SEVIRI Aerosol Optical Depth Validation Using AERONET and Intercomparison with MODIS in Central and Eastern Europe
Abstract
1. Introduction
2. Data and Methods
2.1. Data
2.1.1. SEVIRI AOD Retrieval Algorithm and Data
2.1.2. Ground-Based Remote Sensing Data (AERONET and Poland–AOD)
2.1.3. MODIS Data
2.2. Methods
2.2.1. Validation Methodology against Ground-Based Networks (AERONET and Poland–AOD)
≈ (AODSEVIRI − AODAERONET)/σSEVIRI
2.2.2. Intercomparison Method with MODIS Data
3. Results and Discussion
3.1. SEVIRI AOD vs. Ground-Based Networks Validation
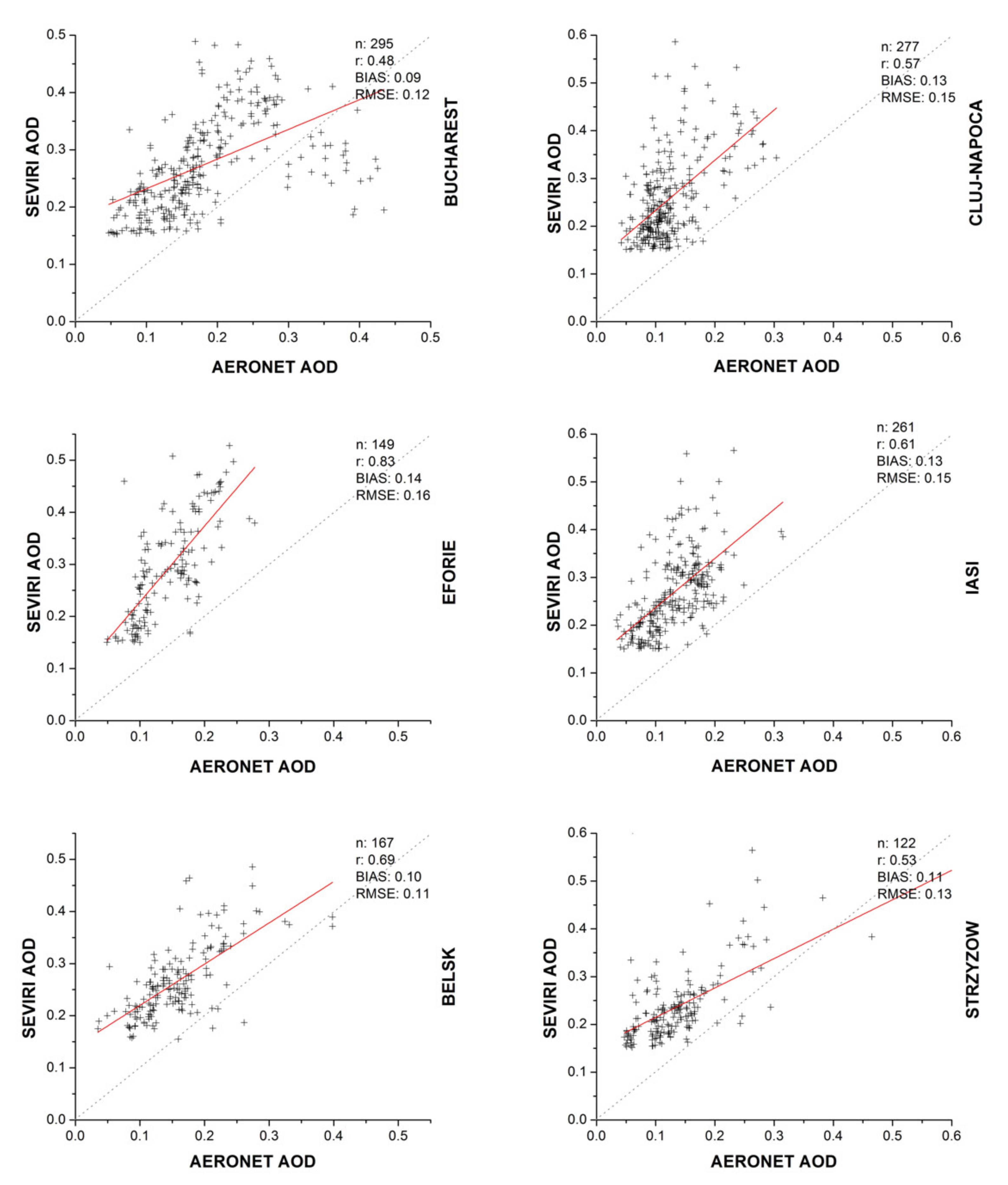
3.1.1. SEVIRI AOD vs. AERONET Network
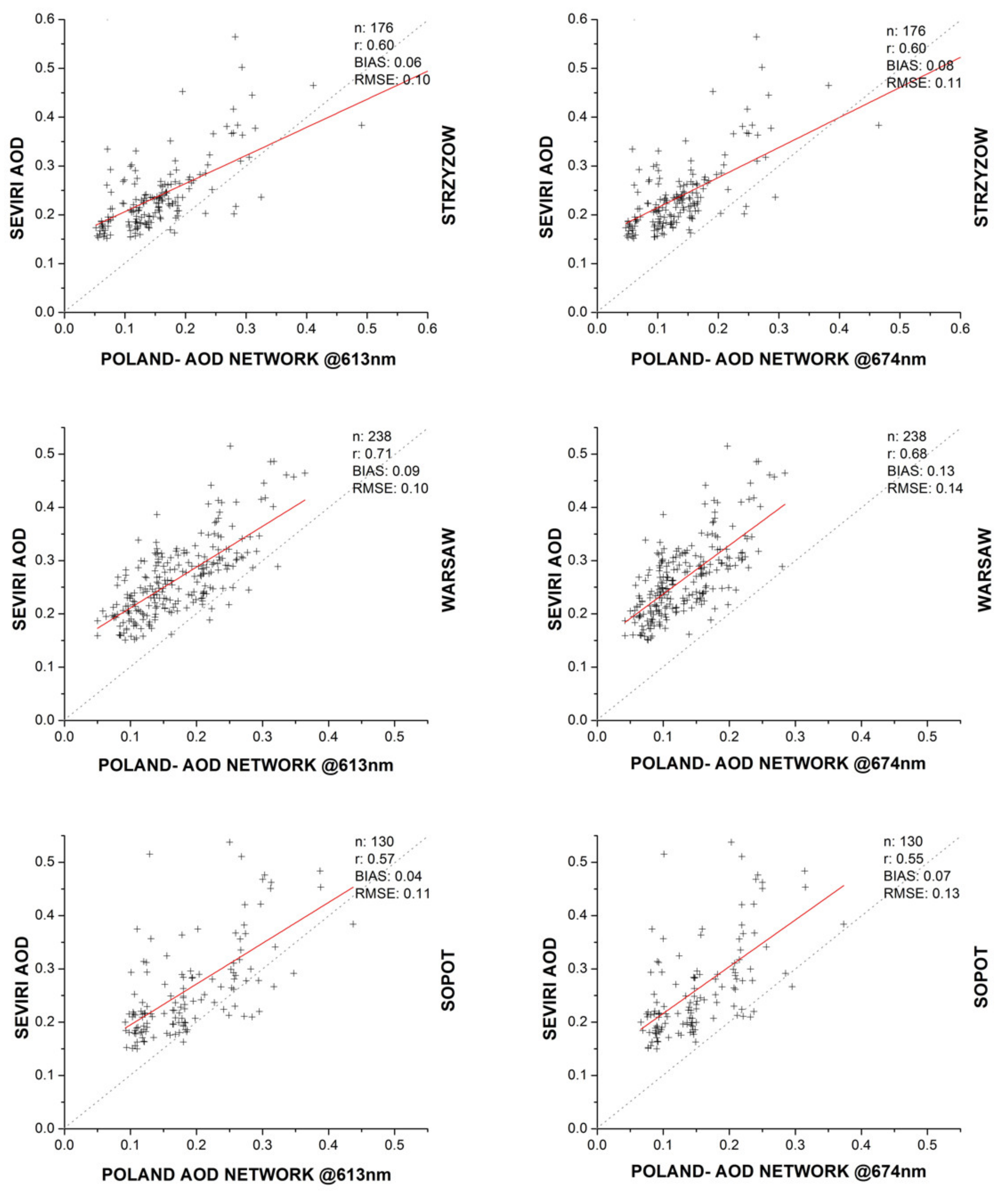
3.1.2. SEVIRI AOD vs. Poland–AOD Network
3.1.3. SEVIRI AOD Uncertainties Validation
3.2. SEVIRI NRT AOD vs. MODIS Level-2 AOD Intercomparison
3.3. Discussion on the Error Estimates for the SEVIRI NRT AOD
4. Conclusions
Author Contributions
Funding
Institutional Review Board Statement
Informed Consent Statement
Data Availability Statement
Acknowledgments
Conflicts of Interest
References
- Brunekreef, B.; Holgate, S.T. Air pollution and health. Lancet 2002, 360, 1233–1242. [Google Scholar] [CrossRef]
- Stocker, T.F.; Qin, D.; Plattner, G.-K.; Tignor, M.; Allen, S.K.; Boschung, J.; Nauels, A.; Xia, Y.; Bex, V.; Midgley, P.M. (Eds.) IPCC Summary for Policymakers. In Climate Change 2013: The Physical Science Basis. Contribution of Working Group I to the Fifth Assessment Report of the Intergovernmental Panel on Climate Change; Cambridge University Press: Cambridge, UK; New York, NY, USA, 2013. [Google Scholar]
- Li, L.; Dubovik, O.; Derimian, Y.; Schuster, G.L.; Lapyonok, T.; Litvinov, P.; Ducos, F.; Fuertes, D.; Chen, C.; Li, Z.; et al. Retrieval of aerosol components directly from satellite and ground-based measurements. Atmos. Chem. Phys. Discuss. 2019, 19, 13409–13443. [Google Scholar] [CrossRef]
- Li, J.; Li, X.; Carlson, B.E.; Kahn, R.A.; Lacis, A.A.; Dubovik, O.; Nakajima, T. Reducing multisensor monthly mean aerosol optical depth uncertainty: 2. Optimal locations for potential ground observation deployments. J. Geophys. Res. Atmos. 2017, 122, 3920–3928. [Google Scholar] [CrossRef]
- Sogacheva, L.; Popp, T.; Sayer, A.M.; Dubovik, O.; Garay, M.J.; Heckel, A.; Hsu, N.C.; Jethva, H.; Kahn, R.A.; Kolmonen, P.; et al. Merging regional and global aerosol optical depth records from major available satellite products. Atmos. Chem. Phys. Discuss. 2020, 20, 2031–2056. [Google Scholar] [CrossRef]
- Schutgens, N.; Sayer, A.M.; Heckel, A.; Hsu, C.; Jethva, H.; De Leeuw, G.; Leonard, P.J.T.; Levy, R.C.; Lipponen, A.; Lyapustin, A.; et al. An AeroCom–AeroSat study: Intercomparison of satellite AOD datasets for aerosol model evaluation. Atmos. Chem. Phys. Discuss. 2020, 20, 12431–12457. [Google Scholar] [CrossRef]
- Lyapustin, A.; Wang, Y.; Xiong, X.; Meister, G.; Platnick, S.; Levy, R.; Franz, B.; Korkin, S.; Hilker, T.; Tucker, J.; et al. Scientific impact of MODIS C5 calibration degradation and C6+ improvements. Atmos. Meas. Tech. 2014, 7, 4353–4365. [Google Scholar] [CrossRef]
- Eck, T.F.; Holben, B.N.; Reid, J.S.; Mukelabai, M.M.; Piketh, S.J.; Torres, O.; Jethva, H.T.; Hyer, E.J.; Ward, D.E.; Dubovik, O.; et al. A seasonal trend of single scattering albedo in southern African biomass-burning particles: Implications for satellite products and estimates of emissions for the world’s largest biomass-burning source. J. Geophys. Res. Atmos. 2013, 118, 6414–6432. [Google Scholar] [CrossRef]
- Chung, C.E. Aerosol Direct Radiative Forcing: A Review. In Atmospheric Aerosols—Regional Characteristics—Chemistry and Physics; Abdul-Razzak, H., Ed.; InTech: London, UK, 2012. [Google Scholar] [CrossRef]
