Comparing PlanetScope and Sentinel-2 Imagery for Mapping Mountain Pines in the Sarntal Alps, Italy
Abstract
:1. Introduction
- (i)
- To create an accurate map of the overall coverage and spatial distribution of mountain pines in the Sarntal Alps,
- (ii)
- To quantify how the spatial resolutions of open-access Sentinel-2 (10 m) and commercial PlanetScope (3 m) data influence the mapping accuracy of mountain pines,
- (iii)
- To analyze which of the features previously used for alpine vegetation classification are the most useful for the delineation of mountain pines.
2. Materials and Methods
2.1. Study Area
2.2. Data
2.2.1. PlanetScope Imagery
2.2.2. Sentinel-2 Imagery
2.2.3. LiDAR Data Derivatives
2.2.4. Reference Dataset
2.3. Methods
2.3.1. Feature Extraction
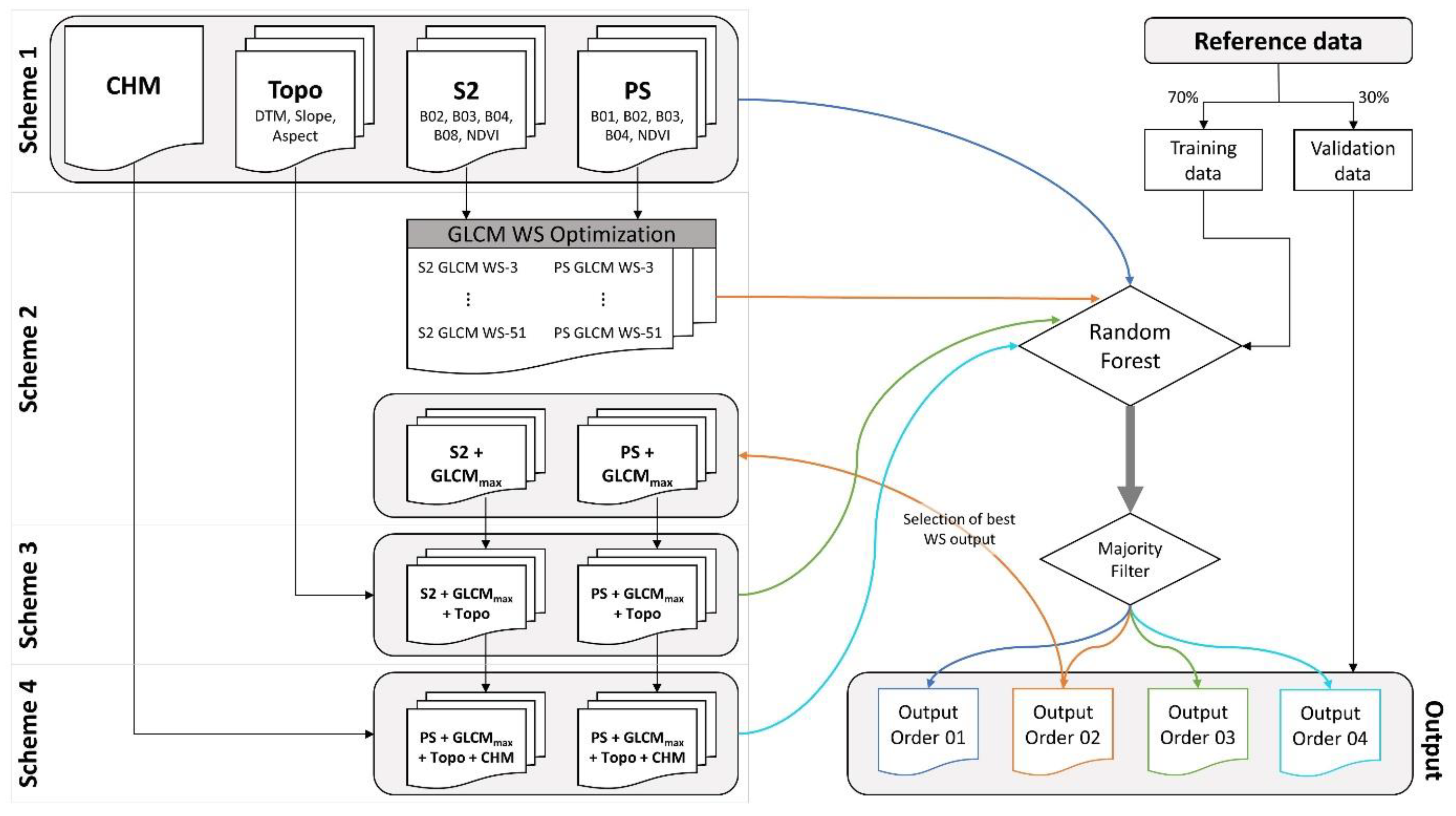
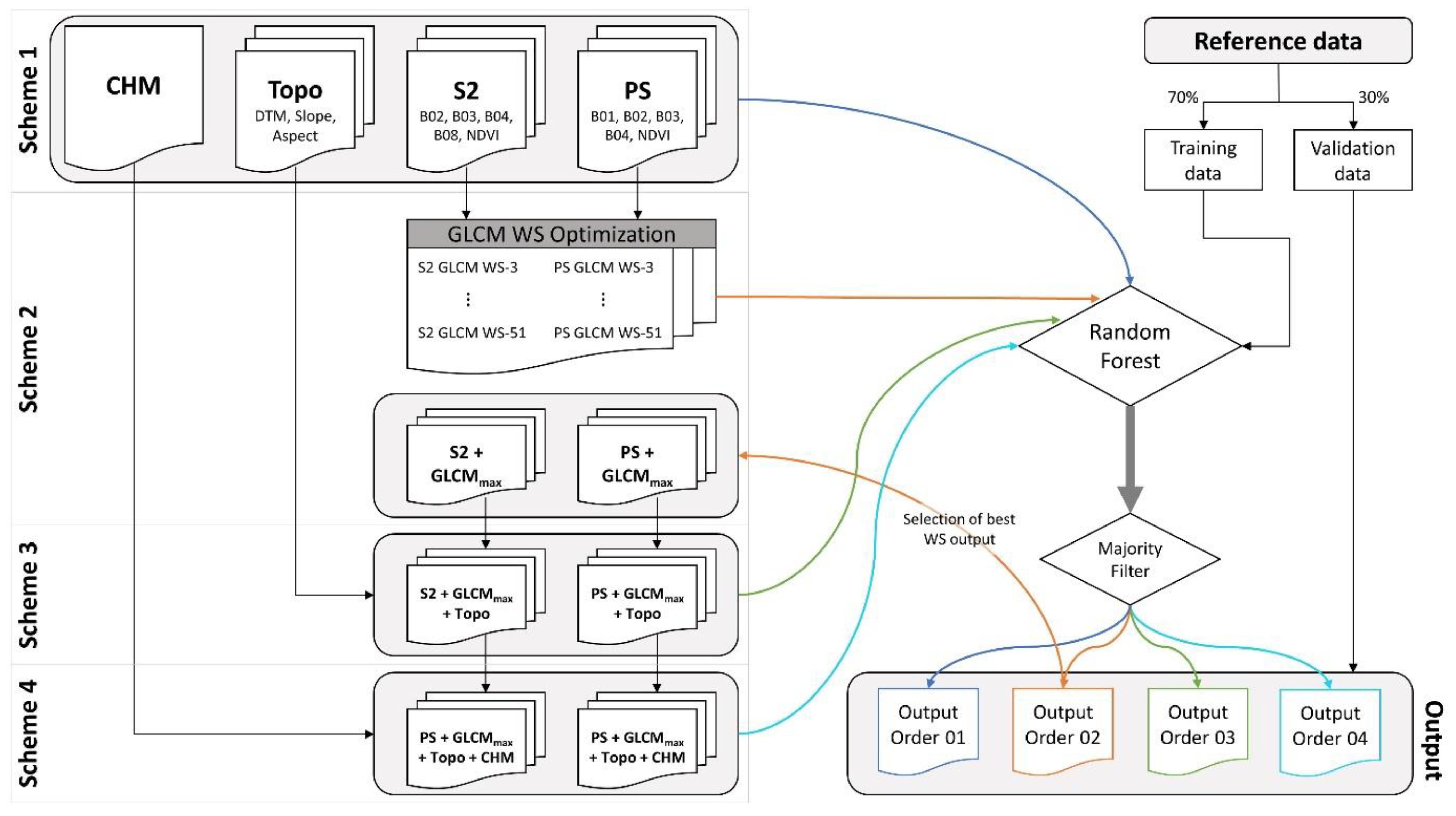
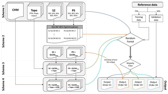
2.3.2. Feature Spaces and Classification Schemes
2.3.3. Random Forest Classification and Validation
3. Results
3.1. GLCM Window Size Optimization
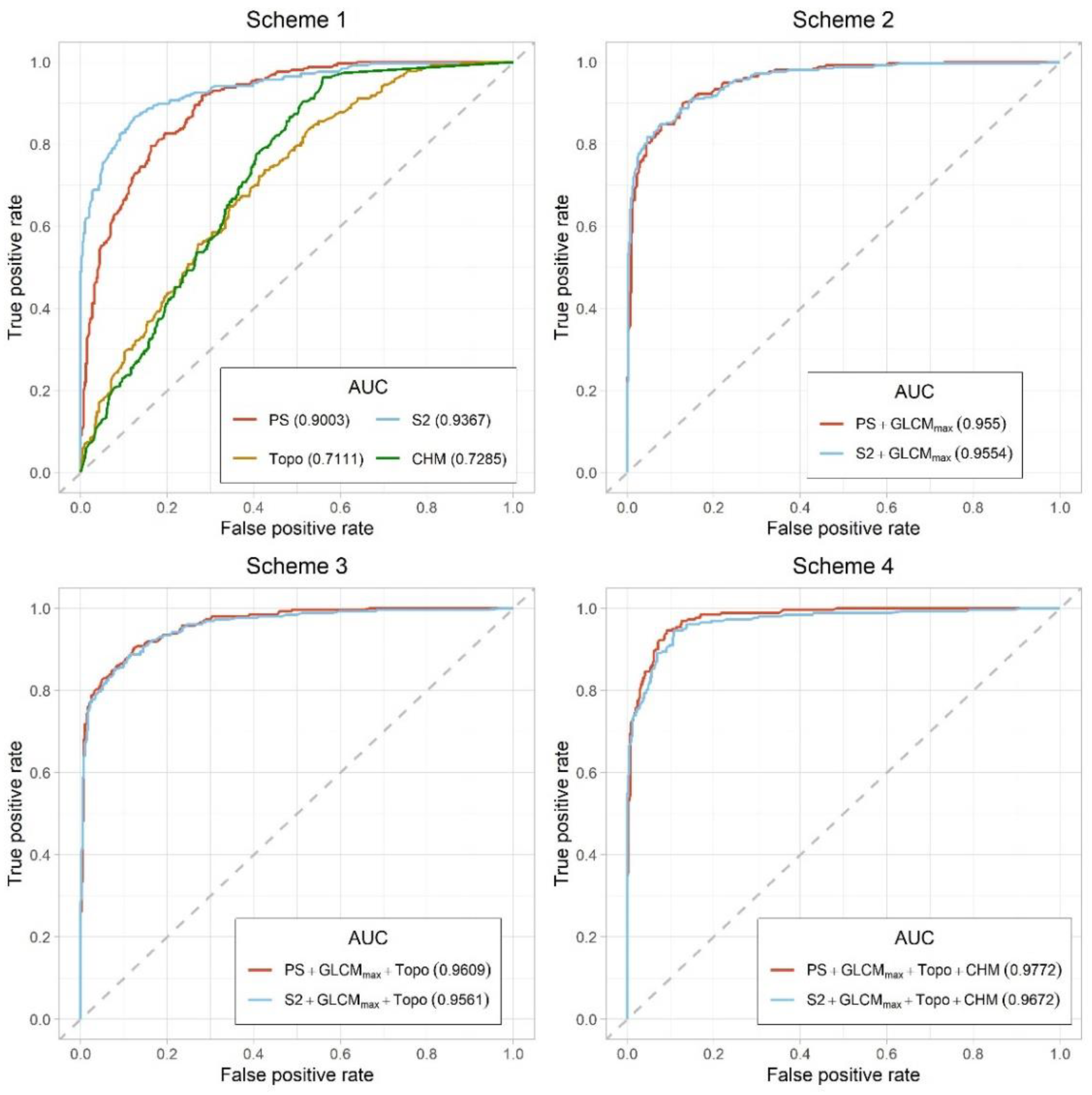
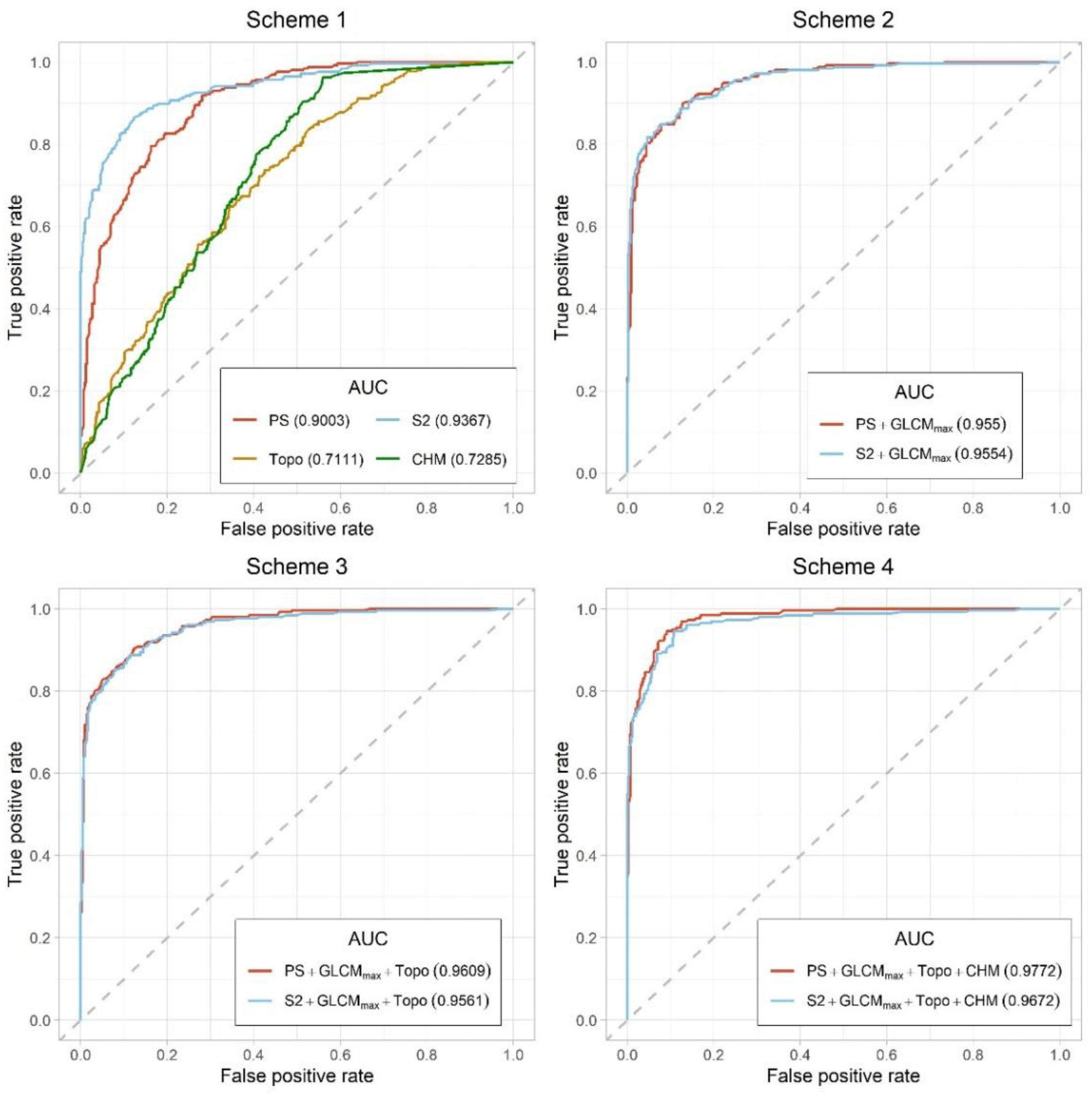
3.2. Classification Results
4. Discussion
4.1. Influence of Spatial Resolution
4.2. Feature Selection and Importance
4.3. Classification Evaluation
5. Conclusions
Author Contributions
Funding
Data Availability Statement
Acknowledgments
Conflicts of Interest
Appendix A. Confusion Matrices and Accuracy Statistics for Classification Schemes
| Reference | ||||
|---|---|---|---|---|
| Classification | Class 0 | Class 1 | Total | |
| Class 0 | 346 | 66 | 412 | |
| Class 1 | 59 | 193 | 252 | |
| Total | 405 | 259 | 664 | |
| Overall Accuracy and Kappa coefficient | ||||
| OA | Kappa | |||
| 0.8117 | 0.6024 | |||
| Class Statistics | ||||
| PA | UA | |||
| Class 0 | 0.8543 | 0.8398 | ||
| Class 1 | 0.7452 | 0.7659 | ||
| Reference | ||||
|---|---|---|---|---|
| Classification | Class 0 | Class 1 | Total | |
| Class 0 | 370 | 49 | 419 | |
| Class 1 | 36 | 208 | 244 | |
| Total | 406 | 257 | 663 | |
| Overall Accuracy and Kappa coefficient | ||||
| OA | Kappa | |||
| 0.8718 | 0.7274 | |||
| Class Statistics | ||||
| PA | UA | |||
| Class 0 | 0.9113 | 0.8831 | ||
| Class 1 | 0.8093 | 0.8525 | ||
