Next Article in Journal
Enhancing STEM Teachers’ Technology Integration Competencies to Support Education for Sustainable Development
Next Article in Special Issue
Wide-Band Harmonic Interaction and Characteristic Analysis of Flexible Cooperative Traction Power Supply System
Previous Article in Journal
SDD-RT-DETR: A Lightweight and Efficient Printed Circuit Board Surface Defect Detection Method Based on an Improved RT-DETR Toward Sustainable Manufacturing
Previous Article in Special Issue
Hydrogen-Enabled Microgrids for Railway Applications: A Seasonal Energy Storage Solution for Switch-Point Heating
 
 
Font Type:
Arial Georgia Verdana
Font Size:
Aa Aa Aa
Line Spacing:
Column Width:
Background:
Article

Metro-Induced Vibration Wave Propagation and Rail Defect Diagnostics: Integrated Experimental Measurements and Finite Element Modelling

by
Haniye Ghafouri Rouzbahani
1,
Francesco Marangon
1,
Thomas Mayer
2,
Dino Velic
3 and
Ferdinand Pospischil
1,*
1
Institute for Railway Infrastructure Design, Graz University of Technology, 8010 Graz, Austria
2
Voestalpine Railway Systems GmbH, 8740 Zeltweg, Austria
3
Voestalpine Signaling Austria GmbH, 8740 Zeltweg, Austria
*
Author to whom correspondence should be addressed.
Sustainability 2026, 18(5), 2517; https://doi.org/10.3390/su18052517
Submission received: 8 January 2026 / Revised: 3 February 2026 / Accepted: 10 February 2026 / Published: 4 March 2026

Abstract

Railway transport is increasingly promoted as a sustainable and low-carbon mode of transportation. However, track-induced vibration propagation remains a significant challenge, particularly in metro systems situated near residential areas, where vibrations can transmit through the infrastructure into nearby buildings, disturbing residents and damaging structures. This study aimed to evaluate the cause of the significantly different vibration impact on nearby buildings caused by two nominally identical adjacent slab tracks on a metro line in Austria. Controlled weight drop tests were carried out in both track directions, and accelerations were measured to characterize wave transmission and energy dissipation. The data were processed using frequency response functions and Short-Time Fourier Transform to extract time–frequency signatures, modal parameters, and propagation delays. A three-dimensional finite element model of the railway superstructure was then calibrated against the experimental modal properties and transfer functions and used to simulate cracking or stiffness loss in the sleeper–slab region. The simulations reproduced the observed increase in slab acceleration and underground strain energy, linking the anomalous vibration transmission to hidden stiffness loss rather than to global design differences. Overall, the study demonstrates that combining impact testing, advanced signal processing, and calibrated finite element modelling provides an effective framework for diagnosing track defects and guiding the design and maintenance of more sustainable, low-vibration urban rail infrastructure.

1. Introduction

Metro and subway systems have become indispensable components of urban transportation networks worldwide, offering high-capacity and efficient mobility solutions for city populations [1,2,3,4]. These systems improved accessibility within urban areas, significantly contributing to economic activity and quality of life by connecting residential, commercial and industrial zones efficiently [5]. However, both the construction and operation of rail transport can have environmental and structural consequences [6,7,8]. One major consequence takes the form of track-induced vibration and noise, which can disturb residents and affect sensitive infrastructure [8,9]. These vibrations can also cause structural damage, including cracking and settlement, particularly in older or more sensitive buildings [5,10,11].
The generation of vibration and noise in subway and metro systems is the result of the complex interaction between rolling stock and the track [12,13]. The key factors contributing to vibration include the roughness of the wheel and rail surfaces, the speed of the train, and the condition of the track structure [14,15,16,17,18,19]. Thompson et al. found a significant increase in vibration propagation, especially during acceleration and braking [20]. High-speed trains worsen this effect because of the greater forces acting on the track. Similarly, Ludovico et al. confirmed that braking and acceleration contribute significantly to overall vibration and noise levels [21]. In addition, higher speeds generally produce higher vibration amplitudes [22]. Poorly maintained tracks can increase noise and vibration levels. Irregularities in the rail surface generate vibrations that are transmitted to the surrounding environment [23]. These irregularities are typically classified by their wavelength into short, medium, and long waves, which respectively influence noise and local track wear, safety and ride comfort, and overall train stability [24,25,26]. In addition, random variations in the stiffness of the track support can generate significant ground vibrations in the mid-frequency range [27]. Advanced frequency-domain and time-frequency analysis techniques for detecting incipient defects through modal parameter shifts [28] provide the theoretical foundation for the present multi-scale diagnostic approach. To control the vibration propagation to the surrounding environment and mitigate its adverse effect on residential buildings, several studies monitored the vibration using accelerometers on the buildings and at different distances on the ground [29,30]. These field measurements contributed to the mitigation and prediction of the amplitude of vibration that influenced nearby structures [30,31,32]. Furthermore, numerical modelling techniques have been extensively employed to simulate and analyse the complex wave propagation mechanisms induced by metro and train operations. Finite element methods (FEM) and boundary element methods (BEM) are widely used to model the interaction between the train, track, and surrounding environment, enabling detailed analysis of vibration transmission and attenuation in different scenarios [33,34]. Recent studies have developed complex numerical models to investigate the influence of track support properties, geometry, and material heterogeneity on wave propagation and resulting ground vibrations [35,36]. These models facilitate parametric studies that are difficult to realise experimentally, offering insights into how design modifications or mitigation measures can reduce vibrations transmitted to nearby structures [37]. By combining experimental measurements with numerical simulations, researchers can validate models and improve the understanding of how specific track and vehicle parameters affect vibration behavior, which is crucial for developing effective diagnostic and mitigation strategies [38].
However, despite these well-known mechanisms, unexpected vibration problems have been observed in a section of a metro line with two adjacent tracks that share the same superstructure configuration. Both tracks consist of a slab track with elastically supported plastic composite sleepers. Vibration measurements revealed that only one of the tracks transfers noticeably higher vibrations during train passages into the underlying structure. This increased vibration spreads further and affects nearby buildings and residents. These observations revealed a critical gap in understanding the underlying causes of differences in vibration transmission in seemingly identical track configurations. Moreover, current predictive models and diagnostic methods are limited in capturing these nuanced differences in vibration propagation between adjacent tracks.
To investigate this anomaly and rule out common sources such as wheel flats, rail irregularities, or poor maintenance, an experimental study was required. A drop weight impact as a non-destructive test (NDT) method was chosen to introduce repeatable impact loads onto a track, generating accelerations that could be directly compared in both tracks. This approach allowed the measurement of vibration transmission characteristics without the influence of varying train loads or operational irregularities. The experimental results were then used to confirm that the vibration issue is due to differences in how the superstructure transmits dynamic loads to the underlying structure. Furthermore, the measured data provided a reliable basis for calibrating a detailed Finite Element Model (FEM) of the track system. This calibrated model enables a deeper investigation into possible hidden factors, such as local stiffness variations, sleeper bedding conditions, or slab connections, which could explain the unexpected difference in vibration propagation between the two otherwise identical tracks. This integrated experimental–numerical investigation aims not only to explain the unexpected vibration behavior but also to enhance the accuracy and robustness of rail defect diagnostics by revealing subtle wave propagation mechanisms. The insights gained will inform optimized track design and maintenance strategies, contributing to improved passenger comfort, reduced vibration impact on surrounding urban environments, and more sustainable operation of metro transport infrastructure.
This paper is structured as follows. Section 2 presents the methodology and experimental data analysis, detailing the controlled drop-weight impact tests and the processing of vibration measurements from the two metro tracks. Section 3 describes the numerical simulation framework, including the development and calibration of the finite element model used to investigate the structural factors influencing vibration propagation. In Section 4, the results from both the experimental and numerical studies are discussed, providing insight into the mechanisms of vibration transmission and their implications for rail defect diagnostics and vibration mitigation. Finally, Section 5 concludes the paper by summarizing the key findings and proposing directions for future research to further enhance metro track monitoring and maintenance strategies.

2. Methodology

This study combines field measurements, advanced signal processing techniques, and numerical modelling to investigate the unexpected difference in vibration transmission between the two adjacent metro tracks. First, controlled impact tests were performed to capture vibration responses under repeatable conditions. The recorded signals were then analysed to determine key parameters such as time delays, vibration attenuation between measurement points, and vibration mode characteristics of the track system. Finally, a detailed Finite Element Model (FEM) of the track system was validated with the experimental data to explore a possible cause for the observed vibration anomaly.