- Torres, O.; Bhartia, P.K.; Herman, J.R.; Ahmad, Z.; Gleason, J. Derivation of aerosol properties from satellite measurements of backscattered ultraviolet radiation: Theoretical basis. J. Geophys. Res. Space Phys. 1998, 103, 17099–17110. [Google Scholar] [CrossRef]
- Torres, O.; Bhartia, P.K.; Sinyuk, A.; Welton, E.J.; Holben, B. Total Ozone Mapping Spectrometer measurements of aerosol absorption from space: Comparison to SAFARI 2000 ground-based observations. J. Geophys. Res. Space Phys. 2005, 110, 110. [Google Scholar] [CrossRef]
- Hsu, N.C.; Lee, J.; Sayer, A.M.; Carletta, N.; Chen, S.-H.; Tucker, C.J.; Holben, B.N.; Tsay, S.-C. Retrieving near-global aerosol loading over land and ocean from AVHRR. J. Geophys. Res. Atmos. 2017, 122, 9968–9989. [Google Scholar] [CrossRef]
- Sayer, A.M.; Hsu, N.C.; Lee, J.; Carletta, N.; Chen, S.-H.; Smirnov, A. Evaluation of NASA Deep Blue/SOAR aerosol retrieval algorithms applied to AVHRR measurements. J. Geophys. Res. Atmos. 2017, 122, 9945–9967. [Google Scholar] [CrossRef]
- Sayer, A.M.; Hsu, N.C.; Bettenhausen, C.; Ahmad, Z.; Holben, B.N.; Smirnov, A.; Thomas, G.E.; Zhang, J. SeaWiFS Ocean Aerosol Retrieval (SOAR): Algorithm, validation, and comparison with other data sets. J. Geophys. Res. Space Phys. 2012, 117, 117. [Google Scholar] [CrossRef]
- Hsu, N.C.; Tsay, S.-C.; King, M.D.; Herman, J.R. Aerosol Properties Over Bright-Reflecting Source Regions. IEEE Trans. Geosci. Remote Sens. 2004, 42, 557–569. [Google Scholar] [CrossRef]
- Hsu, N.C.; Jeong, M.-J.; Bettenhausen, C.; Sayer, A.; Hansell, R.A.; Seftor, C.S.; Huang, J.; Tsay, S.-C. Enhanced Deep Blue aerosol retrieval algorithm: The second generation. J. Geophys. Res. Atmos. 2013, 118, 9296–9315. [Google Scholar] [CrossRef]
- Levy, R.C.; Mattoo, S.; Munchak, L.A.; Remer, L.A.; Sayer, A.M.; Patadia, F.; Hsu, N.C. The Collection 6 MODIS aerosol products over land and ocean. Atmos. Meas. Tech. 2013, 6, 2989–3034. [Google Scholar] [CrossRef]
- Gupta, P.; Levy, R.C.; Mattoo, S.; Remer, L.A.; Munchak, L.A. A surface reflectance scheme for retrieving aerosol optical depth over urban surfaces in MODIS Dark Target retrieval algorithm. Atmos. Meas. Tech. 2016, 9, 3293–3308. [Google Scholar] [CrossRef]
- Gupta, P.; Remer, L.A.; Levy, R.C.; Mattoo, S. Validation of MODIS 3 km land aerosol optical depth from NASA’s EOS Terra and Aqua missions. Atmos. Meas. Tech. 2018, 11, 3145–3159. [Google Scholar] [CrossRef]
- Sayer, A.; Munchak, L.A.; Hsu, N.C.; Levy, R.C.; Bettenhausen, C.; Jeong, M.J. MODIS Collection 6 aerosol products: Comparison between Aqua’s e-Deep Blue, Dark Target, and “merged” data sets, and usage recommendations. J. Geophys. Res. Atmos. 2014, 119, 13965–13989. [Google Scholar] [CrossRef]
- Remer, L.A.; Mattoo, S.K.; Levy, R.C.; Munchak, L.A. MODIS 3 km aerosol product: Algorithm and global perspective. Atmos. Meas. Tech. 2013, 6, 1829–1844. [Google Scholar] [CrossRef]
- Jethva, H.; Torres, O. Satellite-based evidence of wavelength-dependent aerosol absorption in biomass burning smoke inferred from Ozone Monitoring Instrument. Atmos. Chem. Phys. Discuss. 2011, 11, 10541–10551. [Google Scholar] [CrossRef]
- Torres, O.; Tanskanen, A.; Veihelmann, B.; Ahn, C.; Braak, R.; Bhartia, P.K.; Veefkind, P.; Levelt, P.P. Aerosols and surface UV products from Ozone Monitoring Instrument observations: An overview. J. Geophys. Res. Space Phys. 2007, 112. [Google Scholar] [CrossRef]
- Torres, O.; Ahn, C.; Chen, Z. Improvements to the OMI near-UV aerosol algorithm using A-train CALIOP and AIRS observations. Atmos. Meas. Tech. 2013, 6, 3257–3270. [Google Scholar] [CrossRef]
