Next Article in Journal
Europe 2020 Strategy and 20/20/20 Targets: An Ex Post Assessment Across EU Member States
Next Article in Special Issue
Evaluation, Coordination Relationship, and Obstacle Factor Analysis of Integrated Urban–Rural Development in Counties of Wuling Mountain Area
Previous Article in Journal
The Manufacturers’ Adoption of Green Manufacturing Under the Government’s Green Subsidy
Previous Article in Special Issue
The Role of Territorial Cohesion and Administrative Organization in Regional Sustainability: The Case of Romania
 
 
Font Type:
Arial Georgia Verdana
Font Size:
Aa Aa Aa
Line Spacing:
Column Width:
Background:
Article

The Dilemma of the Sustainable Development of Agricultural Product Brands and the Construction of Trust: An Empirical Study Based on Consumer Psychological Mechanisms

1
Department of Global Convergence, Kangwon National University, Chuncheon-si 24341, Republic of Korea
2
Department of Design and Art, Jiangxi University of Finance and Economics, Nanchang 330013, China
*
Authors to whom correspondence should be addressed.
These authors contributed equally to this work.
Sustainability 2025, 17(20), 9029; https://doi.org/10.3390/su17209029
Submission received: 20 September 2025 / Revised: 8 October 2025 / Accepted: 9 October 2025 / Published: 12 October 2025

Abstract

In the context of China’s increasingly competitive agricultural product branding, authenticity has become a pivotal mechanism for shaping consumer trust and willingness to pay. This study takes Perceived Brand Authenticity (PBA) as its focal construct and builds a chained mediation framework incorporating experiential quality (EQ) and consumer trust. Employing a dual-evidence strategy that combines structural discovery and causal validation, the study integrates Jaccard similarity clustering and PLS-SEM to examine both behavioral patterns and psychological mechanisms. Drawing on 636 valid survey responses from across China, the results reveal clear segmentation in channel choice, certification concern, and premium acceptance by gender, age, income, and education. Younger and highly educated consumers rely more on e-commerce and digital traceability, while middle-aged, older, and higher-income groups emphasize geographical indications and organic certification. The empirical analysis confirms that PBA has a significant positive effect on EQ and consumer trust, and that the chained mediation pathway “PBA → EQ → Trust → Purchase Intention” robustly captures the transmission mechanism of authenticity. The findings demonstrate that verifiable and consistent authenticity signals not only shape cross-group consumption structures but also strengthen trust and repurchase intentions through enhanced experiential quality. The core contribution of this study lies in advancing an evidence-based framework for sustainable agricultural branding. Theoretically, it reconceptualizes authenticity as a measurable governance mechanism rather than a rhetorical construct. Methodologically, it introduces a dual-evidence approach integrating Jaccard clustering and PLS-SEM to bridge structural and causal analyses. Practically, it proposes two governance tools—“evidence density” and “experiential variance”—which translate authenticity into actionable levers for precision marketing, trust management, and policy regulation. Together, these insights offer a replicable model for authenticity governance and consumer trust building in sustainable agri-food systems.

1. Introduction

In China’s agricultural market, brand development has undergone cyclical phases of “sloganization—over-marketing—trust erosion [1].” Although policies have consistently promoted agricultural branding, and academic research has confirmed the positive correlation between branding, price premiums, and farmers’ income, many “internet-famous landmarks” have experienced rapid decline. The root cause lies in insufficient supply capacity and experiential gaps, which ultimately erode consumer trust. Accordingly, brands should be understood not merely as marketing tools but as governance mechanisms grounded in information credibility and experiential consistency.
At the institutional level, geographical indications (GI) and traceability systems provide the structural foundation for brand authenticity. As of July 2025, China has recognized 2861 GI products, with more than 9700 included under trademark protection, reflecting the rapid growth of public brand assets [2], as shown in Appendix A, Figure A1. However, implementation discrepancies and “last-mile” gaps continue to cause consumers to question the reliability of traceability systems [3]. Recent studies highlight that digital traceability and blockchain technologies can enhance transparency and reduce information asymmetry in agri-food supply chains, yet challenges of adoption and consumer interpretation remain [4,5].
On the demand side, the popularization of short videos and livestream e-commerce has reshaped consumer behavior. By the end of 2023, the number of livestream users in China had reached 816 million, accounting for over 70% of internet users. While such “short-chain + strong-visual” models improve communication efficiency, they also intensify information asymmetry and experiential mismatches. Recent research on livestreaming commerce suggests that authenticity cues and interactive communication significantly influence consumer trust and conversion behavior [6]. Similarly, studies on digital transparency in agricultural e-commerce show that verifiable traceability and information disclosure can strengthen trust and perceived value [7]. In response to these challenges, regulatory authorities issued the Draft Regulations on Livestream E-Commerce Supervision in 2025, marking a shift in governance priorities from “development-oriented” to “precision governance.”
In high-noise markets, label-driven naming may stimulate short-term sales but often results in inconsistent experiences and negative spillovers, which can escalate into skepticism toward the origin as a whole [8,9,10]. Interviews with enterprises and industry experts consistently highlight that while “first-purchase conversion rates are high, repurchase rates are declining,” indicating a structural issue—experiential quality serves as the key mediator linking authenticity and trust. Consumer trust ultimately depends on whether the product’s origin is verifiable, the process is transparent, and the cultural narrative resonates with consumers’ values. Recent works on digital authenticity and influencer marketing further confirm that perceived transparency and credibility are critical psychological mechanisms shaping trust in digital environments [11,12].
Despite the growing body of research on agricultural branding, several gaps remain. First, most prior studies emphasize institutional or technological mechanisms of authenticity—such as geographical indications, certification systems, or blockchain-enabled traceability—while paying far less attention to the psychological mechanisms through which consumers perceive authenticity and transform it into trust and purchase intention. Second, existing studies are predominantly based on Western contexts, leaving limited empirical evidence on how these mechanisms operate in China, where livestreaming e-commerce and digital consumption dominate. Third, methodological approaches often rely on single-path SEM or regression analyses, overlooking the potential of combining structural discovery with causal validation to capture heterogeneity in consumer behavior.
To bridge these gaps, this study constructs a psychological mechanism framework centered on Perceived Brand Authenticity (PBA) [13,14,15,16], modeled as a second-order latent construct composed of origin cognition, cultural identification, and brand transparency. Experiential quality (EQ) is similarly conceptualized as a second-order construct encompassing brand, service, and post-purchase experience, working jointly with trust to influence purchase intention [17]. Within this framework, authenticity functions as the upstream variable driving experience and trust: when evidential signals are consistent, cultural identification is reinforced, and transparent disclosure is achieved, consumers are more likely to form stable trust and repurchase intentions; conversely, inconsistent or unverifiable signals can trigger distrust and negative spillovers.
Based on this framework, the present study adopts a dual-evidence strategy integrating Jaccard similarity clustering and PLS-SEM to connect structural discovery and causal validation [18]. This approach allows both macro-level pattern recognition and micro-level mechanism testing within the same empirical design. The study further introduces two novel governance tools—“evidence density” and “experiential variance”—to operationalize brand authenticity governance. “Evidence density” captures the concentration and consistency of authenticity signals (e.g., certification, origin disclosure, traceability), while “experiential variance” reflects the degree of stability in consumer experience across multiple touchpoints (brand, service, post-purchase). Together, they form the empirical basis for precision governance in agricultural branding.
Accordingly, this paper addresses three key research questions:
  • RQ1: How do consumers form perceived brand authenticity through origin cognition, cultural identification, and transparent traceability cues?
  • RQ2: How does perceived brand authenticity influence purchase intention through experiential quality and consumer trust?
  • RQ3: Do these paths vary across different consumer groups and contexts?
The contributions of this study are threefold:
(1)
Theoretical contribution: It reconceptualizes authenticity as a second-order, evidence-based construct, revealing the governance logic of the “authenticity–experience–trust” mechanism and offering a testable psychological pathway for sustainable brand trust formation.
(2)
Methodological contribution: It employs a dual-evidence approach that combines Jaccard similarity clustering and PLS-SEM, bridging structural pattern discovery and causal mechanism validation.
(3)
Practical contribution: It introduces two actionable governance tools—evidence density and experiential variance—that translate authenticity into measurable and implementable mechanisms for precision marketing, digital traceability, and sustainable brand governance under the frameworks of SDG 12 (Responsible Consumption) and SDG 8 (Decent Work and Economic Growth).

2. Theoretical Basis and Research Hypothesis

2.1. The Evolution and Reconstruction of Brand Cognitive Authenticity

From “historical authenticity” to the shift toward “perception–relation–evidence.” Early studies conceptualized authenticity as the continuity of brands with history, tradition, or core values [19], emphasizing supply-side consistency and the preservation of identity. With the advancement of measurement frameworks, the literature gradually moved toward a consumer-centered perspective, defining authenticity as a perceptual construct that depends on whether a brand remains true to itself, maintains narrative–behavioral coherence, and provides verifiable evidence of its claims [20,21,22].
In the domain of agricultural and food products—where most quality characteristics are credence attributes that consumers cannot directly verify—origin cues, certifications, and traceability systems become crucial for constructing credible signals that mitigate uncertainty and opportunism [23,24]. Recent developments in digital traceability and blockchain technology have accelerated this transition from symbolic to evidence-based authenticity. Blockchain-based agri-food systems provide immutable, transparent records that enhance traceability reliability and consumer confidence [25,26,27]. Moreover, empirical studies integrating technology acceptance and trust frameworks demonstrate that consumer adoption of blockchain-enabled traceability depends on perceived usefulness, reliability, and trust in digital information sources [28].
For regional foods, geographical indications (GI) serve as both institutional safeguards against misleading claims and instruments that convert “territorial embeddedness” into public brand assets. Research consistently shows that regulated GI use enhances trust, willingness to pay, and welfare outcomes [29]. Consumers exhibit psychological proximity effects toward “hometown GIs,” which strengthen cultural identity and purchase inclination [30]. Meta-analyses and systematic reviews confirm that GIs are strongly associated with perceptions of quality, authenticity, and cultural meaning, significantly improving purchase intention [31,32].
Research on food trust underscores that transparency and traceability remain central pathways for building consumer confidence. Transparency involves not only information disclosure but also clarity, consistency, and verifiability [33]. Empirical evidence indicates that consumers are willing to pay a premium for traceable products and that transparent supply chains have significant positive effects on trust and purchase intention [34,35,36]. In recent years, this relationship has been further contextualized within digital marketplaces. Studies show that livestream e-commerce and platform interactivity significantly shape consumer trust by enabling real-time evidence verification and authentic engagement [37,38]. Similarly, digital authenticity—defined as perceived transparency and credibility in online interactions—has emerged as a key driver of trust formation in virtual brand ecosystems [11,39].
Synthesizing the above research, the authenticity of agricultural brands enters the consumer’s perceptual system through three primary channels: Perceived Origin Cognition (POC): Geographical indications and origin labels evoke a sense of “place–product–people” unity, reducing uncertainty and reinforcing typicality. Cultural Identification (CI): When regional culture resonates with consumer identity, perceived authenticity and willingness to pay are enhanced. Brand Transparency/Traceability (BT): Consistent and verifiable disclosure of production origins and processes strengthens trust and mitigates experiential gaps [40,41].
These three dimensions jointly constitute Brand Perception Authenticity (BPA), whose impact can be amplified or weakened across the experience chain—from brand encounter to service interaction and post-purchase evaluation—ultimately influencing consumer trust and purchase or repurchase intention. Empirical findings further show that regional branding significantly enhances purchase intention and consumer loyalty, confirming that brand-level trust functions as the key mediator linking authenticity and behavioral outcomes [42,43]. Beyond individual products, institutional accountability and platform-level governance mechanisms also play essential roles in sustaining long-term consumer trust.
Building on these insights, this study conceptualizes BPA as a second-order reflective construct comprising POC, CI, and BT. As an upstream governance mechanism, Perceived Brand Authenticity (PBA) influences trust and purchase intention through Experiential Quality (EQ). In increasingly digitalized, high-noise, and visually saturated markets, authenticity must be maintained through the triadic integration of institutionalized signals (GIs and certification enforcement), evidence-based disclosures (digital traceability and transparency), and cultural embeddedness, thereby avoiding the “display–experience gap” that leads to trust dilution and brand erosion.