| Reference | ||||
|---|---|---|---|---|
| Classification | Class 0 | Class 1 | Total | |
| Class 0 | 302 | 140 | 442 | |
| Class 1 | 93 | 130 | 223 | |
| Total | 395 | 270 | 665 | |
| Overall Accuracy and Kappa coefficient | ||||
| OA | Kappa | |||
| 0.6496 | 0.253 | |||
| Class Statistics | ||||
| PA | UA | |||
| Class 0 | 0.7646 | 0.6833 | ||
| Class 1 | 0.4815 | 0.5830 | ||
| Reference | ||||
|---|---|---|---|---|
| Classification | Class 0 | Class 1 | Total | |
| Class 0 | 280 | 123 | 403 | |
| Class 1 | 115 | 147 | 262 | |
| Total | 395 | 270 | 665 | |
| Overall Accuracy and Kappa coefficient | ||||
| OA | OA | Kappa | ||
| 0.6421 | 0.6421 | 0,2545 | ||
| Class Statistics | ||||
| PA | UA | |||
| Class 0 | 0.7089 | 0.6948 | ||
| Class 1 | 0.5444 | 0.5611 | ||
| Reference | ||||
|---|---|---|---|---|
| Classification | Class 0 | Class 1 | Total | |
| Class 0 | 386 | 51 | 437 | |
| Class 1 | 19 | 208 | 227 | |
| Total | 405 | 259 | 664 | |
| Overall Accuracy and Kappa coefficient | ||||
| OA | Kappa | |||
| 0.8946 | 0.7734 | |||
| Class Statistics | ||||
| PA | UA | |||
| Class 0 | 0.9531 | 0.8833 | ||
| Class 1 | 0.8031 | 0.9163 | ||
| Reference | ||||
|---|---|---|---|---|
| Classification | Class 0 | Class 1 | Total | |
| Class 0 | 387 | 47 | 434 | |
| Class 1 | 19 | 210 | 229 | |
| Total | 406 | 257 | 663 | |
| Overall Accuracy and Kappa coefficient | ||||
| OA | Kappa | |||
| 0.9005 | 0.786 | |||
| Class Statistics | ||||
| PA | UA | |||
| Class 0 | 0.9532 | 0.8917 | ||
| Class 1 | 0.8171 | 0.9170 | ||
| Reference | ||||
|---|---|---|---|---|
| Classification | Class 0 | Class 1 | Total | |
| Class 0 | 395 | 59 | 454 | |
| Class 1 | 10 | 200 | 210 | |
| Total | 405 | 259 | 664 | |
| Overall Accuracy and Kappa coefficient | ||||
| OA | Kappa | |||
| 0.8961 | 0.7739 | |||
| Class Statistics | ||||
| PA | UA | |||
| Class 0 | 0.9753 | 0.8700 | ||
| Class 1 | 0.7722 | 0.9524 | ||
| Reference | ||||
|---|---|---|---|---|
| Classification | Class 0 | Class 1 | Total | |
| Class 0 | 385 | 51 | 436 | |
| Class 1 | 21 | 206 | 227 | |
| Total | 406 | 257 | 663 | |
| Overall Accuracy and Kappa coefficient | ||||
| OA | Kappa | |||
| 0.8914 | 0.7662 | |||
