Abstract
China’s loess deposits exhibit high vulnerability to deformation under precipitation and snowmelt, posing significant risks to infrastructure. This study utilized enzyme-induced carbonate precipitation (EICP) to enhance the mechanical properties of Yili loess. Comparative analyses of untreated and EICP-treated samples were conducted using unconfined compression strength (UCS) tests, unconsolidated–undrained (UU) triaxial shear tests, and scanning electron microscopy (SEM). Results demonstrated that urease activity increased markedly between 25–65 °C, while calcium carbonate production peaked at 55 °C before declining. EICP treatment elevated UCS by 52% relative to untreated soil and altered the failure mechanisms: untreated specimens failed through penetrating shear cracks, whereas treated specimens exhibited compressive failure with vertical fissures. Triaxial tests confirmed enhanced properties in EICP-stabilized loess, showing 8.3–10.7% higher failure strength and 15.7% greater cohesion (increasing from 31.3 kPa to 36.2 kPa), while the internal friction angle remained largely unchanged. Microstructural analysis revealed that EICP generated continuous cementitious layers and crystal bridges of vaterite, transforming particle contacts from point-to-point to surface-to-surface interfaces. Simultaneously, crystal precipitation reduced pore sizes and increased tortuosity. These micro-scale modifications improved interparticle friction constraints and stress transfer efficiency, thereby enhancing the macroscopic mechanical performance. The findings validate EICP’s efficacy for stabilizing collapsible loess deposits and provide insights for geohazard mitigation in similar engineering contexts.
1. Introduction
Loess is a Quaternary yellow aeolian sediment. Due to its complex formation environment, it exhibits typical engineering deficiencies such as a loose structure, high porosity, significant compressibility, and insufficient mechanical strength. It is widely distributed in the Loess Plateau and arid and semi-arid regions of China. The Yili loess, a specific type distributed in the Yili River Valley of China, possesses not only common characteristics like a loose, porous structure, low structural strength, and susceptibility to disintegration upon wetting but also demonstrates notable strong collapsibility and high soluble salt content, attributable to its unique geographical, climatic conditions, and geological history [1,2,3]. These properties pose numerous challenges in engineering applications, including foundation settlement, slope instability, and channel seepage, significantly constraining regional infrastructure development and economic growth [4].
Current soil improvement methods primarily include physical reinforcement (e.g., compaction, reinforcement) and chemical stabilization (e.g., lime, cement solidification). For instance, Gao C et al. [5] employed a vibrating probe compaction method to reinforce loess. Through laboratory and field tests evaluating its disintegration characteristics, they found that the disintegration rate of treated loess samples (0.2 %/s) decreased by 75.85% compared to untreated samples. Tang Fuchun et al. [6] investigated the dynamic response characteristics of reinforced loess under different conditions in the Xining area, demonstrating that reducing reinforcement layer spacing and increasing the number of layers significantly enhanced the soil’s mechanical strength. Bao W et al. [7] used lime as a stabilizing material for loess, exploring its mechanical strength properties and microstructural changes under varying temperatures and lime contents. The results indicated that lime effectively improved the compressive and shear strength of loess under both normal and elevated temperatures. Xuerui Yan et al. [8] utilized Magnesium Oxysulfate (MOS) cement as a binding agent for loess stabilization, examining changes in bulk density, porosity, mineral structure, and microstructure. The porosity decreased from 40.97% in pure loess to 28.75% in samples with 13% MOS content, while the compressive strength increased to 7.9 MPa, indicating the effective improvement of MOS as a cementitious material for soil stabilization. However, traditional soil reinforcement methods suffer from drawbacks such as high energy consumption, environmental pollution, and insufficient long-term stability [9,10,11]. Consequently, exploring a green, efficient, and sustainable soil improvement technology to enhance the mechanical properties of Yili loess is of significant importance.
As early as 2003, Nemati and Voordouw [12] proposed using plant-derived free urease as a hydrolysis catalyst, a technique later termed “Enzyme-Induced Carbonate Precipitation (EICP)” by researchers. It was not until after 2010 that EICP technology began to be applied in soil improvement. Hideaki Yasuhara, Debendra Neupane, and others [13] were among the first to apply EICP technology for sand improvement, investigating its effectiveness in enhancing soil mechanical strength and impermeability through numerical simulations and other means. As an emerging biomineralization technology, EICP primarily involves urease extracted from plants and their seeds catalyzing the hydrolysis of urea to produce carbonate ions. These ions then combine with introduced calcium ions to form calcium carbonate precipitates. These precipitates coat soil particle surfaces and fill the spaces between them, thereby enhancing the interparticle bonding force (Figure 1) and consequently improving the soil’s mechanical properties and resistance to seepage [14].
Figure 1.
Urease-induced precipitation mechanism of calcium carbonate.
The chemical reactions involved in EICP are represented below:
Compared to Microbially Induced Carbonate Precipitation (MICP) technology, EICP does not rely on microbial growth and reproduction. It offers advantages such as simpler operation, faster reaction rates, environmental friendliness, and wider applicability. EICP demonstrates significant technical superiority, particularly in the improvement of fine-grained soils [15,16,17,18]. In recent years, EICP has also achieved notable results in areas such as sand solidification and dust control [19,20,21,22,23]. However, research on the application of EICP technology for improving Yili loess is currently a theoretical void. Therefore, investigating the effectiveness and mechanisms of EICP technology for enhancing Yili loess is of great importance for disaster prevention and mitigation in the Yili region.
This study focuses on Yili loess as the research object and applies soybean-derived urease for Enzyme-Induced Carbonate Precipitation (EICP) to improve it. Through unconfined compressive strength tests, unconsolidated undrained triaxial shear tests, and scanning electron microscopy observations, the study aims to clarify the intrinsic relationships and mechanisms among urease catalytic efficiency, calcium carbonate precipitation, the evolution of the soil microstructure, and the enhancement of macroscopic mechanical properties. Consequently, it seeks to validate the effectiveness of EICP technology for improving Yili loess from a multi-scale perspective and to provide a theoretical basis for the engineering application of this technology in loess regions of Northwestern China.
2. Materials and Methods
2.1. Test Materials
2.1.1. Test Soils
The loess used in the test was collected from Nilka County, Yili Kazakh Autonomous Prefecture, Xinjiang. The basic physical properties of the soil sample were determined in accordance with the Test Methods of Soils for Highway Engineering (JTG 3430-2020) [24] after retrieval; the results are presented in Table 1. The optimum water content and maximum dry density of the loess, determined by compaction tests, were 18.8% and 1.87 g/cm3, respectively. The air-dried Yili loess was passed through a 2-mm sieve and stored for subsequent use.
Table 1.
Main physical indexes of loess in Yili.
2.1.2. Urease Extraction and Cementation Solution Preparation
The preparation process of the soybean urease solution is illustrated in Figure 2. Fresh soybeans were first dried in an electric oven at 40 °C, then pulverized using a high-speed grinder and sieved. 100 g of the sieved soybean powder was mixed with deionized water to prepare a 100 g/L solution. The resulting mixture was stored at 4 °C for 24 h to allow complete dissolution of the urease. After refrigeration, the soybean solution was stirred uniformly using a magnetic stirrer for 0.5 h, left to stand, and then sieved again. The filtered solution was poured into centrifuge tubes and centrifuged at 3000 r/min for 30 min. The resulting supernatant constituted the crude soybean urease solution with a concentration of 100 g/L.
Figure 2.
Extraction process of soybean urease solution.
The cementation solution used in the experiments was prepared from urea and anhydrous calcium chloride (CaCl2). Urea serves as the nitrogen source in the EICP reaction, while calcium chloride provides the calcium ions.
