A Multi-Field Coupling Model for Municipal Solid Waste Degradation in Landfills: Integrating Microbial, Chemical, Thermal, and Hydraulic Processes
Abstract
1. Introduction
2. Model Development
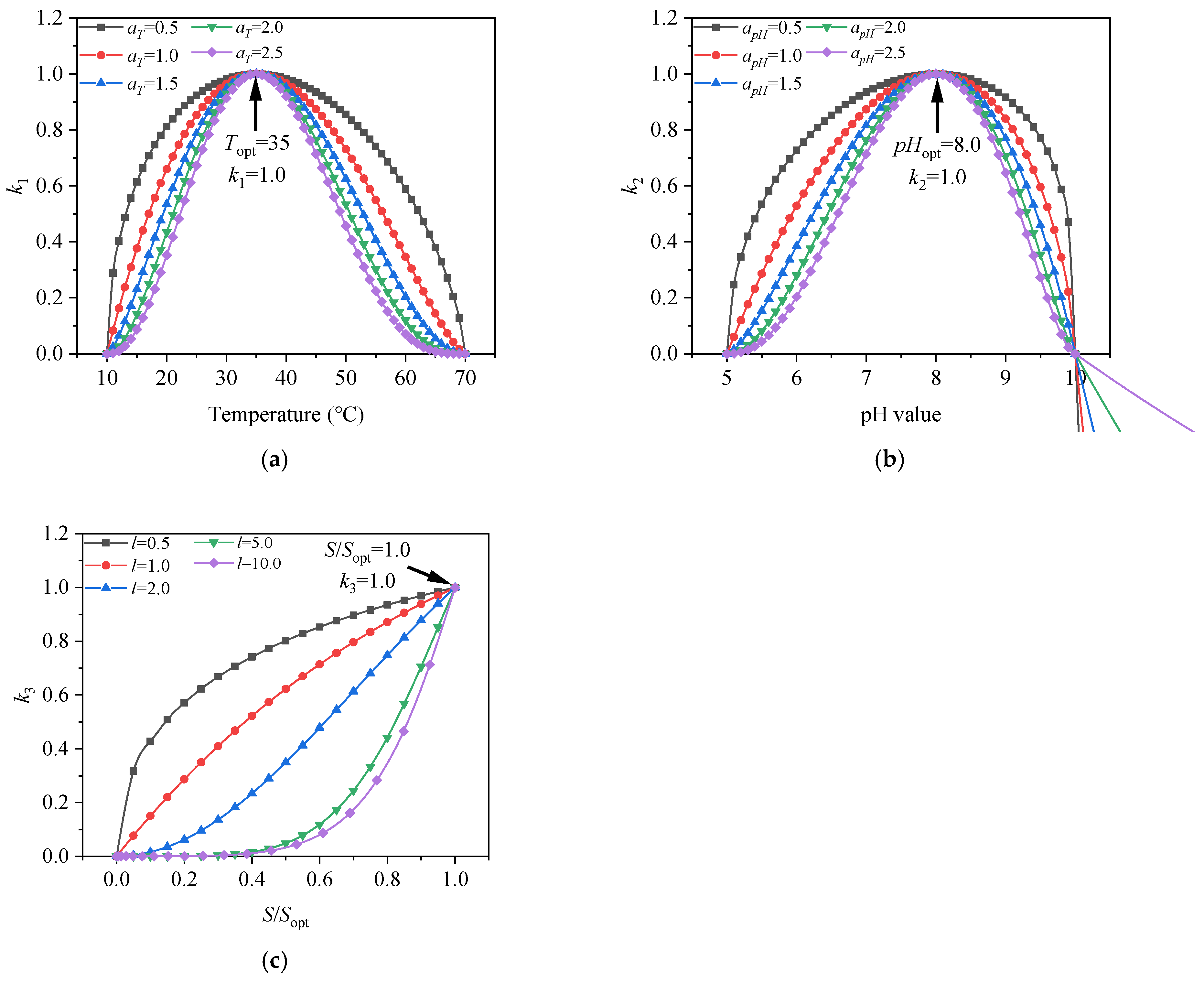
2.1. Microbial Growth in Landfills
2.2. Consumption and Transformation of Substrates
2.3. Heat Generation, Accumulation, and Transport
2.4. Gas Generation and Transport
3. Simplified Model for One-Dimension Condition
3.1. Model Simplification
3.2. Model Parameterization
3.3. Equation Solving by Finite Difference Method