| Class Statistics | ||||
| PA | UA | |||
| Class 0 | 0.9483 | 0.8830 | ||
| Class 1 | 0.8016 | 0.9075 | ||
| Reference | ||||
|---|---|---|---|---|
| Classification | Class 0 | Class 1 | Total | |
| Class 0 | 381 | 36 | 417 | |
| Class 1 | 24 | 223 | 247 | |
| Total | 405 | 259 | 664 | |
| Overall Accuracy and Kappa coefficient | ||||
| OA | Kappa | |||
| 0.9096 | 0.8085 | |||
| Class Statistics | ||||
| PA | UA | |||
| Class 0 | 0.9407 | 0.9137 | ||
| Class 1 | 0.8610 | 0.9028 | ||
| Reference | ||||
|---|---|---|---|---|
| Classification | Class 0 | Class 1 | Total | |
| Class 0 | 382 | 38 | 420 | |
| Class 1 | 24 | 219 | 243 | |
| Total | 406 | 257 | 663 | |
| Overall Accuracy and Kappa coefficient | ||||
| OA | Kappa | |||
| 0.9065 | 0.801 | |||
| Class Statistics | ||||
| PA | UA | |||
| Class 0 | 0.9409 | 0.9095 | ||
| Class 1 | 0.8521 | 0.9012 | ||
References
- Leuschner, C.; Ellenberg, H. Ecology of Central European Forests: Vegetation Ecology of Central Europe, Volume I; Springer: Cham, Switzerland, 2017; ISBN 9783319430423. [Google Scholar]
- Holtmeier, F.-K. What Does the Term “Krummholz” Really Mean? Observations with Special Reference to the Alps and the Colorado Front Range. Mt. Res. Dev. 1981, 1, 253. [Google Scholar] [CrossRef]
- Boratyńska, K.; Jasińska, A.K.; Boratyński, A. Taxonomic and geographic differentiation of Pinus mugo complex on the needle characteristics. Syst. Biodivers. 2015, 13, 581–595. [Google Scholar] [CrossRef]
- Stiegler, J.; Binder, F. Grünerle oder Latsche?—Eine Frage des Standorts. In LWF Aktuell 108: Energieholz Nutzen-Nährstoffe Bewahren; Schmidt, O., Zahner, V., Eds.; Bayrische Landesanstalt für Wald und Forstwirtschaft: Freising, Germany, 2016; pp. 54–57. [Google Scholar]
- Autonome Provinz Bozen. Waldtypisierung Südtirol Band 2: Waldgruppen, Naturräume, Glossar; 2010. Available online: https://www.provincia.bz.it/land-forstwirtschaft/wald-holz-almen/interaktive-karte.asp?publ_action=300&publ_image_id=197931 (accessed on 29 June 2022).
- Roșca, S.; Șimonca, V.; Bilașco, Ș.; Vescan, I.; Fodorean, I.; Petrea, D. The Assessment of Favourability and Spatio-Temporal Dynamics of Pinus Mugo in the Romanian Carpathians Using GIS Technology and Landsat Images. Sustainability 2019, 11, 3678. [Google Scholar] [CrossRef] [Green Version]