2.2. Test Protocol
2.2.1. Urease Activity Test Protocol
The activity of soybean urease is influenced by multiple factors including temperature, pH value, urea concentration, urease concentration, calcium ion concentration, and enzyme-to-cementation solution ratio [25,26]. Building upon previous research foundations, this study investigates the effects of temperature on both enzyme activity and CaCO3 precipitation. As a crucial parameter affecting soybean urease activity and EICP treatment efficacy, temperature optimization can significantly enhance urease catalytic efficiency, thereby improving EICP’s effectiveness in soil improvement. Referencing established research on optimal concentrations for soybean urease and cementation solutions, this experiment employed a urea and calcium chloride concentration of 1.35 mol/L, a cementation solution-to-urease volume ratio of 1:1, and pH 8 as partial experimental parameters [27,28]. Urease activity, reflecting urea decomposition capacity, significantly influences CaCO3 precipitation [29,30]. Following Whiffin’s methodology [31] (Formula (3)), urease activity was evaluated by measuring electrical conductivity changes per unit time. This method operates on the principle that urea hydrolysis generates ions (2NH4+ + CO32−) that increase solution conductivity, with hydrolysis rate being proportional to conductivity change rate. The coefficient 11.11 in the formula represents a constant determined through unit conversion and stoichiometric relationships. Test mixtures comprising 3 mL urease extract and 27 mL of 1.35 mol/L urea solution were prepared and measured across five temperature gradients (25 °C, 35 °C, 45 °C, 55 °C, and 65 °C), with triplicate tests at each temperature ensuring data reliability. The electrical conductivity change (ms/cm/min) over 5 min, measured using a DDS-11A conductivity meter, was multiplied by both the solution dilution factor (10×) and constant coefficient 11.11 to derive the overall urease activity value U, as follows:
where U is the amount of urea hydrolyzed per minute, ∆σ is the variation of electrical conductivity, and n is the dilution ratio.
The moisture content of the sample is 18.77%, and the dry density is 1.87 g/m3. Deionized water is added to the plain soil by mixing, while the improved soil is mixed with an equal volume of crude soybean urease solution. After standing for 24 h, the samples are prepared. The prepared plain soil samples and improved samples are cured for 7 days under optimal temperature conditions.
2.2.2. Specimen Preparation and EICP Treatment Procedure
To systematically investigate the improvement effect of EICP technology, this study employed the mixing method to achieve uniform distribution of the reaction solution within the soil. The preparation of all specimens for mechanical tests followed this unified procedure:
(1) Material Batching: The oven-dried Yili loess, sieved through a 2-mm sieve, was divided into two portions. One portion was used to prepare untreated specimens (S), adding deionized water to reach the optimum moisture content of 18.8%. The other portion was used for treated specimens (G), where an equivalent volume of the reaction solution replaced the deionized water. The crude soybean urease extract (100 g/L) was added first, followed by preliminary mixing and a 1-h resting period to allow uniform distribution and activation of the urease within the soil mass.
(2) Compaction and Molding: After resting, a cementation solution (a mixture of urea and CaCl2, each at a concentration of 1.35 mol/L) with a volume equal to that of the urease solution was added to the treated soil mixture and rapidly blended until homogeneous. Subsequently, both the treated and untreated soils were compacted in molds using the layered compaction method to form standard specimens (φ39.1 mm × 80 mm). The dry density was controlled at the maximum dry density of 1.87 g/cm3.
(3) Curing and Solidification: After molding, the specimens were carefully extruded from the molds and placed in a constant-temperature oven for curing. Preliminary experiments indicated that the carbonate precipitation reaction essentially reached equilibrium after 5–7 days, with no new precipitates forming and a significantly diminished contribution of further curing time to strength gain. Therefore, a sealed curing period of 7 days at 55 °C was selected. This curing condition, determined based on pre-test results for urease activity and carbonate precipitation, aimed to provide the optimal environment for the EICP reaction, ensuring sufficient generation and cementation of calcium carbonate.
To assess the reliability and repeatability of the test results, three parallel specimens were prepared and tested for each experimental condition (including both untreated soil S and treated soil G). The mechanical property data presented in the text represent the average values of these replicates, with the standard deviation used as a measure of data dispersion.
2.2.3. Design of Unconfined Compressive Strength Test
Following the procedures outlined in the Test Methods of Soils for Highway Engineering (JTG 3430-2020) [24], unconfined compressive strength tests were conducted using an unconfined compression testing apparatus (Figure 3), this instrument was purchased from Shengtaike Intelligent Instrument Co., Ltd. in Zhangjiagang, Jiangsu Province, China. An axial load was applied to the specimens at a constant rate of 0.5 mm/min. The unconfined compressive strength was determined as the maximum axial stress reached. The specimens were cured for 7 days, with an enzyme-to-cementation solution ratio of 1:1 and a cementation solution concentration of 1.35 mol/L.
Figure 3.
Unconfined compression testing apparatus.
2.2.4. Design of Triaxial Shear Test
The equipment for triaxial shear tests is purchased from the official website of Nanjing TKA Technology Co., Ltd. in China, a TKA-TTS-1U triaxial testing apparatus (Figure 4) was employed to perform unconsolidated undrained (UU) tests. The shearing rate was set at 0.5 mm/min under confining pressures of 100 kPa, 200 kPa, and 300 kPa. The shear strength parameters (cohesion and internal friction angle) were determined using the Mohr-Coulomb failure criterion. The UU tests in this study aimed to obtain the total stress strength parameters of the compacted Yili loess in its unsaturated state. Given the unsaturated condition of the specimens and the undrained nature of the testing process, the shear strength is governed by the combined effects of matric suction within the soil and interparticle friction.
where σ1 is the maximum principal stress, σ3 is the minimum principal stress, C is cohesion, and φ is the internal friction angle.
Figure 4.
Triaxial shear test apparatus.
2.2.5. Scanning Electron Microscopy (SEM)
Scanning electron microscopy (SEM) analysis was performed using a field emission scanning electron microscope (Zeiss Gemini Sigma 300) (Figure 5), this equipment was purchased from the official website of Carl Zeiss AG in Germany. Soil specimens from both untreated and EICP-treated loess were prepared for SEM observation. Bulk soil samples measuring 5 mm × 5 mm × 2 mm were dried in an oven at 40 °C for 48 h. After drying, the specimens were sectioned to expose fresh structural surfaces and reduce thickness. To enhance conductivity, the sample surfaces were uniformly sputter-coated with a gold layer before being placed in the SEM chamber for vacuum treatment. The scanning position, focus, and magnification were adjusted to capture images of homogeneous areas at magnifications of 500×, 1500×, and 2000×, obtaining microscopic images at these respective scales.
Figure 5.
Electron microscope scanner.
3. Results
3.1. Urease Activity and Optimal Temperature
The trends of urease activity and CaCO3 production under five different temperatures are shown in Figure 6 and Figure 7, respectively. The results showed that the urease activity increased linearly as the temperature rose. The relationship between the two factors was fitted as follows with the correlation coefficient R2 = 0.9542:
y = 1.0101x − 16.408 (R2 = 0.9542)
Figure 6.
Trend of urease activity with temperature.
Figure 7.
Trend of calcium carbonate precipitation with temperature.
It can be observed from Figure 6. that as the temperature increased, urease activity also increased, indicating that a higher temperature was conducive to the urease extraction efficiency. The activity of urease extracted from soybeans was highly sensitive to temperature changes. The urease activity increased linearly with temperature above 35 °C and remained high even at 65 °C. The soybean-derived urease exhibited excellent stability at high temperatures and outperformed bacteria in inducing CaCO3 precipitation.
