Sustainable Thermoplastic Starch Biocomposites from Coffee Husk and Mineral Residues: Waste Upcycling and Mechanical Performance
Abstract
1. Introduction
2. Materials and Methods
2.1. Raw Materials
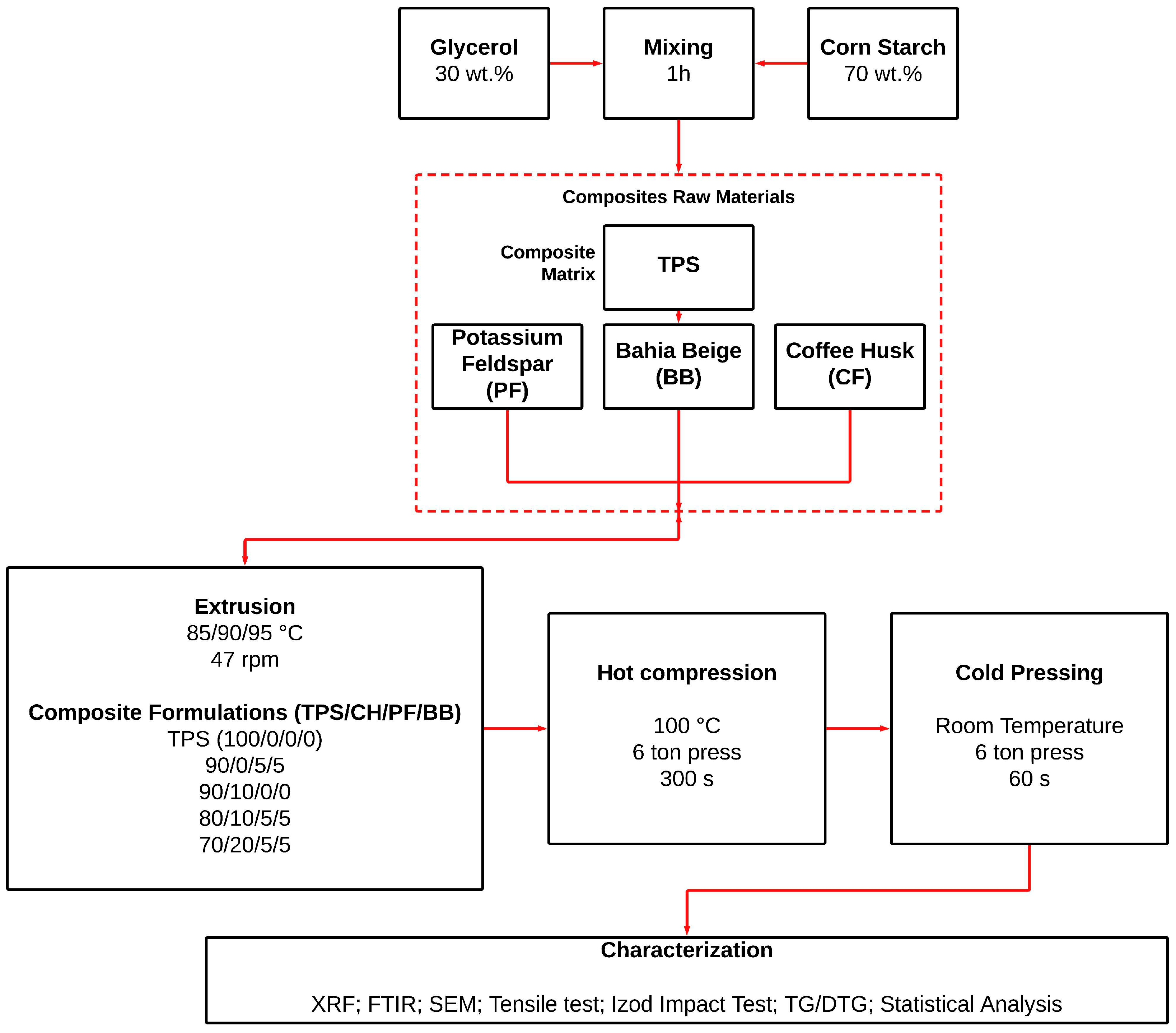
2.2. Preparation of Thermoplastic Starch and Biocomposites
2.3. Characterization
2.3.1. X-Ray Fluorescence (XRF)
2.3.2. Fourier-Transform Infrared Spectroscopy (FTIR)
2.3.3. Scanning Electron Microscopy (SEM)
2.3.4. Tensile Tests
2.3.5. Izod Impact Tests
2.3.6. Thermogravimetric Analysis (TG/DTG)
2.3.7. Statistical Analysis and Optimization
3. Results and Discussion
3.1. XRF Results
3.2. FTIR Results
3.3. Morphological Analysis by SEM
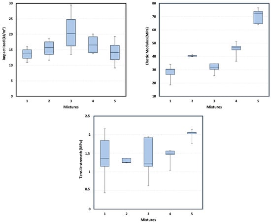
3.4. Mechanical Properties
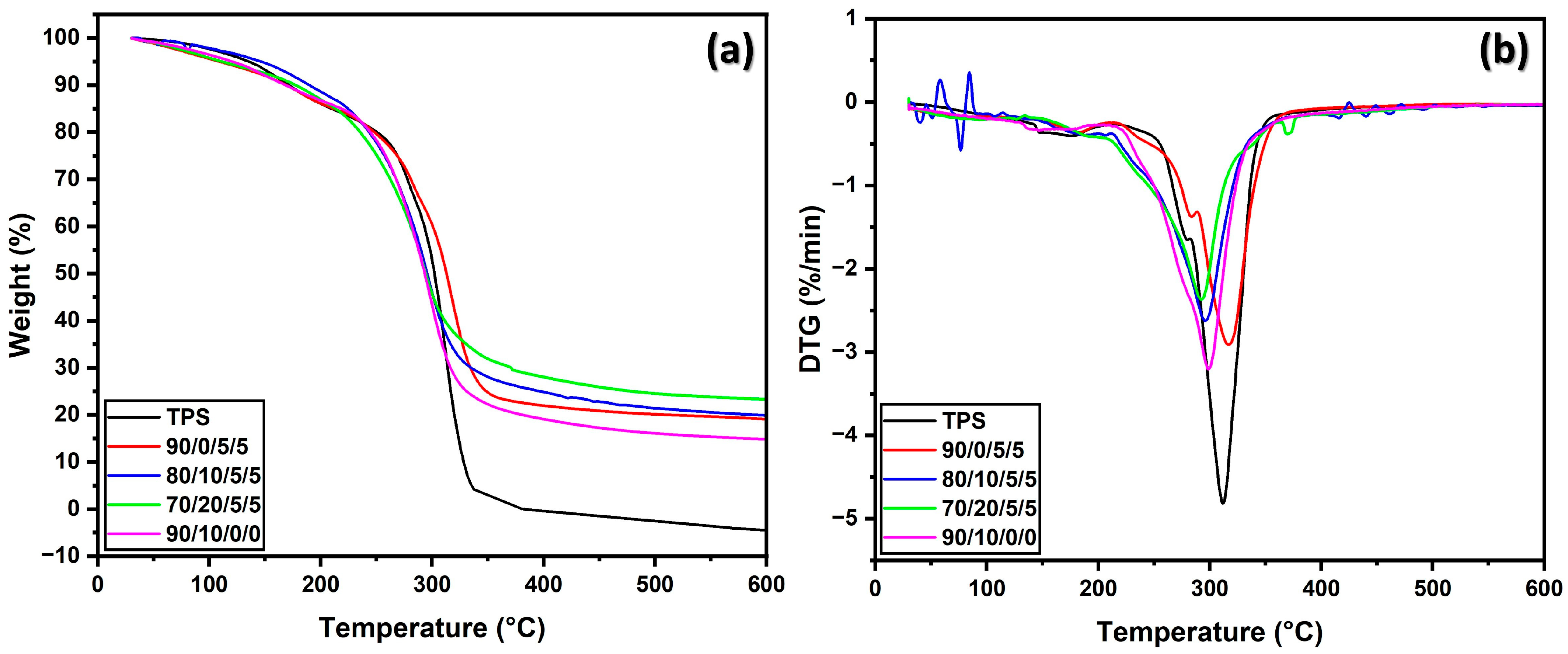
3.5. Thermal Analysis
3.6. Statistical Analysis
3.7. Material Selection for Sustainable Applications
4. Conclusions
Author Contributions
Funding
Institutional Review Board Statement
Informed Consent Statement
Data Availability Statement
Acknowledgments
Conflicts of Interest
Abbreviations
| TPS | Thermoplastic starch |
| CH | Coffee Husks |
| LOI | Lost on Ignition |
| PF | Potassium Feldspar |
| BB | Bahia Beige |
| MPa | Megapascal |
| XRF | X-Ray Fluorescence |
| FTIR | Fourier Transform Infrared Spectroscopy |
| ATR | Attenuated Total Reflectance |
| SEM | Scanning Electron Microscopy |
| TGA | Thermogravimetric Analysis |
| DTG | Derivative Thermogravimetry |
References