3.4. Model Validation and Result Analysis
Model Validation
4. Discussion
4.1. Impact of Model Simplifications on Predictive Capability
4.2. Parameter Sensitivity and Uncertainty
4.3. Model Validation and Future Directions
5. Conclusions
- (1)
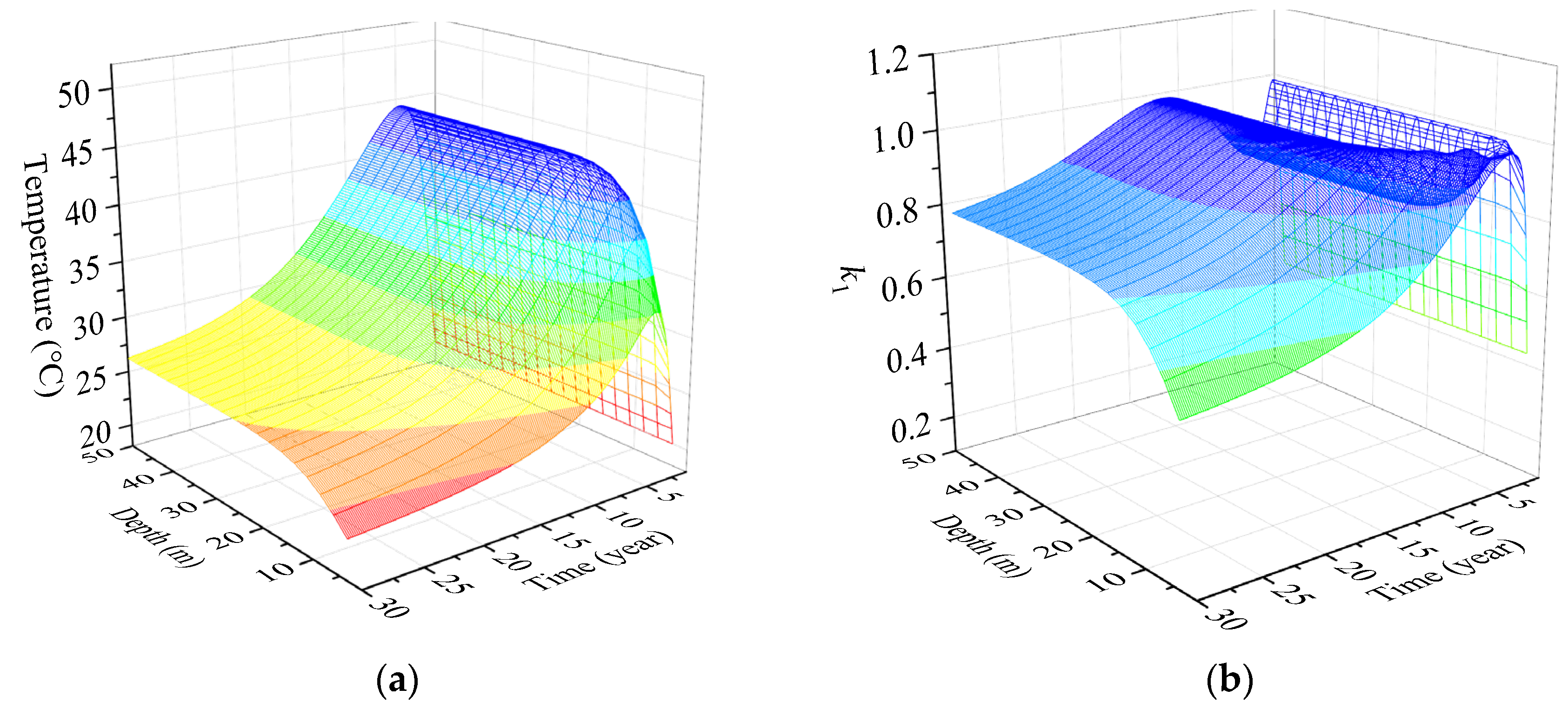
- The landfill temperature peaks at approximately 45 °C in the fifth year, after which it gradually decreases. The temperature influence factor k1 (T) effectively reflects thermal impacts on degradation rates, showing a suppressed effect when temperatures exceed the optimal range.