It can be observed in Figure 7 that for a mixture of 100 g/L urease solution and 1.35 mol/L cementing fluid with a 1:1 volume ratio, CaCO3 production increased continuously as the temperature rose. The catalytic efficiency began to slow down above 35 °C and peaked at 55 °C. However, the CaCO3 precipitation rate decreased considerably above 55 °C, indicating a gradual inactivation of urease under high temperatures.
Although urease activity increased with rising temperature within the 25–65 °C range (Figure 6), the actual precipitation of calcium carbonate reached its peak at 55 °C (Figure 7). This phenomenon indicates that urease activity is a necessary but not the sole determining factor for calcium carbonate precipitation. Excessively high temperatures (e.g., 65 °C) may induce partial denaturation of the urease protein [27]; despite its high instantaneous activity, the catalytic efficiency and stability decrease, ultimately leading to a reduction in overall precipitation yield. This pattern is consistent with findings from other studies utilizing similar soybean urease [28]. Furthermore, temperature also influences the cementation quality by regulating the crystallization morphology of calcium carbonate. Research indicates that moderate temperatures around 55 °C favor the formation of calcium carbonate crystals with uniform size and superior cementation properties [32]. Therefore, selecting 55 °C as the curing temperature achieves both high calcium carbonate yield and favorable cementation morphology, which also ensures the subsequent observed enhancement in macroscopic mechanical properties.
Under the condition of 55 °C, unconfined compressive tests and triaxial shear tests were conducted on the cured specimens to analyze their physical and mechanical characteristics. Subsequently, scanning electron microscopy (SEM) observations were performed on both the untreated loess (S) and the soil treated with the EICP solution (G) to examine the microstructural alterations induced by the EICP technology.
3.2. Unconfined Compressive Strength Test
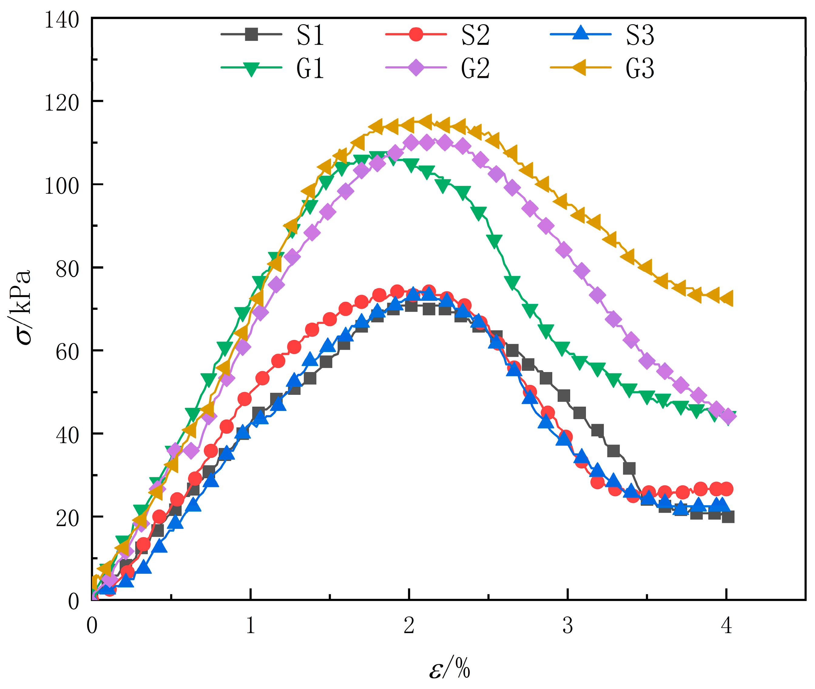
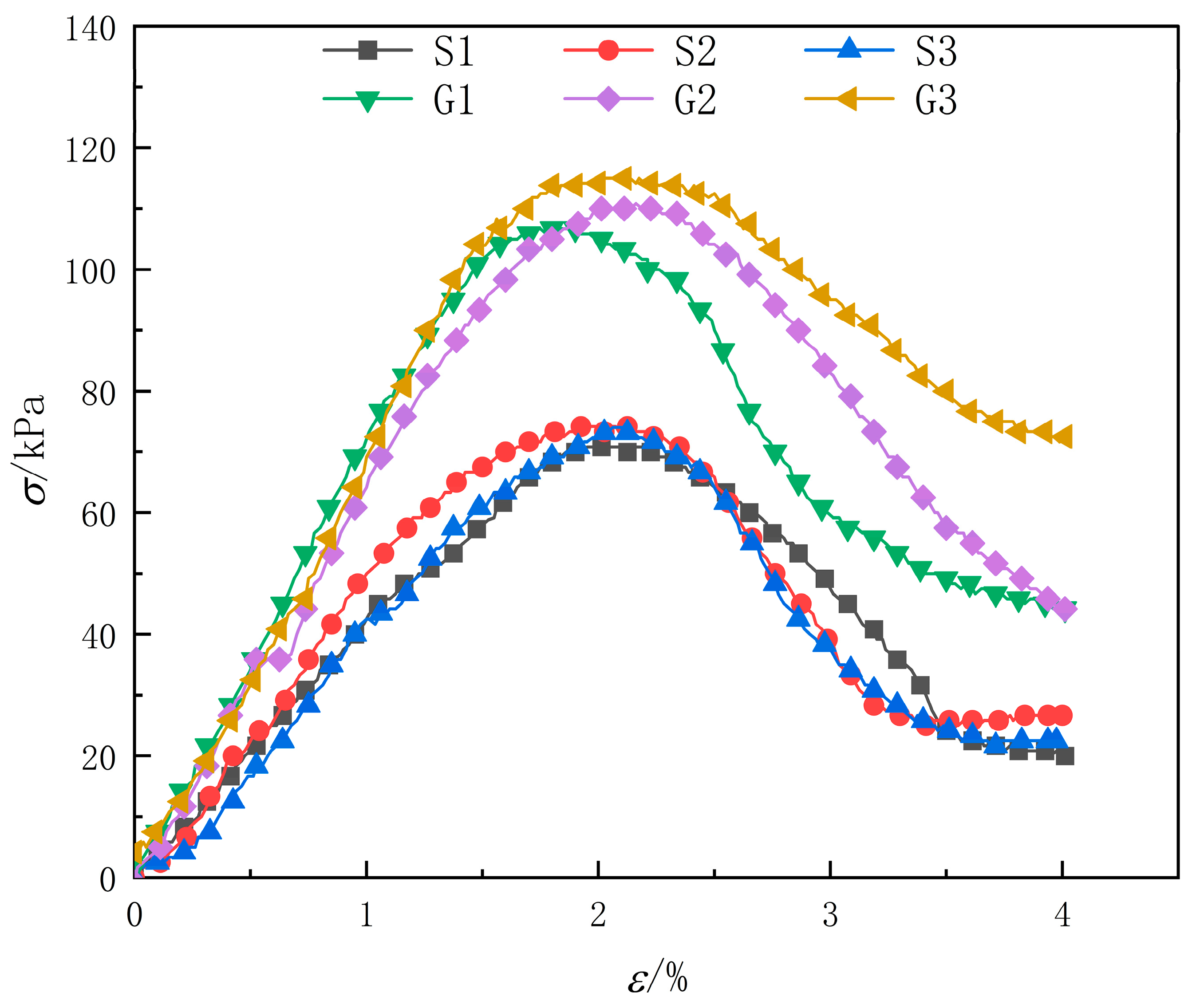
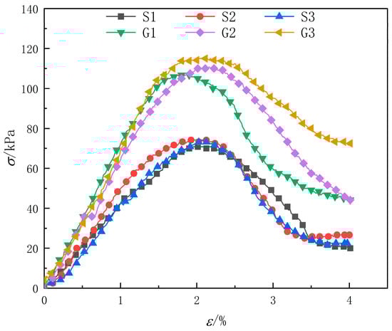
Unconfined compressive tests were conducted on three parallel specimens of untreated soil (S1, S2, S3) and three parallel specimens of EICP-treated soil (G1, G2, G3). The test results are shown in Figure 8 and Figure 9, Figure 8 presents the unconfined compressive strength versus strain relationships for specimens S and G, while Figure 9 displays their failure modes under compression.