- Arruda, T.R.; Machado, G.D.O.; Marques, C.S.; Souza, A.L.D.; Pelissari, F.M.; Oliveira, T.V.D.; Silva, R.R.A. An Overview of Starch-Based Materials for Sustainable Food Packaging: Recent Advances, Limitations, and Perspectives. Macromol 2025, 5, 19. [Google Scholar] [CrossRef]
- Bangar, S.P.; Whiteside, W.S.; Ashogbon, A.O.; Kumar, M. Recent advances in thermoplastic starches for food packaging: A review. Food Packag. Shelf Life 2021, 30, 100743. [Google Scholar] [CrossRef]
- Hafila, K.Z.; Jumaidin, R.; Ilyas, R.A.; Selamat, M.Z.; Yusof, F.A.M. Effect of palm wax on the mechanical, thermal, and moisture absorption properties of thermoplastic cassava starch composites. Int. J. Biol. Macromol. 2022, 194, 851–860. [Google Scholar] [CrossRef]
- Nazrin, A.; Ilyas, R.A.; Rajeshkumar, L.; Hazrati, K.Z.; Jamal, T.; Mahardika, M.; Aisyah, H.A.; Atiqah, A.; Radzi, A.M. Lignocellulosic fiber-reinforced starch thermoplastic composites for food packaging application: A review of properties and food packaging abetted with safety aspects. Food Packag. Shelf Life 2025, 47, 101431. [Google Scholar] [CrossRef]
- Schutz, G.F.; Gonçalves, S.A.; Alves, R.M.V.; Vieira, R.P. A review of starch-based biocomposites reinforced with plant fibers. Int. J. Biol. Macromol. 2024, 261, 129916. [Google Scholar] [CrossRef] [PubMed]
- Shah, D.U. Developing plant fibre composites for structural applications by optimising composite parameters: A critical review. J. Mater. Sci. 2013, 48, 6083–6107. [Google Scholar] [CrossRef]
- Hasan, K.M.F.; Horváth, P.G.; Bak, M.; Alpár, T. A state-of-the-art review on coir fiber-reinforced biocomposites. RSC Adv. 2021, 11, 10548–10571. [Google Scholar] [CrossRef] [PubMed]