- Dai, L.; Palombo, C.; van Gils, H.; Rossiter, D.G.; Tognetti, R.; Luo, G. Pinus mugo Krummholz Dynamics During Concomitant Change in Pastoralism and Climate in the Central Apennines. Mt. Res. Dev. 2017, 37, 75–86. [Google Scholar] [CrossRef]
- Rujoiu-Mare, M.-R.; Olariu, B.; Mihai, B.-A.; Nistor, C.; Săvulescu, I. Land cover classification in Romanian Carpathians and Subcarpathians using multi-date Sentinel-2 remote sensing imagery. Eur. J. Remote Sens. 2017, 50, 496–508. [Google Scholar] [CrossRef] [Green Version]
- Švajda, J.; Solár, J.; Janiga, M.; Buliak, M. Dwarf Pine (Pinus mugo) and Selected Abiotic Habitat Conditions in the Western Tatra Mountains. Mt. Res. Dev. 2011, 31, 220–228. [Google Scholar] [CrossRef]
- Kovačević, J.; Cvijetinović, Ž.; Lakušić, D.; Kuzmanović, N.; Šinžar-Sekulić, J.; Mitrović, M.; Stančić, N.; Brodić, N.; Mihajlović, D. Spatio-Temporal Classification Framework for Mapping Woody Vegetation from Multi-Temporal Sentinel-2 Imagery. Remote Sens. 2020, 12, 2845. [Google Scholar] [CrossRef]
- Calabrese, V.; Carranza, M.; Evangelista, A.; Marchetti, M.; Stinca, A.; Stanisci, A. Long-Term Changes in the Composition, Ecology, and Structure of Pinus mugo Scrubs in the Apennines (Italy). Diversity 2018, 10, 70. [Google Scholar] [CrossRef] [Green Version]
- Lukasová, V.; Bucha, T.; Mareková, Ľ.; Buchholcerová, A.; Bičárová, S. Changes in the Greenness of Mountain Pine (Pinus mugo Turra) in the Subalpine Zone Related to the Winter Climate. Remote Sens. 2021, 13, 1788. [Google Scholar] [CrossRef]
- Crespi, A.; Matiu, M.; Bertoldi, G.; Petitta, M.; Zebisch, M. A high-resolution gridded dataset of daily temperature and precipitation records (1980–2018) for Trentino-South Tyrol (north-eastern Italian Alps). Earth Syst. Sci. Data 2021, 13, 2801–2818. [Google Scholar] [CrossRef]
- Gottfried, M.; Pauli, H.; Futschik, A.; Akhalkatsi, M.; Barančok, P.; Benito Alonso, J.L.; Coldea, G.; Dick, J.; Erschbamer, B.; Fernández Calzado, M.R.; et al. Continent-wide response of mountain vegetation to climate change. Nat. Clim. Chang. 2012, 2, 111–115. [Google Scholar] [CrossRef]
