Sensing Data. Master’s Thesis, Northeast Normal University, Changchun, China, 2015. [Google Scholar]
- Liu, S.; Wei, X.; Li, D.; Lu, D. Examining forest disturbance and recovery in the subtropical forest region of zhejiang province using landsat time-series data. Remote Sens. 2017, 9, 479. [Google Scholar] [CrossRef] [Green Version]
- Zhong, L.; Chen, Y.; Wang, X. Forest disturbance monitoring based on time series of landsat data. Sci. Silvae Sin. 2020, 56, 80–88. [Google Scholar]
- Tropek, R.; Sedláček, O.; Beck, J.; Keil, P.; Musilová, Z.; Šímová, I.; Storch, D. Comment on “high-resolution global maps of 21st-century forest cover change”. Science 2014, 344, 981. [Google Scholar] [CrossRef] [PubMed] [Green Version]
- Jutras-Perreault, M.-C.; Gobakken, T.; Ørka, H.O. Comparison of two algorithms for estimating stand-level changes and change indicators in a boreal forest in norway. Int. J. Appl. Earth Obs. Geoinf. 2021, 98, 102316. [Google Scholar] [CrossRef]
- Galiatsatos, N.; Donoghue, D.N.; Watt, P.; Bholanath, P.; Pickering, J.; Hansen, M.C.; Mahmood, A.R. An assessment of global forest change datasets for national forest monitoring and reporting. Remote Sens. 2020, 12, 1790. [Google Scholar] [CrossRef]
- Bos, A.B.; De Sy, V.; Duchelle, A.E.; Herold, M.; Martius, C.; Tsendbazar, N.E. Global data and tools for local forest cover loss and redd+ performance assessment: Accuracy, uncertainty, complementarity and impact. Int. J. Appl. Earth Obs. Geoinf. 2019, 80, 295–311. [Google Scholar] [CrossRef]
- Gorelick, N.; Hancher, M.; Dixon, M.; Ilyushchenko, S.; Thau, D.; Moore, R. Google earth engine: Planetary-scale geospatial analysis for everyone. Remote Sens. Environ. 2017, 202, 18–27. [Google Scholar] [CrossRef]
- Vermote, E.; Justice, C.; Claverie, M.; Franch, B. Preliminary analysis of the performance of the landsat 8/oli land surface reflectance product. Remote Sens. Environ. 2016, 185, 46–56. [Google Scholar] [CrossRef]
- Masek, J.G.; Vermote, E.F.; Saleous, N.E.; Wolfe, R.; Hall, F.G.; Huemmrich, K.F.; Gao, F.; Kutler, J.; Lim, T.-K. A landsat surface reflectance dataset for north america, 1990–2000. IEEE Geosci. Remote Sens. Lett. 2006, 3, 68–72. [Google Scholar] [CrossRef]
- Farr, T.G.; Rosen, P.A.; Caro, E.; Crippen, R.; Duren, R.; Hensley, S.; Kobrick, M.; Paller, M.; Rodriguez, E.; Roth, L.; et al. The shuttle radar topography mission. Rev. Geophys. 2007, 45, RG2004. [Google Scholar] [CrossRef] [Green Version]
- Roy, D.P.; Kovalskyy, V.; Zhang, H.; Vermote, E.F.; Yan, L.; Kumar, S.; Egorov, A. Characterization of landsat-7 to landsat-8 reflective wavelength and normalized difference vegetation index continuity. Remote Sens. Environ. 2016, 185, 57–70. [Google Scholar] [CrossRef] [Green Version]
- Kennedy, R.; Yang, Z.; Gorelick, N.; Braaten, J.; Cavalcante, L.; Cohen, W.; Healey, S. Implementation of the landtrendr algorithm on google earth engine. Remote Sens. 2018, 10, 691. [Google Scholar] [CrossRef] [Green Version]
- Song, X.P.; Hansen, M.C.; Stehman, S.V.; Potapov, P.V.; Tyukavina, A.; Vermote, E.F.; Townshend, J.R. Global land change from 1982 to 2016. Nature 2018, 560, 639–643. [Google Scholar] [CrossRef] [PubMed]
- Velasco-Aceves, P.A.; Xu, C.-Y.; Ginzburg, R. Chaco region: Forest loss and fragmentation in the context of the territorial planning law. Remote sensing assessment in formosa, argentina application case. Glob. Ecol. Conserv. 2021, 31, e01846. [Google Scholar] [CrossRef]
- West, T.A.; Fearnside, P.M. Brazil’s conservation reform and the reduction of deforestation in amazonia. Land Use Policy 2021, 100, 105072. [Google Scholar] [CrossRef]
- Appiah, J.O.; Agyemang-Duah, W.; Sobeng, A.K.; Kpienbaareh, D. Analysing patterns of forest cover change and related land uses in the tano-offin forest reserve in ghana: Implications for forest policy and land management. Trees For. People 2021, 5, 100105. [Google Scholar] [CrossRef]