2.2. The Evolution of Experience Quality in the Context of Digitalization and Fast Consumption

Early conceptualizations of experience quality were rooted in service quality frameworks such as SERVQUAL, emphasizing reliability, responsiveness, and assurance at specific service encounters [44]. As digital commerce developed, the notion of experience quality expanded from a single-point evaluation to a multi-stage, cross-channel process encompassing cognitive, affective, and behavioral responses throughout the entire customer journey [45,46]. This paradigm shift highlights that consumer experience is not confined to transactional contact but unfolds dynamically across pre-purchase, purchase, and post-purchase stages, shaping perceptions of authenticity and trust over time.
In the digital era, experience quality has evolved from functional reliability to algorithmic orchestration. Artificial intelligence (AI), recommender systems, and data-driven personalization now mediate how consumers form expectations and emotional anticipation before any direct brand contact. Studies show that AI-enabled personalization and algorithmic curation enhance relevance and satisfaction, yet also raise expectations for transparency and fairness [47,48]. Short video platforms and livestream commerce further extend experiential processes into immersive, pre-contact environments, where narrative framing and emotional storytelling cultivate pre-experiential trust [49].
Accordingly, this study conceptualizes Experiential Quality (EQ) as a second-order construct comprising three interrelated dimensions: Brand Experience (BE): sensory, emotional, and cognitive reactions to brand stimuli [50]; Service Experience (SE): perceived reliability and responsiveness of service delivery, logistics, and payment systems; Post-Purchase Experience (PP): evaluations of product integrity, after-sales service, and feedback diffusion [51,52]. This structure aligns with the customer journey perspective, recognizing that experience quality is accumulated and reinforced through successive touchpoints rather than isolated moments.
Recent research emphasizes that experience quality is increasingly co-created within platform ecosystems, where consumers participate in shaping meaning and value. Studies on digital co-creation demonstrate that interactive authenticity and consumer participation enhance perceived experience quality and trust [53,54]. In livestream-driven agricultural commerce, narrative immersion and interaction design also play crucial roles in fostering emotional continuity and cognitive absorption [55]. Algorithmic storytelling and content personalization thus transform experience quality into a jointly produced outcome between brands, platforms, and users.
Within agricultural e-commerce contexts, procedural transparency and technological reliability are now integral to service experience. Evidence indicates that platform justice and data accountability significantly influence perceived fairness and service trust [56]. Meanwhile, AI-enabled logistics and blockchain-based verification systems enhance consumers’ confidence in fulfillment accuracy and timeliness, establishing the foundation for trust transfer across stages of the purchasing cycle [57].
The post-purchase stage has become a vital arena for trust reinforcement and reputation signaling. Reviews, ratings, and user-generated videos constitute public evidence of experiential outcomes. Research suggests that the emotional tone and diagnostic clarity of these feedback signals are crucial in shaping subsequent purchase intentions [58]. Positive post-purchase evaluations transform individual satisfaction into collective trust assets, while discrepancies between promotional narratives and actual performance generate trust backlashes.
Hence, EQ functions as the transformative mechanism linking perceived authenticity (PBA) to consumer trust. Its strength lies in the consistency of evidence—the degree to which brand promises (BE), service performance (SE), and consumer verification (PP) remain coherent and verifiable. In fast and visually saturated digital markets, only when these stages align can authenticity be internalized as experienced truth. Conversely, any rupture between displayed and delivered authenticity triggers an “expectation–gap–erosion” cycle, weakening both trust and long-term brand relationships [59,60].

2.3. Consumer Trust: The Cognitive Anchor of Brand Relationship Structure

In relationship marketing, commitment–trust theory positions trust, together with relational commitment, as the cornerstone sustaining relational stability [61]. At the brand level, trust is defined as “the subjective expectation of a brand’s reliability and integrity,” which enhances attitudes, loyalty, and market performance [62]. Within this study’s framework, trust acts as the cognitive anchor linking perceived brand authenticity (PBA) and experiential quality (EQ) to purchase and repurchase intentions (PI).
Consequently, trust in digital agricultural branding can be defined as the context-dependent willingness to assume relational risk under uncertainty. Its mediating role in the pathway “BPA → EQ → Trust → PI” ensures that only when authenticity cues are verifiable and experiences consistent can trust effectively translate into purchase and repurchase intentions. In volatile livestream markets, this cognitive anchor is crucial: once transparency weakens or fairness perceptions falter, trust spillover rapidly transforms localized dissatisfaction into broader skepticism toward both brand and origin, exposing the fragile equilibrium of digital consumer trust. See Figure 1 for details.

2.4. Research Hypothesis

Based on the research framework and given the interconnected and progressive relationships between perceived brand authenticity (PBA), experiential quality (EQ), consumer trust (CT), and purchase intention (PI), this article adopts a step-by-step approach. Ten research hypotheses (H1–H10) are proposed, allowing for a more transparent and rigorous examination of each link in the chain mediation mechanism.
In consumer journeys dominated by social media and e-commerce, consumers form an “expected experience framework” before engaging with a brand. When a brand is perceived as being true to its origin and culture and its information is consistent and verifiable, this framework is more likely to translate into positive experience evaluations (across multiple touchpoints such as brand, service, and fulfillment) [63]. Numerous studies have found that perceived brand authenticity (PBA) is not only a symbolic narrative but also enhances the quality of experience in interactions and services through consistency and credibility cues (e.g., reliable delivery and visible and verifiable traceability information) [64,65]. This effect is particularly significant in categories with prominent “credit attributes” such as agricultural products/food: consumers rely more on three types of cues: origin, transparency, and culture to reduce uncertainty, thereby giving higher tolerance and correcting expectations for subsequent experiences [66]. Authenticity perception, as a “cognitive anchor,” can significantly enhance brand trust (subjective expectations of reliability and integrity), and thus promote relationship quality, willingness to pay, and willingness to recommend. In the credit attribute scenario of food/agricultural products, consumers’ trust in certification, traceability, and origin is particularly critical, and authenticity cues make “trust at first contact” possible [67]. Based on these insights, the following hypotheses are proposed:
H1. 
Brand perceived authenticity has a significant positive impact on experience quality.
H2. 
Brand perceived authenticity has a significant positive impact on consumer trust.
Customer journey literature suggests that the consistency and continuity of experience across multiple touchpoints determines whether trust is precipitated into a stable relationship [58,67]. In a Chinese sample, the reliability of service experience (SE) in areas such as logistics and after-sales service significantly increases satisfaction and re-use intention, thereby reducing uncertainty and translating into trust in the brand and platform [68]. Furthermore, positive experiences significantly boost purchase/repurchase intention in the food and fresh produce context (this effect is also amplified by word-of-mouth communication) [51]. Based on these insights, the following hypotheses are proposed:
H3. 
Experience quality has a significant positive impact on consumer trust.
H4. 
Experience quality has a significant positive impact on purchase intention.
Research on relationship marketing and green/organic food generally demonstrates that trust is a critical threshold connecting perception and behavior, and is particularly crucial in situations of high uncertainty and price premiums [23]. In the context of social e-commerce/livestreaming of agricultural products, trust plays a significant mediating role in the path from livestream quality/social presence to purchase intention, further highlighting its power to transform behavior [69]. Based on these insights, the following hypothesis is proposed:
H5. 
Consumer trust has a significant positive impact on purchase intention.
Authenticity enhances consumers’ sense of “situational credibility” during brand interactions and improves overall experience quality, particularly through positive feedback in service and interaction stages [70]. Tangnatthanakrit (2019), in a study of the Thai organic food market, further found that brand authenticity helps consumers attain psychological safety and strengthens trust, suggesting that authenticity has a leading effect on experience quality, while experience quality in turn serves as the critical channel for trust formation [71]. Consumer trust often depends on “perceived consistency” and the “accumulation of positive experiences,” with authenticity being the necessary precondition for this process [72]. Thus, authenticity improves sensory, interactive, and service experiences, ultimately forming a chain mechanism that drives trust.
Authenticity also reinforces consumers’ perceptions of the brand’s “genuine commitment” and “absence of fraudulent intent,” making trust a cognitive prerequisite for purchase [73]. Li et al. (2019) further found that in dynamic environments, trust grounded in authenticity significantly increases repurchase and recommendation intentions [74]. In digital agricultural e-commerce, authenticity cues such as origin disclosure, traceability, and third-party endorsements serve as key inputs for building trust and directly influence purchase decisions [75]. Loebnitz & Grunert (2022) confirmed that brand authenticity drives purchase intention through trust [70], while Calvo Porral & Levy-Mangin (2016) found that trust is a stable mediator between brand loyalty and purchase behavior [76]. Taken together, these findings suggest that authenticity does not directly drive purchase, but rather operates through the chained mechanism of “experience perception → trust construction,” enabling the migration from cognition to attitude and ultimately to behavior. This logic is particularly applicable in high-uncertainty contexts such as e-commerce platforms, where it represents a critical pathway for cultivating consumer loyalty and purchase intention. Based on these insights, the following hypotheses are proposed:
H6. 
Perceived brand authenticity indirectly and positively impacts consumer trust by enhancing experience quality.
H7. 
Perceived brand authenticity indirectly and positively impacts consumer purchase intention by enhancing consumer trust.
H8. 
Brand perceived authenticity indirectly positively affects purchase intention by improving experience quality.
H9. 
Perceived brand authenticity positively impacts consumer purchase intention by improving experience quality, thereby enhancing consumer trust and ultimately positively impacting purchase intention, demonstrating a chain mediating effect between experience quality and consumer trust.
When consumers consistently receive positive, authentic, and coherent services, information, and product experiences during brand encounters, they are more likely to develop a stable structure of trust. Mohd Salim et al. (2024), in the context of green consumption, validated the “experience–trust–intention” chain, showing that authentic experiences can significantly enhance purchase intention through trust [77]. Similarly, Gajdić (2024) found in research on organic agricultural products that consistent feedback across the service chain strengthens consumer identification and trust stickiness, thereby promoting sustained consumption [78]. Margariti (2021) further emphasized that the overall satisfaction derived from multi-touchpoint experiences—such as packaging, communication, interaction, and service—constitutes the core mechanism linking trust to purchase intention [79]. Taken together, these findings suggest that experience quality is not merely a perceptual outcome but a critical mediator driving trust formation and behavioral intention. Based on these insights, the following hypothesis is proposed:
H10. 
Experience quality indirectly and positively affects consumer purchase intention by enhancing consumer trust.
In summary, this study takes perceived brand authenticity as the antecedent variable and positions consumer experience quality and trust as mediating variables to examine their effects on purchase intention. The research model integrates insights from the Consumer Geographical Indication Agricultural Products Model [80], the Experience Quality Model [81], and the Consumer Purchase Intention Model [82,83]. Building on these foundations, we propose a brand authenticity–purchase intention framework tailored to the agricultural context (see Figure 2). The proposed model not only refines the chained logic between authenticity and consumer behavior but also provides theoretical support for subsequent brand design and managerial practice.

3. Research Methods and Data Collection

To strengthen contextual validity, the questionnaire was not designed as a purely abstract survey. Instead, it incorporated prompts of well-known agricultural brands (e.g., Jainong, Dole, Joyvio, Zespri) that possess clear origin backgrounds, established brand systems, and sustained presence across both online and offline channels. Furthermore, the measurement items explicitly included institutional and technological authenticity cues, such as geographical indication (GI) marks, organic/green certifications, and traceability QR codes. This design ensured that consumer evaluations were not detached perceptions, but rather judgments anchored in real institutional signals and technological practices. In this way, the data capture the interface between “objective authenticity mechanisms” and “subjective consumer perception.”
To ensure the contextual validity and practical relevance of the questionnaire measurement, this study introduced brand prompts before the formal survey design in order to simulate respondents’ processes of brand perception, experience, and trust construction in realistic consumption scenarios. Since the study had not yet carried out field promotion for any new brand, four representative fruit brands in both the Chinese and international markets—Jainong, Dole, Joyvio, and Zespri—were incorporated as reference objects to reduce respondent burden and stimulate actual consumption memory. These brands were selected because they possess clear origin backgrounds, relatively mature brand systems, and sustained presence across both online and offline channels, thereby enabling respondents to provide evaluations based on authentic or familiar experiences. In designing the questionnaire, the research team also considered category coverage (e.g., bananas, apples, kiwifruit), origin recognizability, and market trust foundations, all of which enhanced the contextual reliability and external validity of the measurement. The research model and questionnaire design process are illustrated in Figure 3.
Before beginning the questionnaire, respondents were first asked to confirm whether they were familiar with and had previously purchased any of the listed brands. This design ensured consistency in measurement while partially reconstructing the natural process through which brand perception and purchase intention are formed, thereby enhancing the psychological validity of the data. The approach avoided the imaginative burden associated with entirely hypothetical brands and minimized potential systematic bias arising from individual brand preferences, thus providing a robust contextual foundation for subsequent structural equation modeling and path analysis. In addition to collecting respondents’ demographic information, the questionnaire also captured their agricultural product consumption characteristics, including primary purchasing channels and product attributes of concern, in order to provide a more comprehensive profile of consumer behavior.