2.1. Field Experiments

Field tests were conducted on a metro line section comprising two adjacent slab tracks, Track 1 and Track 2, with identical structural designs, including elastically supported plastic composite sleepers. Despite their identical configuration, only Track 2 exhibited elevated vibration levels during train operations, resulting in noticeable transmission to nearby structures. To investigate this discrepancy under controlled and repeatable conditions, a drop-weight impact method was employed to excite the tracks independently of operational train traffic.
A steel weight with a mass of 20.15 kg was dropped from heights of 40 cm, 70 cm, and 100 cm onto an elastic pad placed on the rail to control the impact force and reduce high-frequency excitation. For each height, ten impacts were performed on both tracks to ensure repeatability. Vertical acceleration responses were measured using four accelerometers (PJM LN series): a ±400 g sensor mounted on the drop weight, ±50 g sensors on the sleeper and concrete slab, and a ±5 g sensor on the underlying concrete foundation layer. Data were acquired at a sampling rate of 96 kS/s. All accelerometers were calibrated by the manufacturer, with calibration certificates available.
This setup ensured a complete dataset for analysing how each track transmits vibrations through the superstructure. Figure 1 shows the sensor positions and the field test arrangement.

2.2. Signal Processing

The recorded acceleration data were preprocessed to ensure a reliable analysis of vibration propagation and energy dissipation. Figure 2 and Figure 3 show representative acceleration signals obtained from the 100 cm drop-weight impact test on Track 1 (normal vibration) and Track 2 (amplified vibration), respectively. The results show that the slab and underground sensors of Track 2 recorded higher peak acceleration magnitudes, measuring 82.39 m/s2 and 11.34 m/s2, respectively, compared to Track 1, where the corresponding peak accelerations were 55.66 m/s2 and 9.01 m/s2.
Furthermore, as input for the numerical simulation, the time-dependent impact force acting on the track was required. This force was calculated by converting the measured acceleration of the drop weight into force using Newton’s second law:
F ( t ) = m a c ( t )
where  F ( t )  is the force, m is the mass of the drop weight, and  a c ( t )  is the baseline-corrected acceleration measured by a sensor mounted on the drop weight. The baseline correction was performed by subtracting the mean pre-impact acceleration, yielding
a c ( t ) = a ( t ) a b a s e
The effective contact duration was determined from the filtered acceleration signal. It was defined as the time interval between the local minimum before initial contact and the local minimum after contact separation. Initial contact was identified when the acceleration exceeded the baseline level, and contact separation when the acceleration returned below this level. For each impact, the impulse was calculated by numerical integration of the reconstructed force over the identified contact duration.
J i = t start , i t end , i F ( t ) d t
where  J i  represents the impulse and the total impulse:
J tot = i J i
This was verified by checking that
J tot m hammer v 0
where  v 0  is the nominal impact velocity derived from the free-fall height.
Figure 4 shows the measured force–time response for a 100 cm drop-weight impact on Track 2, indicating an effective impact duration of 45.385 ms, a peak impact force of 2935.79 N, and a corresponding impact impulse of 19.68 N·s for the first peak.

Time Delay Estimation

The Generalized Cross-Correlation with Phase Transform (GCC-PHAT) is a robust method for estimating the time difference of arrival between two signals, particularly effective in noisy or reverberant environments [39]. In this study, it was employed to determine the travel time of vibration waves between sensor locations along the superstructure and underlying layers. The resulting time delay quantifies the duration required for vibrations to propagate through the track system, thereby providing insight into the local material properties and transmission characteristics [40]. The GCC-PHAT method computes the cross-correlation by emphasizing phase information, which makes it resilient to reverberation and uncorrelated noise [41,42]. This technique calculates the delay by identifying the lag that maximizes the similarity between the signals [43,44].
In this method, each signal pair undergoes spectral analysis through the discrete Fourier transform. The cross-power spectrum  G 12 ( f )  is computed as the product of the Fourier transform of the first signal and the complex conjugate of the second:
G 12 ( f ) = X 1 ( f ) · X 2 ( f )
To remove magnitude bias and equalize the contribution from all frequency components, PHAT weighting is applied as:
G 12 PHAT ( f ) = G 12 ( f ) | G 12 ( f ) | + ε
where  ϵ  is a small regularization term that prevents division by zero. The weighted cross-correlation function in the time domain is then obtained by the inverse Fourier transform:
R x y PHAT ( τ ) = F 1 G 12 PHAT ( f )
The time delay  τ m a x  is determined by locating the lag corresponding to the maximum of  R x y PHAT :
τ max = arg max τ . ( R x y PHAT ( τ ) )
Finally, the time delay in seconds is obtained as:
τ = k max f s
where  f s  denotes the sampling frequency and  K m a x  is the discrete lag index corresponding to the maximum correlation.
This implementation accounts for offset removal, zero-padding to the nearest power of two for improved FFT efficiency, and optional delay search constraints to refine peak localization. The method produces a sharper cross-correlation peak compared to standard correlation, leading to enhanced precision in travel-time estimation between closely spaced track sensors.
Physically, the obtained time delays reveal the vibration propagation characteristics through multiple layers of the track system. Longer delays may indicate regions with lower stiffness or higher damping, while shorter delays correspond to stiffer or well-coupled structural interfaces. Moreover, delay variations across multiple sensor pairs provide insight into the energy dissipation and wave dispersion mechanisms within the sleeper, ballast, and slab interfaces [45,46,47,48,49].
Table 1 summarises the measured wave propagation times between sensors for Track 1 and Track 2. Track 1 exhibits a monotonically decreasing delay pattern from the drop weight to the underground, reflecting progressively shorter propagation times as vibrations travel through increasingly stiff and well-bonded interfaces from the weight–sleeper contact down to the foundation. In contrast, Track 2 shows comparable delays for the weight–sleeper and sleeper–slab interfaces compared to Track 1, whereas the slab–underground delay is markedly longer.