- Yin, R.; Newman, D. Impacts of rural reform: The case of the chinese forest sector. Environ. Dev. Econ. 1997, 2, 289–303. [Google Scholar] [CrossRef]
- Zhang, Y.; Uusivuori, J.; Kuuluvainen, J. Impacts of economic reform on rural forestry in China. For. Policy Econ. 2000, 1, 27–40. [Google Scholar] [CrossRef]
- Farooq, T.H.; Shakoor, A.; Wu, X.H.; Li, Y.; Rashid, M.H.U.; Zhang, X.; Gilani, M.M.; Kumar, U.; Chen, X.Y.; Yan, W.D. Perspectives of plantation forests in the sustainable forest development of China. Iforest 2021, 14, 166–174. [Google Scholar] [CrossRef]
- Wang, G.; Innes, J.L.; Lei, J.; Dai, S.; Wu, S.W. China’s forestry reforms. Science 2007, 318, 1556–1557. [Google Scholar] [CrossRef] [Green Version]
- Van Den Hoek, J.; Ozdogan, M.; Burnicki, A.; Zhu, A.X. Evaluating forest policy implementation effectiveness with a cross-scale remote sensing analysis in a priority conservation area of southwest China. Appl. Geogr. 2014, 47, 177–189. [Google Scholar] [CrossRef]
- Liu, S.L.; Xia, J. Forest harvesting restriction and forest restoration in China. For. Policy Econ. 2021, 129, 102516. [Google Scholar] [CrossRef]
- Wei, X. Current situation and problems of fast-growing and high-yielding plantation in China. For. Inventory Plan. 2010, 35, 115–118. [Google Scholar]
- Ma, H.; Li, H. Research on fast-growing and high-yielding forest in China. Issues For. Econ. 2009, 29, 1–4. [Google Scholar]
- Hu, Y.F.; Batunacun; Zhen, L.; Zhuang, D.F. Assessment of land-use and land-cover change in Guangxi, China. Sci. Rep. 2019, 9, 2189. [Google Scholar] [CrossRef] [PubMed] [Green Version]
- Schleeweis, K.G.; Moisen, G.G.; Schoroeder, T.A.; Toney, C.; Freeman, E.A.; Goward, S.N.; Huang, C.; Dungan, J.L. Us national maps attributing forest change: 1986–2010. Forests 2020, 11, 653. [Google Scholar] [CrossRef]
- Jarron, L.; Hermosilla, T.; Coops, N.; Wulder, M.; White, J.; Hobart, G.; Leckie, D. Differentiation of alternate harvesting practices using annual time series of landsat data. Forests 2017, 8, 15. [Google Scholar] [CrossRef] [Green Version]
- Coops, N.; Shang, C.; Wulder, M.; White, J.; Hermosilla, T. Change in forest condition: Characterizing non-stand replacing disturbances using time series satellite imagery. For. Ecol. Manag. 2020, 474, 118370. [Google Scholar] [CrossRef]
- Schroeder, T.A.; Schleeweis, K.G.; Moisen, G.G.; Toney, C.; Cohen, W.B.; Freeman, E.A.; Yang, Z.; Huang, C. Testing a landsat-based approach for mapping disturbance causality in us forests. Remote Sens. Environ. 2017, 195, 230–243. [Google Scholar] [CrossRef] [Green Version]
- Ceccherini, G.; Duveiller, G.; Grassi, G.; Lemoine, G.; Avitabile, V.; Pilli, R.; Cescatti, A. Abrupt increase in harvested forest area over europe after 2015. Nature 2020, 583, 72–77. [Google Scholar] [CrossRef]
















| Categories | FGV | FGT | FLV | FLT | PFV | PFT | Total |
|---|---|---|---|---|---|---|---|
| NFI | 13 | 46 | 20 | 42 | 131 | 79 | 331 |
| LFMI (Linan) | 23 | 65 | 24 | 78 | 15 | 52 | 257 |
| LFMI (Jingdezhen) | 28 | 83 | 37 | 111 | 19 | 17 | 295 |
| LFMI (Longnan) | 19 | 59 | 18 | 57 | 17 | 18 | 188 |
| LFMI (Yihuang) | 20 | 56 | 18 | 49 | 21 | 23 | 187 |
| Visual interpretation | 213 | 259 | 220 | 293 | 117 | 156 | 1258 |
| Total | 316 | 568 | 337 | 630 | 320 | 345 | 2516 |
| Law, Policies, Regulations | Timeline | Key Policies | Effects |
|---|---|---|---|
| Decision on Several Issues Concerning the Protection and Development of Forests | 1981 | The three determination policy | The private party have the right to own and manage forests |
| Forestry Law of the People’s Republic of China | 1984 | The first forestry law in China | Constraints on forest activities |