- (2)
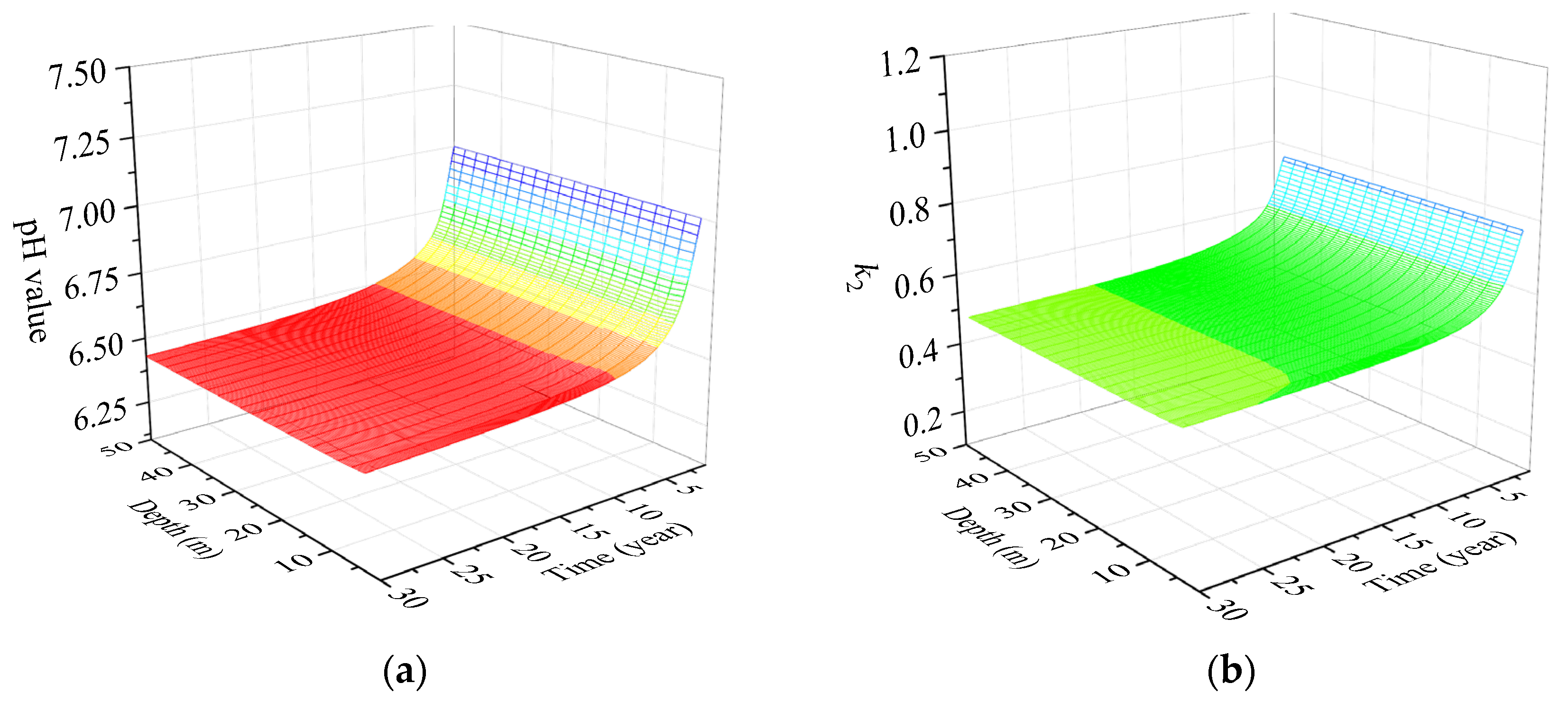
- Both pH and substrate concentration decrease over time while remaining largely uniform along the depth dimension. The limited variation in pH leads to a relatively minor influence on the degradation rate. The substrate-related factor k3 (S) decreases as the substrate is consumed and approaches zero upon depletion, indicating that substrate availability ultimately determines the endpoint of the degradation process.