- Collazo-Bigliardi, S.; Ortega-Toro, R.; Chiralt, A. Reinforcement of thermoplastic starch films with cellulose fibres obtained from rice and coffee husks. J. Renew. Mater. 2018, 6, 599–610. [Google Scholar] [CrossRef]
- Collazo-Bigliardi, S.; Ortega-Toro, R.; Chiralt, A. Improving properties of thermoplastic starch films by incorporating active extracts and cellulose fibres isolated from rice or coffee husk. Food Packag. Shelf Life 2019, 22, 100383. [Google Scholar] [CrossRef]
- Kumar, R.; Lakhani, R.; Tomar, P. A simple novel mix design method and properties assessment of foamed concretes with limestone slurry waste. J. Clean. Prod. 2018, 171, 1650–1663. [Google Scholar] [CrossRef]
- Barros, M.M.; de Oliveira, M.F.L.; da Conceição Ribeiro, R.C.; Bastos, D.C.; de Oliveira, M.G. Ecological bricks from dimension stone waste and polyester resin. Constr. Build. Mater. 2020, 232, 117252. [Google Scholar] [CrossRef]
- Chagas, G.N.; Barros, M.M.; Leão, A.G.; Tapanes, N.L.C.O.; Ribeiro, R.C.C.; Bastos, D.C. A hybrid green composite for automotive industry. Polímeros 2022, 32, e2022017. [Google Scholar] [CrossRef]
- Silva, R.G.; Barboza, L.S.; Silveira, P.H.P.M.; Conceição, M.N.; Ribeiro, R.C.C.; Bastos, D.C. Biodegradable hybrid PLA composites incorporating coffee husks and mineral fillers. Polímeros 2024, 34, e20240031. [Google Scholar] [CrossRef]
- ASTM D638-14; Standard Test Method for Tensile Properties of Plastics. ASTM International: West Conshohocken, PA, USA, 2022.