- Dirnböck, T.; Dullinger, S.; Grabherr, G. A regional impact assessment of climate and land-use change on alpine vegetation. J. Biogeogr. 2003, 30, 401–417. [Google Scholar] [CrossRef]
- Ballian, D.; Ravazzi, C.; de Rigo, D.; Caudullo, G. Pinus mugo in Europe: Distribution, habitat, usage and threats. In European Atlas of Forest Tree Species, 2016th ed.; San-Miguel-Ayanz, J., de Rigo, D., Caudullo, G., Durrant, T.H., Mauri, A., Eds.; Publication Office of the European Union: Luxembourg, 2016; pp. 124–125. ISBN 9789279367403. [Google Scholar]
- Petelka, J.; Plagg, B.; Säumel, I.; Zerbe, S. Traditional medicinal plants in South Tyrol (northern Italy, southern Alps): Biodiversity and use. J. Ethnobiol. Ethnomed. 2020, 16, 74. [Google Scholar] [CrossRef] [PubMed]
- Rosenvald, R.; Lõhmus, A. For what, when, and where is green-tree retention better than clear-cutting? A review of the biodiversity aspects. For. Ecol. Manag. 2008, 255, 1–15. [Google Scholar] [CrossRef]
- Bowd, E.J.; Banks, S.C.; Strong, C.L.; Lindenmayer, D.B. Long-term impacts of wildfire and logging on forest soils. Nat. Geosci. 2019, 12, 113–118. [Google Scholar] [CrossRef]
- Wakulińska, M.; Marcinkowska-Ochtyra, A. Multi-Temporal Sentinel-2 Data in Classification of Mountain Vegetation. Remote Sens. 2020, 12, 2696. [Google Scholar] [CrossRef]
- Mosca, E.; Gugerli, F.; Eckert, A.J.; Neale, D.B. Signatures of natural selection on Pinus cembra and P. mugo along elevational gradients in the Alps. Tree Genet. Genomes 2016, 12, 9. [Google Scholar] [CrossRef]
- Král, K. Classification of Current Vegetation Cover and Alpine Treeline Ecotone in the Praděd Reserve (Czech Republic), Using Remote Sensing. Mt. Res. Dev. 2009, 29, 177–183. [Google Scholar] [CrossRef]
- Kollert, A.; Bremer, M.; Löw, M.; Rutzinger, M. Exploring the potential of land surface phenology and seasonal cloud free composites of one year of Sentinel-2 imagery for tree species mapping in a mountainous region. Int. J. Appl. Earth Obs. Geoinf. 2021, 94, 102208. [Google Scholar] [CrossRef]
- Spracklen, B.D.; Spracklen, D.V. Identifying European Old-Growth Forests using Remote Sensing: A Study in the Ukrainian Carpathians. Forests 2019, 10, 127. [Google Scholar] [CrossRef] [Green Version]