2.3. Natural Frequencies

The natural frequency of a railway track is a crucial parameter that determines its dynamic response to train loads and external forces. In this study, an excitation impact was conducted using a weight drop to measure the frequency of the track’s oscillations. Defined as the inherent oscillatory frequency of the track system in the absence of external damping, it plays a pivotal role in structural health monitoring (SHM) [50,51], design optimization, and predictive maintenance. Obtaining the natural frequency of the structure and infrastructure will be used to monitor its dynamic response over time. In the field of SHM, any deviation in the frequency–time domain is considered degradation and damage to the railway track [52,53].
To determine the modal frequencies of the railway track, the Frequency Response Function (FRF) was evaluated. The FRF establishes a direct relationship between the output response of a system and the applied input in the frequency domain, and is defined as
H ( ω ) = Y ( ω ) X ( ω ) ,
where in (11),  Y ( ω )  is the output spectrum,  X ( ω )  is the input spectrum, and  H ( ω )  is the FRF (transfer function) at angular frequency  ω . In practice, the FRF was estimated using the H1 estimator:
H 1 ( f ) = P x y ( f ) P x x ( f ) ,
where  P x y ( f )  is the cross-spectral density between the acceleration response and the force input, and  P x x ( f )  is the auto-spectral density of the force input. The cross- and auto-spectral densities were obtained by Welch’s method: the time-domain force and acceleration signals were segmented into overlapping blocks (segment length  n seg  chosen as a power of two, 50% overlap), each block was windowed with a Hann window, and the FFTs of the windowed segments were averaged to form  P x y P x x , and  P y y . In the present study, this resulted in  n seg = 65 , 536  samples and a frequency resolution  Δ f = f s / n seg 1.46  Hz.
The quality of the measured FRFs was assessed using the magnitude squared coherence function. Coherence quantifies both the linearity between input and output and the effective signal-to-noise ratio, and is defined as
γ 2 ( f ) = P x y ( f ) 2 P x x ( f ) P y y ( f ) ,
where  P x y ( f )  is the cross-spectral density between input and response,  P x x ( f )  is the auto-spectral density of the input, and  P y y ( f )  is the auto-spectral density of the response. The coherence takes values in the range  0 γ 2 ( f ) 1 ; values of  γ 2 ( f ) 1  indicate a highly linear, low-noise relationship between input and output, whereas values  γ 2 ( f ) 0.7  typically reflect significant noise, nonlinearity, or leakage effects. In the present work, peaks for which the coherence dropped below a minimum threshold  γ min 2 = 0.10  were discarded from further modal identification. This conservative threshold was adopted because drop-weight impacts introduce transient energy concentrated in short time intervals, resulting in relatively noisy acceleration signals at frequencies distant from modal resonances; however, true modal peaks emerge sharply above the noise floor and are easily distinguished at low coherence thresholds. Preliminary analysis on the Track 1 baseline data confirmed that peaks with  γ 2 < 0.10  corresponded to non-repeatable noise patterns across the ten repeated drop tests, whereas peaks with  γ 2 0.10  showed stable frequency and phase across trials. Additionally, the PolyMAX method described below applies further filtering; peaks passing both the coherence threshold and PolyMAX stabilization criteria were retained as physical modes.
For a more robust extraction of modal parameters, including natural frequencies, damping ratios, and mode shapes, from the measured FRFs, the Polynomial Maximum Likelihood (PolyMAX) method was employed. In this approach, the FRF is represented in the complex frequency domain by a rational polynomial model
H ( s ) = B ( s ) A ( s ) = k = 0 n B β k s k k = 0 n A α k s k ,
where  s = j 2 π f  is the complex frequency,  B ( s )  and  A ( s )  are numerator and denominator polynomials, and  β k  and  α k  are complex coefficients to be estimated. The modal poles  λ i  are obtained from the roots of the characteristic polynomial
A ( s ) = 0 s = λ i ,
from which the natural frequencies and damping ratios follow as
f n , i = | λ i | 2 π , ζ i = ( λ i ) | λ i | .
The corresponding residues provide the mode-shape components at the measurement degrees of freedom. To ensure reliable identification, PolyMAX is applied for a sequence of model orders and the resulting poles are evaluated in a stabilization diagram; modes that remain stable across increasing orders in terms of frequency and damping are classified as physical modes and retained for subsequent comparison with the finite element model.
Figure 5 presents the measured frequency response functions (FRFs) of the track system, which are summarized in Table 2 and Table 3. All FRF measurements and modal parameters reported in these tables were extracted using the H1 estimator with Welch’s method (Hann window, 50% overlap, segment length chosen as a power of two) followed by PolyMAX modal identification with stabilization diagram validation, ensuring that only robust, physically meaningful modal frequencies and damping ratios are retained.

2.4. Modal Parameters

The complete characteristics of a railway track cannot be fully identified using natural frequencies and mode shapes. To capture the dynamic behavior precisely, modal parameters such as modal mass and modal stiffness are used. Extracting modal properties from the experimental frequency response function (FRF) measurements is a complex process that connects the experimental data to the numerical simulation.
Modal parameters are intrinsic properties that characterize the mass and stiffness associated with each vibration mode. Modal mass ( m ψ ) represents the effective mass that participates in the vibration mode; likewise, modal stiffness ( k ψ ) represents the restorative force characteristics for that mode.
The most practical approach for determining modal parameters from experimental data involves direct extraction from FRF measurements at resonant conditions. This method circumvents the need for complete spatial mode shape information and provides computationally efficient parameter estimation suitable for field applications [54].
The modal mass for each identified mode can be calculated using the following equation:
m = 1 2 ζ ω r | H ( ω r ) |
where  ω r  is the resonant frequency,  ζ  is the damping ratio, and  | H ( ω r ) |  represents the FRF magnitude at resonance. Subsequently, the modal stiffness is determined through the fundamental eigenvalue relationship:
k = m ω r 2
Equations (13) and (14) thus provide, for each identified resonance, a consistent set of modal mass and modal stiffness values directly linked to the measured FRFs and PolyMAX damping estimates. These experimentally derived modal parameters form the quantitative basis for validating and updating the finite element model of the track, ensuring that the numerical representation reproduces not only the natural frequencies but also the effective dynamic stiffness and inertia associated with the dominant vibration modes. The resulting modal masses and modal stiffnesses for the identified modes are summarized in Table 2 and Table 3.

2.5. Time-Frequency Analysis of Wave Propagation

While the FRF-based modal analysis characterizes the global modal properties of the track (natural frequencies, damping ratios, and modal masses/stiffnesses), it does not explicitly describe how transient wave energy propagates between sensors in time. To address this, a time-frequency analysis based on the Short Time Fourier Transform (STFT) was performed on the measured acceleration signals. The STFT provides a time–resolved spectrum
S T F T ( t , f ) = x ( τ ) w ( τ t ) e j 2 π f τ d τ ,
where  x ( τ )  is the acceleration response and w is a window function, yielding a spectrogram  | STFT ( t , f ) |  that shows how different frequency components evolve in time. For this study, a Hann window was applied to each time segment. The Hann window is defined as
w [ n ] = 0.5 1 cos 2 π n N 1 , n = 0 , 1 , , N 1 ,
where N is the segment length, approximately 0.1 s (rounded to a power of two) to balance temporal and frequency resolution. Adjacent segments overlap by 75%, and the Hann window tapers smoothly to zero at the boundaries, thereby reducing spectral leakage that would otherwise occur with abrupt rectangular windowing.
Figure 6 illustrates the time–frequency response for the sensors on the superstructure. Figure 6e,f show the results for the underground sensors for both track superstructures. For Track 1, the spectrogram shows a small number of short wave packets with dominant energy below approximately 150 Hz, which decay rapidly with time. In contrast, Track 2 exhibits stronger and more persistent energy in the 100–250 Hz range, with repeated vibration events extending over a longer duration. Beyond these quantitative observations, the STFT spectrograms in Figure 6 provide a clear visual comparison between the two tracks, highlighting the longer persistence and higher concentration of energy at mid-frequencies for Track 2. The corresponding band-integrated envelopes in Figure 7 further quantify the different decay rates of underground vibration energy for the two configurations.

3. Numerical Simulation

Numerical simulation has become an indispensable tool for investigating the complex dynamic behaviour of the railway superstructure, complementing and extending the insights obtained from experimental studies. The inherent geometric and material complexities of modern track systems necessitate the use of finite element (FE) methods to capture the detailed interactions among rails, sleepers, slabs, and the underlying foundation. Recent advances in FE modelling have enabled researchers to simulate the individual and collective contributions of track components to vibration response and noise emission with high fidelity [55,56]. Such models also serve as powerful benchmarks for evaluating the effectiveness of various mitigation strategies aimed at improving track performance and longevity [57].
In this study, we employ an FE-based representation of the railway superstructure using ANSYS commercial software [58], as illustrated in Figure 8. The material properties and structural parameters for each component are chosen to closely match real-world conditions and are summarized in Table 4. Particular attention is given to modelling the rail as structural steel with a Young’s modulus of  2 × 10 11  Pa and a Poisson’s ratio of 0.3, and the slab as concrete with a Young’s modulus of  3 × 10 10  Pa and a Poisson’s ratio of 0.18. Leveraging this detailed FE model, we aim to interpret the substantial variations in acceleration response observed during field testing and to provide a robust numerical benchmark for diagnosing underlying mechanical differences that are not apparent through visual inspection alone.
The modal analysis is performed on the FE model of the railway track infrastructure using the mechanical properties of Table 4. Furthermore, appropriate bonding between elements and restrictive boundary conditions are considered for both ends of the track and the vertical displacement of the concrete bed is constrained. The FE model was calibrated using real-world data obtained as described in the previous section. Calibration was performed iteratively by adjusting uncertain stiffness parameters so that the FE model predicted natural frequencies and frequency response functions at the sensor locations matched the experimentally identified modal frequencies, damping ratios, and FRF amplitudes obtained from the PolyMAX analysis, within a prescribed tolerance. The calibration procedure employed experimentally derived parameters from multiple measurement modalities. These included modal parameters—natural frequencies and modal stiffness—from frequency response function analysis (Table 2 and Table 3); peak acceleration responses from drop-weight impact testing (Figure 2 and Figure 3); wave propagation delays estimated via cross-correlation analysis (Table 1); and impact force characteristics reconstructed from acceleration measurements (Equations (1)–(5)). Iterative stiffness adjustment was performed to align model predictions with these measured parameters.
A modal simulation result of the railway track is illustrated in Figure 9.
The weight-drop simulation is driven by the impact force history identified from the experimental test. A time-dependent vertical force, identical to the measured force shown in Figure 10, is applied to the rail at the impact location, with an effective contact duration of 45.385 ms for the 100 cm drop height as previously derived. The resulting directional accelerations are evaluated at the sleeper and concrete bed to enable a direct comparison between numerical predictions and measured responses.
Figure 11 presents the directional accelerations in the X, Y, and Z axes, together with the corresponding sleeper deformation under the impact load.
Figure 12 illustrates the directional accelerations of the slab track, while Figure 13 depicts the corresponding accelerations within the underground structural components. The FE model was validated against the suite of experimentally measured parameters including natural frequencies, modal stiffness, peak accelerations at multiple depths, wave propagation delays, and time-frequency characteristics. The correspondence between FE predictions and these measured parameters across all sensor locations confirms that the model accurately represents the dynamic behavior of the experimental system.