3.1. Study Design

This study employed a structured questionnaire, designed on the basis of the theoretical framework and operational definitions of variables, to systematically capture consumers’ psychological response paths within the trust mechanism of agricultural product brands. The overall questionnaire was adapted from established scales and localized through semantic refinement and pilot interviews, ensuring the appropriateness and reliability of the instrument in terms of content validity, construct validity, and discriminant validity.
The questionnaire was organized into four sections: Brand Introduction: Presentation of typical agricultural product brand information to enhance contextual immersion. Demographic Information: Including gender, age, income, household size, and related characteristics. Consumption Characteristics: Covering family roles, primary purchasing channels, and concerns regarding agricultural product certifications. Measurement of Model Variables: Operationalization of core constructs based on validated scales within the research framework. For details, see Appendix A, Table A1. Scale Design.
The specific measurements are as follows:
Antecedent Variable—Perceived Brand Authenticity (PBA): Conceptualized as a higher-order construct comprising three first-order dimensions:
  • Place-of-Origin Cognition: adapted from van Ittersum et al. (2003) [84] and Loureiro & McCluskey (2000) [85], emphasizing consumers’ knowledge of origin information, regional associations, and perceptions of authenticity;
  • Cultural Identification: based on Bhattacharya & Sen (2003) [86] and Tuškej et al. (2013) [87], assessing whether consumers internalize the cultural attributes embedded in agricultural brands as part of their self-identity;
  • Brand Transparency: adapted from Schnackenberg & Tomlinson (2016) [88], combined with traceability and information disclosure requirements in the agricultural sector, measuring consumers’ perceptions of brand openness, consistency, and verifiability.
Mediating Variable—Experience Quality (EQ): Modeled as a reflective second-order construct following Brakus et al. (2009) [89], Lemke et al. (2011) [90], and McColl-Kennedy et al. (2015) [91], comprising three dimensions:
  • Brand Experience;
  • Service Experience;
  • Post-purchase Experience.
Mediating Variable—Consumer Trust: adapted from Chaudhuri & Holbrook (2001) [92], Morgan & Hunt (1994) [93], and Sirdeshmukh et al. (2002) [94], emphasizing consumers’ confidence in a brand’s fulfillment ability, reliability of promise-keeping, and willingness to reduce perceived risk.
Outcome Variable—Purchase Intention: based on Dodds et al. (1991) [95] and Yoon (2002) [96], measured from three aspects: purchase propensity, preference, and recommendation intention.
All items were measured using a 7-point Likert scale (1 = strongly disagree, 7 = strongly agree), which enhanced response sensitivity and variability in accordance with statistical requirements for factor analysis [97]. Each latent variable contained 3–5 measurement items, yielding an initial pool of 40 items, with the pilot data sources presented in Figure 4. After two rounds of expert interviews (one each from brand management, agricultural marketing, and consumer psychology) and a small-scale pilot test (n = 56), the clarity of semantics and discriminant validity of the items were confirmed. Ultimately, 34 items were retained, as shown in Table 1.

3.2. Data Collection

This study used a structured questionnaire survey to collect data. The questionnaire design was based on an extensive literature review and variable operationalization, covering seven core concepts: perceived origin, cultural identity, brand transparency, perceived brand authenticity, experience quality, consumer trust, and purchase intention. Data were collected between 5 June and 22 August 2025, using a cross-sectional random sampling method through online channels (Wenjuzhixing, social media platforms, and WeChat groups). To improve response quality and participation, small cash incentives ranging from 0.1 to 3 RMB were offered through the online survey platform. Incentive amounts were intentionally kept modest to avoid response bias and excessive incentives. The total expenditure (RMB 1146.2) represented less than 1% of the research budget, meeting ethical standards for non-mandatory remuneration in academic research. This design adhered to the principle of minimal incentives, encouraging genuine participation without altering respondent behavior or response patterns.
In total, 814 questionnaires were obtained, of which 636 valid responses were retained after rigorous screening (validity rate = 78%). The exclusion criteria included: (1) completion time less than 90 s; (2) failure to pass attention-check items; and (3) respondents younger than 18 years old, in order to ensure ethical compliance and the independence of consumer decision-making. The final sample covered 28 provinces, municipalities, and autonomous regions in mainland China, ensuring broad geographic distribution and enhancing the external validity of the study (see Figure 5).
As summarized in Table 2, the sample characteristics were as follows: gender distribution—female 58.3%, male 41.7%; age structure—19–30 years (38.8%), 31–40 years (29.1%), 41–50 years (14.6%), and 51 years and above (17.5%), reflecting cross-generational coverage; monthly income—the largest group was RMB 6500–7500 (29.7%), followed by RMB 5500–6500 (20.9%) and RMB 4500–5500 (18.4%), indicating a predominantly mid-to-lower income structure; education—bachelor’s degree (41.4%) and master’s degree (21.4%), with more than 60% of respondents holding higher education qualifications, reflecting strong information-processing capacity and decision-making ability; household size—three-person households (42.8%) and households with four or more members (23.4%). These demographic characteristics closely mirror the profile of China’s online population. According to the China Internet Network Information Center [98], as of June 2024, China had 1.10 billion internet users and an internet penetration rate of 78%. The latest data reported by China Global Television Network [99] show that by June 2025, the number of internet users had further increased to 1.12 billion, with a penetration rate of 79.7%. Meanwhile, over 70% of these users regularly engage in online shopping and livestream-based consumption [100]. Livestream e-commerce has rapidly become mainstream, accounting for approximately 31.9% of China’s total online retail GMV in 2023, up from 17.9% in 2021 [101]. In addition, China’s e-commerce market continues to expand, with an expected compound annual growth rate (CAGR) of 9.9% between 2024 and 2028 [102].
Given these statistics, the composition of the present sample—mainly digitally active, mid-income consumers—closely aligns with China’s current online consumer structure and the research context of livestream agricultural branding, providing strong external validity for the empirical analysis.

3.3. Data Processing and Tool Selection

This study adopted a multi-stage data processing strategy to conduct multi-level analyses on the valid samples. First, for the multiple-choice items in Section 2 and Section 3 of the questionnaire, the Jaccard similarity coefficient was applied to examine the correlations between demographic characteristics and agricultural product consumption traits [103]. This method helps identify consumers’ combinational preferences across multiple selected factors. Data visualization was performed using R 4.4.3 software. Specifically, a binary matrix was constructed for each multiple-choice item:
X { 0 , 1 } n × m
where “n” is the sample size and m is the number of options. If the sample chooses an option, the value is assigned to 1, otherwise it is assigned to 0. Then, the Jaccard similarity coefficient is calculated between any two options to measure their “co-occurrence” in consumer choices:
J i j = A i A j A i A j = n 11 n 1 + n 1 n 11 , J i j 0 , 1
Here, “n11” denotes the number of respondents who selected both option “i” and option “j”, while “n1·” and “1” represent the number of respondents selecting each option individually. When the union is zero, the value is treated as missing. From this, a symmetric matrix “J” was constructed and visualized as a heatmap to illustrate the strength of co-selection relationships. A higher “J” value indicates stronger co-occurrence between two behavioral or perceptual variables. To ensure interpretive rigor, we applied a cut-off threshold of J ≥ 0.25, following previous studies on similarity-based clustering in consumer behavior [104,105]. Pairs exceeding this threshold were included in the network clustering analysis, while weaker associations were filtered out. The results were visualized through a two-mode co-occurrence network, facilitating the identification of dominant consumer configuration clusters [101]. When necessary, hierarchical clustering was applied to reorder rows and columns (distance = 1 − J) in order to highlight cluster structures. Larger values indicate stronger co-selection. Empirically, J ≈ 0.10–0.20 is considered weak, 0.20–0.30 moderate, and ≥0.30 relatively strong, which allows for the identification of “high-frequency co-occurrence” information patterns [106,107].
In addition, to examine heterogeneity, subgroup analyses were conducted by gender, age, income, education, and household size. Within each subgroup, the selection rate for each option was calculated to form a population × option matrix, which was then visualized using heatmaps. For each “population category × single option (0/1)” contingency table, Cramér’s V (range: 0–1) was computed based on χ2 statistics, and options were reported in descending order of V to highlight those with the most significant differences.
In the fourth part of the structured questionnaire analysis, this study employed SPSS 26.0 and SmartPLS 4.0 for data processing and model testing to ensure both the reliability and validity of the measurement scales and the overall model fit. First, SPSS was used to conduct descriptive statistics, item analysis, internal consistency testing (Cronbach’s α), and exploratory factor analysis (EFA), thereby providing a foundation of data cleaning and reliability for subsequent model construction. Next, Partial Least Squares Structural Equation Modeling (PLS-SEM) was applied to validate the theoretical model. This method systematically examines the path relationships, explanatory power, and mediation effects among latent variables. PLS-SEM has been widely applied in marketing and management research, particularly in studies exploring emergent constructs and predicting behavioral outcomes [108]. Given that the objective of this study is to reveal how consumers’ perceptions of agricultural brand authenticity influence the formation of trust and purchase intention, PLS-SEM offers a robust modeling framework with strong explanatory and predictive capabilities.

4. Empirical Analysis and Interpretation of Results

To identify structural patterns in consumers’ multiple-choice questions, we applied the Jaccard similarity coefficient, a nonparametric metric that measures the degree of co-occurrence between category choices. The Jaccard similarity coefficient is particularly well-suited to multi-response survey data because it focuses only on common positive choices, avoiding inflation caused by common missingness. It is commonly used in fields such as data mining, text analysis, and bioinformatics.
In this study, each multiple-choice item (e.g., preferred purchase channels, certification types, or product attributes) was transformed into a binary vector, where “1” indicates the option was selected and “0” indicates it was not.
And where “a” represents the number of options both respondents selected, and “b” and “c” represent the number of options selected by only one of the two. The resulting similarity matrix (values ranging from 0 to 1) reflects how closely respondents’ choice patterns align.
Using this matrix, we performed hierarchical clustering to group respondents with similar decision profiles. For example, consumers who frequently selected “e-commerce,” “livestreaming,” and “traceability QR codes” exhibited high Jaccard similarity and were clustered together, whereas those selecting “supermarkets,” “community outlets,” and “organic certifications” formed a separate cluster. This method helps reveal the underlying preference structure in multiple-choice data without relying on distributional assumptions, and can be displayed through a correlation heat map: the darker the color, the more common options there are among the respondents, and the higher the similarity.

4.1. Group Decision Analysis

This study constructed a structural evidence framework across five dimensions: population × shopping role/purchasing channel/certification preference/decision-making factors/premium acceptance. The core methods included selection-rate heatmaps and Jaccard co-occurrence analysis of multiple-choice items. The framework is designed to systematically capture stable patterns and gradient differences among consumer groups (by gender, age, education, and income) in agricultural product purchasing, thereby addressing the questions of “who buys, where, for what reasons, to what extent of premium acceptance, and which factors tend to co-occur.” Compared with approaches that rely solely on means or regression analysis, this method reveals deeper structural information and provides reproducible and quantifiable evidence for subsequent theoretical testing and contextual interpretation.