- (3)
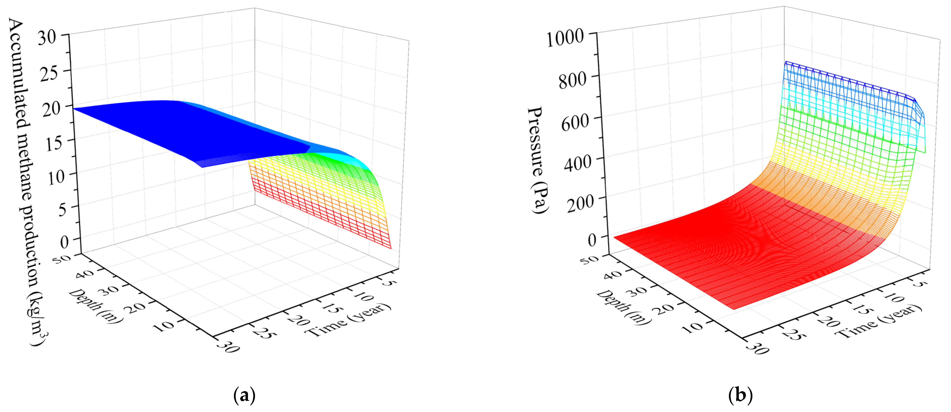
- The rate of waste decomposition peaks within two years and subsequently declines. Temperature is the dominant factor controlling the initial rapid degradation, while substrate concentration becomes the limiting factor in later stages.
Author Contributions
Funding
Institutional Review Board Statement
Informed Consent Statement
Data Availability Statement
Acknowledgments
Conflicts of Interest
Nomenclature
| Parameters | Description | Unit |
| The environmental carrying capacity of microorganisms | CFU/m3 | |
| A factor related to temperature, pH, concentration of reactants, etc. | ||
| Temperature | °C | |
| pH value | ||
| Concentration of reactants | kg/m3 | |
| The environmental carrying capacity of microorganisms under the optimal survival conditions | CFU/m3 | |
| A factor related to the temperature | ||
| A factor related to the pH value | ||
| A factor related to the concentration of reactants | ||
| Time | s | |
| The concentration of microorganisms at the time | CFU/m3 | |
| The concentration of the ith reactant at the time | kg/m3 | |
| A factor which is equal to the mass of the ith reactant consumed per unit concentration of microorganisms | kg/CFU | |
| The environmental carrying capacity of microorganisms of the ith reaction | ||
| The initial mass of the ith reactant | kg/m3 | |
| The concentration of the hydrogen ion at the time | mol/m3 | |
| A factor which is equal to the molar mass of hydrogen ions produced by consuming a unit mass of the ith reactant | mol/kg | |
| The total number of the reactant types | ||
| The heat per volume generated by the ith reactant consumption | W/m3 | |
| The heat generated by per unit mass of the ith reactant consumption | J/kg | |
| The effective heat capacity per unit volume | J/(m3∙°C) | |
| The density of the fluids | kg/m3 | |
| The heat capacity of the fluids | J/(kg∙°C) | |
| The flow field of the fluids | m/s | |
| The effective thermal conductivity | W/(m∙°C) | |
| The volume fraction of the solids | ||
| The density of the solids | kg/m3 | |
| The heat capacity of the solids | J/(kg·°C) | |
| The volume fraction of the fluids | ||
| The effective thermal conductivity of the solids | W/(m∙°C) | |
| The effective thermal conductivity of the fluids | W/(m∙°C) | |
| The pressure of the gases | Pa | |
| The molar mass of the gases | mol | |
| Molar gas constant | J/(mol∙°C) | |
| The volume of the gases | m3 | |
| The permeability of the landfill | m2 | |
| The dynamic viscosity of the fluids | Pa∙s | |
| The volume of the void | m3 | |
| The concentration of the gases | kg/m3 | |
| A factor which equals the mass of the gases produced per unit mass of the ith reactant consumption | ||
| The density of the gases | kg/m3 | |
| The cross-sectional area of the fluids | m2 | |
| The molecular weight of the gases | kg/mol | |
| A factor which equals the mass of the gases produced by the per unit mass of the ith reactant consumption | m6/kg | |
| The decomposition rate of the ith reactant under the optimal survival conditions | kg/(m3∙s) | |
| A factor related to the density of the wells | ||
| The convective heat transfer coefficient between the landfill and the wells | W/((m2∙°C) | |
| The temperature in the wells | °C | |
| The flow rate in the horizontal plane | m/s | |
| The cross-sectional area of the fluids in the horizontal plane | m2 | |
| The optimal temperature for microbial survival | °C | |