3.1. Damage in Sleeper and Slab: Stiffness Loss Modeling

Cracking or stiffness loss in the sleeper–slab interface can lead to increased local deflections, altered modal properties, and higher vibration levels transmitted to the underground structure. In the present study, the combination of underground vibration spectra, response time delay, and changes in identified modal parameters is consistent with the presence of damage in the slab system [59]. To investigate whether local stiffness loss explains the observed anomalies, the validated FE model was modified to introduce progressive stiffness reduction at the sleeper–slab interface. The interface stiffness was reduced using a damage factor  α  (ranging from 0 for undamaged to 1 for complete failure) according to
K eff = ( 1 α ) K baseline
where  K baseline  is the stiffness of the undamaged interface and  K eff  is the effective stiffness under damage. Multiple damage scenarios were analyzed by varying  α . All other model parameters remained fixed at their experimentally calibrated Track 1 baseline values. The physical basis for stiffness reduction is that crack opening reduces the effective contact area at the interface, thereby decreasing the mechanical coupling stiffness [60,61].

3.2. Physical Mechanism and Energy Transfer

When cracking or stiffness reduction occurs at the sleeper–slab interface, part of the input energy is no longer dissipated efficiently within the slab and sleeper but is instead transmitted to the ground level. This local damage state leads to an increase in total acceleration within the concrete slab, particularly near the damaged region (Figure 14c), and modifies the distribution of strain energy between the track components and the underground structure (Figure 14d). The frequency content of the underground response, together with the observed time delay and changes in mode shapes and natural frequencies, further supports the interpretation of a damaged track–slab configuration. Figure 14 compares the dynamic response of the railway system under impact excitation for an undamaged configuration (panels a–b) and a configuration with stiffness loss in the slab region (panels c–d). The results are presented in terms of total acceleration of the concrete slab and strain energy transmitted to the underground structure, highlighting the amplification of vibration and energy transfer associated with structural damage. Such deterioration promotes enhanced energy transfer toward the underground structure, while simultaneously reducing the effectiveness of the track in attenuating impact-induced vibrations, which is critical for urban rail maintenance because it may accelerate deterioration of both the track and adjacent infrastructure.

4. Discussion

The study investigated the effects of stiffness loss in the sleeper–slab region, motivated by the experimentally observed changes in underground vibration spectra, time delays, and modal indicators that are consistent with structural damage rather than purely elastic softening. Local stiffness reductions were introduced beneath the impact location to numerically reproduce potential damage scenarios, and the resulting changes in FRFs, STFT signatures, and modal properties were compared with the experimental findings. The simulations show that cracking or stiffness loss leads to increased local deflections, shifts in natural frequencies, and higher vibration levels transmitted to the underground structure, in line with the damage-sensitive features extracted from the measurements.
The time-delay analysis shows a clear divergence in wave propagation between the two tracks, despite their nominally identical design. For Track 1, the GCC-PHAT delays decrease smoothly from the weight to the underground, indicating a progressively stiffer and well-coupled transmission path through the sleeper, slab, and underground. In Track 2, the weight–sleeper and sleeper–slab delays remain comparable to Track 1, but the slab–underground delay is markedly longer for all impact heights, which points to an anomaly specifically at the slab–underground interface. This divergence provides a diagnostic indicator for condition-based maintenance: sustained delay increases >1.5 ms beyond baseline signal interface degradation, triggering priority inspection and remedial grouting or bearing replacement before critical failure.
The FRF-based modal analysis complements these findings by revealing how the dynamic characteristics of each structural layer differ between the two tracks. In Track 1, the sleeper, slab, and underground sensors exhibit a coherent set of modes with natural frequencies and modal stiffnesses that follow the expected trend: relatively higher frequencies and stiffness at the sleeper and slab, and large modal masses and stiffnesses for the underground structure. In Track 2, several modal frequencies at the slab and underground sensors shift and cluster differently, and the corresponding modal masses and stiffnesses deviate from the Track 1 pattern, indicating altered dynamic interaction between the slab and the supporting structure. These shifts in modal parameters align with the longer slab–underground delays and suggest that Track 2 behaves as a less stiff, more weakly coupled system at the slab–foundation interface, even though the superstructure design is nominally the same. Modal frequency drops >5–10% or stiffness decreases >15% can be used to rank maintenance priorities, allocating inspection resources to high-risk sections while avoiding unnecessary work on sound infrastructure.
The STFT spectrograms and band-integrated envelopes provide a time–frequency view that links the delay and FRF observations to the actual energy content of the vibrations. At the underground sensor, Track 1 shows short wave packets with energy concentrated mainly below about 150 Hz, decaying rapidly after the impact, which corresponds to efficient attenuation of ground-borne vibrations. Track 2, by contrast, exhibits stronger and more persistent energy in the 100–250 Hz band, with repeated late arrivals and slower decay in the envelopes, indicating that the modified track configuration transmits and stores more vibrational energy in the ground. The STFT patterns and decay rates therefore confirm that the combination of longer travel times, shifted modal properties, and increased mid-frequency content in Track 2 is consistent with local stiffness loss or damage at the slab–foundation interface, rather than with differences in excitation or global structural design. Automated dashboards comparing STFT signatures against baseline thresholds (e.g., >20% longer decay times) enable rapid alert escalation to maintenance crews, shifting detection from months to hours.
The energy-based analysis confirms that, in the damaged (stiffness-loss) state, total acceleration in the concrete slab increases and a larger fraction of input energy is transferred to the underground layer as strain energy. This behaviour indicates that local degradation of the slab system amplifies, rather than mitigates, vibration transmission, which is critical for urban rail maintenance because it may accelerate deterioration of both the track and adjacent infrastructure. The identified changes in time–frequency content, time delays between surface and underground responses, and modal parameters provide a consistent set of damage indicators that can be exploited for condition assessment and structural health monitoring.
Overall, the combined use of experimental FRFs, STFT-based time–frequency analysis, modal identification, and calibrated FE modelling forms a powerful hybrid framework for early defect detection and continuous health monitoring of railway infrastructure. This framework enables transition from reactive post-failure maintenance to data-driven predictive strategies: baseline signatures at commissioning, periodic FRF/STFT acquisition (quarterly to annually), automated anomaly flagging, and risk-ranked repair scheduling. Expected outcomes include 20–30% reduction in unplanned outages, extended asset lifespans, and improved safety through early intervention. Deviations from the expected dynamic signatures in any of these domains, such as shifts in resonant peaks, modifications of STFT energy ridges, or variations in modal frequencies and damping, can be rapidly linked to potential stiffness loss or interface damage, enabling targeted and proactive maintenance interventions.
Beyond the technical interpretation of the vibration data, the proposed hybrid framework also has clear implications for sustainability. By enabling early detection of stiffness loss and other hidden defects, it reduces the likelihood of emergency repairs and unplanned interventions, which in turn lowers material consumption and energy use associated with frequent component replacement. At the same time, more effective control of vibration transmission helps to limit noise and vibration exposure for nearby residents, reducing social disturbance and supporting a more acceptable coexistence between the metro infrastructure and the surrounding urban environment. Early detection and prevention reduce lifecycle carbon footprint and support circular economy principles in urban transport.

