Next Article in Journal
Integrated Fuzzy AHP-Weighted Sum Model for Sustainable Wind Power Plant Site Selection in Bergama Region
Previous Article in Journal
Role of the Circular Economy Framework for Sustainable Waste Management and Climate Change Mitigation
Previous Article in Special Issue
Performance Comparison between Fixed and Dual-Axis Sun-Tracking Photovoltaic Panels with an IoT Monitoring System in the Coastal Region of Ecuador
 
 
Font Type:
Arial Georgia Verdana
Font Size:
Aa Aa Aa
Line Spacing:
Column Width:
Background:
Article

Online Diagnostics as a First Step in the Safe Use of Damaged Photovoltaic Modules

by
Marcelo Esposito
1,*,
Gabriela Mesquita Bruel
1,
Ana Belén Cristóbal López
2,
Joshua M. Pearce
3,* and
Oumaima Mesbahi
4
1
Environmental and Sanitary Engineering, Federal University of Fronteira Sul Campus Erechim, ERS 135-Km 72, 200, Cx Postal 764, Erechim 99700-970, RS, Brazil
2
Instituto de Energía Solar, Universidad Politécnica de Madrid, C/Alan Turing S/N, 28031 Madrid, Spain
3
Department of Electrical & Computer Engineering, Western University, 1151 Richmond Street, London, ON N6A 3K7, Canada
4
Instrumentation and Control Laboratory, Centre for Sci-Tech Research in Earth System and Energy (CREATE), Department of Mechatronics, School of Sciences and Technology, University of Évora, Rua Romão Ramalho, 59, 7000-671 Evora, Portugal
*
Authors to whom correspondence should be addressed.
Sustainability 2026, 18(4), 1948; https://doi.org/10.3390/su18041948
Submission received: 26 December 2025 / Revised: 3 February 2026 / Accepted: 11 February 2026 / Published: 13 February 2026

Abstract

Although solar photovoltaic (PV) technology is a well-known sustainable energy source, as glass-on-glass bifacial modules have dominated the market during the rapid scaling of the PV industry, glass breakage has become an environmental concern. This study explores the reuse of broken modules to further improve PV sustainability through case studies of 3.45 MWp and 1.4 MWp solar farms, comprising over 12,700 modules. After cleaning and testing, 1.45% of PV modules were physically damaged due to glass breakage during transport or handling at the solar farms in Brazil. Recycling of PV modules is infrequent; therefore, the reuse of modules under these conditions was explored. Nine modules with glass damage were connected to the electricity grid using a carport-type structure, and 36 diagnostic current–voltage (I-V) tests were carried out over an 18-month experimental period. Tests to detect faults and low system insulation resistance indicated that the implementation of non-invasive, remote, online, and periodic monitoring enabled the system to operate and enabled the reuse of damaged modules. Although the electrical results were promising, future work is needed to evaluate methods to ensure the broken glass is sealed to prevent electric shock hazards and to maintain long-term safe performance.

1. Introduction

Solar photovoltaic (PV) technology has long been regarded as a pathway to a sustainable society, but managing PV waste is essential to achieving full sustainability [1]. Although large-scale solar photovoltaic (PV) systems have historically used monofacial PV modules, bifacial PV modules, which absorb light on both sides, offer several advantages. Many careful studies in the literature have shown substantial bifacial gains [2,3], and bifacial installation costs are only slightly higher or effectively the same as monofacial PV costs [4,5]. This explains the rapid rise of bifacial PVs, particularly on solar farms, which improve sustainability metrics relative to lower-energy-producing monofacial modules. The bifacial gain compared to monofacial modules depends on the latitude, diffuse fraction, and albedo. These gains can become particularly high for snowy environments [6,7] with high albedos [8], but even in non-snowy environments, the levelized cost-of-electricity (LCOE) from bifacial PVs is 2–6% lower than that of monofacial systems [9,10]. The snow-albedo effect can also be extended to warm environments. Kawashima et al. [11] investigated the effect of white foam glass spread in PV installation sites by measuring the albedo factor. The production of white foam glass from waste glass as a raw material is a promising approach to glass waste recycling. It provides a highly reflective white-colored ground cover for weed control. The improved performance of bifacial PVs is also observed in tracking PV systems [12]. For example, Melo et al. [13] present and compare simulation results of a PV plant composed of monofacial and bifacial modules installed on a fixed structure and solar trackers in seven localities in Brazil. The bifacial gains varied from 3.78% to 8.16%. The tracker gains varied between 13.40% and 18.20%, and were inversely proportional to diffuse irradiance. The simultaneous utilization of both technologies resulted in gains ranging from 19.39% to 27.39%. Similarly, Rodríguez-gallegos et al. [12] present a global analysis of the potential yield and cost-effectiveness of PV farms comprising monofacial fixed-tilt and single/dual (1T/2T) tracker installations, as well as their bifacial counterparts. The findings demonstrated that bifacial single-axis tracker installations attained the lowest LCOE values for 93.1% of the total land area, whereas monofacial single-axis tracker installations reached the second lowest LCOE values for 87.9% of the total land area. Despite dual-axis tracker installations achieving the highest energy production, their current high costs mean that they have only reached the lowest LCOE values for locations near the poles.
Bifacial PV technology also enables new mounting geometries. For example, Guo et al. [14] found vertically mounted bifacial modules facing east–west produce a greater quantity of energy in the early morning and late afternoon than conventionally mounted monofacial modules. Bifacial PVs are particularly attractive for vertical farms and fence-based PVs [15] in agrivoltaics [16,17], which shows that PVs can be sustainable and also have the potential to be regenerative [18]. Bifacial PVs can also be used in buildings. For example, in a study by Chen et al. [19], a prefabricated building was constructed with bifacial PV modules installed on two facades and the roof, for the purpose of continuously testing the power generation of bifacial PV modules when applied to BIPV (building-integrated photovoltaics). The relationship between daylighting and electricity generation improvement has been identified, with indoor daylighting found to be positively correlated with the power generation of bifacial PV modules. This raises the potential for interesting, high-performance, and novel architectures with bifacial PVs [20]. In addition, according to Gu et al. [8], the bifacial PVs have an advantage in adapting to fluctuating weather conditions, especially under low-solar-irradiance conditions. Under intense light, however, they appear to operate at higher temperatures that may reduce their lifetime. Non-uniform distributions of backside irradiance will cause micromismatch losses in bifacial PV modules, which reduce the output power. The micromismatch losses of bifacial modules under different conditions (including grassland, cement floor, and snowfield conditions, and with and without a crossbeam) were analyzed by Wang et al. [21]. Despite these challenges, the improved performance of bifacial modules is enabling them to rapidly gain market share and they now account for about 75% of utility-scale solar [22].
It can thus be safely assumed that the majority of future PV waste will be bifacial modules, and end-of-life concerns remain because PV recycling economics require policy interventions, such as producer responsibility, to ensure that these complex devices are recycled and realize their full sustainability potential. In a review of policies and guidelines for PV recycling in a selection of countries, Sharma et al. [12] considered Germany, the UK, Italy, Switzerland, Norway, the Czech Republic, Japan, the USA, China, and South Korea, as well as India. Many countries still lack formal programs. For example, India is installing substantial PVs (>132 GW installed by 2025) [23], with minimal attention being directed towards the imminent challenge of managing solar waste [24]. Lack of infrastructure, waste handling, and recycling guidelines put India in a precarious position for achieving the twin objectives of energy security and sustainability [25]. To partially address this, the PV industry has also voluntarily developed models based on PV recycling, including First Solar, SolarWorld Global, and PV Cycle. In the case of Germany, two financial mechanisms, i.e., Business-to-Consumer (B2C) and Business-to-Business (B2B), were studied for implementing the PV module recycling program [26]. Overall, however, the industry still has a long way to go to recycle all PV waste. Currently, only about 10% of all PV technology is recycled [27].
A concerning issue related to the lifecycle of silicon-based PV panels is the generation of electronic waste (e-waste) when they reach end-of-life (EOL) [28,29]. The EOL can come quickly for PVs that are damaged during shipping and handling. Work is underway to upcycle silicon from PVs into batteries, but, although promising, this technology is still under development [29,30,31]. Thus, these modules are normally immediately discarded. It is, however, possible to use mechanically damaged modules, although PV manufacturers generally recommend not doing this [32]. PV manufacturers note that cracks or breaks in modules pose a potential electric shock hazard due to leakage currents, with a higher risk of shock when modules are wet. For example, Van Der Heide et al. [33] discussed the reuse of decommissioned PV modules, noting the complex requirements from technical, economic, environmental, and legislative perspectives. A clear performance threshold at 70% of the original power was proposed for a PV module to not be considered as waste. In the initial stage, a visual examination eliminates modules with shattered glass, bent frames, hot spot damage, and other indications that preclude further inspection. Research conducted by Nieto-Morone et al. [34] used a comprehensive standardized methodology to characterize 23 partially repaired crystalline silicon PV modules from a twelve-year-old PV plant in Spain. This work integrates visual inspection, electrical parameter testing, electroluminescence imaging, and thermographic imaging techniques to provide an in-depth assessment of the modules’ operational condition and identify the nature and extent of defects that remain after partial repair. Notably, despite the presence of defects, approximately 87% of these modules exhibit a power loss of less than 20%. Tas & Van Sark [35] tested an experimental glass repair technique for glass–glass PV modules. PV modules with glass defects did not exhibit internal defects in the PV cells. The repaired specimens performed properly at each phase of the repair process compared with reference modules, IEC standards, and the manufacturer’s warranty. They found that glass–glass PV modules which endured glass defects did not show performance loss or internal damage to the PV cells. Glass–glass PV modules demonstrate resilience to cell breakage, and glass defects are expected to cause degradation over time. The lack of water-induced degradation indicates that repaired glass layers are insulating. Definite conclusions must be made with caution, however, since the non-repaired PV modules did not show visual signs of water ingress either. The standard approach of replacing damaged PV panels with new ones is expensive and not particularly environmentally friendly with respect to carbon emissions [36]. Thus, the interesting possibility of using PV modules with broken glass to give them a second life arises, particularly if the electric shock hazard can be addressed.
To investigate the possibility of improving the overall sustainability performance of real-world PV systems, this study explored case studies of solar farms with a combined capacity of 3.45 MWp and 1.4 MWp, comprising over 12,700 modules. In the case study, it was observed that, for every 70 new modules delivered to or installed at the site, at least one was damaged, indicating that 1.45% of the total modules available are experiencing transport- or handling-related problems. To determine the viability of these modules, nine were selected for a total of 36 diagnostic tests, or current–voltage (I-V) tests, which were carried out over an 18-month experimental period. Specifically, tests to detect faults in low system insulation resistance were carried out to determine the implementation of non-invasive, remote, online, and periodic monitoring, which enabled the safe operation of the system and facilitated the reuse of damaged modules. The results are presented and discussed.