| Guidelines on Enhancing the Management of Collective Forest Resources in the South and Prohibiting of the Indiscriminate Tree Felling | 1987 | The three determination policy was found not suitable and stopped; the regulations for forest cutting quota | Enhanced forest management and protection |
| Notice on Protecting Forest Resources and Stopping deforestation, Reclamation and Indiscriminate Occupation of Forest Land | 1998 | Trial time for the NFCP | Began to protect forest resources especially natural forests |
| Regulations on Returning Farmland to Forests | 2002 | The starting time of GTGP policy | Recover forest coverage |
| Project for Fast-growing and High-yield Plantation in Key Areas (FHPKA) | 2002 | The starting time for shifting timberland base to the south | To protect natural forest resource in northern China |
| Decision on Accelerating Forestry Development | 2003 | The trial time for the collective forest tenure reform (CFTR) | Separation of ownership, contracting right and management right of collective forest land |
| Opinions on Comprehensively Promoting the Reform of Collective Forest Right System | 2008 | Fully implementation of the CFTR | The CFTR policy was found effective and thus widely applied |
| Outline of National Forest Land Protection and Utilization Plan | 2010 | The starting time for second stage of the NFCP | Full implementation of the NFCP |
| Guidelines for National Public Welfare Forests Management | 2013 | The starting classification of public welfare forests | More strict conservation for restoring forest ecological function |
| The Guidelines for the Reform of State-owned Farms | 2015 | Reform of state-owned forest farms (RSFF) | Forest farms shift from a profit-making agency to forest protection agency |
| Regulations on the Implementation of the Forestry Law of the PRC China (amendment 2016) | 2016 | Institutional guarantee for deepening forestry reform | Protect forest resource and realize ecological civilization |
| Data Sources | Change Types | Loss | Gain | Persistent | Produce Accuracy | User Accuracy | Overall Accuracy | Kappa Coefficient |
|---|---|---|---|---|---|---|---|---|
| Sampling points | Loss | 301 | 4 | 11 | 95% | 94% | 93% | 0.89 |
| Gain | 6 | 314 | 17 | 93% | 94% | |||
| Persistent | 12 | 15 | 293 | 92% | 91% | |||
| GFC product | Loss | 114 | 2 | 4 | 95% | 93% | 91% | 0.86 |
| Gain | 3 | 100 | 8 | 91% | 89% | |||
| Persistent | 5 | 12 | 103 | 86% | 90% |
Publisher’s Note: MDPI stays neutral with regard to jurisdictional claims in published maps and institutional affiliations. |
© 2022 by the authors. Licensee MDPI, Basel, Switzerland. This article is an open access article distributed under the terms and conditions of the Creative Commons Attribution (CC BY) license (https://creativecommons.org/licenses/by/4.0/).
Share and Cite
Shen, J.; Chen, G.; Hua, J.; Huang, S.; Ma, J. Contrasting Forest Loss and Gain Patterns in Subtropical China Detected Using an Integrated LandTrendr and Machine-Learning Method. Remote Sens. 2022, 14, 3238. https://doi.org/10.3390/rs14133238
Shen J, Chen G, Hua J, Huang S, Ma J. Contrasting Forest Loss and Gain Patterns in Subtropical China Detected Using an Integrated LandTrendr and Machine-Learning Method. Remote Sensing. 2022; 14(13):3238. https://doi.org/10.3390/rs14133238
Chicago/Turabian StyleShen, Jianing, Guangsheng Chen, Jianwen Hua, Sha Huang, and Jiangming Ma. 2022. "Contrasting Forest Loss and Gain Patterns in Subtropical China Detected Using an Integrated LandTrendr and Machine-Learning Method" Remote Sensing 14, no. 13: 3238. https://doi.org/10.3390/rs14133238
APA StyleShen, J., Chen, G., Hua, J., Huang, S., & Ma, J. (2022). Contrasting Forest Loss and Gain Patterns in Subtropical China Detected Using an Integrated LandTrendr and Machine-Learning Method. Remote Sensing, 14(13), 3238. https://doi.org/10.3390/rs14133238