4.1.1. Comparison of Household Agricultural Product Purchasing Roles by Group

As shown in Figure 6, household agricultural product purchasing follows a typical “information–decision–execution” chain. In terms of gender, women are more frequently the decision-makers (DC) and purchasing executors (BUYERS), while men are more often engaged as information providers (IP) and simple consumers (SC). Quality supervisors (QS) do not play a central role for either gender. Age analysis indicates that “decision authority rises with age”: older generations are more prominent in DC, while younger cohorts take the lead in BUYERS and IP, forming a collaborative pattern in which “the young gather information, the elders make the final call.” From an education perspective, highly educated individuals are more inclined to participate in IP and decision-making processes, reflecting stronger information search and joint decision-making capacities. Income effects display a “U-shaped” pattern: low-income groups exert greater decision-making authority due to budget constraints, while high-income groups assume stronger leadership because of preferences for health and quality. Overall, this pattern aligns with classical theories of household decision-making and resonates with the digital customer journey: information is “pre-configured” through livestreaming and user-generated content (UGC), transmitted by household influencers, and finalized by decision-makers. Prior studies similarly confirm that in agricultural livestreaming contexts, social presence and interactivity significantly enhance purchase intention through the mediation of trust, which explains the coexistence of “youth as information suppliers” and “elders as ultimate decision-makers.”
Further analysis, as presented in Table 3, shows that QS and SC occupy relatively minor roles across all groups, suggesting that “quality control” has shifted from intra-household responsibilities to institutional and platform mechanisms. Origin labels, traceability systems, and disclosure of inspection results provide verifiable quality assurance, while reliable logistics and after-sales services transform this assurance into experience quality and trust. Thus, the focus of brand governance lies not in “persuasion techniques” but in the “clarity and consistency of evidence.” Research in food systems also corroborates that consumer trust is jointly constructed through product-assurance pathways (origin, certification, traceability) and system-assurance pathways (accountability of platforms and institutions), with transparency serving as a key input. Particularly in the Chinese context, logistics and after-sales experience significantly improve satisfaction and repurchase intentions, constituting a hard constraint for transforming livestream-driven impulses into stable cross-generational repurchase behavior.

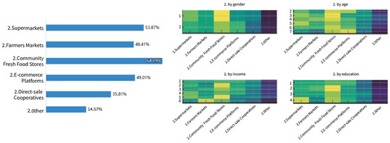
4.1.2. Comparison of Channel Preferences by Group

As shown in Figure 7, the overall channel structures for men and women are broadly similar, with community fresh markets and e-commerce forming the dual core. The difference lies in that women rely more on offline, immediate-access channels such as supermarkets and community fresh outlets, while men are more active in e-commerce and direct-from-origin purchases. This aligns with the earlier findings on household roles: women dominate decision-making and execution, whereas men and younger members primarily contribute as information providers.
As detailed in Table 4, clear generational differences emerge in age-related patterns: younger and middle-aged consumers prefer e-commerce (including livestreaming and instant delivery), older consumers are concentrated in supermarkets and community fresh markets, while the elderly retain a preference for traditional wet markets, reflecting their habits of “visual inspection and on-the-spot selection.” Education and income further accentuate channel differentiation: highly educated consumers are prominent in both e-commerce and community fresh markets, pursuing efficiency and information density on the one hand, while valuing immediacy and quality assurance on the other. High-income groups show stronger preferences for direct-sales cooperatives and specialty channels, emphasizing origin-based ties and typicality, whereas middle-income groups exhibit greater elasticity between community fresh markets and e-commerce. Overall, this structure resonates with customer journey research on cross-touchpoint trade-offs and aligns with the “short supply chain–localized trust” literature: offline channels fulfill the need for visual verification and instant access, while online channels attract younger and highly educated consumers through information integration and convenience.
Mechanistically, channel choice can be interpreted as a trade-off among verification costs, time costs, and experiential certainty. Younger and highly educated consumers, with higher levels of digital literacy, rely more heavily on reviews, price comparisons, and traceability disclosures in e-commerce. However, for platforms to convert “impulse buying” into repurchase, stable fulfillment and after-sales services are required to reduce experience volatility. Middle-aged and older consumers prefer supermarkets and community fresh markets, reflecting their need for immediacy and visual assurance. Meanwhile, high-income consumers rely on the relational and place-based trust embedded in direct-sales cooperatives to secure authenticity and typicality.

4.1.3. A Clustered Comparison of Attention Differences in Agricultural Product Certification Marks

As shown in Figure 8, based on the “population × certification” heatmap, consumer concerns reveal a three-tiered structure:
  • Safety and Health Evidence-Oriented: Organic (OC), Green Food (GF), Pesticide Residue Certification (PRC), and Pollution-Free Agricultural Products (PFAP);
  • Origin and Verifiability-Oriented: Geographical Indication Products (GIP) and Traceability QR Codes (TQR);
  • Non-Certification Concerned (NCC): serving as the negative baseline.
As detailed in Table 5, Gender differences show that women pay significantly greater attention to OC, GF, PRC, and PFAP compared with men, while the proportion of NCC is lower, indicating stronger safety sensitivity and preference for evidence. GIP and TQR display limited gender differences, though women still hold a slight advantage.
In terms of age, a clear “life-cycle effect” is observed: middle-aged and older consumers place greater emphasis on OC, GF, and GIP, reflecting experience and health concerns; younger consumers stand out in TQR, relying more heavily on digital traceability; NCC declines steadily with age.
Income and education jointly drive a “preference for evidential signals.” Higher income levels correspond to stronger concern for OC, GF, PRC, and GIP, while TQR is more salient among middle- and high-income groups, accompanied by reduced NCC. Similarly, higher education strengthens attention to TQR, PRC, and OC, while significantly lowering NCC. Consumers with mid-to-high levels of education are especially sensitive to GIP, interpreting it as a dual signal of both origin identity and quality assurance.
Overall, the heatmap highlights three differentiated mechanisms:
  • Evidence-Oriented (OC/PRC/TQR/PFAP): concentrated among higher-education, higher-income, and middle-aged/older groups;
  • Identity-Oriented (GIP/GF): combining origin and cultural recognition, favored by middle-to-high income and higher-education groups;
  • Non-Certification Concerned (NCC): more prevalent among younger, less-educated, and lower-income consumers, reflecting stronger reliance on convenience and price.

4.1.4. Differences in Attention Paid to Factors in Agricultural Product Decision-Making

As shown in Figure 9 and Table 6, the heatmap reveals a stable “quality–price dual-core” structure: across all groups, freshness and price are consistently prioritized, followed by safety. Convenience and promotion function as tactical levers with varying intensity across groups, while brand trust, origin, and eco-friendly packaging serve as supplementary cues.
By dimension, women, while equally emphasizing freshness and price, place slightly more weight on convenience, promotion, and safety/origin compared with men. Age exhibits a life-cycle gradient—freshness and price are most salient among young and middle-aged consumers, while older groups emphasize convenience and de-emphasize promotion. Income patterns show that price sensitivity is strongest among lower- and middle-income groups, whereas higher-income consumers prefer freshness and convenience and show somewhat greater concern for brand trust and origin. Education enhances preferences for “evidence + efficiency”: highly educated groups continue to prioritize freshness and price while also valuing convenience, with slight increases in safety, origin, and eco-friendly packaging.
Based on these insights, an operational and communication framework can be summarized as “hard values as the foundation, tactical adjustments by segment, and values as supplementary signals.” Specifically:
  • At all touchpoints: consistently highlight freshness evidence, clear price anchors, and fulfillment commitments;
  • For elderly groups: emphasize at-home convenience;
  • For young and middle-aged consumers: combine limited-time promotions and membership-based repurchase incentives;
  • For lower-income groups: stress price comparisons and bundled offers;
  • For high-income and highly educated consumers: integrate brand endorsements, origin cues, and environmental packaging to reinforce trust and values.

4.1.5. Group Differences in Willingness to Pay a Premium for Branded Agricultural Products

As shown in Figure 10 and Table 7, consumer acceptance of price premiums follows a three-tiered structure: the majority accept moderate premiums (brightest in column 2), a minority reject premiums (darkest in column 1), while acceptance of high premiums increases progressively with higher education and income levels (brightening in column 3). Gender differences are overall limited, indicating that willingness to pay brand premiums is not gender-driven. By age, middle-aged consumers cluster around moderate premiums, while both elderly and some younger consumers show considerable acceptance of high premiums, reflecting a cross-generational consensus around “health/safety–certainty.” Education and income display a monotonic progression: the higher the level, the lower the share rejecting premiums, and the higher the proportion accepting high premiums. This aligns with prior China-based evidence, which finds that higher education and income enhance awareness of safety and organics, thereby strengthening premium tolerance (e.g., double-hurdle models for organic fruits and discrete choice experiments for certified pork both confirm the positive effect on willingness to pay, WTP). Overall, the branded agricultural product market exhibits a stratified structure: the mass market generally accepts moderate premiums, while highly educated and high-income groups are willing to pay higher premiums for “stronger endorsements.”
Mechanistically, three payment logics can be identified:
  • Strong Endorsement Labels → Instant Trust → Premium. Government or third-party certifications, food safety statements, and traceability disclosures significantly raise WTP, with high-trust consumers showing larger premiums.
  • Origin and Typicality → Perceived Brand Authenticity (PBA) → Premium. Origin-based signals such as geographical indications consistently elevate premiums, particularly among highly educated and urban consumers.
  • Digital Verifiability → Reduced Uncertainty → Migration from Moderate to High Premiums. Meta-analyses of traceability reveal a sustained global increase in WTP; when platforms ensure stable disclosure and logistics fulfillment, the majority of “moderate-premium” consumers can be shifted into the “high-premium” market segment.

4.2. Model Checking

4.2.1. Reliability Test

To ensure that the measurement scales employed in this study demonstrate satisfactory construct reliability and validity, SmartPLS 4.0 was used to evaluate the measurement model of all latent variables. The assessment included tests of indicator reliability, internal consistency reliability, convergent validity, and discriminant validity. The results of these tests are presented in Table 8. See Appendix A for the scale.
In terms of indicator reliability, all standardized factor loadings of the measurement items were significantly above the threshold of 0.70, ranging from 0.827 to 0.947, indicating that each item effectively reflects its corresponding construct and demonstrates strong indicator reliability [19]. Regarding internal consistency, all latent variables achieved Cronbach’s α values exceeding 0.85, while Composite Reliability (CR) values were all above 0.90, substantially higher than the recommended thresholds of 0.70 and 0.80. These results confirm that the constructs exhibit excellent internal consistency and stability [93,94]. Furthermore, convergent validity was assessed using the Average Variance Extracted (AVE). The results show that the AVE values of all constructs ranged between 0.738 and 0.878, well above the minimum benchmark of 0.50 [94], suggesting that the constructs successfully capture sufficient variance from their measurement items. Taken together, these findings demonstrate that all latent variables in this study meet the requirements of reliability and convergent validity, providing a solid foundation for subsequent structural model analysis.

4.2.2. Validity Testing

To ensure the discriminant validity of latent variables in the structural model, this study employed two approaches: the Fornell–Larcker criterion (Fornell & Larcker, 1981) and the Heterotrait–Monotrait Ratio (HTMT) of correlations [95]. First, according to the Fornell–Larcker criterion, discriminant validity is established if the square root of the Average Variance Extracted (√AVE) for each construct is greater than its correlations with other constructs. As shown in Table 9, the √AVE values (bold diagonal elements) for all constructs were substantially higher than their inter-construct correlations, indicating good discriminant validity.
Second, the HTMT criterion was further applied. Henseler et al. (2015) [95] suggest that HTMT values below 0.85 indicate satisfactory discriminant validity, while values between 0.85 and 0.90 may still be acceptable. In this study, all constructs exhibited HTMT values well below 0.85, as reported in Table 10, further confirming that adequate discriminant validity was achieved. Taken together, these results demonstrate that the research model exhibits robust discriminant validity, thereby ensuring the reliability of subsequent structural path analyses.