2. Materials and Methods

Figure 1 illustrates the logistical challenges associated with transporting new PV modules in Brazil, highlighting the actual work practices of transport and delivery companies. The road infrastructure is in a state of disrepair, and the modules were transported over long distances. The transportation of the materials without glass breakage from the seaport to the laboratory car park at the Federal University of Fronteira Sul Campus, Erechim, approximately 500 km, represents a significant challenge. The lifting was conducted without the use of a lifting rocker. The deformation of the packaging resulted in damage to the aluminum structure of the modules, which was likely a contributing factor for the observed glass breakage. Finally, unloading the PVs onto the ground entailed a risk of collision and tilting of the storage unit.
After the steps shown in Figure 1, the modules are then unloaded at the plant and analyzed using non-destructive techniques [37]. Table 1 shows the technical material and electrical characteristics of the equipment used in this work.
Moreover, all nine modules installed in the carport were of the same brand and type: Canadian Solar’s CS3U-380MB-AG, Canada. The front-side nameplate power at standard test conditions (STC) is 380 Wp. Any higher power ratings that have been discussed for this particular type refer to the bifacial gains with respect to irradiance (albedo) specified in the datasheet.
A Davis Vantage Pro2 Weather Station (CA, USA) was used to collect meteorological data including temperature, wind speed, humidity, and solar radiation. Outside temperature measurements had a resolution of 0.1 °C, a range of −40 °C to +65 °C, and a nominal accuracy (+/−) of 0.3 °C. Wind speed measurements had a resolution of 0.4 m/s, a range of 0 to 809 m/s, and a nominal accuracy (+/−) greater than 1 m/s. Outside humidity was measured with a resolution of 1%, a range of 1 to 100%, and a nominal accuracy (+/−) of 2% RH. Global solar radiation measurements had a resolution of 1 W/m2, a range of 0 to 1800 W/m2, and a nominal accuracy (+/−) of 5% of the full scale.
I-V curves can be obtained through a variety of methods, including (A) a variable resistor, (B) a capacitive load, (C) an electronic load, (D) a bipolar power amplifier, (E) a four-quadrant power supply, (F) a DC-DC converter [38,39]. Here, the IV curve was obtained with Sungrow inverters (Anhui, China) and the use of the ‘Online I-V curve scan and diagnosis’ functionality of the iSolarCloud software. For accurate measurements, the irradiance should remain stable and exceed 500 W/m2 for at least 11 s.
Figure 2 shows the representative condition of the PV modules that were stored following their disposal at the PV plants’ installation sites. All modules originated from the same project and were of a similar model. After checking all modules, the undamaged ones were installed in plants with a combined capacity of 3.45 MWp and 1.4 MWp, comprising over 12,700 modules.
Given the transport and handling (shown in Figure 1 and Figure 2) of the components listed in Table 1, it is not entirely surprising that some of the modules were damaged. Figure 3 illustrates an example of the visible damage to one of the modules received in the initial shipment following its cleaning. The image was captured after transportation over 400 km, from the PV plant where the modules were stored to the Federal University of the Southern Frontier Campus in Erechim, Brazil. Consequently, for every 70 modules delivered to the site or installed, at least one was found to be damaged (representing 1.45 percent of the total number of modules).
Table 2 shows the specific dates and times of the tests. All modules were tested using iSolarCloud version 1.4.6_20251209. In the fault diagnosis report, Sungrow restricts its discussion of the method’s accuracy to the following: the STC data obtained by applying a mathematical model to the test data. These data are used for reference only and do not guarantee its complete accuracy. This work makes a clear distinction in analysis between the outputs of the scans conducted in operating conditions and the corrected STC estimates given by the iSolarCloud system. Similar differences are also considered by Esposito et al. [37] in the context of field-IV measurements, reference condition correction, and validation aspects, as discussed in the literature on system performance analysis [40]. Therefore, this study used the approach to verify the reproducibility of the results and the types of faults. During the tests, two inverters of the same brand but different models were utilized (Table 1). Tests were conducted on clear, cloudless days between 1 May 2024 and 15 August 2024. Figure 4 depicts the front face of the nine bifacial modules installed in the carport structure of the laboratories of the Federal University of Fronteira Sul Campus, Erechim/Brazil. It can be observed that all the modules exhibited some degree of damage to the front and/or rear glass. All 36 I-V scans in Table 2 were obtained with the SG3.0RS-S inverter using iSolarCloud. SG5K-D operation is discussed only in the commissioning context and for grid-quality fault statistics.