- Toscani, P.; Immitzer, M.; Atzberger, C. Texturanalyse mittels diskreter Wavelet Transformation für die objektbasierte Klassifikation von Orthophotos. Photogramm. Fernerkund. Geoinf. 2013, 2, 105–121. [Google Scholar] [CrossRef]
- Rüetschi, M.; Weber, D.; Koch, T.L.; Waser, L.T.; Small, D.; Ginzler, C. Countrywide mapping of shrub forest using multi-sensor data and bias correction techniques. Int. J. Appl. Earth Obs. Geoinf. 2021, 105, 102613. [Google Scholar] [CrossRef]
- Reese, H.; Nyström, M.; Nordkvist, K.; Olsson, H. Combining airborne laser scanning data and optical satellite data for classification of alpine vegetation. Int. J. Appl. Earth Obs. Geoinf. 2014, 27, 81–90. [Google Scholar] [CrossRef]
- Polychronaki, A.; Spindler, N.; Schmidt, A.; Stoinschek, B.; Zebisch, M.; Renner, K.; Sonnenschein, R.; Notarnicola, C. Integrating RapidEye and ancillary data to map alpine habitats in South Tyrol, Italy. Int. J. Appl. Earth Obs. Geoinf. 2015, 37, 65–71. [Google Scholar] [CrossRef]
- Dalponte, M.; Bruzzone, L.; Gianelle, D. Tree species classification in the Southern Alps based on the fusion of very high geometrical resolution multispectral/hyperspectral images and LiDAR data. Remote Sens. Environ. 2012, 123, 258–270. [Google Scholar] [CrossRef]
- Vaglio Laurin, G.; Del Frate, F.; Pasolli, L.; Notarnicola, C.; Guerriero, L.; Valentini, R. Discrimination of vegetation types in alpine sites with ALOS PALSAR-, RADARSAT-2-, and lidar-derived information. Int. J. Remote Sens. 2013, 34, 6898–6913. [Google Scholar] [CrossRef]
- Wilhalm, T. Floristic Biodiversity in South Tyrol (Alto Adige). In Climate Gradients and Biodiversity in Mountains of Italy; Pedrotti, F., Ed.; Springer International Publishing: Cham, Switzerland, 2018; pp. 1–17. ISBN 9783319679679. [Google Scholar]
- Osti, L.; Goffi, G. Lifestyle of health & sustainability: The hospitality sector’s response to a new market segment. J. Hosp. Tour. Manag. 2021, 46, 360–363. [Google Scholar] [CrossRef]
- Planet Labs. PlanetScope Product Specifications. Available online: https://assets.planet.com/docs/Planet_PSScene_Imagery_Product_Spec_June_2021.pdf (accessed on 8 July 2021).