4.2.3. Multicollinearity Test

In examining the relationships between second-order constructs and their first-order dimensions, PLS-SEM has been widely applied in complex model analysis, theory extension, and small-sample research, demonstrating strong applicability. In this study, Perceived Brand Authenticity (PBA) and Experience Quality (EQ) were specified as second-order constructs. PBA was modeled with three first-order dimensions—Brand Transparency (BT), Cultural Identification (CI), and Place-of-Origin Cognition (POC)—while EQ was modeled with three dimensions—Brand Experience (BE), Service Experience (SE), and Post-purchase Experience (PP). A reflective–reflective-type modeling approach was adopted to construct the latent variable paths.
As reported in Table 11, for measurement evaluation, outer weights, variance inflation factors (VIF), and t-value significance were employed to test the contribution and significance of first-order constructs to their second-order counterparts. The results indicate that all first-order dimensions exhibited outer weights greater than 0.3, with t-values significant at the p < 0.001 level, demonstrating their strong representativeness and statistical power within their corresponding second-order constructs. In addition, all VIF values were well below the threshold of 5, indicating no multicollinearity and confirming the structural stability of the model [18]. Collectively, these findings validate the interpretability and rationality of the second-order latent constructs. Thus, the design and evaluation logic of the second-order constructs in this study are supported by solid theoretical and methodological foundations.

4.2.4. Explanatory Power Test

To evaluate the explanatory power of the structural model for endogenous variables, the coefficient of determination (R2) was calculated for each latent construct. The results show: Brand Experience (BE) R2 = 0.607, Brand Transparency (BT) R2 = 0.728, Cultural Identification (CI) R2 = 0.661, Consumer Trust (CT) R2 = 0.454, Experience Quality (EQ) R2 = 0.498, Place-of-Origin Cognition (OR) R2 = 0.718, Purchase Intention (PI) R2 = 0.437, Post-purchase Experience (PP) R2 = 0.675, and Service Experience (SE) R2 = 0.656. According to Chin’s (1998) criteria (0.19 = weak, 0.33 = moderate, 0.67 = substantial) [96], most constructs (e.g., BT, OR, PP, SE) exhibit substantial explanatory power, while CT and PI fall into the moderate-to-high range. These results indicate that the overall structural model demonstrates strong explanatory validity and practical significance, particularly in predicting key behavioral outcomes such as purchase intention.
Further analysis of effect sizes (f2) reveals that Perceived Brand Authenticity (PBA) has a medium-to-large effect on Experience Quality (EQ) (f2 = 0.995). Its effects on Brand Transparency (BT), Cultural Identification (CI), and Place-of-Origin Cognition (OR) are f2 = 2.678, 1.956, and 2.549, respectively, all at substantial levels, underscoring the prominent contribution of these three dimensions to the overall perception of authenticity. Similarly, Experience Quality (EQ) demonstrates strong explanatory power for Brand Experience (BE) (f2 = 1.547) and Service Experience (SE) (f2 = 1.911), confirming its critical role across stages of the experiential chain. Consumer Trust (CT) exerts a smaller but statistically significant effect on Purchase Intention (PI) (f2 = 0.072), validating its role as a key mediator in the behavioral conversion process.

4.2.5. Direct Effect Test

In the structural path analysis, the direct effects of the key hypothesized paths were examined. As shown in Table 12, all path coefficients were statistically significant, indicating that Perceived Brand Authenticity (PBA), Experience Quality (EQ), and Consumer Trust (CT) exert direct effects on Purchase Intention (PI). These results provide strong support for both the theoretical logic and empirical robustness of the model.
Specifically, the effect of PBA on EQ was significant (β = 0.714, t = 25.397, p < 0.001), suggesting that stronger perceptions of authenticity lead to higher perceived experience quality in subsequent brand encounters. PBA also demonstrated a significant positive effect on CT (β = 0.553, t = 10.261, p < 0.001), showing that authenticity effectively reduces perceived risk and fosters trust in the highly uncertain context of agricultural products. In addition, EQ exerted a significant positive influence on CT (β = 0.153, t = 3.626, p < 0.001), validating the role of high-quality experiences in the trust-building mechanism.
Most importantly, both EQ and CT had significant positive impacts on PI. The path coefficient of EQ → PI was β = 0.503 (t = 11.968, p < 0.001), while CT → PI was β = 0.239 (t = 6.148, p < 0.001). These findings confirm the chained mediation mechanism whereby brand authenticity influences purchase intention through experience quality and trust, offering both theoretical explanation and practical implications for agricultural brand management.

4.2.6. Mediation Effect Test

To further validate the mechanism through which Perceived Brand Authenticity (PBA) influences Purchase Intention (PI), this study employed the bootstrapping method (5000 resamples) to test mediation and chained mediation effects. The results indicate that multiple indirect paths were statistically significant (see Table 13).
First, along the path PBA → EQ → CT, the indirect effect was 0.110 (t = 3.486, 95% CI [0.052, 0.173], p < 0.001), suggesting that authenticity can indirectly enhance consumer trust through improved experience quality. Second, the indirect effect of EQ → CT → PI was also significant (effect = 0.037, t = 3.114, 95% CI [0.017, 0.062], p = 0.002), indicating that experience quality mediates the effect of trust on purchase intention.
For direct mediation, the most pronounced result was observed for PBA → EQ → PI (effect = 0.359, t = 12.215, 95% CI [0.300, 0.415], p < 0.001), demonstrating that authenticity significantly promotes purchase intention through experience quality. Similarly, the path PBA → CT → PI also showed a significant indirect effect (effect = 0.132, t = 4.815, 95% CI [0.083, 0.190], p < 0.001), confirming that authenticity can drive purchase behavior through trust.
Finally, the chained mediation effect PBA → EQ → CT → PI was also statistically supported (effect = 0.026, t = 2.945, 95% CI [0.012, 0.046], p = 0.003), further validating that authenticity indirectly influences consumer purchase intention via the sequential transmission of “experience quality → trust.”
In summary, all mediation and chained mediation effects within the model were statistically confirmed, indicating that perceived brand authenticity not only exerts a direct influence on purchase intention but also indirectly shapes consumer behavior through multiple transmission paths involving experience quality and trust. These findings underscore the central mechanism of authenticity in agricultural brand consumption decisions.

5. Discussion

5.1. Based on Clustering and Co-Occurrence (Jaccard) Heat Map Analysis

Synthesizing five heatmaps—household roles, core channels, certification preferences, key attributes, and premium acceptance—a consistent evidence gradient emerges. Consumers first anchor their choices in the triad freshness–price–safety, then in institutionalized endorsements (organic, green, pesticide-residue, GI/origin) and traceability QR codes. These signals flow through household decision hierarchies—younger members gather information; elders decide; women execute purchases—into actual buying behavior.
In online environments, the credence attributes of agricultural products intensify reliance on verifiable information and consistent fulfillment to reduce uncertainty [41]. When origin, traceability, and testing align with reliable delivery and after-sales service, trust strengthens, shifting consumers from moderate to high premium acceptance [52]. Conversely, a single fulfillment failure may, through social-media amplification, spill over into skepticism toward the entire brand or origin [49].
This structure parallels the central mechanism PBA (origin cognition × cultural identification × transparency) → EQ (brand/service/post-purchase) → CT → PI, explaining why higher-income and better-educated groups are more responsive to strong endorsements and traceability. The experience-closure loop acts as a bridge that converts perceived into validated authenticity.
Based on the above findings, we propose three testable breakthroughs:
  • Evidence Density Hypothesis: At equivalent prices, the density of evidence (“origin certification + traceability availability + third-party inspection” in conjunction) positively drives Trust and willingness to pay (WTP) in a nonlinear manner, with a steeper slope observed in online channels;
  • Dual-Person Funnel: In household decision-making shaped by livestreaming and short videos, information providers (younger members/men) pre-frame expectations through User Generated Content (UGC) and interactive engagement, while decision-makers/executors (women/elders) determine conversion and repurchase based on fulfillment consistency;
  • Trust Externalities: A single negative post-purchase experience exerts stronger category-level spillover (brand → origin → product type) when tied to high-salience certifications or strong regional brands, whereas a “traceability–compensation–reinspection” mechanism can substantially mitigate such spillovers.
These propositions align with recent findings in livestream commerce (trust mediation), traceability meta-analyses (positive WTP effects), and dual-path food-trust research (product × system assurances). They offer directions for robustness and multi-group analyses (MGA).
Toward a sustainability-oriented action framework (Brand × Platform × Policy):
  • Live-to-Proof Systems: Ensure that every promise made in livestreaming or product detail pages is mapped to batch-level digital twins (GI/origin → inspection ID → cold-chain trajectory → delivery temperature zone), with scannable traceability cards (TQR) serving as intra-household “secondary persuasion” tools. Public-facing SLA-style KPIs (punctuality, intactness, response speed) should also be disclosed.
  • Evidence Scoreboards and Trust-Recovery Processes: Standardize scripts such as “guaranteed compensation for damage,” “mandatory refunds for mismatches,” and “return of reinspection reports,” transforming negative experiences into learnable service evidence.
  • Certification Simplification and Disclosure Enhancement: Streamline overlapping labels, unify core disclosure fields (origin, inspection frequency, key flavor/nutritional indicators), and replace “label stacking” with clarity and accuracy.
  • Lightweight Blockchain/Trusted Database Deployment: Implement these systems within cooperatives and regional public brands, showing only essential public fields externally while ensuring full accountability internally, and integrate with platform risk-control mechanisms to reduce verification costs and suppress “low-quality noise.”
Such governance mechanisms can stabilize the translation of authenticity (PBA) into consistent experience quality and sustainable trust, thereby supporting SDG 12 (Responsible Consumption) and SDG 8 (Decent Rural Employment). Their technological and governance feasibility has been supported by existing research on transparency, traceability, and trust.
Future research can proceed along two directions: Conduct contextualized experiments or quasi-natural experiments manipulating “evidence density” (GI × traceability × inspection × price) and “fulfillment consistency” to identify the causal strength and thresholds of the PBA → EQ → CT → Pl pathway. Construct a “Trust Behavioral Dataset” by combining platform-side algorithmic and governance data (complaint rates, risk-control flags, cold-chain logs) to test the cross-brand and cross-origin propagation of “trust externalities,” and evaluate the marginal benefits of governance interventions (inspection frequency, disclosure standards).
These approaches not only respond to the core pain point of online retail—“seeing is believing”—but also provide quantifiable institutional levers for the sustainable development of agricultural brands.

5.2. Path Test Analysis Based on PLS-SEM

With the rapid development of the socio-economic environment and the deep penetration of digital marketing, brand communication strategies and consumer touchpoints are undergoing unprecedented restructuring. However, this transformation has also been accompanied by a decline in brand integrity and consumer trust [1]. In the agricultural sector—closely tied to livelihoods—brands relying on rhetoric or price competition without verifiable support from origin, culture, and values are particularly vulnerable to trust crises [67].
Against this backdrop, this study proposed and tested ten hypotheses along the pathway “Perceived Brand Authenticity → Experience Quality → Consumer Trust → Purchase Intention.” The PLS-SEM results confirmed significantly positive paths for PBA → EQ, PBA → CT, EQ → CT, EQ → PI, and CT → PI, revealing two mediation effects: “authenticity → experience → trust” and “authenticity → trust → intention.” The strongest links, PBA → EQ and EQ → CT, correspond with the high co-occurrence clusters of “e-commerce × verifiable cues” identified in the network analysis, suggesting that greater evidence density and fulfillment stability enhance the conversion of authenticity into trust and purchasing willingness.
These results demonstrate that agricultural consumption follows an integrated psychological chain—initiated by authenticity perception, reinforced by experiential quality, and driven by trust formation—echoing multi-stage, multi-dimensional processing models in contemporary consumer behavior theory [70].
Furthermore, this study conceptualizes sustainable brand competitiveness as a progressive logic of evidence assetization (EA) → experiential closure (EC) → trust accumulation. Policy and industry collaboration—such as GI enforcement, label reduction, and enhanced platform disclosure—enable educated and high-income consumers to pay premiums for high evidence density, supporting early investment recovery. For price-sensitive consumers, strategies like smaller packaging and price protection ensure stable experiences and gradually build trust, converting short-term premiums into long-term relational assets.
In conclusion, this study extends the theoretical boundary of perceived brand authenticity (PBA) by verifying its central role in mediating experience and trust mechanisms, and provides actionable pathways for agricultural brands as trust-oriented categories. Practically, brands should begin with authenticity, establish full-chain governance integrating origin, culture, and transparency, and prioritize authentic consumer experiences to achieve sustainable market recognition and long-term value creation.