5. Conclusions

This study demonstrates that a hybrid experimental–numerical approach can reliably characterize vibration propagation in metro slab tracks and diagnose hidden structural degradation. By combining controlled impact tests with FRF-based modal analysis, STFT time–frequency maps, and GCC-PHAT time-delay estimation, the work shows that one of two nominally identical tracks exhibits longer slab–underground travel times, shifted modal properties, and more persistent mid-frequency underground energy, all consistent with local stiffness loss or damage at the slab–foundation interface rather than with differences in excitation or global design. A calibrated three-dimensional finite element model reproduces these signatures and confirms that such stiffness degradation leads to higher slab accelerations and increased vibration transmission to the underground structure. Together, these results establish a practical vibration-based diagnostic framework that supports targeted, condition-based maintenance and contributes to more sustainable, lower-impact urban rail infrastructure by enabling earlier detection of defects, extending asset service life, and reducing vibration exposure for nearby communities.
Future research should extend this framework toward operational deployment by validating the diagnostic thresholds across diverse metro systems and alternative track typologies (ballasted tracks, floating-slab systems, and box-girder structures). Integration with Internet of Things platforms and machine learning algorithms will enable real-time, continuous monitoring and automated anomaly detection across metro-wide sensor networks, transforming periodic surveys into intelligent asset management systems. Standardization of these metrics into international railway condition assessment guidelines and fusion with complementary non-destructive evaluation techniques (ground-penetrating radar, ultrasonic sounding, and thermography) will accelerate adoption by operators and maximize the sustainability and safety benefits achievable through data-driven, predictive maintenance strategies.

Author Contributions

Conceptualization, H.G.R. and F.M.; methodology, H.G.R.; software, H.G.R., T.M. and D.V.; validation, H.G.R. and F.M.; formal analysis, H.G.R.; investigation, H.G.R.; resources, F.P.; data curation, H.G.R. and F.M.; writing—original draft preparation, H.G.R.; writing—review and editing, H.G.R., F.M., T.M., D.V. and F.P.; visualization, H.G.R.; supervision, F.P.; and project administration, F.M. All authors have read and agreed to the published version of the manuscript.

Funding

This research received no external funding.

Institutional Review Board Statement

Not applicable.

Informed Consent Statement

Not applicable.

Data Availability Statement

Data are available on request due to restrictions.

Acknowledgments

The authors would like to acknowledge the financial support trough the Open Access Funding by the Graz University of Technology.

Conflicts of Interest

Thomas Mayer was employed by “Voestalpine Railway Systems GmbH, 8740 Zeltweg, Austria”. Dino Velic was employed by “Voestalpine Signaling Austria GmbH, 8740 Zeltweg, Austria”. The authors, Haniye Ghafouri Rouzbahani, Francesco Marangon, and Ferdinand Pospischil, declare that the research was conducted in the absence of any commercial or financial relationships that could be construed as no conflict of interest.