- Torres, O.; Bhartia, P.K.; Jethva, H.; Ahn, C. Impact of the ozone monitoring instrument row anomaly on the long-term record of aerosol products. Atmos. Meas. Tech. 2018, 11, 2701–2715. [Google Scholar] [CrossRef]
- Sayer, A.M.; Hsu, N.C.; Lee, J.; Kim, W.V.; Dutcher, S.T. Validation, Stability, and Consistency of MODIS Collection 6.1 and VIIRS Version 1 Deep Blue Aerosol Data Over Land. J. Geophys. Res. Atmos. 2019, 124, 4658–4688. [Google Scholar] [CrossRef]
- Hsu, N.C.; Lee, J.; Sayer, A.M.; Kim, W.; Bettenhausen, C.; Tsay, S. VIIRS Deep Blue Aerosol Products Over Land: Extending the EOS Long-Term Aerosol Data Records. J. Geophys. Res. Atmos. 2019, 124, 4026–4053. [Google Scholar] [CrossRef]
- Herman, M.; Deuzé, J.; Marchand, A.; Roger, B.; Lallart, P. Aerosol remote sensing from POLDER/ADEOS over the ocean: Improved retrieval using a nonspherical particle model. J. Geophys. Res. Space Phys. 2005, 110. [Google Scholar] [CrossRef]
- Carboni, E.; Thomas, G.E.; Sayer, A.; Siddans, R.; Poulsen, C.A.; Grainger, R.G.; Ahn, C.; Antoine, D.J.; Bevan, S.; Braak, R.; et al. Intercomparison of desert dust optical depth from satellite measurements. Atmos. Meas. Tech. 2012, 5, 1973–2002. [Google Scholar] [CrossRef]
- Yao, Z.; Li, J.; Han, H.-J.; Huang, A.; Sohn, B.J.; Zhang, P. Asian dust height and infrared optical depth retrievals over land from hyperspectral longwave infrared radiances. J. Geophys. Res. Space Phys. 2012, 117, 117. [Google Scholar] [CrossRef]
- Yao, Z.; Li, J.; Zhao, Z.; Zhu, L.; Qi, J.; Che, H. Extracting Taklimakan Dust Parameters from AIRS with Artificial Neural Network Method. Remote Sens. 2019, 11, 2931. [Google Scholar] [CrossRef]
- Capelle, V.; Chédin, A.; Pondrom, M.; Crevoisier, C.; Armante, R.; Crepeau, L.; Scott, N. Infrared dust aerosol optical depth retrieved daily from IASI and comparison with AERONET over the period 2007–2016. Remote Sens. Environ. 2018, 206, 15–32. [Google Scholar] [CrossRef]
- De Leeuw, G.; Holzer-Popp, T.; Bevan, S.; Davies, W.H.; Descloitres, J.; Grainger, R.G.; Griesfeller, J.; Heckel, A.; Kinne, S.; Klüser, L.; et al. Evaluation of seven European aerosol optical depth retrieval algorithms for climate analysis. Remote Sens. Environ. 2015, 162, 295–315. [Google Scholar] [CrossRef]
- Mei, L.; Rozanov, V.; Vountas, M.; Burrows, J.P.; Levy, R.C.; Lotz, W. Retrieval of aerosol optical properties using MERIS observations: Algorithm and some first results. Remote Sens. Environ. 2017, 197, 125–140. [Google Scholar] [CrossRef]
- Mei, L.; Rozanov, V.; Vountas, M.; Burrows, J.P.; Richter, A. XBAER-derived aerosol optical thickness from OLCI/Sentinel-3 observation. Atmos. Chem. Phys. Discuss. 2018, 18, 2511–2523. [Google Scholar] [CrossRef]
- Kolmonen, P.; Sogacheva, L.; Virtanen, T.H.; De Leeuw, G.; Kulmala, M. The ADV/ASV AATSR aerosol retrieval algorithm: Current status and presentation of a full-mission AOD dataset. Int. J. Digit. Earth 2015, 9, 545–561. [Google Scholar] [CrossRef]
- Che, Y.; Mei, L.; Xue, Y.; Guang, J.; She, L.; Li, Y.; Heckel, A.; North, P. Validation of Aerosol Products from AATSR and MERIS/AATSR Synergy Algorithms—Part 1: Global Evaluation. Remote Sens. 2018, 10, 1414. [Google Scholar] [CrossRef]
- Henocq, C.; North, P.; Heckel, A.; Ferron, S.; Lamquin, N.; Dransfeld, S.; Bourg, L.; Tote, C.; Ramon, D. OLCI/SLSTR SYN L2 Algorithm and Products Overview. Int. Geosci. Remote Sens. Sympos. (IGARSS) 2018, 8723–8726. [Google Scholar] [CrossRef]
- EUMETSAT. Available online: https://www.eumetsat.int/S3-AOD (accessed on 7 February 2021).