Figure 8.
Stress–strain curve of S-type samples.
Figure 9.
Failure mode in the compressive test of loess samples.
As shown in Figure 8, the stress–strain curves of both specimen S and specimen G exhibit similar developmental trends, progressing through five stages: initial elastic rise, compression, plastic rise, failure, and residual strength. Prior to reaching peak strength, the slope of the curve for specimen G was significantly steeper than that of specimen S. Furthermore, with increasing strain, the rate of slope attenuation for specimen G was markedly slower than that of specimen S until the peak was reached. During the stages of elastic rise, compression, and plastic rise, specimen G required substantially more stress and strain than specimen S, and also demonstrated higher residual strength in the later stage. The residual strength of specimen S gradually stabilized at 3% strain, whereas that of specimen G continued to decline. The unconfined compressive strength test results (Table 2) indicate that the strength of the untreated specimen S was 73 ± 1.7 kPa, while the strength of the EICP-treated specimen G increased to 111 ± 4 kPa, representing an average improvement of 52%, or approximately 1.5 times that of the untreated soil.
Table 2.
Unconfined compressive strength values of specimens.
To quantitatively evaluate the change in soil stiffness, the secant modulus (E50) at 50% of the unconfined compressive strength was calculated for each specimen, with results shown in Table 2. The average secant modulus of the untreated specimens was 1.8 MPa, whereas after EICP treatment, the average secant modulus of the soil significantly increased to 2.9 MPa, an increase of 61%. This result is consistent with the aforementioned observation of a steeper slope in the stress–strain curve of specimen G, indicating that the calcium carbonate cementation generated by the EICP technology not only enhanced the soil strength but also effectively improved its resistance to deformation. These results confirm that the EICP solution can effectively improve the compressive strength of Yili loess. The small standard deviations in the data indicate that the improvement effect is consistent and reproducible.
The unconfined compressive strength test revealed a differentiation in the failure modes of samples with and without EICP treatment (Figure 9). The plain soil samples (S-type) displayed typical features of shear failure, characterized by penetrating oblique fissures with local soil spalling (Figure 9a,b). By contrast, compressive failure was the predominant failure mode for the improved soil samples of G-type, where vertical main fissures were mainly developed (Figure 9c,d). Secondary oblique fissures appeared in the middle and lower parts of some improved samples, but no penetrating fracture surface was seen. The above transition of failure mode suggested that the CaCO3-cemented network had changed the stress distribution mechanism within the soils. Visible calcium carbonate precipitation is difficult to observe on the surface of loess samples reinforced with EICP, mainly because the reaction process primarily occurs within the internal pore space of the samples. The generated calcium carbonate precipitates dispersedly on the surfaces and contact points of soil particles, serving to cement the soil mass rather than accumulating on the surface. Rapid evaporation on the surface and inward migration of reactants further inhibit the formation of large-scale precipitation on the surface. This indicates that the EICP technology effectively utilizes the porous characteristics of Yili loess, achieving reinforcement of the soil mass from within.
3.3. Triaxial Shear Test
3.3.1. Stress–Strain Curves
Triaxial shear tests were conducted to investigate the influence of confining pressure on the stress–strain characteristics of EICP-treated Yili loess (Figure 10). The experimental program incorporated three confining pressure conditions (100 kPa, 200 kPa, and 300 kPa), with three parallel specimens tested under each condition to ensure experimental accuracy. The results demonstrate that both the untreated specimens (S1–S9) and the treated specimens (G1–G9) exhibited stress–strain curves of the strain-hardening type. With increasing confining pressure, the failure stress of Specimen G at 15% axial strain consistently exceeded that of Specimen S. Under confining pressures of 100 kPa, 200 kPa, and 300 kPa, the average failure strengths of Specimen G were 367 ± 6.4 kPa, 605 ± 1.7 kPa, and 844 ± 9.2 kPa, representing strength improvements of 8.3%, 10.5%, and 10.7% respectively compared to Specimen S. The standard deviations for parallel specimens under all conditions remained at low levels, confirming the reliability of the test results (Table 3). This strengthening effect originates from the EICP cementation solution inducing CaCO3 precipitation that distributes between soil particles, providing cementation that enhances interparticle frictional constraints and consequently requires greater resistance to be overcome during shearing.
Figure 10.
Deviator stress–axial strain curves from triaxial tests. (a) Stress–strain curves of specimens at 100 kPa confining pressure; (b) Stress–strain curves of specimens at 200 kPa confining pressure; (c) Stress–strain curves of specimens at 300 kPa confining pressure.
Table 3.
Shear strength values of specimens.
The mechanical responses corresponding to the failure modes of Specimen G and Specimen S demonstrate consistency. Under various confining pressures, the deformation mechanisms of both specimens are predominantly characterized by compressive–lateral bulging deformation (Figure 11). The stress–strain curves exhibit monotonic hardening characteristics without distinct peak points, resulting in a compaction-induced failure mode. The failure pattern manifests as plastic bulging deformation, with no significant rupture or other deformation features observed in the overall specimen morphology. The deformation mechanism is characterized by axial compression coupled with lateral bulging, while maintaining the overall integrity of the specimens. This indicates that under constant other conditions, the EICP solution treatment in Specimen G exerts minimal influence on soil moisture content during the later reaction stages, with the variation in soil strength primarily regulated by the precipitated CaCO3 among soil particles.

Figure 11.
Deformation characteristics of the triaxial shear test samples.
3.3.2. Shear Strength Parameters
The stress–strain curves of the soil samples were obtained by the triaxial shear test. The peak principal stresses were estimated at each confining pressure for both the plain soil samples (S-type) and the improved samples (G-type). Mohr’s circle was constructed based on these results. Linear fitting was performed according to the Mohr-Coulomb strength criterion. The shear strength parameters (cohesion c and internal friction angle φ) were calculated for the samples of S- and G-types, as shown in Table 4 and Figure 12.
Table 4.
Shear strength parameters of plain soil and improved soil.
Figure 12.
Changes in shear strength parameters of plain soil (S) and improved soil (G).