References

  1. Lin, D.; Vos, J.D.; Maruyama, T.; Bobylev, N.; Cui, J. Metro-Related Transfers: A Review of Recent Literature. J. Urban Plan. Dev. 2022, 148, 03122002. [Google Scholar] [CrossRef]
  2. Mohammadi, A.; Amador-Jimenez, L.; Nasiri, F. Review of asset management for metro systems: Challenges and opportunities. Transp. Rev. 2019, 39, 309–326. [Google Scholar] [CrossRef]
  3. Zhang, S.; Lo, H.K.; Ng, K.F.; Chen, G. Metro system disruption management and substitute bus service: A systematic review and future directions. Transp. Rev. 2021, 41, 230–251. [Google Scholar] [CrossRef]
  4. Lin, D.; Broere, W.; Cui, J. Metro systems and urban development: Impacts and implications. Tunn. Undergr. Space Technol. 2022, 125, 104509. [Google Scholar] [CrossRef]
  5. Hao, Y.; Qi, H.; Liu, S.; Nian, V.; Zhang, Z. Study of noise and vibration impacts to buildings due to urban rail transit and mitigation measures. Sustainability 2022, 14, 3119. [Google Scholar] [CrossRef]
  6. Guo, Q.; Wang, Y.; Dong, X. Effects of smart city construction on energy saving and CO2 emission reduction: Evidence from China. Appl. Energy 2022, 313, 118879. [Google Scholar] [CrossRef]
  7. Jing, Q.L.; Liu, H.Z.; Yu, W.Q.; He, X. The impact of public transportation on carbon emissions—From the perspective of energy consumption. Sustainability 2022, 14, 6248. [Google Scholar] [CrossRef]
  8. Milewicz, J.; Mokrzan, D.; Szymański, G.M. Environmental impact evaluation as a key element in ensuring sustainable development of rail transport. Sustainability 2023, 15, 13754. [Google Scholar] [CrossRef]
  9. Ouakka, S.; Verlinden, O.; Kouroussis, G. Railway ground vibration and mitigation measures: Benchmarking of best practices. Railw. Eng. Sci. 2022, 30, 1–22. [Google Scholar] [CrossRef]
  10. Song, L.; Xu, X.; Liu, Q.; Zhang, H.; Zhang, Y. Characteristics and Control of Subway Train-Induced Environmental Vibration: A Case Study. Buildings 2024, 14, 4080. [Google Scholar] [CrossRef]
  11. Sadeghi, J.; Vasheghani, M. Safety of buildings against train induced structure borne noise. Build. Environ. 2021, 197, 107784. [Google Scholar] [CrossRef]
  12. Thompson, D.J.; Kouroussis, G.; Ntotsios, E. Modelling, simulation and evaluation of ground vibration caused by rail vehicles. Veh. Syst. Dyn. 2019, 57, 936–983. [Google Scholar] [CrossRef]
  13. Marangon, F.; Höfler, M.; Pospischil, F.; Prettner, L. Schlupfwellen und ihre Auswirkungen auf dynamische Vertikallasten in U-Bahnen. Eisenbahntech. Rundsch. 2024, 2024, 60–63. [Google Scholar]
  14. Yan, L.; Chen, Z.; Zou, Y.; He, X.; Cai, C.; Yu, K.; Zhu, X. Field Study of the Interior Noise and Vibration of a Metro Vehicle Running on a Viaduct: A Case Study in Guangzhou. Int. J. Environ. Res. Public Health 2020, 17, 2807. [Google Scholar] [CrossRef] [PubMed]
  15. Li, X.; Hu, Z.; Zou, C. Noise annoyance and vibration perception assessment on passengers during train operation in Guangzhou Metro. Environ. Sci. Pollut. Res. 2022, 29, 4246–4259. [Google Scholar] [CrossRef] [PubMed]
  16. Remennikov, A.M.; Kaewunruen, S. A review of loading conditions for railway track structures due to train and track vertical interaction. Struct. Control Health Monit. Off. J. Int. Assoc. Struct. Control Monit. Eur. Assoc. Control Struct. 2008, 15, 207–234. [Google Scholar] [CrossRef]
  17. Kouroussis, G.; Connolly, D.P.; Verlinden, O. Railway-induced ground vibrations—A review of vehicle effects. Int. J. Rail Transp. 2014, 2, 69–110. [Google Scholar] [CrossRef]
  18. Nielsen, J.C.; Lundén, R.; Johansson, A.; Vernersson, T. Train-track interaction and mechanisms of irregular wear on wheel and rail surfaces. Veh. Syst. Dyn. 2003, 40, 3–54. [Google Scholar] [CrossRef]
  19. Marangon, F.; Höfler, M.; Pospischil, F. Measurements on Correlation Between Rail Corrugation and Vertical Loads. In Proceedings of the IAVSD International Symposium on Dynamics of Vehicles on Roads and Tracks; Springer: Berlin/Heidelberg, Germany, 2023; pp. 909–918. [Google Scholar]
  20. Thompson, D. Track Vibration. In Railway Noise and Vibration; Elsevier: Amsterdam, The Netherlands, 2009; pp. 29–95. [Google Scholar] [CrossRef]
  21. Ludovico, M.D.; Shi, C.; Cai, Y.; Chen, N.; Shi, Y.; Cai, N.; Chen, Y. Research on the Vibration Propagation Characteristics of Non-Uniform Speed Trains Entering and Leaving Stations Based on Field Measurements. Buildings 2025, 15, 1091. [Google Scholar] [CrossRef]
  22. Can, Ö.; Torun, A.R. Review of railway rolling noise and ground vibration and track-related mitigation measures-Recent developments. Artıbilim Adana Alparslan Turkeş Bilim Ve Teknol. Univ. Fen Bilim. Derg. 2022, 5, 33–50. [Google Scholar] [CrossRef]
  23. Lakušić, S.; Ahac, M. Rail traffic noise and vibration mitigation measures in urban areas. Teh. Vjesn. 2012, 19, 427–435. [Google Scholar]
  24. Li, X.; Ma, J.; Xu, N. Influence of metro track parameters on vibration characteristics of vibration damping track. Noise Vib. Worldw. 2022, 53, 511–519. [Google Scholar] [CrossRef]
  25. Zhang, Y.; Han, J.; Song, H.; Liu, Y. Subway Embedded Track Geometric Irregularity Safety Limits. J. Mech. Eng. 2021, 34, 96. [Google Scholar] [CrossRef]
  26. Kedia, N.K.; Kumar, A.; Singh, Y. Effect of rail irregularities and rail pad on track vibration and noise. KSCE J. Civ. Eng. 2021, 25, 1341–1352. [Google Scholar] [CrossRef]
  27. Correia, J.A.F.O.; Ribeiro, D.; Rakoczy, A.M.; Auersch, L. Different Types of Continuous Track Irregularities as Sources of Train-Induced Ground Vibration and the Importance of the Random Variation of the Track Support. Appl. Sci. 2022, 12, 1463. [Google Scholar] [CrossRef]
  28. Karpenko, M.; Ževžikov, P.; Stosiak, M.; Skačkauskas, P.; Borucka, A.; Delembovskyi, M. Vibration Research on Centrifugal Loop Dryer Machines Used in Plastic Recycling Processes. Machines 2024, 12, 29. [Google Scholar] [CrossRef]
  29. Zou, C.; Wang, Y.; Wang, P.; Guo, J. Measurement of ground and nearby building vibration and noise induced by trains in a metro depot. Sci. Total Environ. 2015, 536, 761–773. [Google Scholar] [CrossRef] [PubMed]
  30. Yang, J.; Zhu, S.; Zhai, W.; Kouroussis, G.; Wang, Y.; Wang, K.; Lan, K.; Xu, F. Prediction and mitigation of train-induced vibrations of large-scale building constructed on subway tunnel. Sci. Total Environ. 2019, 668, 485–499. [Google Scholar] [CrossRef]
  31. Tao, Z.; Wang, Y.; Sanayei, M.; Moore, J.A.; Zou, C. Experimental study of train-induced vibration in over-track buildings in a metro depot. Eng. Struct. 2019, 198, 109473. [Google Scholar] [CrossRef]
  32. Chen, Y.; Feng, Q.; Liu, Q. Experimental study on the train-induced vibration characteristics in the over-track buildings of metro depots. J. Build. Eng. 2025, 111, 113523. [Google Scholar] [CrossRef]
  33. Mei, C.; Wang, J. Finite element analysis of train-induced ground vibrations in metro tunnels. Soil Dyn. Earthq. Eng. 2017, 97, 377–386. [Google Scholar]
  34. Chen, L.; Zhao, H. Numerical simulation of the vibration propagation induced by subway trains. J. Vib. Control 2019, 27, 515–528. [Google Scholar]
  35. Zhao, Y.; Li, X. Modeling wave propagation in urban rail transit systems: Influence of track and soil properties. Veh. Syst. Dyn. 2020, 50, 619–639. [Google Scholar]
  36. Li, W.; Wang, F. Numerical investigation of vibration attenuation of metro track with floating slab. Soil Dyn. Earthq. Eng. 2021, 157, 107246. [Google Scholar]
  37. Wang, L.; Huang, Q. Simulation of ground vibration induced by underground rail transit using hybrid numerical methods. Eng. Struct. 2022, 243, 112720. [Google Scholar]
  38. Johnson, M.; Singh, A. Advanced numerical modeling and validation of train-induced vibration propagation for structural health monitoring. J. Rail Rapid Transit 2023, 237, 663–679. [Google Scholar]
  39. Velasco, J.; Martín-Arguedas, C.J.; Macias-Guarasa, J.; Pizarro, D.; Mazo, M. Proposal and validation of an analytical generative model of SRP-PHAT power maps in reverberant scenarios. Signal Process. 2016, 119, 209–228. [Google Scholar] [CrossRef]
  40. Li, J.X.; Liu, X. Time-delay feedback control on vertical vibration of maglev train under unsteady aerodynamic force. INTER-NOISE NOISE-CON Congr. Conf. Proc. 2024, 270, 3661–3668. [Google Scholar] [CrossRef]
  41. Turchet, L.; Serafin, S. A preliminary study on sound delivery methods for footstep sounds. In Proceedings of the 14th International Conference on Digital Audio Effects, Paris, France, 19–23 September 2011; Peeters, G., Ed.; Institut de Recherche et de Coordination Acoustique/Musique: Paris, France, 2011; pp. 53–58. [Google Scholar]
  42. Gautam, B.; Guragain, A.; Giri, S. Real-Time Scream Detection and Position Estimation for Worker Safety in Construction Sites. arXiv 2024, arXiv:2411.03016. [Google Scholar] [CrossRef]
  43. Wang, X.; Sun, H.; Wang, S.; Huang, W. Cross-Correlation Algorithm-Based Optimization of Aliasing Signals for Inductive Debris Sensors. Sensors 2020, 20, 5949. [Google Scholar] [CrossRef]
  44. Zhang, C.; Shen, S.; Huang, H.; Wang, L. Estimation of the Vehicle Speed Using Cross-Correlation Algorithms and MEMS Wireless Sensors. Sensors 2021, 21, 1721. [Google Scholar] [CrossRef] [PubMed]
  45. Sañudo, R.; Jardí, I.; Martínez, J.C.; Sánchez, F.J.; Miranda, M.; Alonso, B.; dell’Olio, L.; Moura, J.L. Monitoring track transition zones in railways. Sensors 2021, 22, 76. [Google Scholar] [CrossRef] [PubMed]
  46. Matsuoka, K.; Kajihara, K.; Tanaka, H. Identification of vibration modes and wave propagation of operational rails by multipoint hammering and reciprocity theorem. Materials 2022, 15, 811. [Google Scholar] [CrossRef]
  47. Ribes-Llario, F.; Marzal, S.; Zamorano, C.; Real, J. Numerical modelling of building vibrations due to railway traffic: Analysis of the mitigation capacity of a wave barrier. Shock Vib. 2017, 2017, 4813274. [Google Scholar] [CrossRef]
  48. Sysyn, M.; Przybylowicz, M.; Nabochenko, O.; Kou, L. Identification of sleeper support conditions using mechanical model supported data-driven approach. Sensors 2021, 21, 3609. [Google Scholar] [CrossRef]
  49. Uranjek, M.; Štrukelj, A. Evaluation of Ballasted Railway Track Response in Potentially Critical Areas Using Vibration Measurements. Sensors 2025, 25, 4363. [Google Scholar] [CrossRef]
  50. Malekjafarian, A.; Khan, M.A.; OBrien, E.J.; Micu, E.A.; Bowe, C.; Ghiasi, R. Indirect monitoring of frequencies of a multiple span bridge using data collected from an instrumented train: A field case study. Sensors 2022, 22, 7468. [Google Scholar] [CrossRef]
  51. Enshaeian, A.; Luan, L.; Belding, M.; Sun, H.; Rizzo, P. A contactless approach to monitor rail vibrations. Exp. Mech. 2021, 61, 705–718. [Google Scholar] [CrossRef]
  52. Omidi Mamaghani, M. Vibration Based Structural Health Monitoring by Using Machine Learning. Master’s Thesis, Politecnico di Milano, Milan, Italy, 2022. [Google Scholar]
  53. Vagnoli, M.; Remenyte-Prescott, R.; Andrews, J. Railway bridge structural health monitoring and fault detection: State-of-the-art methods and future challenges. Struct. Health Monit. 2017, 17, 971–1007. [Google Scholar] [CrossRef]
  54. Marinone, T.; Moya, A. Comparison of FRF Correlation Techniques. Conf. Proc. Soc. Exp. Mech. Ser. 2015, 3, 299–309. [Google Scholar] [CrossRef]
  55. Nardin, R.; Cugnoni, J. Numerical evaluation of rail track noise and vibration and components optimization. INTER-NOISE NOISE-CON Congr. Conf. Proc. 2024, 270, 1762–1770. [Google Scholar] [CrossRef]