5.3. Implications for Fresh Produce Marketers and Growers

This study provides several practical insights that can guide agricultural enterprises, cooperatives, and local brand managers in improving trust and market performance. The core logic is summarized in a simple sequence—“Authenticity → Experience → Trust → Purchase/Repurchase.” Figure 11 presents this relationship as an intuitive cycle of value creation for agricultural brands.
This figure illustrates how perceived brand authenticity shapes consumer trust and purchase behavior through experiential quality. The framework identifies three actionable governance tools—evidence density, experiential variance management, and precision governance—which together establish a closed-loop mechanism for sustainable agricultural brand development.
  • Build “Evidence Cards” for Products. Integrate origin, certification, inspection, and traceability data into a unified digital or physical evidence card (e.g., a QR code on packaging). This enables instant verification, reduces confusion from overlapping labels, and strengthens consumer confidence in authenticity.
  • Stabilize Consumer Experience Across Touchpoints. Consistency outweighs perfection. Product quality, packaging, delivery, and after-sales service should meet uniform standards. Fresh produce enterprises can formalize these through service-level agreements (SLAs) with logistics and retail partners, complemented by instant compensation or reinspection for service failures.
  • Segment and Target Consumers Precisely. Consumers differ in how they interpret authenticity signals. Younger and educated users value digital traceability and interactive storytelling; middle-aged and older consumers prefer authoritative endorsements and offline assurances; lower-income households prioritize affordability and reliability; and higher-income, sustainability-conscious groups demand eco-friendly packaging and verified certifications. Tailored communication and certification strategies enhance both trust and premium acceptance.
  • Implement Data-Driven Precision Governance. Enterprises and local authorities should establish a data-feedback loop to monitor authenticity indicators—such as label density, consumer feedback, and complaint ratios—and continuously optimize governance performance. Tools like an Evidence Density Index can quantitatively assess how authenticity signals reinforce trust.
Applying the authenticity–experience–trust framework can shift agricultural branding from short-term promotion to long-term, trust-based value creation, reducing redundant marketing while fostering sustainable competitiveness in China’s fresh produce sector.
Although this study is grounded in China’s agricultural branding and livestreaming e-commerce, its theoretical mechanism extends beyond this context. The authenticity–experience–trust pathway reflects general consumer psychology, but its manifestations are context-dependent. In the European Union, geographical indications (GI) are institutionalized under the Common Agricultural Policy; in North America, consumers rely more on third-party certifications such as USDA Organic or Non-GMO Project. In contrast, Chinese consumers—immersed in livestreaming and digital traceability ecosystems—exhibit heightened sensitivity to real-time verification and service fulfillment.
These variations suggest that while the core pathway from authenticity to trust is generalizable, the specific forms of authenticity signaling (e.g., GI marks vs. blockchain traceability) and channels of experience delivery (offline certification vs. online livestreaming) remain context-dependent. Future research should therefore undertake cross-national comparisons to test the robustness of the evidence density–experimental variance framework across different cultural and institutional settings.

6. Conclusions

This study integrates Jaccard similarity co-occurrence analysis with PLS-SEM path modeling, providing dual evidence of structural discovery and causal verification along the mechanism “Perceived Brand Authenticity → Experiential Quality → Trust → Purchase Intention.”
Two dominant consumer configurations emerge:
(i)
E-commerce/livestreaming × traceability QR codes × geographical indications × young, educated consumers; and
(ii)
Supermarkets/community outlets × organic/green certifications × middle-aged and elderly female decision-makers.
Findings confirm that clear origin cues, cultural alignment, and verifiable signals enhance experiential quality and trust, reinforcing purchase and repurchase intentions. In credence-based categories, institutionalized evidence exerts stronger effects on trust than narrative persuasion.
The study advances three theoretical frontiers.
First, it redefines brand authenticity as a governance mechanism rather than a symbolic attribute. By introducing evidence density and experiential variance, it extends marketing theory beyond symbolic communication toward an information governance paradigm emphasizing verifiable signal consistency.
Second, it enriches consumer psychology by complementing and challenging the expectancy–confirmation paradigm, showing that stability across touchpoints—rather than mean satisfaction—drives enduring trust.
Third, it aligns with emerging models of data-driven and sustainability governance, linking micro-level consumer cognition to macro-level institutional accountability.
While authenticity remains central, it interacts with cultural, economic, and platform-specific factors—such as regional norms, income uncertainty, and KOL endorsements—making it a proximal but context-dependent driver of trust and willingness to pay, see Table 14 for details. Future studies could examine these boundary conditions through cross-cultural or longitudinal designs.
Beyond China, the evidence density–experiential variance framework applies to diverse institutional systems, including EU geographical indications, North American certifications, and blockchain-based traceability in emerging markets. Through evidence assetization → experiential closure → trust accumulation, agricultural brands can transform short-term premiums into enduring trust capital, advancing responsible consumption (SDG 12) and rural employment (SDG 8).

6.1. Theoretical Implications

Focusing on Chinese geographical indication agricultural products, this study develops and validates an integrative framework linking Perceived Brand Authenticity → Experience Quality → Trust → Purchase Intention, demonstrating strong explanatory and predictive power. The theoretical contributions are summarized in six aspects.
First, authenticity is repositioned as a governance mechanism that reduces information asymmetry, modeled as a second-order construct comprising origin cognition, cultural identification, and brand transparency. This shifts authenticity from symbolic to evidential consistency. Second, the study uncovers the causal coupling between authenticity and experience: verifiable signals and transparent disclosure enhance cross-touchpoint experience quality, whereas inconsistencies trigger reverse scrutiny and trust erosion. Third, it clarifies the gateway role of trust, verifying that authenticity and experience jointly drive purchase intention through trust, which serves as the psychological threshold linking authenticity to consumers’ willingness to pay premiums. Fourth, two new governance constructs are introduced—evidence density and experience variance. Evidence density amplifies authenticity effects, while minimizing experience variance—rather than raising mean satisfaction—more effectively stabilizes trust, transforming it into a manageable process variable. Fifth, the study identifies boundary conditions in digital and e-commerce contexts, where the transmission paths from authenticity to experience and from experience to trust intensify, elevating channel effects from control to moderating mechanisms. Sixth, it offers methodological innovation by integrating co-occurrence network analysis with PLS-SEM, bridging “evidence combinations” with “psychological chains” and mitigating the bias of isolated significance tests.
Overall, this study advances an actionable framework for credence-based products: authenticity functions as a governance resource, experience reflects delivery consistency, and trust evolves into accumulated psychological capital that sustains purchase and premium intention.

6.2. Practical Implications

No universal governance model applies uniformly to agricultural branding; governance strategies must be adapted to contextual realities. The findings of this study confirm that perceived brand authenticity functions not as rhetoric but as a governance mechanism that mitigates information asymmetry. To enhance the linkage between authenticity signals and consumer trust, three interrelated strategies are proposed:
(1) Enhancing Evidence Density.
Consumers respond most positively when multiple authenticity cues—such as geographical indications, organic or green certifications, pesticide testing, and traceability QR codes—appear jointly. Firms and policymakers should therefore consolidate origin, inspection, and disclosure data into scannable and verifiable evidence cards, ensuring alignment between promises and credentials across livestream and online channels. An Evidence Density Index may further quantify signal consistency and be integrated into performance assessments to reduce confusion from label proliferation and superficial marketing.
(2) Reducing Experience Variance.
PLS-SEM results show that cross-touchpoint consistency in experiential quality—spanning brand interaction, service fulfillment, and after-sales handling—critically transforms trust into purchase intention. Consumers are more sensitive to fluctuations than to mean satisfaction levels. Establishing clear KPIs, early-warning systems, and remedial actions—such as instant compensation, reinspection feedback, and batch disclosure—can stabilize expectations and strengthen long-term trust through consistently reliable experiences.
(3) Implementing Precision Governance.
Subgroup analyses reveal significant heterogeneity. Women and older consumers value authoritative endorsements and fulfillment reliability; younger and more educated groups prefer traceability, shareable evidence, and comparative data; lower-income consumers emphasize affordability and price protection, whereas higher-income consumers prioritize sustainable packaging and third-party certification. Governance strategies should thus differentiate interventions by demographic profile.
In sum, firms should develop a closed-loop governance framework linking evidence density, experiential stability, and trust accumulation to sustain repurchase and premium retention. Policymakers and enterprises, in partnership with cooperatives and regional public brands, should pursue long-term governance characterized by fewer labels, stronger disclosure, and enforceable accountability.

6.3. Limitations and Future Research

This study draws on cross-sectional survey data from China’s fresh fruit market. Despite applying randomization, psychological separation, anonymity assurances, and collinearity checks to mitigate common method bias, reliance on self-reported, single-source data may still inflate path coefficients. Future research should integrate multi-source evidence—such as transaction logs, logistics data, and after-sales records—and employ longitudinal or experimental designs to capture the dynamic transmission of authenticity, experience, and trust across the pre-, during-, and post-purchase stages. Cross-regional and cross-category studies should also test measurement equivalence to control for cultural and channel variations.
While PLS-SEM suits prediction-oriented, higher-order models, it remains sensitive to endogeneity. Future research could enhance causal identification through instrumental variables, Copula methods, and multi-method convergence. The proposed concepts of “evidence density” and “experience variance governance” also warrant empirical validation—particularly their nonlinear and threshold effects—using A/B testing, quasi-experiments, or discrete choice designs to assess marginal impacts on willingness to pay and repurchase.
Given that even a single mismatch between promise and fulfillment can spill over to the brand or category, future studies may draw on social network causal inference or event-study approaches to quantify the diffusion and repair effects of negative experiences. Moreover, subsequent work should extend beyond purchase intention to construct a supply-chain indicator chain linking authenticity governance → experiential stability → trust capital → operational outcomes → sustainability performance, incorporating variables such as return rates, recall rates, and order stability to assess the governance contribution to responsible consumption.
Finally, although this study relies on consumer self-reports rather than institutional records, perception itself is foundational to the effectiveness of authenticity mechanisms. The impact of certification or traceability ultimately depends on consumer recognition and trust. Thus, consumer-based data provide a necessary complement to institutional analyses. Future research could triangulate this approach with blockchain transaction data, inspection results, and disclosure records to align consumer perceptions with institutional performance.

7. Patents

Approved by the National Copyright Administration of the People’s Republic of China (Lu Zuodeng Zi-2025-G- 00077415).

Author Contributions

Conceptualization, X.L. and X.Q.; Methodology, X.L.; Software, X.L. and X.Q.; Validation, X.L., X.Q. and M.C.; Formal analysis, X.L. and X.Q.; Investigation, X.L.; Resources, X.L.; Data curation, X.L.; Writing—original draft preparation, X.L.; Writing—review and editing, X.L. and Y.C.; Visualization, X.L. and X.Q.; Supervision, Y.C. and M.C.; Project administration, X.L.; Funding acquisition, X.L. All authors have read and agreed to the published version of the manuscript.

Funding

This enterprise funding project is jointly funded by Qixia Guoyan Green Agriculture Family Farm, with a unified social credit code of 92370686MAETEFQR21, and Hangzhou West Lake Scenic Area Reshape the Future Brand Planning Studio, with a unified social credit code of 92330101MA7C58KB7F.

Institutional Review Board Statement

Not applicable.

Informed Consent Statement

Not applicable.

Data Availability Statement

This dataset is open access and uploaded to ScienceDB, so you can access it yourself. https://www.scidb.cn/anonymous/bm1NUk52. DOI:10.57760/sciencedb.28359. Accessed on 18 September 2025.

Acknowledgments

We would like to thank all consumers who participated in this survey and provided real and valid agricultural product brand experience data, which provided great convenience and support for our research.

Conflicts of Interest

The authors declare no conflicts of interest.