3. Results and Discussion

The analysis period spanned a total of 18 months, and Table 2 summarizes the experiments conducted. The issues specifically focused on included code 2 = grid overvoltage; code 10 = grid drop; code 4 = grid undervoltage, and code 9 = grid underfrequency.
There were only three abnormal scans, all of which occurred at or below the recommended level of irradiance and could not be replicated at a higher and more stable level of irradiance (see Supplemental Information).
The fault described on 11 June 2024 showed an abnormality in the I-V data. The fault may have been caused by abnormal inverter sampling or communication. It appears that warning 4 was the cause of the fault at 12.15 p.m. on 11 June 2024. The fault on 14 June 2024 at 11:22 and 29 June 2024 at 11:32 indicates a string current mismatch.
The iSolarCloud IV scan is also sensitive to boundary conditions. If the irradiance is below the minimum recommended level or varies during the scan, abnormal I-V points and diagnostic classification can be altered. Furthermore, when the inverter is offline or unstable, invalid results can be shown in the report, with zeros in the detailed electrical tables, suggesting that there is an artifact in acquiring the results rather than a PV electrical problem. Thus, abnormal classification results are based on a combination of diagnostic flag results, stability of irradiance during the scan, and reproducibility with multiple scans.
It is recommended that the following steps be taken to repair the issue: 1. Check whether there are PV modules in the string that are shaded or where the front glass has cracked. 2. Check whether there are PV modules inside the string with different power ratings or models. 3. Perform infrared image testing to check whether there are hot spot PV modules and also check whether the PV module back plate has burn spots. 4. Perform I-V and electroluminescence (EL) testing again on the PV module to check whether it has low short-circuit current or power or whether the PV module cell has a crack. 5. During the I-V scanning, the shade of clouds covering the string will cause differences in irradiation, and this fault may be reported. It appears that warnings 1 and 4 were the underlying cause of the failure.
The recommendation is that, in cases of damaged modules, the system should be completely shut down to prevent the inverter, while tracking maximum power, from overheating the module (formation of hot spots) and causing a fire or increasing the risk of electric shock. Here, fault diagnosis and online monitoring were used, so that, in case of current leakage, the system operator would immediately receive an alarm notification via email and through the inverter application. On a sunny day, however, even if the inverter is switched off, the modules will remain fully energized due to the photovoltaic effect. To avoid unnecessary exposure of the carport user, the authors performed a triage of the discarded modules (initial step upon receiving the modules). If an alarm had been triggered, the procedure was to shut down the inverter and isolate the area until solar irradiance decreased, thereby allowing corrective maintenance, which was the complete replacement of the module.
Tests were conducted on clear, cloudless days between 1 May 2024 and 15 August 2024, which supports the selected dates and those indicated on the horizontal axis of the figures. Figure 5 illustrates the dynamic behavior of the temperature on the test days. The temperature exhibited a range from 26.1 °C to −0.8 °C. This range is directly correlated with the seasons in which the PV plant was installed, where the onset of autumn occurred at 00:06 on 20 March 2024 (month 3), while winter commenced at 17:51 on 20 June 2024 (month 6). The advent of spring was noted at 09:44 on 22 September 2024 (month 9). The I-V curve tests were therefore conducted during the autumn and winter months in the southern hemisphere. According to the PVGIS TMY 5.2 database (PVsyst 7.4.5), the average annual temperature is 18.2 °C, while the Meteonorm 8.0 (2006_2017) Sat100 database (PVsyst 7.4.5) indicates a higher average of 19.8 °C.
Figure 6 illustrates that the wind speed at the site where the carport was installed is typically low. The average annual speed is 2.5 m/s according to the PVGIS TMY 5.2 database and 4.5 m/s according to the Meteonorm 8.0 database. The outdoor installation and the height of the carport’s aluminum structure facilitated ventilation, but made it challenging to obtain reliable, glare-free thermographic images.
Figure 7 illustrates the dynamic behavior of humidity on the test days. This variable is of paramount importance, as high humidity levels increase the likelihood of electrical current leakage. In the event of a fracture in the glass covering the front and/or rear of the modules, the ingress of rainwater or elevated humidity levels may facilitate an alternative pathway for the discharge of electrical energy to the ground. An additional potential consequence is the energization of the metal structure of the modules and the carport, which could increase the risk of electric shock to users of the car park covered by PV modules. On days with low humidity, the level was 30% (the minimum), while, on the wettest days, it reached 95% (the maximum). The average annual relative humidity is 79.3% according to the PVGIS TMY 5.2 database and 71.5% according to the Meteonorm 8.0 database.
Figure 8 shows the dynamic behavior of solar irradiation, demonstrating that the tests were conducted on days with clear skies and no cloud cover. Despite the high humidity of up to 95%, precipitation was not observed, and any clouds that did exist were sparse and of minimal size. The mean annual global horizontal irradiation is 195 W/m2 according to the PVGIS TMY 5.2 database and 210.4 W/m2 according to the Meteonorm 8.0 database. The cloudiest day was 11 June 2024, while the day on which the meteorological conditions came closest to the ideal test conditions was 2 August 2024. It is recommended that intelligent diagnostic analyses be carried out under stable irradiation exceeding 600 W/m2 between 11 a.m. and 1 p.m.
Figure 9 exhibits the alarms and faults documented by the iSolarCloud software and Sungrow’s SG3.0RS-S inverter during the interval in which the tests were conducted (1 May 2024–15 August 2024). This is an embedded system within the inverter. Advanced users have restricted access to electronics and some functions of the source code. These are reports that must be interpreted technically.
The longest interval between the occurrence of a fault and the subsequent recovery of the system was 40 min. In most cases, recovery was observed within a few minutes of the initial event. The required recovery time depends on the prevailing conditions of the electricity network. The weather conditions, the presence or absence of clouds, and the time of day at which the alarm is triggered are also factors that influence the speed of recovery. For instance, if the alarm occurs in the late afternoon, recovery may not occur until the following day.
On the test days, no alarms were issued, except for on 13 June 2024 at 15:18 (15:14:32 to 15:18:42), which was characterized by a mains overvoltage. Figure 9 illustrates that most of the faults were associated with code 2, which is linked to the alarm triggered by mains overvoltage. The data indicate that most faults occurred during the afternoon shift, between 1 p.m. and 6 p.m.
Figure 10 demonstrates the occurrence of alarms and faults between the dates of 10 February 2023 and 30 September 2024, during which the SG5K-D inverter was connected to the photovoltaic plant and the grid. The alarms indicate that the quality of the energy supplied by the electricity distributor was substandard. No issues were identified in the photovoltaic system. The categories of events (overvoltage, voltage drop, undervoltage, and underfrequency) originated from the grid, with no malfunction detected on the PV side. In Brazil, the ANEEL and ABNT standards NBR 16149:2013 [41] regulate the connection interface between PV systems, related to voltage and frequency operation bands, as well as reconnection conditions. Please refer to the Supplementary Materials.
In Sungrow’s iSolarCloud software, following the address Plant > Settings > Common Parameter Settings >Inverter Parameter Query >> Advanced Settings > Inverter Parameter Query >> Common Parameter Query >> Advanced Parameter Query >> View Task History, the user will have access to the Inverter Remote Parameter Query, totaling 69 parameters in the case of the SG5K-D inverter and 182 parameters in the case of the SG3.0RS-S inverter. Parameters of interest that are related to the alarms and faults reported by the inverters used in this work (inverter remote parameter query, iSolarCloud software, Sungrow SG5K-D and SG3.0RS-S inverters) include the following: overvoltage recovery value, 240 V; undervoltage recovery value, 178 V; overfrequency recovery value, 60.1 Hz; underfrequency recovery value, 59.9 Hz.
Figure 11 represents the dynamic behavior of solar irradiation and humidity on 11 July 2024. The data were obtained from the Davis Vantage Pro2 weather station, which was installed 30 m from the carport. The day was characterized by precipitation and high humidity, with a humidity level of 94% recorded between 8 a.m. and 6 p.m. Despite low solar irradiation, with a peak of only 276 W/m2, it is evident that the dynamic behavior of the DC voltage and current generated energy. The data were obtained using the iSolarCloud software and a Sungrow SG3.0RS-S inverter.