- ASTM D256-10R18; Standard Test Methods for Determining the Izod Pendulum Impact Resistance of Plastics. ASTM International: West Conshohocken, PA, USA, 2023.
- Cornell, J.A. Experiments with Mixtures: Designs, Models, and the Analysis of Mixture Data, 3rd ed.; Wiley: Hoboken, NJ, USA, 2011; ISBN 978-1-118-15049-8. [Google Scholar]
- Acchar, W.; Dultra, E.J.V.; Segadães, A.M. Untreated coffee husk ashes used as flux in ceramic tiles. Appl. Clay Sci. 2013, 75, 141–147. [Google Scholar] [CrossRef]
- Saikia, B.J.; Parthasarathy, G.; Sarmah, N.C. Fourier transform infrared spectroscopic estimation of crystallinity in SiO2-based rocks. Bull. Mater. Sci. 2008, 31, 775–779. [Google Scholar] [CrossRef]
- Manju, P.; Krishnan, P.S.G.; Nayak, S.K. Effect of morphology and hydroxyl groups of different nanoparticles on the properties of PLA bionanocomposites. Mater. Today Proc. 2021, 41, 1169–1174. [Google Scholar] [CrossRef]
- Khan, A.; Patidar, R.; Pappu, A. Marble waste characterization and reinforcement in low density polyethylene composites via injection moulding: Towards improved mechanical strength and thermal conductivity. Constr. Build. Mater. 2021, 269, 121229. [Google Scholar] [CrossRef]
- Wang, N.; Fu, Y.; Lim, L. Feasibility study on chemometric discrimination of roasted Arabica coffees by solvent extraction and Fourier transform infrared spectroscopy. J. Agric. Food Chem. 2011, 59, 3220–3226. [Google Scholar] [CrossRef]
- Wang, N.; Lim, L.-T. Fourier transform infrared and physicochemical analyses of roasted Coffee. J. Agric. Food Chem. 2012, 60, 5446–5453. [Google Scholar] [CrossRef]
- Cangussu, L.B.; Melo, J.C.; Franca, A.S.; Oliveira, L.S. Chemical Characterization of Coffee Husks, a By-Product of Coffea arabica Production. Foods 2021, 10, 3125. [Google Scholar] [CrossRef]
- Reis, N.; Franca, A.S.; Oliveira, L.S. Performance of diffuse reflectance infrared Fourier transform spectroscopy and chemometrics for detection of multiple adulterants in roasted and ground coffee. LWT 2013, 53, 395–401. [Google Scholar] [CrossRef]
- Craig, A.P.; Botelho, B.G.; Oliveira, L.S.; Franca, A.S. Mid infrared spectroscopy and chemometrics as tools for the classification of roasted coffees by cup quality. Food Chem. 2018, 245, 1052–1061. [Google Scholar] [CrossRef]
- B-Rodríguez, Y.; Collazos-Escobar, G.A.; G-Guzmán, N. ATR-FTIR for characterizing anddifferentiating dried and ground coffee cherry pulp of diferente varieties (Coffea arabica L.). Eng. Agríc. 2021, 41, 70–77. [Google Scholar] [CrossRef]
- Silva, L.F.; Silveira, P.H.P.M.; Rodrigues, A.C.B.; Monteiro, S.N.; Santos, S.F.; Morais, J.P.S.; Bastos, D.C. Cotton incorporated poly(lactic acid)/thermoplastic starch-based composites used as flexible packaging for short life products. Mater. Res. 2024, 27, e20230366. [Google Scholar] [CrossRef]
- Dufresne, A. Nanocellulose: From Nature to High Performance Tailored Materials; De Gruyter: Berlin, Germany, 2012. [Google Scholar] [CrossRef]
- Reiniati, I.; Hrymak, A.N.; Margaritis, A. Recent developments in the production and applications of bacterial cellulose fibers and nanocrystals. Crit. Rev. Biotechnol. 2017, 37, 510–524. [Google Scholar] [CrossRef] [PubMed]