Abbreviations

The following abbreviations are used in this manuscript:
PBAPerceived Brand Authenticity
BTBrand Transparency
CICultural Identification
POCPerceived Origin Cognition
DMDecision-maker
DPDecision Participant
BUYERSPurchasers
IPInformation Provider
QSQuality Supervisor
SCSimple Consumer
OCOrganic Certification
GFGreen Food
PRCPesticide Residue Certification
GIPGeographical Indication Product
PFAPPollution-Free Agricultural Products
TQRTraceability QR Code
NCCNot Certified
EQExperiential Quality
BEBrand Experience
SEService Experience
PPPost-purchase Experience
CTConsumer Trust
PIPurchase Intention
BLBrand Loyalty
EFPEnvironmentally Friendly Packaging
PCPurchase Convenience
PAPromotional Activities
EAEvidence Assetization
ECExperiential Closure
KPIKey Performance Indicators

Appendix A

Figure A1. Heat map of the predicted number of geographical indications of agricultural products in various provinces in China.
Figure A1. Heat map of the predicted number of geographical indications of agricultural products in various provinces in China.
Sustainability 17 09029 g0a1
Table A1. Scale Design.
Table A1. Scale Design.
VariableItemReference
Perceived Origin
Cognition (POC)
POC1 I want to clearly understand the origin information of [TARGET BRAND]’s agricultural products.[78,79]
POC2 The place of origin of [TARGET BRAND] makes me associate it with uniqueness, which increases my purchase intention.
POC3 Because the place of origin has a good reputation, I trust [TARGET BRAND] more.
POC4 When choosing [TARGET BRAND]’s agricultural products, I pay special attention to their place of origin.
Cultural Identification (CI)CI1 I identify with the local/region-based culture behind [TARGET BRAND].[80,81]
CI2 The culture expressed by [TARGET BRAND] gives me a sense of belonging.
CI3 The cultural symbols/images presented by [TARGET BRAND] clearly distinguish it from other brands.
Brand Transparency (BT)BT1 [TARGET BRAND] clearly explains its production process and sources.[82]
BT2 I can easily obtain [TARGET BRAND]’s product information and test reports.
BT3 [TARGET BRAND]’s stated values are consistent with its actual practices.
BT4 The information communicated by [TARGET BRAND] seems truthful and credible to me.
Brand Experience (BE)BE1 I have a positive impression of [TARGET BRAND]’s overall image and interactions.[83]
BE2 [TARGET BRAND]’s communications make it feel authentic and trustworthy.
BE3 [TARGET BRAND]’s appearance and packaging, and its emotional appeals, give me a favorable feeling.
Service Experience (SE)SE1 During the purchase process, [TARGET BRAND] provides professional service.[84]
SE2 The staff of [TARGET BRAND] make me feel respected and understood.
SE3 When I make inquiries, I receive timely responses and effective assistance.
Post-Purchase Experience (PP)PP1 I am satisfied overall with delivery, packaging, and usage instructions after purchase.[85]
PP2 In after-sales service, [TARGET BRAND] shows responsibility and efficiency.
PP3 When problems occur, [TARGET BRAND] handles them quickly and with sincerity.
Consumer Trust (CT)CT1 I am willing to trust [TARGET BRAND]’s products and related information.[86,87,88]
CT2 I believe [TARGET BRAND] will fulfill its promises to consumers.
CT3 [TARGET BRAND] feels reliable and dependable to me.
CT4 I believe [TARGET BRAND] has strong integrity.
Purchase Intention (PI)PI1 I am willing to try products from [TARGET BRAND].[68,89]
PI2 Among similar products, I would give priority to [TARGET BRAND].
PI3 If the price is reasonable, I will continue purchasing [TARGET BRAND].
PI4 I am willing to recommend [TARGET BRAND]’s products to others.