The grid-related faults recorded in July 2024 were two in number: one on the 14 July 2024 at 09:43:35 and one on the 28 July 2024 at 08:09:44. In both cases, the inverter fault code was 10 (mains failure). No fault code 39 (low system insulation resistance) was recorded during the monitoring period. No abnormal behavior in the conductive carport structure was observed during the routine inspection. This included the inspection on the 11 July 2024 under high humidity.
For the intelligent I-V diagnostics method, the parameters of the PV module need to be correctly entered so that the PV operating curve is correctly compared with the model curve. Under the monitored operating conditions, the I-V diagnostics method did not indicate insulation-related faults. Neither the inverter’s residual current protection nor the residual current device (RCD) in the main panel was triggered. While these observations are in favor of the PV system’s stable operation during the mentioned period, the compliance with the IEC/EN 62446-1 standard [42] cannot be guaranteed. It should also be noted that the carport structure was equipotentially bonded and grounded.
The standard ABNT NBR 16274:2014 Grid-Connected PV Systems [41] particularly emphasizes measuring the I-V curve and identifying defects in photovoltaic modules/arrays or shading problems, including damaged cells/modules, short-circuited bypass diodes, localized shading, mismatch between modules, and the presence of excessive parallel and/or series resistance in photovoltaic cells/modules/arrays. Furthermore, the I-V curve represents an acceptable alternative method for measuring the open-circuit voltage, short-circuit current, and power of the PV array. Consequently, the ‘Online I-V curve scan and diagnosis’ function in Sungrow’s iSolarCloud software was employed. The concordance between traditional commissioning tests and non-invasive commissioning using artificial intelligence was demonstrated by Esposito et al. [37].
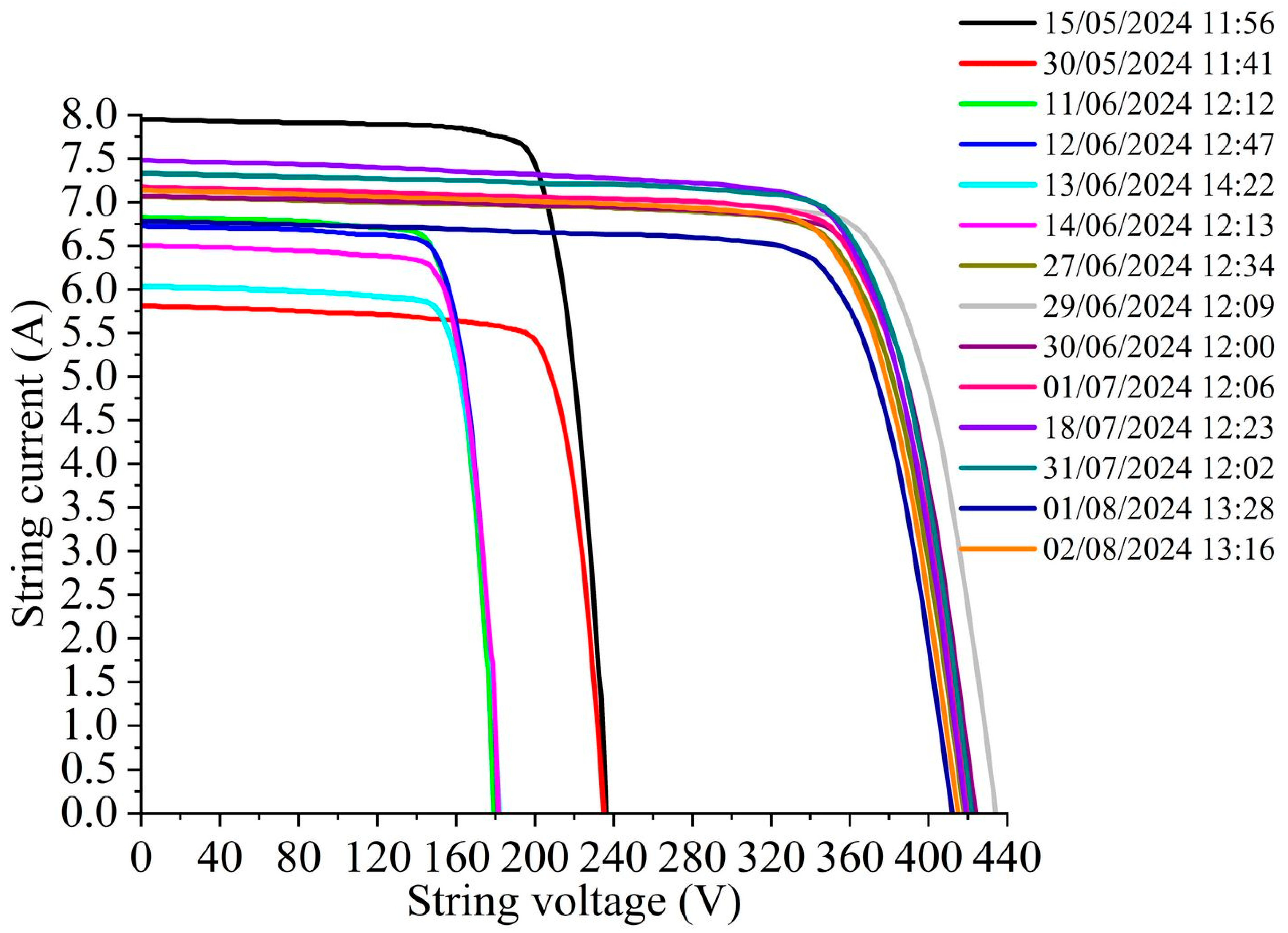
Figure 12 illustrates the dynamic behavior of the thirty-six I-V curves generated over the fourteen test days. The nine modules installed in the carport were originally divided into two strings due to the utilization of the SG5K-D inverter. During the tests, which were from 5 January 2024 to 4 June 2024, the SG3.0RS-S inverter remained connected to string 1, which consisted of five modules in series. This configuration is equivalent to the open-circuit voltage value in STC (the standard test conditions (CS3U-380MB-AG) yielded an open-circuit voltage value of Voc = 239Vdc, with an Isc range of 10.01 Adc to 13.01 Adc). From 4 June 2024 to 19 June 2024, the SG3.0RS-S inverter remained connected to string 2, comprising four modules in series. In standard test conditions (STC), this configuration yielded an open-circuit voltage value of Voc = 191.2Vdc. From 19 June 2024 to 15 August 2024, the SG3.0RS-S inverter remained connected to the string comprising nine modules, which is equivalent to an open-circuit voltage of 430.2 Vdc in the STC. There was a strong correlation between the estimated open-circuit voltage (Voc) values and those provided by the manufacturer under STC. In this case, the purpose of the comparison was merely to provide a qualitative consistency check, as the values of the STC were model-corrected estimates and not direct measurements of the STC. This is also consistent with the documentation of the diagnostic tool, as well as the commissioning procedures described in [37]. Figure 5 illustrates the variation in ambient temperature from +26.1 °C to −0.8 °C on test days.
In the PV Module Product Datasheet V5.561_AU (2019), the module manufacturer presents only I-V curves for the CS3U-390MB-AG model in graphical form. The irradiation of 600 W/m2 is equivalent to an Isc of approximately 6.1 A_(dc), while an irradiation of 800 W/m2 results in an Isc of approximately 8.2 A_(dc). Furthermore, the datasheet indicates that the CS3U-375-380-385-390-395-400MB-AG modules exhibit identical characteristic temperature coefficient specifications. The maximum power output (Pmax) indicates a negative temperature coefficient of −0.36% per degree Celsius, while the Voc and the short-circuit current (Isc) display a negative coefficient of −0.29% and 0.05% per degree Celsius, respectively. By correlating Figure 8 with Figure 13, it can be inferred that there is a notable correlation between the fluctuations in irradiance on the test days and the corresponding variations in the estimated short-circuit current. A similar result is observed when the approximate Isc (under 600–800 W/m2) provided by the manufacturer is compared with the estimated values from the I-V characteristics in Figure 13.
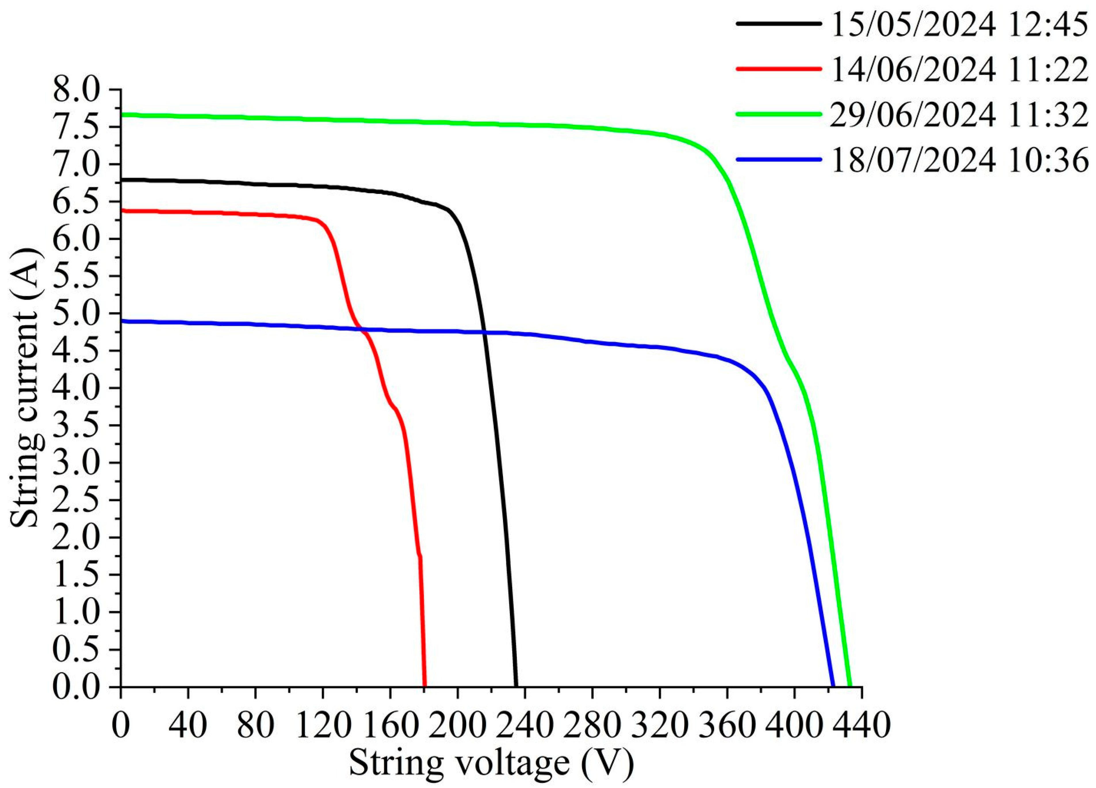
Figure 14 shows the dynamic behavior of the I-V curves, which exhibited a certain degree of deviation. The discrepancy observed in the blue curve (18 July 2024 10:36) can be attributed to ‘current variation’ resulting from the irradiation of 618 W/m2 (original data, Isc = 4.896 A) at that specific point in time. An increase in irradiation to 688 W/m2 (original data, Isc = 7.661 A) would not be sufficient to elicit a 2.765 A increase in Isc in the green-colored curve (29 June 2024 11:32).
For Isc, the scaling is expected to remain approximately linear for similar spectra and temperatures. Using the measured data presented above, for G1 = 618 W/m2 and Isc,1 = 4.896 A, the expected value for Isc at G2 = 688 W/m2 is Isc,2(expected) = Isc,1 × (G2/G1) = 4.896 × (688/618) = 5.451 A.
Therefore, the expected increase is ΔIsc(expected) = 5.451 − 4.896 = 0.555 A but the measured increase is ΔIsc(observed) = 7.661 − 4.896 = 2.765 A. Comparing the ratios, the irradiance increased by 11.3% (688/618 = 1.113), but Isc increased by 56.5% (7.661/4.896 = 1.565), which is not near-linear. For an additional check, PVSyst (version 8.0.13) simulations for the same type of cell (CS3U-380MB-AG) return Isc ≈ 6.3 A for 618 W/m2 and Isc ≈ 7.0 A for 688 W/m2, with an increase of ΔIsc ≈ 0.7 A, again significantly lower than the measured ΔIsc. Considering the uncertainty of the irradiance sensors (nominal 5% of full scale) and the possibility of short transients while performing the IV scan, the measured data still show a significant discrepancy and likely involve additional parameters such as irradiance variation during the scan, intermittent shading, mismatch, or measurement artifacts.
The Sungrow diagnostic reports clearly indicate that the I-V curve plots match the original scan data, whereas the STC data provided are model-corrected based on the scan data and are for reference only. For example, the STC-corrected Isc current recorded for the scan conducted on the 18 July 2024 at 10:36 was given as 10.01 A, which is the same as the STC-corrected Isc current recorded for the scan conducted on the 29 June 2024 at 11:32, even though the scan conducted on the 18 July 2024 at 10:36 was recorded as a normal scan, while the scan conducted on the 29 June 2024 at 11:32 was recorded as abnormal based on the presence of a step on the curve (Table 2). Moreover, the unusually low Isc current recorded during the scan conducted on 18 July 2024 at 10:36 may have been due to non-ideal scan conditions.
In the case of the scans conducted on 14 June 2024 at 11:22 and 29 June 2024 at 11:32, the diagnostic report indicated a string current mismatch and provided repair advice, suggesting possible cracked glass and a cell problem. In the current study, the solar module already had a glass crack, and the I-V curve scan is known to be sensitive to boundary conditions such as the level and stability of the irradiance applied during the scan period. Therefore, the scan is repeated, and if the issue persists, additional tests may be conducted to determine the cause.
Functional insulation monitoring (Alarm ID 039) is an operational protective function that aims to detect specific insulation problems under operating conditions. In the context of this study, no occurrences of Alarm ID 039 were observed during the 18 months of monitoring in the investigated field conditions. The absence of alarm occurrences, however, cannot necessarily be used to verify compliance with IEC/EN 62446-1 or to replace commissioning and testing processes (such as insulation resistance and leakage current tests) using predefined acceptance levels. All tests were conducted under natural sunlight. The inverter incorporates several protective functions, including short-circuit protection, grounding insulation resistance monitoring, residual current protection, grid monitoring, DC overvoltage/overcurrent protection, online I-V curve scan and diagnosis, and so forth.
Boundary conditions for the operation: The carport was operated under controlled conditions to minimize the risk of the experiment. The modules were prescreened by visual inspection, and if the modules were severely structurally damaged or had conductive parts, they would be rejected. The structure was equipotentiality bonded and grounded, and an external RCD would be provided to give additional protection to the structure. The conditions did not eliminate the risk of the experiment, which could occur in the presence of wet conditions, insulation degradation, glass edge effects, partial grounding faults, and failures of components.
Operational monitoring and protective disconnecting are means of reducing risks, but do not eliminate risks. Residual risks can persist under non-typical weather conditions, such as rain or condensation, progressive degradation of the insulation, partial grounding faults, glass edge effects, and various component failures. Therefore, safety inferences are limited to the monitored state and environment, and standardized verification tests and maintenance or module refurbishment are necessary for complete compliance.