- Martonchik, J.V.; Kahn, R.A.; Diner, D.J. Retrieval of aerosol properties over land using MISR observations. In Satellite Aerosol Remote Sensing Over Land; Kokhanovsky, A.A., de Leeuw, G., Eds.; Springer: Berlin/Heidelberg, Germany, 2009; pp. 267–293. [Google Scholar]
- Kahn, R.A.; Gaitley, B.J.; Garay, M.J.; Diner, D.J.; Eck, T.F.; Smirnov, A.; Holben, B.N. Multiangle Imaging SpectroRadiometer global aerosol product assessment by comparison with the Aerosol Robotic Network. J. Geophys. Res. Space Phys. 2010, 115, 115. [Google Scholar] [CrossRef]
- Garay, M.J.; Kalashnikova, O.V.; Bull, M.A. Development and assessment of a higher-spatial-resolution (4.4 km) MISR aerosol optical depth product using AERONET-DRAGON data. Atmos. Chem. Phys. Discuss. 2017, 17, 5095–5106. [Google Scholar] [CrossRef]
- Garay, M.J.; Witek, M.L.; Kahn, R.A.; Seidel, F.C.; Limbacher, J.A.; Bull, M.A.; Diner, D.J.; Hansen, E.G.; Kalashnikova, O.V.; Lee, H.; et al. Introducing the 4.4 km spatial resolution Multi-Angle Imaging SpectroRadiometer (MISR) aerosol product. Atmos. Meas. Tech. 2020, 13, 593–628. [Google Scholar] [CrossRef]
- Holzer-Popp, T.; Schroedter-Homscheidt, M.; Breitkreuz, H.; Martynenko, D.; Klüser, L. Improvements of synergetic aerosol retrieval for ENVISAT. Atmos. Chem. Phys. Discuss. 2008, 8, 7651–7672. [Google Scholar] [CrossRef]
- Von Hoyningen-Huene, W.; Kokhanovsky, A.A.; Wuttke, M.W.; Buchwitz, M.; Noël, S.; Gerilowski, K.; Burrows, J.P.; Latter, B.; Siddans, R.; Kerridge, B.J. Validation of SCIAMACHY top-of-atmosphere reflectance for aerosol remote sensing using MERIS L1 data. Atmos. Chem. Phys. Discuss. 2007, 7, 97–106. [Google Scholar] [CrossRef]
- Rault, D.F.; Loughman, R.P. The OMPS Limb Profiler Environmental Data Record Algorithm Theoretical Basis Document and Expected Performance. IEEE Trans. Geosci. Remote Sens. 2012, 51, 2505–2527. [Google Scholar] [CrossRef]
- Loughman, R.; Bhartia, P.K.; Chen, Z.; Xu, P.; Nyaku, E.; Taha, G. The Ozone Mapping and Profiler Suite (OMPS) Limb Profiler (LP) Version 1 aerosol extinction retrieval algorithm: Theoretical basis. Atmos. Meas. Tech. 2018, 11, 2633–2651. [Google Scholar] [CrossRef]
- Thomason, L.W.; Burton, S.P.; Luo, B.-P.; Peter, T. SAGE II measurements of stratospheric aerosol properties at non-volcanic levels. Atmos. Chem. Phys. Discuss. 2008, 8, 983–995. [Google Scholar] [CrossRef]
- Rieger, L.A.; Bourassa, A.E.; Degenstein, D.A. Merging the OSIRIS and SAGE II stratospheric aerosol records. J. Geophys. Res. Atmos. 2015, 120, 8890–8904. [Google Scholar] [CrossRef]
- Rieger, L.A.; Malinina, E.P.; Rozanov, A.V.; Burrows, J.P.; Bourassa, A.E.; Degenstein, D.A. A study of the approaches used to retrieve aerosol extinction, as applied to limb observations made by OSIRIS and SCIAMACHY. Atmos. Meas. Tech. 2018, 11, 3433–3445. [Google Scholar] [CrossRef]
- Omar, A.H.; Winker, D.M.; Tackett, J.L.; Giles, D.M.; Kar, J.; Liu, Z.; Vaughan, M.A.; Powell, K.A.; Trepte, C.R. CALIOP and AERONET aerosol optical depth comparisons: One size fits none. J. Geophys. Res. Atmos. 2013, 118, 4748–4766. [Google Scholar] [CrossRef]
- Young, S.A.; Vaughan, M.A.; Garnier, A.; Tackett, J.L.; Lambeth, J.D.; Powell, K.A. Extinction and optical depth retrievals for CALIPSO’s Version 4 data release. Atmos. Meas. Tech. 2018, 11, 5701–5727. [Google Scholar] [CrossRef]
- Knapp, K.R.; Frouin, R.; Kondragunta, S.; Prados, A. Toward aerosol optical depth retrievals over land from GOES visible radiances: Determining surface reflectance. Int. J. Remote Sens. 2005, 26, 4097–4116. [Google Scholar] [CrossRef]
- Zhang, H.; Hoff, R.M.; Kondragunta, S.; Laszlo, I.; Lyapustin, A. Aerosol optical depth (AOD) retrieval using simultaneous GOES-East and GOES-West reflected radiances over the western United States. Atmos. Meas. Tech. 2013, 6, 471–486. [Google Scholar] [CrossRef]
- Greenwald, T.J.; Pierce, R.B.; Schaack, T.K.; Otkin, J.A.; Rogal, M.; Bah, K.; Lenzen, A.J.; Nelson, J.P.; Li, J.; Huang, H.-L. Real-Time Simulation of the GOES-R ABI for User Readiness and Product Evaluation. Bull. Am. Meteorol. Soc. 2016, 97, 245–261. [Google Scholar] [CrossRef]
- Bernard, E.; Moulin, C.; Ramon, D.; Jolivet, D.; Riedi, J.; Nicolas, J.-M. Description and validation of an AOT product over land at the 0.6 μm channel of the SEVIRI sensor onboard MSG. Atmos. Meas. Tech. 2011, 4, 2543–2565. [Google Scholar] [CrossRef]
- Zawadzka, O.; Markowicz, K. Retrieval of Aerosol Optical Depth from Optimal Interpolation Approach Applied to SEVIRI Data. Remote Sens. 2014, 6, 7182–7211. [Google Scholar] [CrossRef]
- Zawadzka-Manko, O.; Stachlewska, I.S.; Markowicz, K.M. Near-Real-Time Application of SEVIRI Aerosol Optical Depth Algorithm. Remote Sens. 2020, 12, 1481. [Google Scholar] [CrossRef]
- Popp, C.; Hauser, A.; Foppa, N.; Wunderle, S. Remote sensing of aerosol optical depth over central Europe from MSG-SEVIRI data and accuracy assessment with ground-based AERONET measurements. J. Geophys. Res. Space Phys. 2007, 112. [Google Scholar] [CrossRef]