- Campano, C.; Miranda, R.; Merayo, N.; Negro, C.; Blanco, A. Direct production of cellulose nanocrystals from old newspapers and recycled newsprint. Carbohydr. Polym. 2017, 173, 489–496. [Google Scholar] [CrossRef] [PubMed]
- Paiva, L.B.; Morales, A.R.; Guimarães, T.R. Mechanical properties of polypropylene and organophilic montmorillonite nanocomposites. Polímeros 2006, 16, 136–140. [Google Scholar] [CrossRef]
- Shi, S.C.; Zeng, X.X. Effect of the strengthening mechanism of SiO2 reinforced poly(methyl methacrylate) on ductility performance. J. Polym. Res. 2022, 29, 408. [Google Scholar] [CrossRef]
- Liu, X.; Yu, L.; Liu, H.; Chen, L.; Li, L. Thermal decomposition of corn starch with different amylose/amylopectin ratios in open and sealed systems. Cereal Chem. 2009, 86, 383–385. [Google Scholar] [CrossRef]
- Shen, J.; Wang, L.; Men, Y.; Wu, Y.; Peng, Q.; Wang, X.; Yang, R.; Mahmood, K.; Liu, Z. Effect of water and methanol on the dissolution and gelatinization of corn starch in [MMIM][(MeO)HPO2]. RSC Adv. 2015, 5, 60330–60338. [Google Scholar] [CrossRef]
- Ashby, M. The CES EduPack Database of Natural and Man-Made Materials (MFA, 20 December 2007); Cambridge University and Granta Design: Cambridge, UK, 2008. [Google Scholar]
- Karnwal, A.; Rauf, A.; Jassim, A.Y.; Selvaraj, M.; Al-Tawaha, A.R.M.S.; Kashyap, P.; Kumar, D.; Malik, T. Advanced starch-based films for food packaging: Innovations in sustainability and functional properties. Food Chem. X 2025, 29, 102662. [Google Scholar] [CrossRef]
- Dada, O.I.; Liyanage, T.U.H.; Chi, T.; Yu, L.; DeVetter, L.W.; Chen, S. Towards sustainable agroecosystems: A life cycle assessment review of soil-biodegradable and traditional plastic mulch films. Environ. Sci. Ecotechnol. 2025, 24, 100541. [Google Scholar] [CrossRef]
- Siddiqui, S.A.; Yang, X.; Deshmukh, R.K.; Gaikwad, K.K.; Bahmid, N.A.; Castro-Muñoz, R. Recent advances in reinforced bioplastics for food packaging—A critical review. Int. J. Biol. Macromol. 2024, 263, 130399. [Google Scholar] [CrossRef]
- Jahangiri, F.; Mohanty, A.K.; Misra, M. Sustainable biodegradable coatings for food packaging: Challenges and opportunities. Green Chem. 2024, 26, 4934–4974. [Google Scholar] [CrossRef]
- Jozinović, A.; Kovač, M.; Ocelić Bulatović, V.; Kučić Grgić, D.; Miloloža, M.; Šubarić, D.; Ačkar, Đ. Biopolymeric Blends of Thermoplastic Starch and Polylactide as Sustainable Packaging Materials. Polymers 2024, 16, 1268. [Google Scholar] [CrossRef]











| Sample (TPS/CH/PF/BB) | TPS (%m/m) | Coffee Husks (% m/m) | Potassium Feldspar (PF) (% m/m) | Bahia Beige (BB) (% m/m) |
|---|---|---|---|---|
| TPS (control) | 100 | - | - | - |
| 90/10/0/0 | 90 | 10 | - | - |
| 90/0/5/5 | 90 | 0 | 5 | 5 |
| 80/10/5/5 | 80 | 10 | 5 | 5 |
| 70/20/5/5 | 70 | 20 | 5 | 5 |
| Mixtures * | TPS (% m/m) | CH (% m/m) | PF+BB (% m/m) |
|---|---|---|---|
| 1 | 100 | 0 | 0 |
| 2 | 90 | 10 | 0 |
| 3 | 90 | 0 | 10 |
| 4 | 80 | 10 | 10 |
| 5 | 70 | 20 | 10 |
| Formulation Groups | Tensile Strength (MPa) | Strain at Break (%) | Elastic Modulus (MPa) | Impact Resistance (KJ/m2) |
|---|---|---|---|---|
| TPS | 1.389 ± 0.066 | 9.818 ± 2.767 | 27.95 ± 5.93 | 13.612 ± 2.269 |