Future Work

First, the height of the carport precluded the possibility of obtaining reliable images of the modules with a thermal imaging camera, due to the presence of problematic reflections. Future work could use either drones or other systems to obtain the necessary height for the modules, which could be ground-mounted using ballasted mounts. This could provide a more detailed understanding of module performance.
As found in this study, PV I-V curve tracers are essential for characterizing solar modules in real-world conditions, as accurate PV performance evaluation must consider dynamic environmental factors like solar irradiance, ambient temperature, and wind speed, as measured here [43,44,45,46,47,48]. Commercial I-V curve tracing and software were used here, but low-cost, portable options like those based on open-source electronics or capacitor loading have emerged as practical alternatives for on-field PV characterization, especially when rapid I-V tracing is required [49,50,51,52,53]. Future work to develop a commercial-grade open-source I-V curve tracer [54,55,56] would speed up this reuse work.
This work presents a technological resource based on advanced inverter electronics and demonstrates the feasibility of using damaged modules; however, it is advisable to take precautions to prevent the possibility of current leakage and short circuits with the surrounding vegetation, which could potentially result in a fire or physical harm to users. Several techniques can be used to protect against electric shock, such as the application of self-adhesive polymer films or performing repairs similar to those performed on automotive glass [57]. This is typically done using a resin with a refractive index identical to that of glass to improve visibility for drivers [58]. The standards for solar-grade glass are highly demanding, aiming to maximize transparency in the optical window of PV modules. Future work is needed to evaluate the several materials commercially available that could be used to reseal PV modules with broken glass [35]. This is an area of high-value future work that could enable the reuse of defective modules even after warranty expiration. Electronic devices such as residual-current circuit breakers can be used together in the same inverter circuit to isolate the system in the event of current leakage to the ground.
A local case study by the authors of an extreme weather situation, in this case in Erechim, Brazil (hail storm on 23 November 2025, hailstones up to 10 cm in diameter), showed the strong dependence of damage severity on the type and tilt angle of the modules, and the ability to create catastrophic damage with conductive parts exposed. There was an obvious risk of shock, and reuse was not feasible. This is, of course, different from the handling damage that is considered in this study. Thus, triage is mandatory to characterize and grade the extent of the damage. Inspection is the first procedure, and only those without exposed conductive parts should undergo further testing. As PV technology is energized under sunlight conditions, despite the interruption of the inverter connection, any reuse system will require restricted access, warning signs, adequate bonding and grounding, and double protection (an additional external RCD, in addition to inverter protections). PV DC systems pose specific risks (e.g., arcing and DC shock) that require special measures [39]. PV DC circuit design has unique hazard mechanisms different from conventional low-voltage AC circuit designs, which include persistent DC arcs and shock, thus requiring conservative design and verification testing, particularly in cases of module damage [59].
Future work is also needed for long-term experimentation. This includes consideration of the time frame within which hot spots may become apparent and the impact of shading on modules exhibiting localized defects in cells or interconnections between cells, resulting from cracked glass. The presence of one or two broken panes also renders the module more susceptible to mechanical twisting, which may give the impression of imminent shear failure. If the module is not adequately secured to the supporting structure, the weight of the module itself may cause a bulge in the center of the module, which could result in the accumulation of water on the upper surface of the module. This effect could be tested by assessing module longevity across a wide range of glass break types to determine which are viable and which are not. These data could then be provided to a computer vision/machine learning AI system to help practitioners quickly determine which modules could be repaired and reused.
Finally, a further question that arises relates to the cleaning of these modules. It is unclear whether the presence of dirt is beneficial, as it may help seal cracks, or whether it is detrimental, as it may contribute to the growth of microorganisms and increase humidity or simply represent optical losses [60,61]. There are numerous challenges to be addressed in future work. It is recommended that these modules be installed in small-scale plants with a few kilowatts of power, with a few modules per string, to maintain a low MPPT voltage. It is recommended that string inverters with intelligent online diagnostic functions be used.

4. Conclusions

It is widely acknowledged that the installation of damaged modules contravenes the instructions set out in all PV manufacturers’ manuals, which consequently results in the forfeiture of warranties. Conversely, this study has identified several reasons to consider utilizing these modules in their second lifecycle. The experimental phase of this study employed bifacial PV modules which were installed on a carport-type metal structure affixed to the ground. The modules tested had been discarded during the installation phase of substantial PV facilities because of visible broken glass, and had a combined capacity of 3.45 MWp and 1.4 MWp. Of the total number of modules available, 1.45% exhibited a visible broken glass defect caused by transport or handling. The nine bifacial modules employed (the maximum number that could be installed in the carport) in the 18-month experimental period were deployed satisfactorily. A total of 36 diagnostic tests were conducted, resulting in the identification of the I-V curve. No significant faults were identified. The primary reason for the disposal of 184 modules (12,700 installed) was damage sustained to the glass components. This corresponded to 184 damaged modules out of 12,700 installed modules (1.45%), meaning approximately 1 damaged module per 70 installed modules. In the preliminary visual screening, it was identified that approximately 50% of the 184 modules that were discarded could be reused, as the photovoltaic effect had not been severely damaged. Although the electrical results for this project were promising, the absence of Alarm 039 during monitoring does not prove that the requirements of IEC/EN 62446-1 are met. Standardized insulation resistance and/or leakage current tests with defined acceptance thresholds are still required, and inferences regarding safety are limited to operating conditions. Future work is needed to evaluate methods for ensuring that broken glass is sealed to prevent electric shock hazards and to maintain long-term performance.

Supplementary Materials

The following supporting information can be downloaded at: https://osf.io/uhd36/, Table S1: Extracted parameters for all 36 online IxV scans (scan date/time, irradiance and temperature when available, Isc, Voc, Vmp, Imp, Pmax, FF when available, diagnosis status, inverter model, string configuration); Figure S1: Representative iSolarCloud diagnostic report outputs for a normal scan and an abnormal scan, including the associated IxV curves and flags; Figure S2: Extended inverter fault log plots and grid disturbance statistics for the monitoring period (additional detail moved from the main text); Figure S3: Extended meteorological time series (irradiance and temperature) for the scan days; File S1: Original iSolarCloud diagnostic reports for the 36 scans (PDF); File S2: Exported diagnostic datasets and fault logs (CSV); File S3: Manufacturer documentation and declared standards/certifications for the inverter and protective devices (PDF). The complete archive of diagnostic reports and supporting files is also available in the Open Science Framework repository (see Data Availability Statement).

Author Contributions

M.E. (conceptualization: lead; data curation: lead; formal analysis: lead; funding acquisition: lead; investigation: lead; methodology: lead; project administration: lead; resources: lead; software: lead; supervision: lead; validation: lead; visualization: lead; writing—original draft: lead; writing—review and editing: lead). G.M.B. (writing—original draft: supporting; writing—review and editing: supporting). A.B.C.L. (formal analysis: equal; writing—original draft: equal; writing—review and editing: equal). J.M.P. (formal analysis: equal; funding acquisition: equal; writing—review and editing: equal). O.M. (formal analysis: equal; supervision: equal; validation: equal; writing—original draft: equal; writing—review and editing: equal). All authors have read and agreed to the published version of the manuscript.

Funding

This study was partially supported by the Thompson Endowment.

Institutional Review Board Statement

Not applicable.

Informed Consent Statement

Not applicable.

Data Availability Statement

All diagnostic reports and supporting files are available in the Supplemental Information in the Open Science Framework repository: https://osf.io/uhd36/.

Conflicts of Interest

The authors have no relevant financial or non-financial interests to disclose.