- Lim, H.; Choi, M.; Kim, J.; Kasai, Y.; Chan, P.W. AHI/Himawari-8 Yonsei Aerosol Retrieval (YAER): Algorithm, Validation and Merged Products. Remote Sens. 2018, 10, 699. [Google Scholar] [CrossRef]
- Zhang, W.; Xu, H.; Zheng, F. Aerosol Optical Depth Retrieval over East Asia Using Himawari-8/AHI Data. Remote Sens. 2018, 10, 137. [Google Scholar] [CrossRef]
- Yang, F.; Wang, Y.; Tao, J.; Wang, Z.; Fan, M.; De Leeuw, G.; Chen, L. Preliminary Investigation of a New AHI Aerosol Optical Depth (AOD) Retrieval Algorithm and Evaluation with Multiple Source AOD Measurements in China. Remote Sens. 2018, 10, 748. [Google Scholar] [CrossRef]
- Sayer, A.M.; Govaerts, Y.; Kolmonen, P.; Lipponen, A.; Luffarelli, M.; Mielonen, T.; Patadia, F.; Popp, T.; Povey, A.C.; Stebel, K.; et al. A review and framework for the evaluation of pixel-level uncertainty estimates in satellite aerosol remote sensing. Atmos. Meas. Tech. 2020, 13, 373–404. [Google Scholar] [CrossRef]
- Wei, X.; Chang, N.-B.; Bai, K.; Gao, W. Satellite remote sensing of aerosol optical depth: Advances, challenges, and perspectives. Crit. Rev. Environ. Sci. Technol. 2019, 50, 1640–1725. [Google Scholar] [CrossRef]
- Palacios-Peña, L.; Baró, R.; Baklanov, A.; Balzarini, A.; Brunner, D.; Forkel, R.; Hirtl, M.; Honzak, L.; López-Romero, J.M.; Montávez, J.P.; et al. An assessment of aerosol optical properties from remote-sensing observations and regional chemistry–climate coupled models over Europe. Atmos. Chem. Phys. Discuss. 2018, 18, 5021–5043. [Google Scholar] [CrossRef]
- Kokhanovsky, A.; Breon, F.-M.; Cacciari, A.; Carboni, E.; Diner, D.; Di Nicolantonio, W.; Grainger, R.; Grey, W.; Höller, R.; Lee, K.-H.; et al. Aerosol remote sensing over land: A comparison of satellite retrievals using different algorithms and instruments. Atmos. Res. 2007, 85, 372–394. [Google Scholar] [CrossRef]
- Li, Z.; Zhao, X.; Kahn, R.; Mishchenko, M.; Remer, L.; Lee, K.-H.; Wang, M.; Laszlo, I.; Nakajima, T.; Maring, H. Uncertainties in satellite remote sensing of aerosols and impact on monitoring its long-term trend: A review and perspective. Ann. Geophys. 2009, 27, 2755–2770. [Google Scholar] [CrossRef]
- Sogacheva, L.; Kolmonen, P.; Virtanen, T.H.; Rodriguez, E.; Saponaro, G.; De Leeuw, G. Post-processing to remove residual clouds from aerosol optical depth retrieved using the Advanced Along Track Scanning Radiometer. Atmos. Meas. Tech. 2017, 10, 491–505. [Google Scholar] [CrossRef]
- Ignatov, A. Estimation of the aerosol phase function in backscatter from simultaneous satellite and sun-photometer meas-urements. J. Appl. Meteorol. Climatol. 1997, 36, 688–694. [Google Scholar] [CrossRef]
- Tang, J.; Xue, Y.; Yu, T.; Guan, Y. Aerosol optical thickness determination by exploiting the synergy of TERRA and AQUA MODIS. Remote Sens. Environ. 2005, 94, 327–334. [Google Scholar] [CrossRef]
- Kinne, S. Remote sensing data combinations: Superior global maps for aerosol optical depth. In Satellite Aerosol Remote Sensing over Land; Springer: Berlin/Heidelberg, Germany, 2009; pp. 361–381. [Google Scholar] [CrossRef]
- Kinne, S.; O’Donnel, D.; Stier, P.; Kloster, S.; Zhang, K.; Schmidt, H.; Rast, S.; Giorgetta, M.A.; Eck, T.F.; Stevens, B. MAC-v1: A new global aerosol climatology for climate studies. J. Adv. Model. Earth Syst. 2013, 5, 704–740. [Google Scholar] [CrossRef]
- Bréon, F.-M.; Vermeulen, A.; Descloitres, J. An evaluation of satellite aerosol products against sunphotometer measurements. Remote Sens. Environ. 2011, 115, 3102–3111. [Google Scholar] [CrossRef]
- Petrenko, M.; Ichoku, C. Coherent uncertainty analysis of aerosol measurements from multiple satellite sensors. Atmos. Chem. Phys. Discuss. 2013, 13, 6777–6805. [Google Scholar] [CrossRef]
- Holben, B.N.; Tanré, D.; Smirnov, A.; Eck, T.F.; Slutsker, I.; Abuhassan, N.; Newcomb, W.W.; Schafer, J.S.; Chatenet, B.; Lavenu, F.; et al. An emerging ground-based aerosol climatology: Aerosol optical depth from AERONET. J. Geophys. Res. Space Phys. 2001, 106, 12067–12097. [Google Scholar] [CrossRef]
- Sowden, M.; Mueller, U.; Blake, D. Review of surface particulate monitoring of dust events using geostationary satellite remote sensing. Atmos. Environ. 2018, 183, 154–164. [Google Scholar] [CrossRef]
- Govaerts, Y.M.; Wagner, S.; Lattanzio, A.; Watts, P. Joint retrieval of surface reflectance and aerosol optical depth from MSG/SEVIRI observations with an optimal estimation approach: 1. Theory. J. Geophys. Res. Space Phys. 2010, 115, 02203. [Google Scholar] [CrossRef]
- Jolivet, D.; Ramon, D.; Riedi, J.; Roebeling, R. Aerosol Retrievals from METEOSAT-8. SAF on Climate Monitoring, Visiting Scientist Report 2006. Available online: https://www.knmi.nl/kennis-en-datacentrum/publicatie/aerosol-retrievals-from-meteosat-8 (accessed on 2 February 2021).