| The maximum temperature for microbial survival | °C | |
| The minimum temperature for microbial survival | °C | |
| The optimal pH value for microbial survival | ||
| The maximum pH value for microbial survival | ||
| The minimum pH value for microbial survival | ||
| The minimum reactant concentration for microbial survival | kg/m3 | |
| The depth of the landfill | m |
References
- Kaza, S.; Yao, L.; Bhada-Tata, P.; Van Woerden, F. What a Waste 2.0: A Global Snapshot of Solid Waste Management to 2050; World Bank Publications: Washington, DC, USA, 2018. [Google Scholar]
- Huang, Y.; Chen, J.; Shi, S.; Li, B.; Mo, J.; Tang, Q. Mechanical properties of municipal solid waste incinerator (MSWI) bottom ash as alternatives of subgrade materials. Adv. Civ. Eng. 2020, 2020, 9254516. [Google Scholar] [CrossRef]
- Tang, Q.; Gu, F.; Chen, H.; Lu, C.; Zhang, Y. Mechanical evaluation of bottom ash from municipal solid waste incineration used in roadbase. Adv. Civ. Eng. 2018, 2018, 5694908. [Google Scholar] [CrossRef]
- Jambeck, J.R.; Geyer, R.; Wilcox, C.; Siegler, T.R.; Perryman, M.; Andrady, A.; Narayan, R.; Law, K.L. Plastic waste inputs from land into the ocean. Science 2015, 347, 768–771. [Google Scholar] [CrossRef] [PubMed]
- Dehkordi, S.M.M.N.; Jahromi, A.R.T.; Ferdowsi, A.; Shumal, M.; Dehnavi, A. Investigation of biogas production potential from mechanical separated municipal solid waste as an approach for developing countries (case study: Isfahan-Iran). Renew. Sustain. Energy Rev. 2020, 119, 109586. [Google Scholar] [CrossRef]
- Amaral, C.; Pedro, M.I.; Ferreira, D.C.; Marques, R.C. Performance and its determinants in the Portuguese municipal solid waste utilities. Waste Manag. 2022, 139, 70–84. [Google Scholar] [CrossRef]
- Sekhohola-Dlamini, L.; Tekere, M. Microbiology of municipal solid waste landfills: A review of microbial dynamics and ecological influences in waste bioprocessing. Biodegradation 2020, 31, 1–21. [Google Scholar] [CrossRef]
- Tang, X.; Hu, M. On the resilience of bio-cemented silica sands in chemically reactive environment. Geomech. Energy Environ. 2024, 37, 100527. [Google Scholar] [CrossRef]
- Tian, A.; Tang, X.; Chen, J.; Hu, M. AC-assisted microbially induced carbonate precipitation for sand reinforcement: An experimental study. Geomech. Energy Environ. 2024, 40, 100609. [Google Scholar] [CrossRef]
- Wijekoon, P.; Koliyabandara, P.A.; Cooray, A.T.; Lam, S.S.; Athapattu, B.C.; Vithanage, M. Progress and prospects in mitigation of landfill leachate pollution: Risk, pollution potential, treatment and challenges. J. Hazard. Mater. 2022, 421, 126627. [Google Scholar] [CrossRef]
- Zahedi, S. Energy efficiency: Importance of indigenous microorganisms contained in the municipal solid wastes. Waste Manag. 2018, 78, 763–769. [Google Scholar] [CrossRef]
- Aslam, S.; Ali, F.; Naseer, A.; Sheikh, Z. Application of material flow analysis for the assessment of current municipal solid waste management in Karachi, Pakistan. Waste Manag. Res. 2022, 40, 185–194. [Google Scholar] [CrossRef]
- Sliusar, N.; Filkin, T.; Huber-Humer, M.; Ritzkowski, M. Drone technology in municipal solid waste management and landfilling: A comprehensive review. Waste Manag. 2022, 139, 1–16. [Google Scholar] [CrossRef]
- Kumar, G.; Reddy, K.R.; McDougall, J. Numerical modeling of coupled biochemical and thermal behavior of municipal solid waste in landfills. Comput. Geotech. 2020, 128, 103836. [Google Scholar] [CrossRef]