- Roy, D.P.; Huang, H.; Houborg, R.; Martins, V.S. A global analysis of the temporal availability of PlanetScope high spatial resolution multi-spectral imagery. Remote Sens. Environ. 2021, 264, 112586. [Google Scholar] [CrossRef]
- R Core Team. R: A Language and Environment for Statistical Computing; R Foundation for Statistical Computing: Wien, Austria, 2021. [Google Scholar]
- QGIS Development Team. QGIS Geographic Information System; Open Source Geospatial Foundation: Beaverton, OR, USA, 2021. [Google Scholar]
- Crane, R.G.; Anderson, M.R. Satellite discrimination of snow/cloud surfaces. Int. J. Remote Sens. 1984, 5, 213–223. [Google Scholar] [CrossRef]
- Dozier, J. Spectral signature of alpine snow cover from the landsat thematic mapper. Remote Sens. Environ. 1989, 28, 9–22. [Google Scholar] [CrossRef]
- European Space Agency. Sentinel-2 User Handbook. Available online: https://sentinel.esa.int/documents/247904/0/Sentinel-2_User_Handbook/8869acdf-fd84-43ec-ae8c-3e80a436a16c (accessed on 20 July 2021).
- Autonome Provinz Bozen. Digitales Geländemodell DTM (2.5 × 2.5m). Available online: http://daten.buergernetz.bz.it/de/dataset/modello-digitale-del-terreno-dtm-25m (accessed on 14 January 2022).
- Autonome Provinz Bozen. Orthofoto 2020. Available online: http://daten.buergernetz.bz.it/de/dataset/ortofoto-2020 (accessed on 14 January 2022).
- Tucker, C.J.; Sellers, P.J. Satellite remote sensing of primary production. Int. J. Remote Sens. 1986, 7, 1395–1416. [Google Scholar] [CrossRef]
- Marceau, D.J.; Howarth, P.J.; Dubois, J.M.; Gratton, D.J. Evaluation Of The Grey-level Co-occurrence Matrix Method For Land-cover Classification Using Spot Imagery. IEEE Trans. Geosci. Remote Sens. 1990, 28, 513–519. [Google Scholar] [CrossRef]
- Haralick, R.M.; Shanmugam, K.; Dinstein, I. Textural Features for Image Classification. IEEE Trans. Syst. Man Cybern. 1973, SMC-3, 610–621. [Google Scholar] [CrossRef] [Green Version]
- Gebejes, A.; Huertas, R. Texture characterization based on grey-level co-occurrence matrix. Proc. Conf. Inform. Manag. Sci. 2013, 2, 375–378. [Google Scholar]
- Hall-Beyer, M. Practical guidelines for choosing GLCM textures to use in landscape classification tasks over a range of moderate spatial scales. Int. J. Remote Sens. 2017, 38, 1312–1338. [Google Scholar] [CrossRef]
- Zhou, J.; Yan Guo, R.; Sun, M.; Di, T.T.; Wang, S.; Zhai, J.; Zhao, Z. The Effects of GLCM parameters on LAI estimation using texture values from Quickbird Satellite Imagery. Sci. Rep. 2017, 7, 7366. [Google Scholar] [CrossRef] [PubMed]
- Immitzer, M.; Neuwirth, M.; Böck, S.; Brenner, H.; Vuolo, F.; Atzberger, C. Optimal Input Features for Tree Species Classification in Central Europe Based on Multi-Temporal Sentinel-2 Data. Remote Sens. 2019, 11, 2599. [Google Scholar] [CrossRef] [Green Version]
- Torresani, M.; Rocchini, D.; Sonnenschein, R.; Zebisch, M.; Hauffe, H.C.; Heym, M.; Pretzsch, H.; Tonon, G. Height variation hypothesis: A new approach for estimating forest species diversity with CHM LiDAR data. Ecol. Indic. 2020, 117, 106520. [Google Scholar] [CrossRef]
- Breiman, L. Random Forests. Mach. Learn. 2001, 45, 5–32. [Google Scholar] [CrossRef] [Green Version]
- Kuhn, M. Building Predictive Models in R Using the caret Package. J. Stat. Softw. 2008, 28, 1–26. [Google Scholar] [CrossRef] [Green Version]
- Fawcett, T. An introduction to ROC analysis. Pattern Recognit. Lett. 2006, 27, 861–874. [Google Scholar] [CrossRef]