- Carrer, D.; Roujean, J.-L.; Hautecoeur, O.; Elias, T. Daily estimates of aerosol optical thickness over land surface based on a directional and temporal analysis of SEVIRI MSG visible observations. J. Geophys. Res. Space Phys. 2010, 115, 10208. [Google Scholar] [CrossRef]
- Bulgin, C.E.; Palmer, P.I.; Merchant, C.J.; Siddans, R.; Gonzi, S.; Poulsen, C.A.; Thomas, G.E.; Sayer, A.M.; Carboni, E.; Grainger, R.G.; et al. Quantifying the response of the ORAC aerosol optical depth retrieval for MSG SEVIRI to aerosol model assumptions. J. Geophys. Res. Space Phys. 2011, 116. [Google Scholar] [CrossRef]
- Mei, L.; Xue, Y.; De Leeuw, G.; Holzer-Popp, T.; Guang, J.; Li, Y.; Yang, L.; Xu, H.; Xu, X.; Li, C.; et al. Retrieval of aerosol optical depth over land based on a time series technique using MSG/SEVIRI data. Atmos. Chem. Phys. Discuss. 2012, 12, 9167–9185. [Google Scholar] [CrossRef]
- Fernandes, A.P.; Riffler, M.; Ferreira, J.; Wunderle, S.; Borrego, C.; Tchepeld, O. Comparisons of aerosol optical depth provided by SEVIRI satellite observations and CAMx air quality modelling. In Proceedings of the 36th International Symposium on Remote Sensing of Environment, Berlin, Germany, 11–15 May 2015; Schreier, G., Skrovseth, P.E., Staudenrausch, H., Eds.; Copernicus Gesellschaft Mbh: Gottingen, Germany, 2015; pp. 187–193. [Google Scholar]
- Clerbaux, N.; Ipe, A.; De Bock, V.; Urbain, M.; Baudrez, E.; Velazquez-Blazquez, A.; Akkermans, T.; Moreels, J.; Hollmann, R.; Selbach, N.; et al. CM SAF Aerosol Optical Depth (AOD) Data Record–Edition 1. Satell. Appl. Facil. Clim. Monit. 2017. [Google Scholar] [CrossRef]
- Stebel, K.; Stachlewska, I.S.; Nemuc, A.; Horálek, J.; Schneider, P.; Ajtai, N.; Diamandi, A.; Benešova, N.; Boldeanu, M.; Botezan, C.; et al. SAMIRA—SAtellite based Monitoring Initiative for Regional Air quality. Remote Sens. 2021. submitted. [Google Scholar]
- Aminou, D.M.A. MSG’s SEVIRI Instrument, ESA Bulletin. Bulletin ASE; European Space Agency: Paris, France, 2002; Volume 111. [Google Scholar]
- Riedi, J.; Nicolas, J.M. Science_modules_msg.c; Laboratoire d’Optique Atmospherique: Lille, France, 2005. [Google Scholar]
- Rodgers, C.D. Inverse Methods for Atmospheric Sounding: Theory and Practice; World Scientific: Singapore, 2002. [Google Scholar]
- Levy, R.C.; Remer, L.; Tanré, D.; Mattoo, S.; Kaufman, Y.J. Algorithm for Remote Sensing of Tropospheric Aerosol over Dark Targets from MODIS: Collections 005 and 051: Revision 2; February 2009. MODIS Algorithm Theoretical Basis Document; 2009. Available online: https://atmosphere-imager.gsfc.nasa.gov/sites/default/files/ModAtmo/ATBD_MOD04_C005_rev2_0.pdf (accessed on 28 September 2020).
- Kaufman, Y.J.; Wald, A.E.; Remer, L.A.; Gao, B.C.; Li, R.-R.; Flynn, L. The MODIS 2.1-/spl mu/m channel-correlation with visible reflectance for use in remote sensing of aerosol. IEEE Trans. Geosci. Remote Sens. 1997, 35, 1286–1298. [Google Scholar] [CrossRef]
- Tanré, D.; Kaufman, Y.J.; Herman, M.; Mattoo, S. Remote sensing of aerosol properties over oceans using the MODIS/EOS spectral radiances. J. Geophys. Res. Space Phys. 1997, 102, 16971–16988. [Google Scholar] [CrossRef]
- Levy, R.C.; Remer, L.A.; Martins, J.V.; Kaufman, Y.J.; Plana-Fattori, A.; Redemann, J.; Wenny, B. Evaluation of the MODIS Aerosol Retrievals over Ocean and Land during CLAMS. J. Atmos. Sci. 2005, 62, 974–992. [Google Scholar] [CrossRef]
- Levy, R.C.; Remer, L.A.; Mattoo, S.; Vermote, E.F.; Kaufman, Y.J. Second-generation operational algorithm: Retrieval of aerosol properties over land from inversion of Moderate Resolution Imaging Spectroradiometer spectral reflectance. J. Geophys. Res. Space Phys. 2007, 112. [Google Scholar] [CrossRef]
- Levy, R.C.; Remer, L.A.; Kleidman, R.; Mattoo, S.K.; Ichoku, C.; Kahn, R.A.; Eck, T.F. Global evaluation of the Collection 5 MODIS dark-target aerosol products over land. Atmos. Chem. Phys. Discuss. 2010, 10, 10399–10420. [Google Scholar] [CrossRef]
- Remer, L.A.; Kaufman, Y.J.; Tanré, D.; Mattoo, S.; Chu, D.A.; Martins, J.V.; Li, R.R.; Ichoku, C.; Levy, R.C.; Kleidman, R.G.; et al. The MODIS Aerosol Algorithm, Products, and Validation. J. Atmos. Sci. 2005, 62, 947–973. [Google Scholar] [CrossRef]
- Remer, L.A.; Kleidman, R.G.; Levy, R.C.; Kaufman, Y.J.; Tanré, D.; Mattoo, S.; Martins, J.V.; Ichoku, C.; Koren, I.; Yu, H.; et al. Global aerosol climatology from the MODIS satellite sensors. J. Geophys. Res. Space Phys. 2008, 113, 14. [Google Scholar] [CrossRef]
- Levy, R.C.; Munchak, L.A.; Mattoo, S.K.; Patadia, F.; Remer, L.A.; Holz, R.E. Towards a long-term global aerosol optical depth record: Applying a consistent aerosol retrieval algorithm to MODIS and VIIRS-observed reflectance. Atmos. Meas. Tech. 2015, 8, 4083–4110. [Google Scholar] [CrossRef]