The obtained shear strength parameters indicate that the cohesion (c) of Specimen S is 31.3 ± 0.7 kPa, while that of Specimen G is 36.2 ± 0.7 kPa, representing an average increase of 15.7% compared to the untreated soil. This demonstrates that under the catalytic action of urease, the precipitated CaCO3 forms a three-dimensional cementation structure at soil particle contacts and within pores. This cementation structure consolidates loose particles into an integrated mass through ionic and covalent bonds, enhancing interparticle bonding forces and restricting particle displacement. Simultaneously, the CaCO3 precipitation fills soil pores and coats particle surfaces, increasing the effective contact area between particles and enhancing van der Waals forces and capillary effects. Consequently, shear failure requires overcoming resistance from more cementation points, macroscopically manifesting as enhanced cohesion. In contrast, the internal friction angle (φ) of Specimen S is 31.1° ± 0.3°, while that of Specimen G is 32.5° ± 0.2°, showing minimal change. This indicates that the CaCO3 precipitated via EICP primarily coats particle surfaces and fills pores without significantly altering the inherent mineral composition or surface roughness of the particles. The fundamental characteristics of interparticle sliding friction remain largely unchanged. Although EICP technology enhances interparticle connections, the particle arrangement and geometric morphology (e.g., particle size distribution, angularity) are not substantially modified. The CaCO3 precipitation acts more as a “binding” agent rather than restructuring the interlocking architecture, resulting in limited improvement in interlocking effects. During shear failure, the cementitious material (CaCO3) fractures preferentially, while frictional contacts between particles continue to dominate the shear behavior. Therefore, the internal friction angle exhibits low sensitivity to cementation effects, resulting in its minimal variation.
In summary, EICP technology can effectively enhance the cohesion of Yili loess. However, as the shear strength parameters of loess are influenced by multiple factors including moisture content and degree of particle cementation, further investigation is warranted.
3.4. Microstructural Analysis
3.4.1. Qualitative Analysis of Microstructure
The microstructures of the plain soil (S-type) and the improved soil (G-type) were observed by SEM at multiple scales (500×, 1500×, and 2000×) to reveal the reshaping mechanism of biological improvement for the microstructure of loess deposits from the Yili Basin. The particle morphology was irregular in samples of S-type (Figure 13a–c), and the particles were poorly sorted. Support contacts prevailed between the particles, accompanied by a small amount of mosaic contacts. A massive amount of interparticle pores (both large and small) were generated and weakly cemented. The small particles in the untreated soils were loosely distributed within the pores between the large soil particles. The particle boundaries were distinct, and the edges between individual particles were easily identifiable. There were barely any CaCO3 crystals on the particle surfaces.

Figure 13.
SEM image of the Yili loess samples of S-type solidified by EICP: (a–c) Plain soil samples of S-type; (d–f) Improved soil samples of G-type.
The EICP treatment significantly changed the microstructure of the soils (Figure 13d–f). The high-magnification SEM images (1500× and 2000×) showed that the CaCO3 crystals formed in samples of G-type were spherical vaterite particles, which agreed with the conclusions drawn by Nafisi et al. [33] EICP improved the loess microstructure mainly through the following two mechanisms: (1) Pore filling by crystals in soil reduced pore sizes, resulting in a shift from the predominance of large pores to medium and small pores. The crystals adsorbed on the particle surfaces were densely stacked, and some pores were filled with them. The pore boundaries were blurred to an even greater degree (Figure 13e); (2) CaCO3-CaCO3 cementation bonds were formed between the soil particles, acting as a binder and strengthening the soils (Figure 13f).
The microscopic contact pattern of the soils had changed (Figure 13d–f), that is, from point-to-point contact to point-to-surface and surface-to-surface contact of soil particles after the improvement. Such a change might have been attributed to the following reasons: (1) Being coated by the cementing agent improved particle roundness, blunting edges and corners; (2) The small soil particles formed secondary aggregates via the CaCO3 bridging agent; (3) The large particles formed composite aggregates via surface contacts. The 2000× images showed that the CaCO3-cemented layer of particles was 0.5–1.2 μm thick, with the particles forming a continuously coated structure (Figure 13f).
The porous structure of the soils was filled in a graded manner. The microstructural images revealed that pores filled with crystals exhibited a significant increase in tortuosity. Three possible mechanisms of pore shrinkage were identified: (1) The pore necks were blocked by the CaCO3 crystals first; (2) The flaky particles were cemented into layered stacks; (3) The microfissures were filled by spherical crystal clusters.
In some regions, the crystals grew across the pores to form crystal bridges (Figure 13f), linked adjacent particles together. The SEM observation revealed that the urease-induced CaCO3 crystals exhibited a higher surface coverage, forming a continuously cemented layer over the particle surfaces. The multi-scale synergy between pore filling and particle cementation significantly improved the compressive and shear strengths of loess, thereby further stabilizing the soils.
3.4.2. Quantitative Analysis of Microstructure
To further elucidate the improvement mechanism of EICP technology, this study conducted quantitative analysis on scanning electron microscopy (SEM) images, specifically investigating the pore structure alterations between untreated soil and EICP-treated soil. The quantitative analysis results are summarized in Table 5, with the corresponding pore size distribution proportions presented in a pie chart format in Figure 14.
Table 5.
Pore structure parameters of plain soil and improved soil.
Figure 14.
Pie chart of pore diameter of sample.
Based on the quantitative analysis data, the improvement effect of EICP treatment on the microstructure of loess is primarily manifested in the following two aspects:
(1) Pore Distribution Improvement: Figure 14 and Table 5 demonstrate that after EICP treatment, the proportion of small pores (d < 5 μm) and oversized pores (d ≥ 20 μm), which are detrimental to soil strength, significantly decreased from 24% to 17% and from 3% to 2.5%, respectively. Conversely, the proportion of medium-sized pores (5 μm ≤ d < 10 μm), which are beneficial for enhancing soil strength, increased markedly from 53.9% to 61%. This trend indicates that the calcium carbonate precipitation generated by the EICP reaction effectively filled the original small pores and partially transformed them into more uniform and stable medium-sized pores, thereby optimizing the pore size distribution.
(2) Increased Pore Complexity: The fractal dimension of the treated soil slightly increased from 1.16 to 1.17, reflecting a mild increase in the complexity of the pore surface morphology. This arises because the deposition of calcium carbonate crystals within the pores does not form smooth surfaces but rather creates tiny, irregular crystal clusters, making the pore-solid interface more tortuous and irregular at the microscale. Simultaneously, the average abundance decreased from 0.48 μm2 to 0.46 μm2, consistent with the observed reduction in the number of small pores, indicating a trend towards a smaller average pore size.
This structural evolution—characterized by a reduction in small pores, dominance of medium-sized pores, and increased pore complexity—constitutes the microstructural essence underlying the enhancement of the soil’s macroscopic mechanical properties. The filling of small pores strengthens the solid skeleton of the soil, reducing structural degradation. The more homogenized distribution of medium-sized pores, coupled with the increased pore tortuosity, consequently leads to the observed improvements in unconfined compressive strength and cohesion.
3.4.3. Correlation Analysis Between Microstructure and Macroscopic Mechanical Properties
To further establish the intrinsic relationship between microstructural evolution and macroscopic mechanical behavior, a correlation analysis was conducted between key microstructural parameters and mechanical performance indicators.
1. Correlation between pore structure optimization and compressive strength enhancement
The improvement in unconfined compressive strength (UCS) (52%) is closely related to the optimization of the pore structure. Quantitative analysis indicates that after EICP treatment, the proportion of small pores (d < 5 μm), which are detrimental to strength, decreased by approximately 7%, while the proportion of medium-sized pores (5–10 μm), which facilitate uniform stress transfer, increased correspondingly by nearly 7%. This demonstrates a transformation of the pore structure from small pores towards medium-sized pores. The calcium carbonate crystals fill the small pores, converting or merging them into more stable medium-sized pores, enabling stress to be transmitted more uniformly and effectively within the soil mass. Consequently, the enhancement in compressive strength can be regarded as the macroscopic manifestation of pore structure optimization. This improvement in pore distribution provides a microstructural basis for predicting the compressive strength improvement of similar porous soils treated with EICP technology in the future.