- Zhang, T.; Shi, J.; Wu, X.; Shu, S.; Lin, H. Simulation of heat transfer in a landfill with layered new and old municipal solid waste. Sci. Rep. 2022, 12, 2970. [Google Scholar] [CrossRef] [PubMed]
- Xiao, D.; Chen, Y.; Xu, W.; Zhan, L.; Ke, H.; Li, K. Biochemical-thermal-hydro-mechanical coupling model for aerobic degradation of landfilled municipal solid waste. Waste Manag. 2022, 144, 144–152. [Google Scholar] [CrossRef] [PubMed]
- Peleg, M. A new look at models of the combined effect of temperature, pH, water activity, or other factors on microbial growth rate. Food Eng. Rev. 2022, 14, 31–44. [Google Scholar] [CrossRef]
- Ke, H.; Liu, Y.; Hu, J.; Qin, R.; Xu, X.B.; Chen, Y.M. Experimental study on anisotropy of hydraulic conductivity for municipal solid waste. Waste Manag. 2022, 137, 39–49. [Google Scholar] [CrossRef]
- Peleg, M. Beta distributions for particle size having a finite range and predetermined mode, mean or median. Powder Technol. 2019, 356, 790–794. [Google Scholar] [CrossRef]
- Tansel, B. Thermal properties of municipal solid waste components and their relative significance for heat retention, conduction, and thermal diffusion in landfills. J. Environ. Manag. 2023, 325, 116651. [Google Scholar] [CrossRef]
- Weast, R.C. CRC Handbook of Chemistry and Physics; CRC Press: Boca Raton, FL, USA, 1986. [Google Scholar]
- Engineering ToolBox Methane. Thermophysical Properties. Available online: https://www.engineeringtoolbox.com/methane-d_1420.html (accessed on 3 March 2025).
- Sweat, V.E. Thermal Properties of Foods; Marcel Dekker: New York, NY, USA, 1986; p. 49. [Google Scholar]
- Huang, L.; Liu, L.S. Simultaneous determination of thermal conductivity and thermal diffusivity of food and agricultural materials using a transient plane-source method. J. Food Eng. 2009, 95, 179–185. [Google Scholar] [CrossRef]
- Yang, J.; Huang, T.; Zhang, X. Study on quantization model of methane production for organic refuse in landfill. Res. Environ. Sci. 2007, 2, 79–83. (In Chinese) [Google Scholar]
- Nuclear Power. Insulation Materials—Types of Insulation. Available online: https://www.nuclear-power.com/nuclear-engineering/heat-transfer/heat-losses/insulation-materials/ (accessed on 3 March 2025).
- Yeşiller, N.; Hanson, J.L.; Liu, W.L. Heat generation in municipal solid waste landfills. J. Geotech. Geoenviron. Eng. 2005, 131, 1330–1344. [Google Scholar] [CrossRef]
- Tang, Q.; Tian, A.; Ling, C.; Huang, Y.; Gu, F. Physical and mechanical properties of recycled aggregates modified by microbially induced calcium carbonate precipitation. J. Clean. Prod. 2023, 382, 135409. [Google Scholar] [CrossRef]
- Henry, R.K.; Zhao, Y.S.; Dong, J. Municipal solid waste management challenges in developing countries--Kenyan case study. Waste Manag. 2006, 26, 92–100. [Google Scholar] [CrossRef]
- Fierro, J.; Martinez, J.E.; Rosas, J.G.; Blanco, D.; Gomez, X. Anaerobic codigestion of poultry manure and sewage sludge under solid-phase configuration. Environ. Prog. Sustain. Energy 2014, 33, 866–872. [Google Scholar] [CrossRef]











| Parameters | Expressions or Values | Data Source and Notes |
|---|---|---|
| , , , , | [17,19] | |
| , , , , | [17,19] | |
| , | [19] | |
| 300 kg/m3 | The initial reactant concentration is 300 kg/m3. | |
| 1 × 10−4 mol/m3 | The initial pH value is equal to 7. | |