- Wang, D.; Szczepanik, D.; Stachlewska, I.S. Interrelations between surface, boundary layer, and columnar aerosol properties derived in summer and early autumn over a continental urban site in Warsaw, Poland. Atmos. Chem. Phys. Discuss. 2019, 19, 13097–13128. [Google Scholar] [CrossRef]
- Popp, T.; De Leeuw, G.; Bingen, C.; Brühl, C.; Capelle, V.; Chedin, A.; Clarisse, L.; Dubovik, O.; Grainger, R.; Griesfeller, J.; et al. Development, Production and Evaluation of Aerosol Climate Data Records from European Satellite Observations (Aerosol_cci). Remote Sens. 2016, 8, 421. [Google Scholar] [CrossRef]
- Schutgens, N.A.J. Site representativity of AERONET and GAW remotely sensed aerosol optical thickness and absorbing aerosol optical thickness observations. Atmos. Chem. Phys. Discuss. 2020, 20, 7473–7488. [Google Scholar] [CrossRef]
- Szczepanik, D.; Markowicz, K. The relation between columnar and surface aerosol optical properties in a background environment. Atmos. Pollut. Res. 2018, 9, 246–256. [Google Scholar] [CrossRef]
- Sun, W.; Videen, G.; Kato, S.; Lin, B.; Lukashin, C.; Hu, Y. A study of subvisual clouds and their radiation effect with a synergy of CERES, MODIS, CALIPSO, and AIRS data. J. Geophys. Res. Space Phys. 2011, 116. [Google Scholar] [CrossRef]
- Huang, J.; Hsu, N.C.; Tsay, S.-C.; Jeong, M.-J.; Holben, B.N.; Berkoff, T.A.; Welton, E.J. Susceptibility of aerosol optical thickness retrievals to thin cirrus contamination during the BASE-ASIA campaign. J. Geophys. Res. Space Phys. 2011, 116. [Google Scholar] [CrossRef]
- Wollner, U.; Koren, I.; Altaratz, O.; Remer, L.A. On the signature of the cirrus twilight zone. Environ. Res. Lett. 2014, 9, 094010. [Google Scholar] [CrossRef]
- Riuttanen, L.; Bister, M.; Kerminen, V.-M.; John, V.O.; Sundström, A.-M.; Maso, M.D.; Räisänen, J.; Sinclair, V.A.; Makkonen, R.; Xausa, F.; et al. Observational evidence for aerosols increasing upper tropospheric humidity. Atmos. Chem. Phys. Discuss. 2016, 16, 14331–14342. [Google Scholar] [CrossRef]
- Spencer, R.S.; Levy, R.C.; Remer, L.A.; Mattoo, S.; Arnold, G.T.; Hlavka, D.L.; Meyer, K.G.; Marshak, A.; Wilcox, E.M.; Platnick, S.E. Exploring Aerosols Near Clouds with High-Spatial-Resolution Aircraft Remote Sensing During SEAC 4 RS. J. Geophys. Res. Atmos. 2019, 124, 2148–2173. [Google Scholar] [CrossRef] [PubMed]
- Koepke, P.; Hess, M.; Schult, I.; Shettle, E.P. Global Aerosol Data Set; Report No. 243; Max-Planck-Institut für Meteorologie: Hamburg, Germany, 1997. [Google Scholar]









| Station | N | r | Bias | RMSE |
|---|---|---|---|---|
| Strzyzow | 375 | 0.979 | 0.002 | 0.01 |
| Station | N | SEVIRI Mean AOD | AERONET Mean AOD | SEVIRI Mean Uncertainty (%) | r | Bias | RMSE |
|---|---|---|---|---|---|---|---|
| Cluj | 277 | 0.26 | 0.12 | 18.5 | 0.57 | 0.13 | 0.15 |
| Iasi | 261 | 0.25 | 0.13 | 20.7 | 0.61 | 0.13 | 0.15 |
| Eforie | 149 | 0.29 | 0.14 | 21.3 | 0.83 | 0.14 | 0.16 |
| Bucharest | 295 | 0.27 | 0.18 | 21.7 | 0.48 | 0.09 | 0.12 |
| Belsk | 167 | 0.26 | 0.16 | 17.7 | 0.69 | 0.10 | 0.11 |
| Strzyzow | 122 | 0.24 | 0.13 | 18.1 | 0.53 | 0.11 | 0.13 |
| Station | N | SEVIRI Mean AOD | Mean AOD 613 nm | Mean AOD 674 nm | r 613 nm | r 674 nm | Bias 613 nm | Bias 674 nm | RMSE 613 nm | RMSE 674 nm |
|---|---|---|---|---|---|---|---|---|---|---|
| Strzyzow | 176 | 0.24 | 0.15 | 0.14 | 0.60 | 0.60 | 0.06 | 0.08 | 0.10 | 0.11 |
| Warsaw | 238 | 0.27 | 0.17 | 0.13 | 0.71 | 0.68 | 0.09 | 0.13 | 0.10 | 0.14 |
| Sopot | 130 | 0.26 | 0.18 | 0.15 | 0.57 | 0.55 | 0.04 | 0.07 | 0.11 | 0.13 |
| Station | N | No. of Δ Values between [−1;+1] | Percentage (%) |
|---|---|---|---|
| AERONET | |||
| Cluj | 277 | 8 | 2.88 |
| Eforie | 149 | 4 | 2.68 |
| Iasi | 261 | 10 | 3.83 |
| Bucharest | 295 | 37 | 12.54 |
| Strzyzow | 122 | 5 | 4.09 |
| Belsk | 167 | 10 | 5.98 |
| POLAND–AOD | |||
| Strzyzow | 176 | 8 | 4.54 |
| Warsaw | 238 | 8 | 3.36 |
| Sopot | 130 | 12 | 9.23 |
| Date | Δt (min) | Number of Pairs | Mean SEVIRI AOD | Mean MODIS AOD | r | Bias | RMSE | BELOW EE (%) | EE (%) | ABOVE EE (%) |
|---|---|---|---|---|---|---|---|---|---|---|
| 14-August | 50 | 8352 | 0.24 | 0.23 | 0.35 | 0.01 | 0.08 | 2.1 | 88.3 | 9.6 |
| 12-August | 15 | 5078 | 0.31 | 0.34 | 0.66 | −0.01 | 0.04 | 10.4 | 83.9 | 5.7 |
| 21-August | 55 | 4775 | 0.24 | 0.22 | 0.45 | 0.01 | 0.08 | 1.8 | 84.8 | 13.4 |
| 23-June | 45 | 1750 | 0.23 | 0.23 | −0.13 | 0.01 | 0.11 | 7.3 | 78 | 14.7 |
| 3-August | 55 | 7404 | 0.29 | 0.24 | 0.06 | 0.05 | 0.13 | 5.0 | 63.5 | 31.6 |
| 18-September | 35 | 6237 | 0.22 | 0.13 | 0.28 | 0.09 | 0.12 | 0.2 | 51.5 | 48.3 |
| 1-August | 60 | 6211 | 0.28 | 0.18 | 0.38 | 0.11 | 0.14 | 1.6 | 46.3 | 52.2 |
| 30-June | 5 | 2858 | 0.22 | 0.13 | 0.44 | 0.08 | 0.12 | 1.6 | 46.5 | 51.9 |
| 2-September | 50 | 3886 | 0.37 | 0.19 | 0.44 | 0.13 | 0.17 | 0.1 | 43.5 | 56.4 |
| 10-June | 60 | 5572 | 0.31 | 0.18 | −0.07 | 0.14 | 0.20 | 2.7 | 43.1 | 54.2 |
| 9-June | 20 | 5220 | 0.30 | 0.19 | −0.07 | 0.11 | 0.17 | 5.7 | 41.7 | 52.6 |