2. Correlation between cementation effect and cohesion enhancement
The increase in cohesion (c) is attributed to the cementation effect of calcium carbonate. Microscopic observation reveals that the crystals form continuous cementation layers and “crystalline bridges” between particles. Although the amount of calcium carbonate precipitation was not directly quantified, the increase in fractal dimension can serve as an indirect indicator of the complexity and effectiveness of the cementation. The increase in fractal dimension signifies a more tortuous and complex pore-solid interface, reflecting the non-uniform deposition of calcium carbonate crystals on particle surfaces and at contact points, which enhances mechanical interlocking and chemical bonding forces between particles. Therefore, the magnitude of the cohesion increase (15.6%) aligns with the trend in fractal dimension change, confirming the effectiveness of EICP cementation.
The aforementioned correlation analysis demonstrates that the enhancement in macroscopic mechanical properties of EICP-treated Yili loess can be preliminarily predicted through quantitative analysis of microstructural parameters such as pore size distribution and surface morphology. This provides key parametric support for establishing a predictive model for the improvement effectiveness of EICP technology on loess in this region.
4. Discussion
4.1. Cementing Mechanism and Failure Mode Transition of EICP-Improved Soils
EICP induces the formation of CaCO3 crystals in soils through biomineralization, filling pores between particles and cementing or coating them (Figure 15), thereby improving the mechanical strength of the soils. The core mechanism lies in the dual effects exerted by CaCO3 crystals on soil particles: First, the soils are coated by CaCO3 crystals, resulting in smaller interparticle gaps and an optimized stress transfer network at the contact points; second, the interparticle friction and bonding are enhanced by cementation bonds. Such a spatial distribution pattern of the cementing effect had a profound impact on the macroscopic mechanical features of the materials.
Figure 15.
The cementation form of CaCO3 crystals in soil.
The compressive strength test showed that the failure morphology of the improved soil samples was closely related to the three-dimensional distribution of cementation. The weakly cemented regions in the soil samples are spatially coupled to regions where main fissures are developed. The above finding corroborates the conclusion drawn by Arpajirakul et al. [34] in MICP-improved clay and helps reveal the universal reinforcing mechanism of the biomineralization technologies. The loess treated with EICP exhibits a mixed failure mode: tension (at the beginning) and shear (at failure), which is due to the spatially uneven distribution of biological solidification generated between loess particles.
The aforementioned cementation mechanism directly governs the macroscopic mechanical response of the treated soil. The significant strength enhancement and alteration in failure mode observed in the unconfined compression tests are fundamentally attributed to the calcium carbonate cementation network effectively improving the soil’s integrity and modifying the internal stress transmission paths. Furthermore, the variation pattern of shear strength parameters revealed by the triaxial tests requires further examination based on the influence of cementation on interparticle friction and bonding characteristics.
4.2. Analysis of the Differential Mechanism of Mechanical Strength Improvement of EICP-Improved Soils
The differential effectiveness of EICP technology in improving the compressive versus shear strength of soil stems from the distinct roles and mechanisms of calcium carbonate cementation within the soil structure. The enhancement in compressive strength is primarily attributed to the spatial cementation network formed by calcium carbonate crystals, which comprehensively reinforces the soil structure and effectively bears and transmits compressive stresses. In contrast, shear strength relies more heavily on interparticle friction, interlocking, and bonding forces. Research indicates that the compressive strength of EICP-treated soil can reach 1.5 times that of untreated soil, whereas the improvement in shear strength is more limited. This suggests that the cementation layer formed by CaCO3, while coating particle surfaces, possesses relatively weak resistance to shear forces and cannot significantly enhance interparticle interlocking and frictional interactions. Consequently, the increases in shear strength parameters—cohesion (c) and internal friction angle (φ)—remain constrained.
Comparative analysis (Table 6) reveals significant variations in the improvement effectiveness of EICP technology across different soil types, highlighting the controlling influence of the soil’s inherent structure and mineral composition on the biomineralization process. Regarding compressive strength, the improvement observed in this study for Yili loess (54.2% increase) surpasses that reported for Xi’an loess (26.6%) and Henan expansive soil (49.6%). This suggests that, although the soluble salts in Yili loess may adversely affect the purity of the cementitious products, its relatively high porosity and favorable permeability provide migration pathways and deposition space for the EICP reaction solution. This facilitates the formation of a widely distributed calcium carbonate cementation network, thereby effectively enhancing the overall structural resistance to compression.
Table 6.
Comparison of mechanical improvement in loess using different biomineralization techniques.
However, the improvement pattern differs for shear strength parameters. The increase in cohesion for Yili loess achieved in this study (15.6%) is significantly lower than that for Henan expansive soil (37.8%) and Xi’an loess (26.0%). This phenomenon is likely related to the unique engineering geological characteristics of Yili loess. As mentioned previously, Yili loess is typically rich in soluble salts. These salts (e.g., sulfate, chloride ions) may compete with calcium ions, forming non-cementing competitive precipitates (such as gypsum), thereby reducing the purity and efficiency of the calcium carbonate available for effective cementation and resulting in a relatively limited cohesion enhancement.
Furthermore, the minor increase in the internal friction angle observed in this study (4.5%) is the lowest among all the compared cases, contrasting sharply with the significant improvements reported for Xi’an loess (30.1%) and Lanzhou loess (108%). This underscores a key distinction between the improvement mechanisms of EICP and MICP. MICP technology (as applied to Lanzhou loess) often utilizes microbial cells to form stronger cementation at particle contacts [37]. This cementation mode effectively hinders particle rolling and sliding, leading to a substantial increase in the internal friction angle. In contrast, EICP technology, particularly in specific media like Yili loess, tends to generate calcium carbonate crystals that coat particle surfaces. Their primary role is to enhance bonding rather than reconfigure the interparticle arching structure, thus contributing less to the improvement of the internal friction angle. The notable increase in the internal friction angle in the Xi’an loess case might be attributed to its specific particle gradation and the particular penetration and nucleation patterns of the EICP solution within it, illustrating that even within EICP technology, the improvement effectiveness is highly dependent on the native soil properties.
Synthesizing the data from this study and the literature, the effectiveness of EICP technology in improving different soils (particularly the shear strength parameters) varies significantly, primarily controlled by the soil’s native structure and geochemical environment. For Yili loess, its high initial porosity provides favorable conditions for a notable increase in compressive strength. However, its potential soluble salt content might inhibit the formation of highly efficient cementitious products through competitive reactions with calcium ions, consequently limiting the extent of cohesion improvement. Therefore, prior to future engineering applications, preliminary determination of the pore structure and soluble salt content of the target soil is recommended.
4.3. EICP Optimization Strategy Oriented Towards Soil Homogenization and Shear Resistance Improvement
The EICP technique utilizes urease to induce the precipitation of calcium carbonate (CaCO3) within soil pores, generating intergranular cementation and coating effects that dramatically enhance the soil’s compressive strength. However, the improving effect for the shear resistance varies with soil type and cementing properties. The differentiation in improving effects for different soils testifies to the crucial influence of the soil’s primary texture, mineral composition, and distribution of nucleation sites on the performance of EICP. Further investigations are needed to reveal the influence patterns.