  56. Timoshenko, S. Method of analysis of statistical and dynamical stresses in rail. In Proceedings of the Second International Congress for Applied Mechanics; John Wiley & Sons: New York, NY, USA, 1926; pp. 407–418. [Google Scholar]
  57. Norén-Cosgriff, K.; Dahl, B.M.; Park, J.; Kaynia, A.M. FE Modelling as a Design Tool for Mitigation Measures for Railway Vibrations. Notes Numer. Fluid Mech. Multidiscip. Des. 2021, 150, 429–436. [Google Scholar] [CrossRef]
  58. ANSYS Mechanical, Version 2025 R1. Commercial Finite Element Analysis Software. ANSYS Inc.: Canonsburg, PA, USA, 2025.
  59. Ngamkhanong, C.; Ming, Q.Y.; Li, T.; Kaewunruen, S. Dynamic train-track interactions over railway track stiffness transition zones using baseplate fastening systems. Eng. Fail. Anal. 2020, 118, 104866. [Google Scholar] [CrossRef]
  60. Mazars, J. A description of micro- and macroscale damage of concrete structures. Eng. Fract. Mech. 1986, 25, 729–737. [Google Scholar] [CrossRef]
  61. Fan, W.; Qiao, P. Vibration-based Damage Identification Methods: A Review and Comparative Study. Struct. Health Monit. 2011, 10, 83–111. [Google Scholar] [CrossRef]
Figure 1. Field test configuration for the drop-weight impact experiments: (a) definition of the positive vertical measurement direction; (b) accelerometer layout and relative sensor positions with distances referenced to the baseplate side.
Figure 1. Field test configuration for the drop-weight impact experiments: (a) definition of the positive vertical measurement direction; (b) accelerometer layout and relative sensor positions with distances referenced to the baseplate side.
Sustainability 18 02517 g001
Figure 2. Measured acceleration response (m/s2) for the 100 cm drop-weight impact on Track 1, shown for a representative trial from 10 repeated drops at the same impact location. The maximum acceleration magnitudes recorded were 174.40 m/s2 (drop weight), 309.02 m/s2 (sleeper), 55.64 m/s2 (slab), and 9.01 m/s2 (underground).
Figure 2. Measured acceleration response (m/s2) for the 100 cm drop-weight impact on Track 1, shown for a representative trial from 10 repeated drops at the same impact location. The maximum acceleration magnitudes recorded were 174.40 m/s2 (drop weight), 309.02 m/s2 (sleeper), 55.64 m/s2 (slab), and 9.01 m/s2 (underground).
Sustainability 18 02517 g002
Figure 3. Measured acceleration response (m/s2) for the 100 cm drop-weight impact on Track 2, shown for a representative trial from 10 repeated drops at the same impact location. The maximum acceleration magnitudes recorded were 171.10 m/s2 (drop weight), 245.86 m/s2 (sleeper), 82.39 m/s2 (slab), and 11.34 m/s2 (underground).
Figure 3. Measured acceleration response (m/s2) for the 100 cm drop-weight impact on Track 2, shown for a representative trial from 10 repeated drops at the same impact location. The maximum acceleration magnitudes recorded were 171.10 m/s2 (drop weight), 245.86 m/s2 (sleeper), 82.39 m/s2 (slab), and 11.34 m/s2 (underground).
Sustainability 18 02517 g003
Figure 4. Representative single-drop force-time profile (100 cm, Track 2) in multi-drop series: contact phase, max load, and rebound.
Figure 4. Representative single-drop force-time profile (100 cm, Track 2) in multi-drop series: contact phase, max load, and rebound.
Sustainability 18 02517 g004
Figure 5. Modal frequencies obtained using the FRF for both tracks and multiple track components. (a) Track 1, sleeper modal frequencies; (b) Track 1, concrete slab modal frequencies; (c) Track 1, underground modal frequencies; (d) Track 2, sleeper modal frequencies; (e) Track 2, concrete slab modal frequencies; (f) Track 2, underground modal frequencies.
Figure 5. Modal frequencies obtained using the FRF for both tracks and multiple track components. (a) Track 1, sleeper modal frequencies; (b) Track 1, concrete slab modal frequencies; (c) Track 1, underground modal frequencies; (d) Track 2, sleeper modal frequencies; (e) Track 2, concrete slab modal frequencies; (f) Track 2, underground modal frequencies.
Sustainability 18 02517 g005
Figure 6. Hann-windowed STFT spectrograms of the acceleration response for Track 1 and Track 2 at the sleeper, slab, and underground sensors, showing the different time–frequency distributions and persistence of vibration energy.
Figure 6. Hann-windowed STFT spectrograms of the acceleration response for Track 1 and Track 2 at the sleeper, slab, and underground sensors, showing the different time–frequency distributions and persistence of vibration energy.
Sustainability 18 02517 g006aSustainability 18 02517 g006b
Figure 7. Band-integrated magnitude of the acceleration response in the 0–2000 Hz band for the sleeper, slab, and underground sensors under Track 1 and Track 2. Exponential envelope fits to the decay curves are used to estimate configuration-dependent decay rates of ground-borne vibration. (a) Sleeper sensor, 0–2000 Hz band-integrated magnitude for both track configurations. (b) Slab sensor, 0–2000 Hz band-integrated magnitude for both track configurations. (c) Underground sensor, 0–2000 Hz band-integrated magnitude for both track configurations.
Figure 7. Band-integrated magnitude of the acceleration response in the 0–2000 Hz band for the sleeper, slab, and underground sensors under Track 1 and Track 2. Exponential envelope fits to the decay curves are used to estimate configuration-dependent decay rates of ground-borne vibration. (a) Sleeper sensor, 0–2000 Hz band-integrated magnitude for both track configurations. (b) Slab sensor, 0–2000 Hz band-integrated magnitude for both track configurations. (c) Underground sensor, 0–2000 Hz band-integrated magnitude for both track configurations.
Sustainability 18 02517 g007
Figure 8. Finite Element Model (FEM) of the metro slab track in ANSYS 2025 R1.
Figure 8. Finite Element Model (FEM) of the metro slab track in ANSYS 2025 R1.
Sustainability 18 02517 g008
Figure 9. Mode shape of the railway track at natural frequency 86.40 Hz.
Figure 9. Mode shape of the railway track at natural frequency 86.40 Hz.
Sustainability 18 02517 g009
Figure 10. Applied excitation load and plate modification locations.
Figure 10. Applied excitation load and plate modification locations.
Sustainability 18 02517 g010
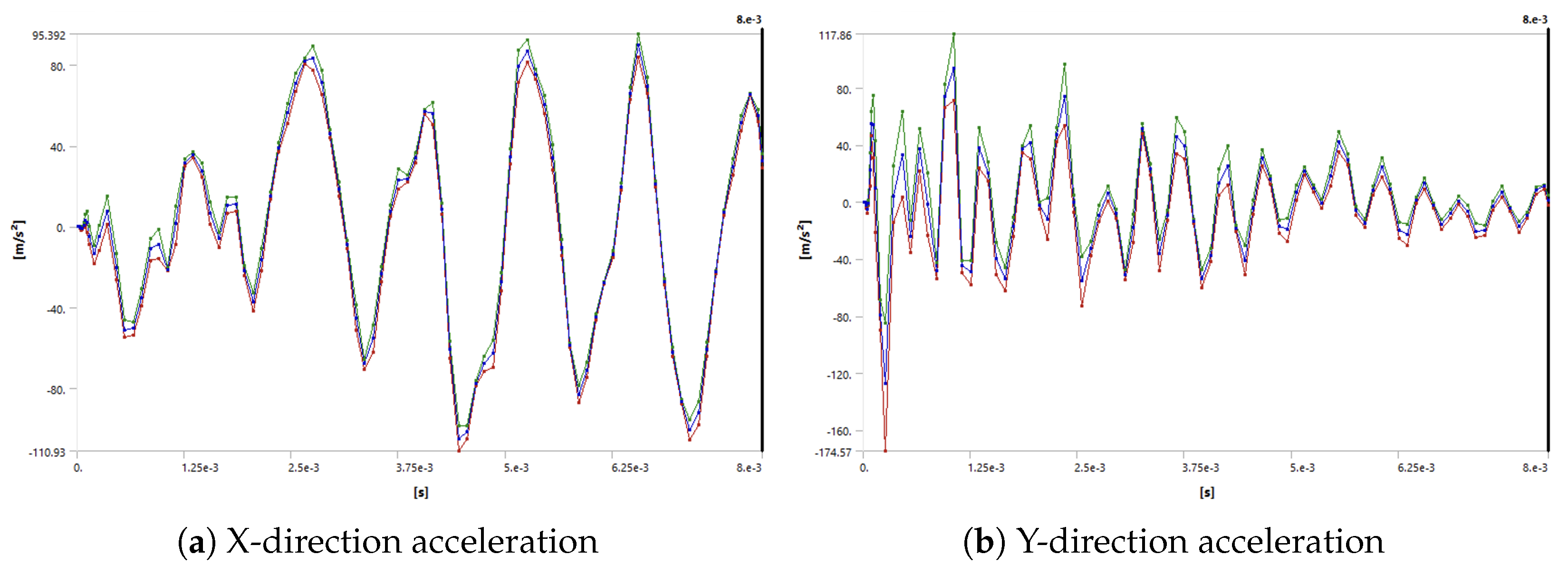
Figure 11. Directional accelerations of the sensor mounted on the sleeper: (a) X direction, (b) Y direction, (c) Z direction, and (d) deformation of the sleeper under the hammer-drop simulation.
Figure 11. Directional accelerations of the sensor mounted on the sleeper: (a) X direction, (b) Y direction, (c) Z direction, and (d) deformation of the sleeper under the hammer-drop simulation.
Sustainability 18 02517 g011aSustainability 18 02517 g011b
Figure 12. Computed directional accelerations (m/s2) at a concrete slab for a 100 cm drop on an undamaged FEM (Track 1 condition). Time series (0–0.5 s): X, Y, and Z directions.
Figure 12. Computed directional accelerations (m/s2) at a concrete slab for a 100 cm drop on an undamaged FEM (Track 1 condition). Time series (0–0.5 s): X, Y, and Z directions.
Sustainability 18 02517 g012
Figure 13. Computed directional acceleration response (m/s2) of the underground structure for the 100 cm drop-weight excitation in the calibrated finite element model, enabling direct comparison with the measured underground sensor response.
Figure 13. Computed directional acceleration response (m/s2) of the underground structure for the 100 cm drop-weight excitation in the calibrated finite element model, enabling direct comparison with the measured underground sensor response.
Sustainability 18 02517 g013
Figure 14. Effect of cracking or stiffness loss in the slab system on dynamic response: (a) total acceleration of the concrete slab in the undamaged state, (b) corresponding strain energy in the underground structure, (c) total acceleration of the concrete slab in the damaged state, and (d) corresponding strain energy in the underground structure.
Figure 14. Effect of cracking or stiffness loss in the slab system on dynamic response: (a) total acceleration of the concrete slab in the undamaged state, (b) corresponding strain energy in the underground structure, (c) total acceleration of the concrete slab in the damaged state, and (d) corresponding strain energy in the underground structure.
Sustainability 18 02517 g014
Table 1. Wave propagation time delays (ms) between sensor pairs for Track 1 and Track 2 at three drop heights. Computed via GCC-PHAT cross-correlation (Section Time Delay Estimation) at 96 kHz sampling.
Table 1. Wave propagation time delays (ms) between sensor pairs for Track 1 and Track 2 at three drop heights. Computed via GCC-PHAT cross-correlation (Section Time Delay Estimation) at 96 kHz sampling.
Sensor Pair40 cm Impact (ms)70 cm Impact (ms)100 cm Impact (ms)
Track 1 Direction
Weight–Sleeper3.723.873.90
Sleeper–Slab2.953.203.15
Slab–Underground2.542.963.02
Track 2 Direction
Weight–Sleeper3.253.403.35
Sleeper–Slab2.983.103.05
Slab–Underground4.504.654.72
Time delays calculated from the peak of the normalized cross-correlation function between acceleration signals.
Table 2. Modal characteristics for Track 1 (baseline) derived from FRF measurements and PolyMAX identification.
Table 2. Modal characteristics for Track 1 (baseline) derived from FRF measurements and PolyMAX identification.
ModeNatural Frequency (Hz)Modal Mass (kg)Modal Stiffness (N/m)
Sleeper
Mode 158.5926.143.54  × 10 6
Mode 271.7829.355.97  × 10 6
Mode 3106.9310.794.87  × 10 6
Mode 4196.2939.335.98  × 10 7
Slab
Mode 119.04269.673.86  × 10 6
Mode 229.30217.797.38  × 10 6
Mode 335.16199.769.75  × 10 7
Mode 4104.00100.374.43  × 10 6
Underground
Mode 119.043135.634.49  × 10 7
Mode 229.302950.861.00  × 10 8
Mode 346.871855.111.61  × 10 8
Mode 4121.582978.671.74  × 10 9
Table 3. Modal characteristics for Track 2 (elevated-vibration condition), same methodology as Table 2.
Table 3. Modal characteristics for Track 2 (elevated-vibration condition), same methodology as Table 2.
ModeNatural Frequency (Hz)Modal Mass (kg)Modal Stiffness (N/m)
Sleeper
Mode 155.6648.495.93  × 10 6
Mode 289.3610.643.35  × 10 6
Mode 399.6125.259.89  × 10 6
Mode 4109.8611.405.43  × 10 6
Slab
Mode 120.51236.273.92  × 10 6
Mode 248.3493.048.58  × 10 6
Mode 374.7142.079.27  × 10 6
Mode 4105.4712.665.56  × 10 6
Underground
Mode 117.581958.972.39  × 10 7
Mode 251.27480.904.99  × 10 7
Mode 383.50163.404.50  × 10 7
Mode 4104.00113.704.86  × 10 7
Table 4. Material properties used for the Finite Element (FE) model simulation of the railway infrastructure.
Table 4. Material properties used for the Finite Element (FE) model simulation of the railway infrastructure.
MaterialDensity
(kg/m3)
Young’s Modulus
(Pa)
Poisson’s RatioThermal Expansion
(K−1)
Steel7850   2 × 10 11 0.30   1.2 × 10 5
Concrete2300   3 × 10 10 0.18   1.4 × 10 5
Sleeper1000   2 × 10 10 0.30
Sylomer100   2.9 × 10 5 0.2083
Reinforced Concrete Slab2300   5 × 10 10 0.18   1.4 × 10 5
Roofing Material100   3.46 × 10 5 0.01
Rubber Boot100   8.74 × 10 5 0.01
Disclaimer/Publisher’s Note: The statements, opinions and data contained in all publications are solely those of the individual author(s) and contributor(s) and not of MDPI and/or the editor(s). MDPI and/or the editor(s) disclaim responsibility for any injury to people or property resulting from any ideas, methods, instructions or products referred to in the content.