- Hoechstetter, S.; Walz, U.; Le Dang, H.; Thinh, N.X. Effects of topography and surface roughness in analyses of landscape structure—A proposal to modify the existing set of landscape metrics. Landsc. Online 2008, 3, 1–14. [Google Scholar] [CrossRef]
- Conrad, O.; Bechtel, B.; Bock, M.; Dietrich, H.; Fischer, E.; Gerlitz, L.; Wehberg, J.; Wichmann, V.; Böhner, J. System for Automated Geoscientific Analyses (SAGA) v. 2.1.4. Geosci. Model Dev. 2015, 8, 1991–2007. [Google Scholar] [CrossRef] [Green Version]
- Chhetri, P.K.; Thai, E. Remote sensing and geographic information systems techniques in studies on treeline ecotone dynamics. J. For. Res. 2019, 30, 1543–1553. [Google Scholar] [CrossRef]
- Hill, R.; Granica, K.; Smith, G.; Schardt, M. Representation of an alpine treeline ecotone in SPOT 5 HRG data. Remote Sens. Environ. 2007, 110, 458–467. [Google Scholar] [CrossRef]
- Luo, G.; Dai, L. Detection of alpine tree line change with high spatial resolution remotely sensed data. J. Appl. Remote Sens 2013, 7, 73520. [Google Scholar] [CrossRef]
- Dubayah, R.; Blair, J.B.; Goetz, S.; Fatoyinbo, L.; Hansen, M.; Healey, S.; Hofton, M.; Hurtt, G.; Kellner, J.; Luthcke, S.; et al. The Global Ecosystem Dynamics Investigation: High-resolution laser ranging of the Earth’s forests and topography. Sci. Remote Sens. 2020, 1, 100002. [Google Scholar] [CrossRef]










| Classification Schemes | Feature Spaces | Features | Number of Layers | Spatial Resolution |
|---|---|---|---|---|
| Scheme 1 | PS | Multi-temporal PlanetScope + NDVI | 20 | 3 m |
| S2 | Multi-temporal Sentinel-2 + NDVI | 20 | 10 m | |
| Topo | Elevation + slope + aspect | 3 | 3 m | |
| CHM | Canopy height model | 1 | 3 m | |
| Scheme 2 | PS + GLCMMAX | PS + GLCM statistics for optimal window size | 40 | 3 m |
| S2 + GLCMMAX | S2 + GLCM statistics for optimal window size | 40 | 10 m | |
| Scheme 3 | PS + GLCMMAX + Topo | PS + GLCM statistics for optimal window size + Topo | 43 | 3 m |
| S2 + GLCMMAX + Topo | S2 + GLCM statistics for optimal window size + Topo | 43 | 10 m | |
| Scheme 4 | PS + GLCMMAX + Topo + CHM | PS + GLCM statistics for optimal window size + Topo + CHM | 44 | 3 m |
| S2 + GLCMMAX + Topo + CHM | S2 + GLCM statistics for optimal window size + Topo + CHM | 44 | 10 m |
Publisher’s Note: MDPI stays neutral with regard to jurisdictional claims in published maps and institutional affiliations. |
© 2022 by the authors. Licensee MDPI, Basel, Switzerland. This article is an open access article distributed under the terms and conditions of the Creative Commons Attribution (CC BY) license (https://creativecommons.org/licenses/by/4.0/).
Share and Cite
Rösch, M.; Sonnenschein, R.; Buchelt, S.; Ullmann, T. Comparing PlanetScope and Sentinel-2 Imagery for Mapping Mountain Pines in the Sarntal Alps, Italy. Remote Sens. 2022, 14, 3190. https://doi.org/10.3390/rs14133190
Rösch M, Sonnenschein R, Buchelt S, Ullmann T. Comparing PlanetScope and Sentinel-2 Imagery for Mapping Mountain Pines in the Sarntal Alps, Italy. Remote Sensing. 2022; 14(13):3190. https://doi.org/10.3390/rs14133190
Chicago/Turabian StyleRösch, Moritz, Ruth Sonnenschein, Sebastian Buchelt, and Tobias Ullmann. 2022. "Comparing PlanetScope and Sentinel-2 Imagery for Mapping Mountain Pines in the Sarntal Alps, Italy" Remote Sensing 14, no. 13: 3190. https://doi.org/10.3390/rs14133190
APA StyleRösch, M., Sonnenschein, R., Buchelt, S., & Ullmann, T. (2022). Comparing PlanetScope and Sentinel-2 Imagery for Mapping Mountain Pines in the Sarntal Alps, Italy. Remote Sensing, 14(13), 3190. https://doi.org/10.3390/rs14133190