A review of existing studies reveals several major problems with EICP, including non-uniform distribution of cementation, a limited degree of shear strength improvement, varying compatibility with different soil types, and a shortage of nucleation sites. Pathways for optimizing cementation uniformity and controlling regional solidification include improving the permeation technique, regulating grouting parameters, and introducing nanomaterials to enhance dispersibility, thereby eliminating weakly cemented regions. To improve shear resistance, it is worthwhile exploring the combined use of EICP and compound modification, utilizing fibers and polymers to enhance interparticle occlusal friction or regulating the formative morphology of CaCO3 crystals to enhance interparticle anchoring. Meanwhile, we should intensify research on the compatibility of EICP with various soil types and develop a soil pore-cementation-strength system to achieve effective CaCO3 precipitation in diverse soils. Finally, mineral nucleating agents can be added to promote directional precipitation of CaCO3 crystals and increase the nucleation efficiency in interparticle gaps. In the future, we will focus on developing a control technique for cementation distribution and building a predictive model for the spatial configuration of cementation and mechanical performance of soils using in situ monitoring. The EICP parameters should be optimized based on pertinent findings. Efforts should be devoted to exploiting the biological sources of urease and the calcium sources from waste to promote green, low-carbon development and achieve an EICP technique capable of enhancing soil homogenization and shear resistance, compatible with diverse soil types.
5. Conclusions
This study, through macro- and micro-scale experiments, elucidates the key mechanism of EICP technology for improving Yili loess: via the highly efficient catalysis of urease at 55 °C, an optimal yield of vaterite calcium carbonate crystals is generated. These crystals reshape the soil’s microstructure through cementation and filling effects, consequently significantly enhancing the macroscopic mechanical properties of Yili loess. The main conclusions are as follows:
(1) The optimal reaction temperature for EICP improvement of Yili loess was determined to be 55 °C. This finding provides a crucial parameter for developing on-site curing protocols. During summer in the Yili region, the natural environmental temperature can approach or reach this suitable range, significantly reducing the reliance on additional heating energy and enhancing the feasibility and economic viability of EICP technology application in Northwestern China.
(2) EICP technology effectively enhances the soil’s unconfined compressive strength (approximately 54%) and cohesion (approximately 16%), while also altering its failure mode. This indicates the technology’s potential for improving the shallow stability of loess slopes and possibly addressing uneven settlement of roadbeds. The modified mechanical behavior, exhibiting greater brittleness, provides guidance for assessing the long-term performance and failure warning signs of the reinforced soil.
(3) The study reveals the micro-mechanism of soil strengthening via EICP through “crystalline bridge” cementation and pore filling. This mechanism highlights that the successful application of EICP technology hinges on the effective transport and distribution of the reaction solution within the soil pores. Therefore, EICP technology demonstrates good applicability for soils possessing a similarly loose and porous structure, such as other aeolian loess deposits and silts.
(4) The improvement in the internal friction angle of the soil by EICP technology is limited. When treating engineering elements subjected to high shear stresses (e.g., steep slopes, foundation bearing layers), combining EICP technology with traditional methods like geosynthetic reinforcement should be considered to form a composite reinforcement technique that leverages complementary advantages. Future research should focus on developing localized urease sources with low environmental impact and optimizing grouting processes to enhance cementation uniformity, thereby facilitating the large-scale engineering application of this technology.
Author Contributions
Y.X.: conceived this study and wrote the paper. A.Z. and G.S.: conceived this study, and contributed to improving the paper. D.Y., W.G. and J.Z.: conceived this study. X.P., D.W. and C.J.: collated data. All authors have read and agreed to the published version of the manuscript.
Funding
This work was supported by the Basic scientific research business expenses of colleges and universities in the autonomous region [Fund No. XJEDU2025J006]; the Major Science and Technology Projects in Xinjiang [Grant No. 2024A01002]; the Key Project of Joint Funds of the National Natural Science Foundation of China [Grant No. U2003103]; and Project of the “University Student Innovation Training Program”of Xinjiang Uygur Autonomous Region (2025): “Study on the Mechanical Properties of Ili Loess Improved by EICP Technology under Freeze-Thaw Cycles”.
Institutional Review Board Statement
Not applicable.
Informed Consent Statement
Not applicable.
Data Availability Statement
The datasets generated during and/or analysed during the current study are available from the corresponding author on reasonable request.
Acknowledgments
We sincere thanks to all those who helped and supported me in the thesis writing process.
Conflicts of Interest
The authors declare no conflicts of interest.
Abbreviations
The following abbreviations are used in this manuscript:
| EICP | enzyme-induced carbonate precipitation |
| UCS | unconfined compressive strength test |
| UU | unconsolidated-undrained |
| SEM | scanning electron microscopy |
| MICP | microbially induced calcium carbonate precipitation |
References
- Xu, J.; Li, Y.; Ren, C.; Wang, S.; Vanapalli, S.K.; Chen, G. Influence of freeze-thaw cycles on microstructure and hydraulic conductivity of saline intact loess. Cold Reg. Sci. Technol. 2021, 181, 103183. [Google Scholar] [CrossRef]
- Shi, G.; Li, X.; Guo, Z.; Zhang, Z.; Zhang, Y. Effect of Mica Content on Shear Strength of the Yili Loess under the Dry-Wet Cycling Condition. Sustainability 2022, 14, 9569. [Google Scholar] [CrossRef]
- Zhang, Z.; Bao, W.; Li, Z.; Chen, R.; Guan, X. Experimental study on the failure process of loess slopes in Ili under freeze-thaw and rainfall. KSCE J. Civ. Eng. 2025, 29, 100100. [Google Scholar] [CrossRef]
- Juang, C.H.; Dijkstra, T.; Wasowski, J.; Meng, X. Loess geohazards research in China: Advances and challenges for mega engineering projects. Eng. Geol. 2019, 251, 1–10. [Google Scholar] [CrossRef]
- Gao, C.; Du, G.; Zhuang, Z.; Zeng, B.; Chen, X.; Cheng, F. Disintegration characteristics of collapsible loess after vibration compaction. Proc. Inst. Civ. Eng.-Geotech. Eng. 2023, 176, 86–98. [Google Scholar] [CrossRef]
- Tang, F.C.; Zhang, W.Y.; Tang, X.; Liu, C.K. Study on the dynamic characteristics of geogrid reinforced loess under cyclic loading. Water Resour. Hydropower Eng. 2024, 55, 148–161. [Google Scholar]
- Bao, W.; Wang, H.; Lai, H.; Chen, R. Experimental study on strength characteristics and internal mineral changes of Lime-stabilized loess under High-Temperature. Constr. Build. Mater. 2022, 351, 128945. [Google Scholar] [CrossRef]