Share and Cite

MDPI and ACS Style

Rouzbahani, H.G.; Marangon, F.; Mayer, T.; Velic, D.; Pospischil, F. Metro-Induced Vibration Wave Propagation and Rail Defect Diagnostics: Integrated Experimental Measurements and Finite Element Modelling. Sustainability 2026, 18, 2517. https://doi.org/10.3390/su18052517

AMA Style

Rouzbahani HG, Marangon F, Mayer T, Velic D, Pospischil F. Metro-Induced Vibration Wave Propagation and Rail Defect Diagnostics: Integrated Experimental Measurements and Finite Element Modelling. Sustainability. 2026; 18(5):2517. https://doi.org/10.3390/su18052517

Chicago/Turabian Style

Rouzbahani, Haniye Ghafouri, Francesco Marangon, Thomas Mayer, Dino Velic, and Ferdinand Pospischil. 2026. "Metro-Induced Vibration Wave Propagation and Rail Defect Diagnostics: Integrated Experimental Measurements and Finite Element Modelling" Sustainability 18, no. 5: 2517. https://doi.org/10.3390/su18052517

APA Style

Rouzbahani, H. G., Marangon, F., Mayer, T., Velic, D., & Pospischil, F. (2026). Metro-Induced Vibration Wave Propagation and Rail Defect Diagnostics: Integrated Experimental Measurements and Finite Element Modelling. Sustainability, 18(5), 2517. https://doi.org/10.3390/su18052517

Note that from the first issue of 2016, this journal uses article numbers instead of page numbers. See further details here.

Article Metrics

Back to TopTop