References

  1. Al Zaabi, B.; Ghosh, A. Managing Photovoltaic Waste: Sustainable Solutions and Global Challenges. Sol. Energy 2024, 283, 112985. [Google Scholar] [CrossRef]
  2. Kopecek, R.; Libal, J. Bifacial Photovoltaics 2021: Status, Opportunities and Challenges. Energies 2021, 14, 2076. [Google Scholar] [CrossRef]
  3. Liang, T.S.; Pravettoni, M.; Deline, C.; Stein, J.S.; Kopecek, R.; Singh, J.P.; Luo, W.; Wang, Y.; Aberle, A.G.; Khoo, Y.S. A Review of Crystalline Silicon Bifacial Photovoltaic Performance Characterisation and Simulation. Energy Environ. Sci. 2019, 12, 116–148. [Google Scholar] [CrossRef]
  4. Appelbaum, J. Bifacial Photovoltaic Panels Field. Renew. Energy 2016, 85, 338–343. [Google Scholar] [CrossRef]
  5. Rodríguez-Gallegos, C.D.; Bieri, M.; Gandhi, O.; Singh, J.P.; Reindl, T.; Panda, S.K. Monofacial vs Bifacial Si-Based PV Modules: Which One Is More Cost-Effective? Sol. Energy 2018, 176, 412–438. [Google Scholar] [CrossRef]
  6. Hayibo, K.S.; Petsiuk, A.; Mayville, P.; Brown, L.; Pearce, J.M. Monofacial vs Bifacial Solar Photovoltaic Systems in Snowy Environments. Renew. Energy 2022, 193, 657–668. [Google Scholar] [CrossRef]
  7. Dincer, F.; Ozer, E. Numerical Analysis of Bifacial Photovoltaic Systems Under Different Snow Climatic Conditions. Sustainability 2025, 17, 6350. [Google Scholar] [CrossRef]
  8. Gu, W.; Li, S.; Liu, X.; Chen, Z.; Zhang, X.; Ma, T. Experimental Investigation of the Bifacial Photovoltaic Module under Real Conditions. Renew. Energy 2021, 173, 1111–1122. [Google Scholar] [CrossRef]
  9. Patel, M.T.; Khan, M.R.; Sun, X.; Alam, M.A. A Worldwide Cost-Based Design and Optimization of Tilted Bifacial Solar Farms. Appl. Energy 2019, 247, 467–479. [Google Scholar] [CrossRef]
  10. Kumar, B.S.; Kunar, B.M.; Murthy, C.S.N. An Adaptive Modeling for Bifacial Solar Module Levelized Cost and Performance Analysis for Mining Application. Prog. Photovolt. Res. Appl. 2024, 32, 186–198. [Google Scholar] [CrossRef]
  11. Kawashima, R.; Sakai, T.; Ota, Y.; Nishioka, K. Weed Control and Albedo Improvement Effects in Photovoltaic Installation Sites Using Recycled White Foam Glass. Jpn. J. Appl. Phys. 2018, 57, 08RH04. [Google Scholar] [CrossRef]
  12. Rodríguez-Gallegos, C.D.; Liu, H.; Gandhi, O.; Singh, J.P.; Krishnamurthy, V.; Kumar, A.; Stein, J.S.; Wang, S.; Li, L.; Reindl, T.; et al. Global Techno-Economic Performance of Bifacial and Tracking Photovoltaic Systems. Joule 2020, 4, 1514–1541. [Google Scholar] [CrossRef]
  13. Barbosa de Melo, K.; Kitayama da Silva, M.; Lucas de Souza Silva, J.; Costa, T.S.; Villalva, M.G. Study of Energy Improvement with the Insertion of Bifacial Modules and Solar Trackers in Photovoltaic Installations in Brazil. Renew. Energy Focus 2022, 41, 179–187. [Google Scholar] [CrossRef]
  14. Guo, S.; Walsh, T.M.; Peters, M. Vertically Mounted Bifacial Photovoltaic Modules: A Global Analysis. Energy 2013, 61, 447–454. [Google Scholar] [CrossRef]
  15. Hwang, K.-W.; Lee, C.-Y. Estimating the Deterministic and Stochastic Levelized Cost of the Energy of Fence-Type Agrivoltaics. Energies 2024, 17, 1932. [Google Scholar] [CrossRef]
  16. Asa’a, S.; Reher, T.; Rongé, J.; Diels, J.; Poortmans, J.; Radhakrishnan, H.S.; van der Heide, A.; Van de Poel, B.; Daenen, M. A Multidisciplinary View on Agrivoltaics: Future of Energy and Agriculture. Renew. Sustain. Energy Rev. 2024, 200, 114515. [Google Scholar] [CrossRef]
  17. Hayibo, K.S.; Pearce, J.M. Vertical Free-Swinging Photovoltaic Racking Energy Modeling: A Novel Approach to Agrivoltaics. Renew. Energy 2023, 218, 119343. [Google Scholar] [CrossRef]
  18. Jamil, U.; Pearce, J.M. Regenerative Agrivoltaics: Integrating Photovoltaics and Regenerative Agriculture for Sustainable Food and Energy Systems. Sustainability 2025, 17, 4799. [Google Scholar] [CrossRef]
  19. Chen, M.; Zhang, W.; Xie, L.; He, B.; Wang, W.; Li, J.; Li, Z. Improvement of the Electricity Performance of Bifacial PV Module Applied on the Building Envelope. Energy Build. 2021, 238, 110849. [Google Scholar] [CrossRef]
  20. Chin, A.W.H.; Hayibo, K.S.; Pearce, J.M. Open-Source Software for Building-Integrated Photovoltaic Tiling for Novelty Architecture. Designs 2024, 8, 118. [Google Scholar] [CrossRef]
  21. Wang, L.; Liu, F.; Yu, S.; Quan, P.; Zhang, Z. The Study on Micromismatch Losses of the Bifacial PV Modules Due to the Irradiance Nonuniformity on Its Backside Surface. IEEE J. Photovolt. 2020, 10, 135–143. [Google Scholar] [CrossRef]
  22. Bifacial Solar Module Market Size, Global Report 2026–2035. Available online: https://www.gminsights.com/industry-analysis/bifacial-solar-module-market (accessed on 23 December 2025).
  23. Physical Achievements|MINISTRY OF NEW AND RENEWABLE ENERGY|India. Available online: https://mnre.gov.in/en/physical-progress/ (accessed on 23 December 2025).
  24. Sheoran, M.; Kumar, P.; Sharma, S.; Bukya, M. Current Situation Analysis of Solar PV Waste Management in India. Mater. Today Proc. 2022, 58, 773–782. [Google Scholar] [CrossRef]
  25. Sharma, A.; Pandey, S.; Kolhe, M. Global Review of Policies & Guidelines for Recycling of Solar PV Modules. Int. J. Smart Grid Clean Energy 2019, 8, 597–610. [Google Scholar] [CrossRef]
  26. IEA PVPS T12-27 Report—PV Recycling in Germany.docx. Available online: https://iea-pvps.org/wp-content/uploads/2024/03/IEA-PVPS-T12-27-Report-PV-Recycling-in-Germany.pdf (accessed on 23 December 2025).
  27. Piedrahita, A.; Cárdenas, L.M.; Zapata, S. Solar Panel Waste Management: Challenges, Opportunities, and the Path to a Circular Economy. Energies 2025, 18, 1844. [Google Scholar] [CrossRef]
  28. Mahmoudi, S.; Huda, N.; Alavi, Z.; Islam, M.T.; Behnia, M. End-of-Life Photovoltaic Modules: A Systematic Quantitative Literature Review. Resour. Conserv. Recycl. 2019, 146, 1–16. [Google Scholar] [CrossRef]
  29. Fthenakis, V.M. End-of-Life Management and Recycling of PV Modules. Energy Policy 2000, 28, 1051–1058. [Google Scholar] [CrossRef]
  30. Sim, Y.; Tay, Y.B.; Ankit; Lin, X.; Mathews, N. Simplified Silicon Recovery from Photovoltaic Waste Enables High Performance, Sustainable Lithium-Ion Batteries. Sol. Energy Mater. Sol. Cells 2023, 257, 112394. [Google Scholar] [CrossRef]
  31. Mottaghi, M.; Kulkarni, A.; Pearce, J.M. Recycling Silicon Photovoltaic Cells into Silicon Anodes for Li-Ion Batteries Using 3D Printing. RSC Sustain. 2025, 3, 1859–1869. [Google Scholar] [CrossRef]
  32. Installation_Manual_of_Bifacial_Module. Available online: https://www.canadiansolar.com/wp-content/uploads/2019/12/Installation_Manual_of_Bifacial_Module_en.pdf (accessed on 23 December 2025).
  33. Van der Heide, A.; Tous, L.; Wambach, K.; Poortmans, J.; Clyncke, J.; Voroshazi, E. Towards a Successful Re-Use of Decommissioned Photovoltaic Modules. Prog. Photovolt. Res. Appl. 2022, 30, 910–920. [Google Scholar] [CrossRef]
  34. Nieto-Morone, M.B.; Rosillo, F.G.; Muñoz-García, M.A.; Alonso-García, M.C. Enhancing Photovoltaic Module Sustainability: Defect Analysis on Partially Repaired Modules from Spanish PV Plants. J. Clean. Prod. 2024, 461, 142575. [Google Scholar] [CrossRef]
  35. Tas, M.P.M.; van Sark, W.G.J.H.M. Experimental Repair Technique for Glass Defects of Glass-Glass Photovoltaic Modules—A Techno-Economic Analysis. Sol. Energy Mater. Sol. Cells 2023, 257, 112397. [Google Scholar] [CrossRef]
  36. Poulek, V.; Tyukhov, I.; Beranek, V. On Site Renovation of Degraded PV Panels—Cost and Environmental Effective Technology. Sol. Energy 2023, 263, 111956. [Google Scholar] [CrossRef]
  37. Esposito, M.; Calegari, R.; Guerreiro Marques, J.; Mesbahi, O.; Tlemcani, M. Usage of Non-Invasive Technique to Diagnose a Photovoltaic Plant. Energy Sources Part A Recovery Util. Environ. Eff. 2024, 46, 32–61. [Google Scholar] [CrossRef]
  38. Aranda, E.D.; Gomez Galan, J.A.; de Cardona, M.S.; Andujar Marquez, J.M. Measuring the I-V Curve of PV Generators. IEEE Ind. Electron. Mag. 2009, 3, 4–14. [Google Scholar] [CrossRef]
  39. Wei, D.; Wei, M.; Cai, H.; Zhang, X.; Chen, L. Parameters Extraction Method of PV Model Based on Key Points of I–V Curve. Energy Convers. Manag. 2020, 209, 112656. [Google Scholar] [CrossRef]
  40. Esposito, M.; Correia Souza, T.R.; Mesbahi, O. Analysis of the Potential for Photovoltaic Energy Generation. Int. J. Green Energy 2025, 22, 1349–1362. [Google Scholar] [CrossRef]
  41. ABNT NBR 16274:2014. Sistemas Fotovoltaicos Conectados à Rede—Requisitos Mínimos para Documentação, Ensaios de Comissionamento, Inspeção e Avaliação de Desempenho. Available online: https://www.abntcatalogo.com.br/pnm.aspx?Q=bmZOdXBkcE43Y2NJYkdzRzByRjcrNVd2NGhqL2NVUWFCd3FobWM0cEFWQT0= (accessed on 24 December 2025).
  42. IEC 62446-1:2016|IEC. Available online: https://webstore.iec.ch/en/publication/24057 (accessed on 23 December 2025).
  43. Amiry, H.; Benhmida, M.; Bendaoud, R.; Hajjaj, C.; Bounouar, S.; Yadir, S.; Raïs, K.; Sidki, M. Design and Implementation of a Photovoltaic I-V Curve Tracer: Solar Modules Characterization under Real Operating Conditions. Energy Convers. Manag. 2018, 169, 206–216. [Google Scholar] [CrossRef]
  44. Vatau, D.; Musuroi, S.; Barbulescu, C.; Babescu, M. PV Systems Modelling and Optimal Control. Energy Convers. Manag. 2014, 84, 448–456. [Google Scholar] [CrossRef]
  45. Yadir, S.; Benhmida, M.; Sidki, M.; Assaid, E.; Khaidar, M. New Method for Extracting the Model Physical Parameters of Solar Cells Using Explicit Analytic Solutions of Current-Voltage Equation. In Proceedings of the 2009 International Conference on Microelectronics-ICM, Marrakech, Morocco, 19–22 December 2009; IEEE: New York, NY, USA, 2009; pp. 390–393. [Google Scholar]
  46. Bai, J.; Liu, S.; Hao, Y.; Zhang, Z.; Jiang, M.; Zhang, Y. Development of a New Compound Method to Extract the Five Parameters of PV Modules. Energy Convers. Manag. 2014, 79, 294–303. [Google Scholar] [CrossRef]
  47. Boutana, N.; Mellit, A.; Haddad, S.; Rabhi, A.; Pavan, A.M. An Explicit I-V Model for Photovoltaic Module Technologies. Energy Convers. Manag. 2017, 138, 400–412. [Google Scholar] [CrossRef]
  48. Askarzadeh, A.; Dos Santos Coelho, L. Determination of Photovoltaic Modules Parameters at Different Operating Conditions Using a Novel Bird Mating Optimizer Approach. Energy Convers. Manag. 2015, 89, 608–614. [Google Scholar] [CrossRef]
  49. Dash, P.K.; Gupta, N.C. Effect of Temperature on Power Output from Different Commercially Available Photovoltaic Modules. Int. J. Eng. Res. Appl. 2015, 5, 148–151. [Google Scholar]
  50. Huang, C.; Wang, L. Simulation Study on the Degradation Process of Photovoltaic Modules. Energy Convers. Manag. 2018, 165, 236–243. [Google Scholar] [CrossRef]
  51. Dag, H.I.; Buker, M.S. Performance Evaluation and Degradation Assessment of Crystalline Silicon Based Photovoltaic Rooftop Technologies under Outdoor Conditions. Renew. Energy 2020, 156, 1292–1300. [Google Scholar] [CrossRef]
  52. da Fonseca, J.E.F.; de Oliveira, F.S.; Prieb, C.W.M.; Krenzinger, A. Degradation Analysis of a Photovoltaic Generator after Operating for 15 Years in Southern Brazil. Sol. Energy 2020, 196, 196–206. [Google Scholar] [CrossRef]
  53. Jordan, D.C.; Silverman, T.J.; Sekulic, B.; Kurtz, S.R. PV Degradation Curves: Non-linearities and Failure Modes. Prog. Photovolt. 2017, 25, 583–591. [Google Scholar] [CrossRef]
  54. Zhu, Y.; Xiao, W. A Comprehensive Review of Topologies for Photovoltaic I–V Curve Tracer. Sol. Energy 2020, 196, 346–357. [Google Scholar] [CrossRef]
  55. González, I.; Portalo, J.M.; Calderón, A.J. Configurable IoT Open-Source Hardware and Software I-V Curve Tracer for Photovoltaic Generators. Sensors 2021, 21, 7650. [Google Scholar] [CrossRef]