| 8-September | 0 | 3672 | 0.33 | 0.18 | 0.50 | 0.15 | 0.18 | 0.1 | 31.6 | 68.4 |
| 30-August | 5 | 4227 | 0.26 | 0.12 | 0.52 | 0.14 | 0.16 | 0 | 26.9 | 73.1 |
| 9-September | 40 | 6833 | 0.37 | 0.19 | 0.36 | 0.18 | 0.21 | 0.8 | 30.7 | 68.5 |
| 11-September | 15 | 6214 | 0.38 | 0.20 | 0.36 | 0.18 | 0.21 | 0.1 | 27.7 | 72.3 |
| 27-August | 0 | 2950 | 0.31 | 0.15 | 0.38 | 0.16 | 0.19 | 0.1 | 28.4 | 71.5 |
| 6-September | 5 | 2811 | 0.26 | 0.12 | 0.48 | 0.17 | 0.20 | 4.3 | 27.2 | 68.5 |
| 2-July | 40 | 3323 | 0.27 | 0.11 | 0.22 | 0.16 | 0.18 | 0.2 | 21.3 | 78.5 |
| 14-September | 60 | 3367 | 0.44 | 0.21 | 0.63 | 0.23 | 0.26 | 0 | 12 | 88 |
| Date | Δt (min) | Number of Pairs | Mean SEVIRI AOD | Mean MODIS AOD | r | Bias | RMSE | BELOW EE (%) | EE (%) | ABOVE EE (%) |
|---|---|---|---|---|---|---|---|---|---|---|
| 7-July | 5 | 1325 | 0.27 | 0.25 | 0.58 | 0.02 | 0.09 | 1.3 | 87.6 | 11.1 |
| 17-September | 60 | 1683 | 0.29 | 0.29 | 0.36 | −0.006 | 0.11 | 10.9 | 79.1 | 9.9 |
| 5-September | 35 | 2147 | 0.25 | 0.32 | 0.41 | −0.06 | 0.11 | 23.8 | 73.6 | 2.6 |
| 19-July | 5 | 1596 | 0.40 | 0.31 | 0.41 | 0.09 | 0.17 | 4.2 | 60.5 | 35.3 |
| 20-July | 35 | 1955 | 0.33 | 0.19 | 0.34 | 0.13 | 0.19 | 0.4 | 43.5 | 56.1 |
| 10-June | 0 | 2781 | 0.31 | 0.18 | 0.29 | 0.13 | 0.16 | 0.3 | 39.4 | 60.3 |
| 8-June | 5 | 3169 | 0.26 | 0.17 | 0.02 | 0.09 | 0.13 | 1.7 | 39.4 | 58.8 |
| 11-June | 60 | 1498 | 0.46 | 0.22 | 0.4 | 0.24 | 0.28 | 0.3 | 19.6 | 80.1 |
| Date | Δt (min) | Number of Pairs | Mean SEVIRI AOD | Mean MODIS AOD | r | Bias | RMSE | BELOW EE (%) | EE (%) | ABOVE EE (%) |
|---|---|---|---|---|---|---|---|---|---|---|
| 7-September | 35 | 4993 | 0.37 | 0.34 | 0.72 | 0.03 | 0.09 | 1.1 | 86.1 | 12.8 |
| 9-July | 45 | 4157 | 0.28 | 0.23 | 0.42 | 0.05 | 0.08 | 1.9 | 77.8 | 20.3 |
| 8-June | 5 | 8496 | 0.26 | 0.21 | 0.22 | 0.05 | 0.1 | 3.1 | 65.4 | 31.5 |
| 2-August | 0 | 3475 | 0.37 | 0.35 | −0.14 | 0.02 | 0.16 | 17.5 | 59.2 | 23.4 |
| 3-August | 45 | 3280 | 0.35 | 0.23 | −0.06 | 0.12 | 0.18 | 3.9 | 45.7 | 50.4 |
| 16-September | 30 | 5215 | 0.41 | 0.26 | 0.71 | 0.15 | 0.18 | 0.3 | 42.1 | 57.7 |
| 18-September | 20 | 9429 | 0.32 | 0.18 | 0.6 | 0.14 | 0.16 | 0 | 36.7 | 63.3 |
| 17-September | 30 | 9867 | 0.39 | 0.20 | 0.67 | 0.19 | 0.21 | 0.1 | 19.8 | 80.1 |
| Location | Estimated Error ±10 to ±40 % of AOD | Bias Corrected Estimated Error 0.12 + (±10 to ±40 % of AOD) | ||||
|---|---|---|---|---|---|---|
| BELOW EE (%) | EE (%) | ABOVE EE (%) | BELOW EE (%) | EE (%) | ABOVE EE (%) | |
| AERONET | ||||||
| Cluj | 0.0 | 2.9 | 96.8 | 0.0 | 75.8 | 23.8 |
| Eforie | 0.0 | 2.7 | 97.3 | 0.0 | 80.5 | 19.5 |
| Iasi | 0.0 | 3.8 | 96.2 | 0.0 | 81.2 | 18.8 |
| Bucharest | 5.8 | 12.5 | 81.7 | 1.0 | 94.6 | 4.4 |
| Strzyzow | 0.8 | 4.1 | 95.1 | 0.0 | 90.2 | 9.8 |
| Belsk | 1.2 | 6.0 | 92.8 | 0.0 | 94.0 | 6.0 |
| Poland–AOD | ||||||
| Strzyzow | 2.3 | 4.5 | 93.2 | 0.6 | 91.5 | 8.0 |
| Warsaw | 0.0 | 3.4 | 96.2 | 0.0 | 81.1 | 18.5 |
| Sopot | 0.0 | 9.2 | 90.8 | 0.0 | 90.0 | 10.0 |
| SEVIRI vs. MODIS | ||||||
| Romania | 2.1 | 48.4 | 49.6 | 0.4 | 79.8 | 19.9 |
| Poland | 2.4 | 49.6 | 48.0 | 0.6 | 80.5 | 18.9 |
| Czech Republic | 5.0 | 54.8 | 40.2 | 0.6 | 83.4 | 16.0 |
Publisher’s Note: MDPI stays neutral with regard to jurisdictional claims in published maps and institutional affiliations. |
© 2021 by the authors. Licensee MDPI, Basel, Switzerland. This article is an open access article distributed under the terms and conditions of the Creative Commons Attribution (CC BY) license (http://creativecommons.org/licenses/by/4.0/).
Share and Cite
Ajtai, N.; Mereuta, A.; Stefanie, H.; Radovici, A.; Botezan, C.; Zawadzka-Manko, O.; Stachlewska, I.S.; Stebel, K.; Zehner, C. SEVIRI Aerosol Optical Depth Validation Using AERONET and Intercomparison with MODIS in Central and Eastern Europe. Remote Sens. 2021, 13, 844. https://doi.org/10.3390/rs13050844
Ajtai N, Mereuta A, Stefanie H, Radovici A, Botezan C, Zawadzka-Manko O, Stachlewska IS, Stebel K, Zehner C. SEVIRI Aerosol Optical Depth Validation Using AERONET and Intercomparison with MODIS in Central and Eastern Europe. Remote Sensing. 2021; 13(5):844. https://doi.org/10.3390/rs13050844
Chicago/Turabian StyleAjtai, Nicolae, Alexandru Mereuta, Horatiu Stefanie, Andrei Radovici, Camelia Botezan, Olga Zawadzka-Manko, Iwona S. Stachlewska, Kerstin Stebel, and Claus Zehner. 2021. "SEVIRI Aerosol Optical Depth Validation Using AERONET and Intercomparison with MODIS in Central and Eastern Europe" Remote Sensing 13, no. 5: 844. https://doi.org/10.3390/rs13050844
APA StyleAjtai, N., Mereuta, A., Stefanie, H., Radovici, A., Botezan, C., Zawadzka-Manko, O., Stachlewska, I. S., Stebel, K., & Zehner, C. (2021). SEVIRI Aerosol Optical Depth Validation Using AERONET and Intercomparison with MODIS in Central and Eastern Europe. Remote Sensing, 13(5), 844. https://doi.org/10.3390/rs13050844