- Yan, X.; Xu, Q.; Deng, M.; Sun, Y.; He, X.; Dong, S.; Ma, L.; Hai, C.; Zhou, Y. Investigation on the solidification effect and mechanism of loess utilizing magnesium oxysulfate cement as a curing agent. Sci. Total Environ. 2024, 951, 175214. [Google Scholar] [CrossRef] [PubMed]
- Morales, L.; Garzón, E.; Romero, E.; Sánchez-Soto, P.J. Microbiological induced carbonate (CaCO3) precipitation using clay phyllites to replace chemical stabilizers (cement or lime). Appl. Clay Sci. 2019, 174, 15–28. [Google Scholar] [CrossRef]
- Pakbaz, M.S.; Kolahi, A.; Ghezelbash, G.R. Assessment of Microbial Induced Calcite Precipitation (MICP) in Fine Sand Using Native Microbes under Both Aerobic and Anaerobic Conditions. KSCE J. Civ. Eng. 2022, 26, 1051–1065. [Google Scholar] [CrossRef]
- Terzis, D.; Laloui, L. A decade of progress and turning points in the understanding of bio-improved soils: A review. Geomech. Energy Environ. 2019, 19, 100116. [Google Scholar] [CrossRef]
- Nemati, M.; Voordouw, G. Modification of porous media permeability, using calcium carbonate produced enzymatically in situ. Enzym. Microb. Technol. 2003, 33, 635–642. [Google Scholar] [CrossRef]
- Yasuhara, H.; Neupane, D.; Hayashi, K.; Okamura, M. Experiments and predictions of physical properties of sand cemented by enzymatically-induced carbonate precipitation. Soils Found. 2012, 52, 539–549. [Google Scholar] [CrossRef]
- Wang, Y.; Sun, X.; Miao, L.; Wang, H.; Wu, L.; Shi, W.; Kawasaki, S. State-of-the-art review of soil erosion control by MICP and EICP techniques: Problems, applications, and prospects. Sci. Total Environ. 2024, 912, 169016. [Google Scholar] [CrossRef]
- Zhang, J.; Yin, Y.; Shi, W.; Bian, H.; Shi, L.; Wu, L.; Han, Z.; Zheng, J.; He, X. Strength and uniformity of EICP-treated sand under multi-factor coupling effects. Biogeotechnics 2023, 1, 100007. [Google Scholar] [CrossRef]
- Li, J.; Zhu, F.; Wu, F.; Chen, Y.; Richards, J.; Li, T.; Li, P.; Shang, D.; Yu, J.; Viles, H.; et al. Impact of soil density on biomineralization using EICP and MICP techniques for earthen sites consolidation. J. Environ. Manag. 2024, 363, 121410. [Google Scholar] [CrossRef]
- Cui, M.J.; Lai, H.J.; Hoang, T.; Chu, J. One-phase-low-pH enzyme induced carbonate precipitation (EICP) method for soil improvement. Acta Geotech. Int. J. Geoengin. 2021, 16, 481–489. [Google Scholar] [CrossRef]
- Carmona, J.P.; Venda Oliveira, P.J.; Lemos, L.J.; Pedro, A.M. Improvement of a sandy soil by enzymatic calcium carbonate precipitation. Proc. Inst. Civ. Eng. Geotech. Eng. 2018, 171, 3–15. [Google Scholar] [CrossRef]
- Shu, S.; Yan, B.; Meng, H.; Bian, X. Comparative study of EICP treatment methods on the mechanical properties of sandy soil. Soils Found. 2022, 62, 101246. [Google Scholar] [CrossRef]
- Cui, M.; Xiong, H.; Lv, S.; Zheng, J.; Cui, M.; Zeng, C. Multivariate Experimental Study on EICP Combined with Polypropylene Fiber Solidified Desert Sand. KSCE J. Civ. Eng. 2024, 28, 2221–2230. [Google Scholar] [CrossRef]
- Wu, L.; Miao, L.; Sun, X.; Wang, H. Effect of calcium sources on enzyme-induced carbonate precipitation to solidify desert aeolian sand. J. Environ. Manag. 2024, 366, 121687. [Google Scholar] [CrossRef] [PubMed]
- Hamdan, N.; Kavazanjian, E. Enzyme-induced carbonate mineral precipitation for fugitive dust control. Géotechnique 2016, 66, 546–555. [Google Scholar] [CrossRef]
- Wu, M.; Hu, X.; Zhang, Q.; Zhao, Y.; Sun, J.; Cheng, W.; Fan, Y.; Zhu, S.; Lu, W.; Song, C. Preparation and performance evaluation of environment-friendly biological dust suppressant. J. Clean. Prod. 2020, 273, 123162. [Google Scholar] [CrossRef]
- JTG 3430-2020; Test Methods of Soils for Highway Engineering. People’s Communications Press: Beijing, China, 2020.
- Zhao, C.; Xiao, Y.; Liu, H.; Chu, J. Effects of urease and cementing solution concentrations on micro-scale enzymatic mineralisation characteristics. Géotechnique 2024, 75, 732–746. [Google Scholar] [CrossRef]
- Zhang, Y.; Yan, D.; Wang, X.; Lei, Y.; Du, B.; Xue, K.; Li, G. Study on Key Influencing Factors of Enzyme Induced Calcium Carbonate Precipitation. Hans J. Civ. Eng. 2024, 13, 460–468. [Google Scholar] [CrossRef]
- Xiong, H.H.; Cui, M.; Lv, S.Y.; Zheng, J.J.; Fu, X. Experimental study on activity and calcificationvariables of different plant-derived urease. J. Nanchang Inst. Technol. 2022, 41, 12–17,58. [Google Scholar]
- Cui, M.; Fu, X.; Zheng, J.J.; Xiong, H.; Zeng, C.; Han, S. Multivariate experimental study on soybean urease induced calcium carbonate precipitation. Rock Soil Mech. 2022, 43, 2. [Google Scholar]
- Hu, K.Y.; Long, W.J.; Feng, G.L.; Chen, C.; Luo, Q.L.; Dong, B.Q.; Wang, Y.C.; Xing, F. Biomineralization techniques and its engineering application: A systematic review and meta-analysis. J. Build. Eng. 2025, 100, 111739. [Google Scholar] [CrossRef]
- Ma, X.; Liu, Y.; Hao, Z.; Yin, W. Study on mechanical properties and durability of composite improved loess using CG-2 curing agent and cement. Constr. Build. Mater. 2024, 451, 138801. [Google Scholar] [CrossRef]
- Whiffin, V.S.; Van Paassen, L.A.; Harkes, M.P. Microbial Carbonate Precipitation as a Soil Improvement Technique. Geomicrobiol. J. 2007, 24, 417–423. [Google Scholar] [CrossRef]
- Zhang, J.; Yin, Y.; Shi, W.; Song, D.; Yu, L.; Shi, L.; Han, Z. Experimental study on the calcium carbonate production rates and crystal size of EICP under multi-factor coupling. Case Stud. Constr. Mater. 2023, 18, e01802. [Google Scholar] [CrossRef]
- Nafisi, A.; Safavizadeh, S.; Montoya, B.M. Influence of Microbe and Enzyme-Induced Treatments on Cemented Sand Shear Response. J. Geotech. Geoenvironmental Eng. 2019, 145, 06019008. [Google Scholar] [CrossRef]
- Arpajirakul, S.; Pungrasmi, W.; Likitlersuang, S. Efficiency of microbially-induced calcite precipitation in natural clays for ground improvement. Constr. Build. Mater. 2021, 282, 122722. [Google Scholar] [CrossRef]
- Wang, H.; Zhang, J.W.; Guo, H.J. Experimental study on physical and mechanical properties of expansive soil improved by EICP. J. Civ. Environ. Eng. 2024, 46, 109–116. [Google Scholar]
- Gao, J.; Wang, J.; Zhang, D.; Wang, F.; Qi, L. Enzyme-induced calcium carbonate precipitation treated loess fly ash-based geopolymer for airport slope stabilization: Evaluation of wetting deformation and vibratory disintegration. Case Stud. Constr. Mater. 2025, 22, e04345. [Google Scholar] [CrossRef]
- Liu, J.; Zhu, Z.; He, J.; Luo, F.; Yang, Y.; Gu, H.; Wang, Z. Experimental study on shear strength and creep properties of loess modified by microbially induced calcium carbonate precipitation (MICP) under freeze-thaw cycles. Case Stud. Constr. Mater. 2025, 22, e04119. [Google Scholar] [CrossRef]
Disclaimer/Publisher’s Note: The statements, opinions and data contained in all publications are solely those of the individual author(s) and contributor(s) and not of MDPI and/or the editor(s). MDPI and/or the editor(s) disclaim responsibility for any injury to people or property resulting from any ideas, methods, instructions or products referred to in the content. |
© 2025 by the authors. Licensee MDPI, Basel, Switzerland. This article is an open access article distributed under the terms and conditions of the Creative Commons Attribution (CC BY) license (https://creativecommons.org/licenses/by/4.0/).