  56. Casado, P.; Blanes, J.M.; Torres, C.; Orts, C.; Marroquí, D.; Garrigós, A. Raspberry Pi Based Photovoltaic I-V Curve Tracer. HardwareX 2022, 11, e00262. [Google Scholar] [CrossRef]
  57. Abonyi Sylvester, E. Analysis of Windshield Repair Technology. Int. J. Trend Sci. Res. Dev. 2018, 2, 408–413. [Google Scholar] [CrossRef]
  58. Tennent, N.H.; Townsend, J.H. The Significance of the Refractive Index of Adhesives for Glass Repair. Stud. Conserv. 1984, 29, 205–212. [Google Scholar] [CrossRef]
  59. Esposito, M.; Neto, A.B.R.; Esposito, A.; Mesbahi, O. Gabion with Photovoltaic Module Ballast: Ground Structure Constructed from the Reuse of the Aluminum Frame. J. Hazard. Toxic Radioact. Waste 2026, 30, 04025050. [Google Scholar] [CrossRef]
  60. García, M.; Marroyo, L.; Lorenzo, E.; Pérez, M. Soiling and Other Optical Losses in Solar-Tracking PV Plants in Navarra. Prog. Photovolt. Res. Appl. 2011, 19, 211–217. [Google Scholar] [CrossRef]
  61. Alzahrani, M.; Rahman, T.; Rawa, M.; Weddell, A. Impact of Dust and Tilt Angle on the Photovoltaic Performance in a Desert Environment. Sol. Energy 2025, 288, 113239. [Google Scholar] [CrossRef]
Figure 1. The module box was transported by truck from the seaport to the installation site. The packaging sustained damage because of the load being placed on the lorry platform. The subsequent image depicts the operation without the utilization of a lifting rocker. The subsequent stage of the process involved the transfer of the modules from the storage site to the plant.
Figure 1. The module box was transported by truck from the seaport to the installation site. The packaging sustained damage because of the load being placed on the lorry platform. The subsequent image depicts the operation without the utilization of a lifting rocker. The subsequent stage of the process involved the transfer of the modules from the storage site to the plant.
Sustainability 18 01948 g001
Figure 2. Status of the photovoltaic modules stored after being disposed of at the photovoltaic plant installation site.
Figure 2. Status of the photovoltaic modules stored after being disposed of at the photovoltaic plant installation site.
Sustainability 18 01948 g002
Figure 3. Damage visible to the naked eye after cleaning the 16 modules received in the first loading/transport. The WARNING-ELECTRIC HAZARD stands out.
Figure 3. Damage visible to the naked eye after cleaning the 16 modules received in the first loading/transport. The WARNING-ELECTRIC HAZARD stands out.
Sustainability 18 01948 g003
Figure 4. Nine bifacial modules installed in a carport structure. All the modules show some kind of damage to the front and/or rear glass. Image was taken on a day with high humidity, which served as a test for the electrical insulation. It is located in a car park of the laboratories at the Federal University of the Southern Frontier Campus Erechim/Brazil.
Figure 4. Nine bifacial modules installed in a carport structure. All the modules show some kind of damage to the front and/or rear glass. Image was taken on a day with high humidity, which served as a test for the electrical insulation. It is located in a car park of the laboratories at the Federal University of the Southern Frontier Campus Erechim/Brazil.
Sustainability 18 01948 g004
Figure 5. Dynamic behavior of the ambient temperature on the fourteen test days: two days in May, seven days in June, three days in July, and two days in August 2024.
Figure 5. Dynamic behavior of the ambient temperature on the fourteen test days: two days in May, seven days in June, three days in July, and two days in August 2024.
Sustainability 18 01948 g005
Figure 6. Dynamic behavior of wind speed on the fourteen test days: two days in May, seven days in June, three days in July, and two days in August 2024.
Figure 6. Dynamic behavior of wind speed on the fourteen test days: two days in May, seven days in June, three days in July, and two days in August 2024.
Sustainability 18 01948 g006
Figure 7. Dynamic behavior of ambient humidity on the fourteen test days: two days in May, seven days in June, three days in July, and two days in August 2024.
Figure 7. Dynamic behavior of ambient humidity on the fourteen test days: two days in May, seven days in June, three days in July, and two days in August 2024.
Sustainability 18 01948 g007
Figure 8. Dynamic behavior of solar radiation on the fourteen test days: two days in May, seven days in June, three days in July, and two days in August 2024.
Figure 8. Dynamic behavior of solar radiation on the fourteen test days: two days in May, seven days in June, three days in July, and two days in August 2024.
Sustainability 18 01948 g008
Figure 9. Faults reported by the iSolarCloud software and Sungrow SG3.0RS-S inverter during the period in which the tests were carried out (1 May 2024–15 August 2024). Fault code x 24 h a day, plot type scatter, custom construction, row number numerics. Total of 73 faults, in time sequence, from past to present: 62 faults, code 2 = grid overvoltage; 7 faults, code 10 = grid outage; 1 fault, code 4 = grid undervoltage; 1 fault, code 9 = grid underfrequency; 2 faults, code 38 = system malfunction.
Figure 9. Faults reported by the iSolarCloud software and Sungrow SG3.0RS-S inverter during the period in which the tests were carried out (1 May 2024–15 August 2024). Fault code x 24 h a day, plot type scatter, custom construction, row number numerics. Total of 73 faults, in time sequence, from past to present: 62 faults, code 2 = grid overvoltage; 7 faults, code 10 = grid outage; 1 fault, code 4 = grid undervoltage; 1 fault, code 9 = grid underfrequency; 2 faults, code 38 = system malfunction.
Sustainability 18 01948 g009
Figure 10. Alarms and faults that appeared in the period 10 February 2023–30 September 2024 using the SG5K-D inverter. Total of 356 faults, in time sequence, from past to present: 281 faults, code 2 = grid overvoltage; 50 faults, code 10 = grid drop; 23 faults, code 4 = grid undervoltage; 2 faults, code 9 = grid underfrequency.
Figure 10. Alarms and faults that appeared in the period 10 February 2023–30 September 2024 using the SG5K-D inverter. Total of 356 faults, in time sequence, from past to present: 281 faults, code 2 = grid overvoltage; 50 faults, code 10 = grid drop; 23 faults, code 4 = grid undervoltage; 2 faults, code 9 = grid underfrequency.
Sustainability 18 01948 g010
Figure 11. The following investigation considers the dynamic behavior of solar irradiation and humidity on 11 July 2024. Furthermore, the dynamic behavior of the direct current (DC) voltage and current on the same day is presented. The software used was iSolarCloud, and the inverter was the Sungrow SG3.0RS-S.
Figure 11. The following investigation considers the dynamic behavior of solar irradiation and humidity on 11 July 2024. Furthermore, the dynamic behavior of the direct current (DC) voltage and current on the same day is presented. The software used was iSolarCloud, and the inverter was the Sungrow SG3.0RS-S.
Sustainability 18 01948 g011
Figure 12. Dynamic behavior of the thirty-six I-V curves generated over the fourteen test days. Black: 1 May 2024 to 4 June 2024: the SG3.0RS-S inverter remained connected to the string comprising five modules. Red: 4 June 2024 to 19 June 2024: the SG3.0RS-S inverter remained connected to the string comprising four modules. Blue: 19 June 2024 to 15 August 2024: the SG3.0RS-S inverter remained connected to the string comprising nine modules. Note: The 36 I-V curves shown correspond to scans generated with the SG3.0RS-S inverter using iSolarCloud; commissioning operation with SG5K-D is not included in this I-V scan dataset.
Figure 12. Dynamic behavior of the thirty-six I-V curves generated over the fourteen test days. Black: 1 May 2024 to 4 June 2024: the SG3.0RS-S inverter remained connected to the string comprising five modules. Red: 4 June 2024 to 19 June 2024: the SG3.0RS-S inverter remained connected to the string comprising four modules. Blue: 19 June 2024 to 15 August 2024: the SG3.0RS-S inverter remained connected to the string comprising nine modules. Note: The 36 I-V curves shown correspond to scans generated with the SG3.0RS-S inverter using iSolarCloud; commissioning operation with SG5K-D is not included in this I-V scan dataset.
Sustainability 18 01948 g012
Figure 13. Dynamic behavior of the I-V curves that were generated at a time close to 12 noon on the test days.
Figure 13. Dynamic behavior of the I-V curves that were generated at a time close to 12 noon on the test days.
Sustainability 18 01948 g013
Figure 14. Dynamic behavior of the I-V curves that showed some kind of deviation, which could be considered a fault.
Figure 14. Dynamic behavior of the I-V curves that showed some kind of deviation, which could be considered a fault.
Sustainability 18 01948 g014
Table 1. Materials and equipment of the experimental unit.
Table 1. Materials and equipment of the experimental unit.
Carport StructureCanadian Solar Inc. PV ModulesSungrow Inverter 1
(Initial Commissioning, No I-V Scan)
Sungrow Inverter 2
(I-V Scan Diagnostics)
Profiles and supports: 6063-T5 anodized aluminumCS3U-380MB-AG
Electrical data STC
SG5K-D
Commissioning
(9 modules)
SG3.0RS-S
Commissioning (tests)
Screws and nuts: 304 stainless steelPmax (front STC, nameplate) 380 Wp Output Power 5 kWacCommunication Winet-S
Ethylene propylene diene methylene rubber (EPDM) sealing between modulesEff. 18.94%. Bifacial gain contribution: depends on albedo (effective power can exceed 380 Wp)Max. Input Voltage 600 VdcV DC max 600 Vdc
Tilt angle 10°Vmp 40 VMin. MPP Voltage 90 VdcVDC MPP 40 till 560 Vdc
2 × rod profile of 2200 mmImp 9.5 AMax. MPP Voltage 560 VdcIDC max 16 Adc
2 × rod profile of 2960 mmVoc 47.8 VMax. Input Current 10/10 AdcISC PV 20 Adc
2 × rod profile of 2900 mmIsc 10.01 AIsc PV 24(12/12) AdcVac 220 Vac
2 × beam profile of 6150 mmMonocrystallineOutput Voltage 220 VacIac 13.7 Aac
4 × beam profile of 3200 mmBifacialMax. Output Current 22.7 AacPac 3000 Wac
Note: The module is bifacial; rear-side contribution (albedo) may increase effective power in the field, but Table 1 reports only front-side STC nameplate values to avoid confusion and to ensure consistent comparison.
Table 2. Identification of the experiments performed.
Table 2. Identification of the experiments performed.
I-V CurvesDayDateTime StatusI-V CurvesDayDateTime Status
115/05/202411:56 Normal2129/06/202411:32 Abnormal
2 15/05/202412:45 Normal22 29/06/202411:57 Normal
330/05/202411:41 Normal23 29/06/202412:09 Normal
4 30/05/202412:39 Normal24 29/06/202412:17 Normal
5 30/05/202413:28 Normal25 29/06/202413:18 Normal
611/06/202412:12 Normal2630/06/202411:43 Normal
7 11/06/202412:15 Abnormal27 30/06/202411:45 Normal
8 11/06/202412:18 Normal28 30/06/202412:00 Normal
912/06/202412:47 Normal2910°01/07/202412:06 Normal
10 12/06/202412:50 Normal30 01/07/202412:57 Normal
1113/06/202414:22 Normal3111°18/07/202410:36 Normal
1214/06/202411:22 Abnormal32 18/07/202412:23 Normal
13 14/06/202412:13 Normal3312°31/07/202412:02 Normal
14 14/06/202412:36 Normal34 31/07/202412:49 Normal
1527/06/202412:34 Normal3513°01/08/202413:28 Normal
16 27/06/202412:35 Normal3614°02/08/202413:16 Normal
17 27/06/202412:53 Normal
18 27/06/202413:18 Normal
19 27/06/202413:19 Normal
20 27/06/202413:30 Normal
The underline is necessary to highlight more those events.
Disclaimer/Publisher’s Note: The statements, opinions and data contained in all publications are solely those of the individual author(s) and contributor(s) and not of MDPI and/or the editor(s). MDPI and/or the editor(s) disclaim responsibility for any injury to people or property resulting from any ideas, methods, instructions or products referred to in the content.