| 90/10/0/0 | 1.296 ± 0.065 | 6.361 ± 0.568 | 40.59 ± 0.74 | 20.827 ± 7.045 |
| 90/0/5/5 | 1.375 ± 0.559 | 9.238 ± 2.490 | 31.27 ± 3.73 | 15.397 ± 3.256 |
| 80/10/5/5 | 1.428 ± 0.218 | 6.737 ± 0.312 | 45.39 ± 5.56 | 16.170 ± 3.215 |
| 70/20/5/5 | 2.007 ± 0.148 | 7.462 ± 0.803 | 70.24 ± 5.70 | 14.170 ± 4.315 |
| Sample | Tonset (°C) | Tmax (°C) | Tendset (°C) | Residue (%) |
|---|---|---|---|---|
| TPS | 263.25 | 312.24 | 334.37 | 0 |
| 90/0/5/5 | 261.83 | 317.02 | 347.12 | 19.08 |
| 80/10/5/5 | 236.45 | 296.12 | 338.14 | 19.88 |
| 70/20/5/5 | 233.07 | 292.35 | 341.66 | 23.30 |
| 90/10/0/0 | 238.17 | 298.60 | 343.01 | 14.75 |
| Response | Scheffé Models | R2 | R2adjust |
|---|---|---|---|
| Impact Izod | II (kJ/m2) = 0.157 × TPS + 0.087 × CH + 0.273 × (FP+BB) | 94.23% | 87.67% |
| Elastic Modulus | EM (MPa) = 0.252 × TPS + 0.796 × CH + 0.421 × (FP+BB) | 89.37% | 88.41% |
| Tensile Strength | TS (MPa) = 0.012 × TPS + 0.036 × CH + 0.027 × (FP+BB) | 93.66% | 88.54% |
Disclaimer/Publisher’s Note: The statements, opinions and data contained in all publications are solely those of the individual author(s) and contributor(s) and not of MDPI and/or the editor(s). MDPI and/or the editor(s) disclaim responsibility for any injury to people or property resulting from any ideas, methods, instructions or products referred to in the content. |
© 2025 by the authors. Licensee MDPI, Basel, Switzerland. This article is an open access article distributed under the terms and conditions of the Creative Commons Attribution (CC BY) license (https://creativecommons.org/licenses/by/4.0/).
Share and Cite
Barboza, L.S.; de Moraes Paes, P.A.; Alves, M.E.A.; da Conceição, M.d.N.; de Sena, N.C.M.; da Silveira, P.H.P.M.; Ribeiro, R.C.d.C.; Om Tapanes, N.d.l.C.; Bastos, D.C. Sustainable Thermoplastic Starch Biocomposites from Coffee Husk and Mineral Residues: Waste Upcycling and Mechanical Performance. Sustainability 2025, 17, 9248. https://doi.org/10.3390/su17209248
Barboza LS, de Moraes Paes PA, Alves MEA, da Conceição MdN, de Sena NCM, da Silveira PHPM, Ribeiro RCdC, Om Tapanes NdlC, Bastos DC. Sustainable Thermoplastic Starch Biocomposites from Coffee Husk and Mineral Residues: Waste Upcycling and Mechanical Performance. Sustainability. 2025; 17(20):9248. https://doi.org/10.3390/su17209248
Chicago/Turabian StyleBarboza, Laysa Silva, Pedro Afonso de Moraes Paes, Maria Eduarda Alexandrino Alves, Marceli do Nascimento da Conceição, Nancy Camilly Marques de Sena, Pedro Henrique Poubel Mendonça da Silveira, Roberto Carlos da Conceição Ribeiro, Neyda de la Caridad Om Tapanes, and Daniele Cruz Bastos. 2025. "Sustainable Thermoplastic Starch Biocomposites from Coffee Husk and Mineral Residues: Waste Upcycling and Mechanical Performance" Sustainability 17, no. 20: 9248. https://doi.org/10.3390/su17209248
APA StyleBarboza, L. S., de Moraes Paes, P. A., Alves, M. E. A., da Conceição, M. d. N., de Sena, N. C. M., da Silveira, P. H. P. M., Ribeiro, R. C. d. C., Om Tapanes, N. d. l. C., & Bastos, D. C. (2025). Sustainable Thermoplastic Starch Biocomposites from Coffee Husk and Mineral Residues: Waste Upcycling and Mechanical Performance. Sustainability, 17(20), 9248. https://doi.org/10.3390/su17209248