| 8/(3600 × 24 × 365) kg/(m3∙s) | The decomposition rate of the ith substrate under the optimal conditions is 8 kg/(m3∙year) | |
| 1 × 10−6 mol/kg | Considering that the product acetic acid is a weak acid, it cannot be completely hydrolyzed. | |
| 1 | Consider the whole reaction process as 1 reaction. | |
| 2 × 106 J/kg | [21] | |
| 1.4 × 106 J/(m3∙°C) | Calculation by , , , , and . | |
| 0.7 kg/m3 | [22] From methane. | |
| 2.23 × 103 J/(kg∙°C) | [22] From methane. | |
| 0.7 | Assume that the porosity of the MSW is 0.3. | |
| 1000 kg/m3 | [23] | |
| 2000 J/(kg∙°C) | [23] | |
| 0.3 | Assume that the porosity of the MSW is 0.3. | |
| 0.29 W/(m∙°C) | Calculation by , , and . | |
| 0.40 W/(m∙°C) | [24] | |
| 0.03 W/(m∙°C) | [23] From methane. | |
| 0.300 | [25] | |
| 0.7 kg/m3 | [22] From methane. | |
| 16 kg/mol | [22] From methane. | |
| 1.39 m6/kg | [25] Calculation through the mass and density of reactants and products of the chemical reaction equations. | |
| 0.006 | Calculation by the density of the gas wall. | |
| 4 W/((m2∙°C) | [26] | |
| 25 °C | Calculation by the temperature in the air. | |
| 0.45 m2 | Calculation by the porosity of the MSW. | |
| 10−14 m2 | Calculation by the porosity of the MSW. | |
| 1.1 × 10−5 Pa∙s | Calculation by the porosity of the MSW. |
| Parameters | Expressions or Values | Notes |
|---|---|---|
| Assume that the temperature at the top is always equal to the temperature of the air and heat exchange between the landfill base and the underlying soil layer is negligible. | ||
| Assume that the exchange of pH at the top and bottom boundaries are negligible. | ||
| Assume that the exchange of substrates at the top and bottom boundaries are negligible. |
Disclaimer/Publisher’s Note: The statements, opinions and data contained in all publications are solely those of the individual author(s) and contributor(s) and not of MDPI and/or the editor(s). MDPI and/or the editor(s) disclaim responsibility for any injury to people or property resulting from any ideas, methods, instructions or products referred to in the content. |
© 2025 by the authors. Licensee MDPI, Basel, Switzerland. This article is an open access article distributed under the terms and conditions of the Creative Commons Attribution (CC BY) license (https://creativecommons.org/licenses/by/4.0/).
Share and Cite
Tian, A.; Tang, H.; Chen, W.; Pan, X.; Wu, F.; Tang, Q. A Multi-Field Coupling Model for Municipal Solid Waste Degradation in Landfills: Integrating Microbial, Chemical, Thermal, and Hydraulic Processes. Sustainability 2025, 17, 9691. https://doi.org/10.3390/su17219691
Tian A, Tang H, Chen W, Pan X, Wu F, Tang Q. A Multi-Field Coupling Model for Municipal Solid Waste Degradation in Landfills: Integrating Microbial, Chemical, Thermal, and Hydraulic Processes. Sustainability. 2025; 17(21):9691. https://doi.org/10.3390/su17219691
Chicago/Turabian StyleTian, Angran, Hengliang Tang, Wei Chen, Xiangcai Pan, Fanfei Wu, and Qiang Tang. 2025. "A Multi-Field Coupling Model for Municipal Solid Waste Degradation in Landfills: Integrating Microbial, Chemical, Thermal, and Hydraulic Processes" Sustainability 17, no. 21: 9691. https://doi.org/10.3390/su17219691
APA StyleTian, A., Tang, H., Chen, W., Pan, X., Wu, F., & Tang, Q. (2025). A Multi-Field Coupling Model for Municipal Solid Waste Degradation in Landfills: Integrating Microbial, Chemical, Thermal, and Hydraulic Processes. Sustainability, 17(21), 9691. https://doi.org/10.3390/su17219691