Share and Cite

MDPI and ACS Style

Esposito, M.; Bruel, G.M.; Cristóbal López, A.B.; Pearce, J.M.; Mesbahi, O. Online Diagnostics as a First Step in the Safe Use of Damaged Photovoltaic Modules. Sustainability 2026, 18, 1948. https://doi.org/10.3390/su18041948

AMA Style

Esposito M, Bruel GM, Cristóbal López AB, Pearce JM, Mesbahi O. Online Diagnostics as a First Step in the Safe Use of Damaged Photovoltaic Modules. Sustainability. 2026; 18(4):1948. https://doi.org/10.3390/su18041948

Chicago/Turabian Style

Esposito, Marcelo, Gabriela Mesquita Bruel, Ana Belén Cristóbal López, Joshua M. Pearce, and Oumaima Mesbahi. 2026. "Online Diagnostics as a First Step in the Safe Use of Damaged Photovoltaic Modules" Sustainability 18, no. 4: 1948. https://doi.org/10.3390/su18041948

APA Style

Esposito, M., Bruel, G. M., Cristóbal López, A. B., Pearce, J. M., & Mesbahi, O. (2026). Online Diagnostics as a First Step in the Safe Use of Damaged Photovoltaic Modules. Sustainability, 18(4), 1948. https://doi.org/10.3390/su18041948

Note that from the first issue of 2016, this journal uses article numbers instead of page numbers. See further details here.

Article Metrics

Back to TopTop