References

  1. Liu, X.; Qiao, X.; Liu, X.; Chen, M. Misaligned perceptions: Reverse effect of agricultural product brand image on consumer purchase intentions. J. Rural Stud. 2025, 119, 103739. [Google Scholar] [CrossRef]
  2. Xinhua. China Sees Robust Growth in Geographical Indication Products. 2025. Available online: https://english.cnipa.gov.cn/art/2025/7/21/art_2975_200708.html (accessed on 21 July 2025).
  3. Huang, Y.; Liu, H.; Guo, X.; Jiao, W. The Perception of the National Traceability Platform among Small-Scale Tea Farmers in Typical Agricultural Areas in Central China. Int. J. Environ. Res. Public Health 2022, 19, 16280. [Google Scholar] [CrossRef]
  4. Kouhizadeh, M.; Saberi, S.; Sarkis, J. Blockchain technology and the sustainable supply chain: Theoretically exploring adoption barriers. Int. J. Prod. Econ. 2021, 231, 107831. [Google Scholar] [CrossRef]
  5. Lin, J.; Zhang, Y.; Luo, J.; Xu, L. Traceability in agri-food supply chains: A review of blockchain implementation, challenges, and future research. Food Control 2022, 138, 109056. [Google Scholar] [CrossRef]
  6. Han, Y. Emotional connection drives trust: Research on the mechanism of building consumer trust through content marketing in live e-commerce. E-Commer. Rev. 2023, 61, 1–18. (In Chinese) [Google Scholar] [CrossRef]
  7. Jakku, E.; Taylor, B.; Fleming, A.; Mason, C.; Fielke, S.; Sounness, C.; Thorburn, P. “If they don’t tell us what they do with it, why would we trust them?” Trust, transparency and benefit-sharing in Smart Farming. NJAS Wagening. J. Life Sci. 2019, 90, 100285. [Google Scholar] [CrossRef]
  8. Goetzinger, P.; Spremic, M. Cross-Border E-Commerce and Its Implications for Consumer Protection (2019–2024): A Systematic Literature Review. Eur. J. Econ. 2025, 5, 1–7. [Google Scholar] [CrossRef]
  9. Liang, X.; Liu, Y.; Wang, N. Evolutionary game analysis of quality regulation in live streaming e-commerce: Insights from China. Humanit. Soc. Sci. Commun. 2025, 12, 1–20. [Google Scholar] [CrossRef]
  10. Cinelli, M.D.; LeBoeuf, R.A. Keeping it real: How perceived brand authenticity affects product perceptions. J. Consum. Psychol. 2020, 30, 40–59. [Google Scholar] [CrossRef]
  11. Wang, F. Research on the impact mechanism of smart marketing on social platforms on brand communication effectiveness. Financ. Manag. 2025, 1. (In Chinese) [Google Scholar] [CrossRef]
  12. Jin, W.; Zhang, W. The Impact of E-Commerce Live Streaming on Purchase Intention for Sustainable Green Agricultural Products: A Study in the Context of Agricultural Tourism Integration. Sustainability 2025, 17, 6850. [Google Scholar] [CrossRef]
  13. Yang, J.; Battocchio, A.F. Effects of transparent brand communication on perceived brand authenticity and consumer responses. J. Prod. Brand Manag. 2021, 30, 1176–1193. [Google Scholar] [CrossRef]
  14. Safeer, A.A.; He, Y.; Lin, Y.; Abrar, M.; Nawaz, Z. Impact of perceived brand authenticity on consumer behavior: An evidence from generation Y in Asian perspective. Int. J. Emerg. Mark. 2023, 18, 685–704. [Google Scholar] [CrossRef]
  15. Chen, C.F.; Chen, F.S. Experience quality, perceived value, satisfaction and behavioral intentions for heritage tourists. Tour. Manag. 2010, 31, 29–35. [Google Scholar] [CrossRef]
  16. Wu, H.C.; Ai, C.H. Synthesizing the effects of experiential quality, excitement, equity, experiential satisfaction on experiential loyalty for the golf industry: The case of Hainan Island. J. Hosp. Tour. Manag. 2016, 29, 41–59. [Google Scholar] [CrossRef]
  17. Sirdeshmukh, D.; Singh, J.; Sabol, B. Consumer trust, value, and loyalty in relational exchanges. J. Mark. 2002, 66, 15–37. [Google Scholar] [CrossRef]
  18. Hair, J.F.; Risher, J.J.; Sarstedt, M.; Ringle, C.M. When to use and how to report the results of PLS-SEM. Eur. Bus. Rev. 2019, 31, 2–24. [Google Scholar] [CrossRef]
  19. Beverland, M.B. Crafting brand authenticity: The case of luxury wines. J. Manag. Stud. 2005, 42, 1003–1029. [Google Scholar] [CrossRef]
  20. Napoli, J.; Dickinson, S.J.; Beverland, M.B.; Farrelly, F. Measuring consumer-based brand authenticity. J. Bus. Res. 2014, 67, 1090–1098. [Google Scholar] [CrossRef]
  21. Morhart, F.M.; Malär, L.; Guèvremont, A.; Girardin, F.; Grohmann, B. Brand authenticity: An integrative framework and measurement scale. J. Consum. Psychol. 2015, 25, 200–218. [Google Scholar] [CrossRef]
  22. Fritz, K.; Schoenmueller, V.; Bruhn, M. Authenticity in branding—Exploring antecedents and consequences of brand authenticity. Eur. J. Mark. 2017, 51, 324–348. [Google Scholar] [CrossRef]
  23. Thøgersen, J. How does origin labelling on food packaging influence consumer product evaluation and choices? A systematic literature review. Food Policy 2023, 119, 102503. [Google Scholar] [CrossRef]
  24. Lassoued, R.; Hobbs, J.E. Consumer confidence in credence attributes: The role of brand trust. Food Policy 2015, 52, 99–107. [Google Scholar] [CrossRef]
  25. Li, L.; Tian, P.; Dai, J.; Miao, F. Design of agricultural product traceability system based on blockchain and RFID. Sci. Rep. 2024, 14, 23599. [Google Scholar] [CrossRef]
  26. Uyar, H.; Papanikolaou, A.; Kapassa, E.; Touloupos, M.; Rizou, S. Blockchain-Enabled Traceability and Certification for Frozen Food Supply Chains: A Conceptual Design. Smart Agric. Technol. 2025, 221, 101085. [Google Scholar] [CrossRef]
  27. Apeh, O.O.; Nwulu, N.I. Improving traceability and sustainability in the agri-food industry: A blockchain perspective. Energy Nexus 2025, 17, 100388. [Google Scholar] [CrossRef]
  28. Li, W.; Song, R.; Yu, K. Consumer adoption of food blockchain traceability: Insights from integrating TAM and TR models. Front. Sustain. Food Syst. 2025, 9, 1515188. [Google Scholar] [CrossRef]
  29. Crescenzi, R.; De Filippis, F.; Pierangeli, F. Geographical indications and local development. Reg. Stud. 2022, 56, 381–393. [Google Scholar] [CrossRef]
  30. Zhang, G.; Xie, Z.; Li, Y. Why do consumers prefer a hometown geographical indication product? Int. J. Consum. Stud. 2023, 47, 74–85. [Google Scholar] [CrossRef]
  31. Tan, A.S.L.; Sia, C.H.; Chua, K.C. Consumer responses and determinants in geographical indications: A scoping review. F1000Research 2024, 13, 1410. [Google Scholar] [CrossRef]
  32. Bryła, P. The perception of EU quality signs for origin and organic food products: A survey among Polish consumers. Qual. Assur. Saf. Crops Foods 2017, 9, 345–355. [Google Scholar] [CrossRef]
  33. Albu, O.B.; Flyverbom, M. Organizational transparency: Conceptualizations, conditions, and consequences. Bus. Soc. 2019, 58. [Google Scholar] [CrossRef]
  34. Tran, D.; Schouteten, J.J.; Gellynck, X.; De Steur, H. How do consumers value food traceability? A meta-analysis. Food Control 2024, 162, 110453. [Google Scholar] [CrossRef]
  35. Wu, W.; Zhang, A.; van Klinken, R.D.; Schrobback, P.; Muller, J.M. Consumer Trust in Food and the Food System: A Critical Review. Foods 2021, 10, 2490. [Google Scholar] [CrossRef]
  36. Masengu, R.; Togo, M.; Maphosa, B. Sustainable food traceability: A comprehensive model for enhancing safety and resilience in the supply chain in the Oman food industry. Future Bus. J. 2025, 11. [Google Scholar] [CrossRef]
  37. Yang, G.; Li, X.; Xu, Z. Exploring the influence of live streaming on consumer purchase intention: The role of trust and impulsiveness. Acta Psychologica. 2024, 249, 104415. [Google Scholar] [CrossRef]
  38. Nguyen, T.K. Building platform trust for live stream commerce. Cogent Bus. Manag. 2025, 12, 2482852. [Google Scholar] [CrossRef]
  39. Chang, Y.-H.; Liu, C.; Zhang, W. Socio-technical systems and trust transfer in live streaming e-commerce: Analyzing stickiness and purchase intentions with SEM-fsQCA. Front. Commun. 2024, 9, 1305409. [Google Scholar] [CrossRef]
  40. Riefler, P. Local versus global food consumption: The role of brand authenticity. J. Consum. Mark. 2020, 37, 317–327. [Google Scholar] [CrossRef]
  41. Liu, Q.; Wang, X. The impact of brand trust on consumers’ behavior toward agricultural products’ regional public brand. PLoS ONE 2023, 18, e0295133. [Google Scholar] [CrossRef]
  42. Parasuraman, A.; Zeithaml, V.A.; Berry, L.L. SERVQUAL: A multiple-item scale for measuring consumer perceptions of service quality. J. Retail. 1988, 64, 12–37. Available online: https://www.scirp.org/reference/referencespapers?referenceid=1937458 (accessed on 25 September 2025).
  43. Meyer, C.; Schwager, A. Understanding customer experience. Harv. Bus. Rev. 2007, 85, 116–126. Available online: https://hbsp.harvard.edu/product/R0702G-PDF-ENG (accessed on 1 February 2007).
  44. Leong, C.-M.; Hew, T.-S.; Ooi, K.-B.; Lin, B. The influence of social media eWOM information on purchase intention: A theory of planned behavior perspective. Int. J. Inf. Manag. 2021, 58, 102461. [Google Scholar] [CrossRef]
  45. Experience, B.J.B. What Is It? How Is It Measured? Does It Affect Loyalty. J. Mark. 2009, 39, 52–68. [Google Scholar]
  46. Lemon, K.N.; Verhoef, P.C. Understanding customer experience throughout the customer journey. J. Mark. 2016, 80, 69–96. [Google Scholar] [CrossRef]
  47. Panya, V.; Leelasantitham, A. AI-Powered Personalization in Online Shopping: Key Factors Influencing Customer Retention. J. Mob. Multimed. 2025, 21, 307–342. [Google Scholar] [CrossRef]
  48. Peng, Y.; Wang, Y.; Li, J.; Yang, Q. Impact of AI-oriented live-streaming E-commerce service failures on consumer disengagement—empirical evidence from China. J. Theor. Appl. Electron. Commer. Res. 2024, 19, 1580–1598. [Google Scholar] [CrossRef]
  49. Dong, X.; Liu, H.; Xi, N.; Liao, J.; Yang, Z. Short video marketing: What, when and how short-branded videos facilitate consumer engagement. Internet Res. 2024, 34, 1104–1128. [Google Scholar] [CrossRef]
  50. Grewal, D.; Roggeveen, A.L. Understanding retail experiences and customer journey management. J. Retail. 2020, 96, 3–8. [Google Scholar] [CrossRef]
  51. Lin, X.; Mamun, A.A.; Yang, Q.; Masukujjaman, M. Examining the effect of logistics service quality on customer satisfaction and re-use intention. PLoS ONE 2023, 18, e0286382. [Google Scholar] [CrossRef]
  52. Pu, M.; Liu, X.; Chen, Y. The factors influencing customer loyalty in fresh food e-commerce: Evidence from China. J. Ind. Manag. Optim. 2025, 21, 1673–1685. [Google Scholar] [CrossRef]
  53. Abbate, T.; Codini, A.; Aquilani, B.; Vrontis, D. From knowledge ecosystems to capabilities ecosystems: When open innovation digital platforms lead to value co-creation. J. Knowl. Econ. 2022, 13, 290–304. [Google Scholar] [CrossRef]
  54. Tajvidi, M.; Richard, M.O.; Wang, Y.; Hajli, N. Brand co-creation through social commerce information sharing: The role of social media. J. Bus. Res. 2020, 121, 476–486. [Google Scholar] [CrossRef]
  55. Ju, J.; Teo, P.C.; Adnan, H. Navigating the Chinese purchase intent in fresh agricultural product live streaming: Anchor features, perceived risk and consumer confidence. Asia Pac. J. Mark. Logist. 2025. [Google Scholar] [CrossRef]
  56. Ma, N.; Zhang, X.; Liu, Q. The impact of information literacy on farmers’ participation in e-commerce: The mediating role of perceived benefits and perceived risks and the moderating role of government support. J. Libr. Inf. Sci. Agric. 2025, 37, 88–99. [Google Scholar] [CrossRef]
  57. Nguyen, T.M.; Quach, S.; Thaichon, P. The effect of AI quality on customer experience and brand relationship. J. Consum. Behav. 2022, 21, 481–493. [Google Scholar] [CrossRef]
  58. Wen, J.; Li, X. AI Digital Human Responsiveness and Consumer Purchase Intention: The Mediating Role of Trust. J. Theor. Appl. Electron. Commer. Res. 2025, 20, 246. [Google Scholar] [CrossRef]
  59. Ma, Z.; Si, S.; Kannan, P.K. Post-purchase trust in e-commerce: A theoretical framework and a text mining-based assessment method. Int. J. Hum. Comput. Interact. 2023, 39, 3704–3721. [Google Scholar] [CrossRef]
  60. Homburg, C.; Jozic, D.; Kuehnl, C. Customer experience management: Toward implementing an evolving marketing concept. J. Acad. Mark. Sci. 2017, 45, 377–401. [Google Scholar] [CrossRef]
  61. Weidig, J.; Kleinaltenkamp, M.; Homburg, C. Personalized touchpoints and customer experience: A conceptual synthesis. J. Bus. Res. 2024, 171, 114208. [Google Scholar] [CrossRef]
  62. Morgan, R.M.; Hunt, S.D. The commitment–trust theory of relationship marketing. J. Mark. 1994, 58, 20–38. [Google Scholar] [CrossRef]
  63. Chaudhuri, A.; Holbrook, M.B. The chain of effects from brand trust and brand affect to brand performance: The role of brand loyalty. J. Mark. 2001, 65, 81–93. [Google Scholar] [CrossRef]
  64. Vahdanjoo, M.; Sørensen, C.G.; Nørremark, M. Digital transformation of the agri-food system. Curr. Opin. Food Sci. 2025, 101287. [Google Scholar] [CrossRef]
  65. Cheng, Y.; Pang, Y. The impact of logistics service quality on consumer loyalty in cross-border e-commerce fruit and vegetable supply chain. J. Cent. South Univ. For. Technol. 2024, 44. [Google Scholar] [CrossRef]
  66. Nuttavuthisit, K.; Thøgersen, J. The importance of consumer trust for the emergence of a market for green products: The case of organic food. J. Bus. Ethics 2017, 140, 323–337. [Google Scholar] [CrossRef]
  67. Nguyen, M.H.; Nguyen, D.H. How do transparency and traceability enhance purchasing behaviors via consumer trust? Insights for food supply chains. J. Consum. Mark. 2025. [Google Scholar] [CrossRef]
  68. Brakus, J.J.; Schmitt, B.H.; Zarantonello, L. Brand experience: What is it? How is it measured? Does it affect loyalty? J. Mark. 2009, 73, 52–68. [Google Scholar] [CrossRef]
  69. Li, L.; Li, G.; Feng, X.; Liu, Z.; Tsai, F.S. Moderating effect of dynamic environment in the relationship between guanxi, trust, and repurchase intention of agricultural materials. Int. J. Environ. Res. Public Health 2019, 16, 3773. [Google Scholar] [CrossRef]
  70. Loebnitz, N.; Grunert, K.G. Let us be realistic: The impact of perceived brand authenticity and advertising image on consumers’ purchase intentions of food brands. Int. J. Consum. Stud. 2022, 46, 309–323. [Google Scholar] [CrossRef]
  71. Tangnatthanakrit, S. Building Trust Through Innovative Trust Building Process: The Case of Organic Food Market in Thailand. Ph.D. Thesis, Chulalongkorn University, Bangkok, Thailand, 2019. [Google Scholar]
  72. Tonkin, E.; Wilson, A.M.; Coveney, J.; Meyer, S.B.; Henderson, J.; McCullum, D.; Webb, T.; Ward, P.R. Consumers respond to a model for (re) building consumer trust in the food system. Food Control 2019, 101, 112–120. [Google Scholar] [CrossRef]
  73. Mohd Salim, M.N.H.; Azinuddin, M.; Wan Mohd Zain, W.M.A.; Mior Shariffuddin, N.S.; Ibrahim, M.A.; Zainul, N.H. Pixels to palates: Social media foodscape influence on e-Trust, experience and gastronomic intentions. J. Foodserv. Bus. Res. 2024, 1–31. [Google Scholar] [CrossRef]
  74. Sharkasi, N.; Agag, G. How does risk interplay with trust in pre-and post-purchase intention to engage: PLS-SEM and ML classification approach. J. Mark. Anal. 2024, 1–35. [Google Scholar] [CrossRef]
  75. Margariti, K. “White” space and organic claims on food packaging: Communicating sustainability values and affecting young adults’ attitudes and purchase intentions. Sustainability 2021, 13, 11101. [Google Scholar] [CrossRef]
  76. Calvo Porral, C.; Lévy-Mangin, J.-P. Food private label brands: The role of consumer trust on loyalty and purchase intention. Br. Food J. 2016, 118, 679–696. [Google Scholar] [CrossRef]
  77. Ibrahim, M.A.; Wan Mohd Zain, W.M.A.; Mior Shariffuddin, N.S.; Azinuddin, M.; Mohd Salim, M.N.H.; Zainul, N.H. Crafting food destination image in the social media age: Dynamics of consumption, experience and culture differences. J. Hosp. Tour. Insights 2025, 8, 1907–1926. [Google Scholar] [CrossRef]
  78. Gajdić, D. Information Sharing and Trust in Organic Agri-Food Chains. In Trust and Supply Chains; Routledge: Oxford, UK, 2024; pp. 201–219. [Google Scholar]
  79. Awuni, J.A.; Du, J. Sustainable consumption in Chinese cities: Green purchasing intentions of young adults based on the theory of consumption values. Sustain. Dev. 2016, 24, 124–135. [Google Scholar] [CrossRef]
  80. Moschini, G.; Menapace, L.; Pick, D. Geographical indications and the competitive provision of quality in agricultural markets. Am. J. Agric. Econ. 2008, 90, 794–812. [Google Scholar] [CrossRef]
  81. Lemke, F.; Clark, M.; Wilson, H. Customer experience quality: An exploration in business and consumer contexts using repertory grid technique. J. Acad. Mark. Sci. 2011, 39, 846–869. [Google Scholar] [CrossRef]
  82. Teng, L.; Laroche, M. Building and testing models of consumer purchase intention in competitive and multicultural environments. J. Bus. Res. 2007, 60, 260–268. [Google Scholar] [CrossRef]
  83. Martins, J.; Costa, C.; Oliveira, T.; Gonçalves, R.; Branco, F. How smartphone advertising influences consumers’ purchase intention. J. Bus. Res. 2019, 94, 378–387. [Google Scholar] [CrossRef]
  84. Van Ittersum, K.; Candel, M.J.; Meulenberg, M.T. The influence of the image of a product’s region of origin on product evaluation. J. Bus. Res. 2003, 56, 215–226. [Google Scholar] [CrossRef]
  85. Loureiro, M.L.; McCluskey, J.J. Assessing consumer response to protected geographical identification labeling. Agribus. Int. J. 2000, 16, 309–320. [Google Scholar] [CrossRef]
  86. Bhattacharya, C.B.; Sen, S. Consumer–company identification: A framework for understanding consumers’ relationships with companies. J. Mark. 2003, 67, 76–88. [Google Scholar] [CrossRef]
  87. Tuškej, U.; Golob, U.; Podnar, K. The role of consumer–brand identification in building brand relationships. J. Bus. Res. 2013, 66, 53–59. [Google Scholar] [CrossRef]
  88. Schnackenberg, A.K.; Tomlinson, E.C. Organizational transparency: A new perspective on managing trust in organization-stakeholder relationships. J. Manag. 2016, 42, 1784–1810. [Google Scholar] [CrossRef]
  89. Joshi, R.; Garg, P. Role of brand experience in shaping brand love. Int. J. Consum. Stud. 2021, 45, 259–272. [Google Scholar] [CrossRef]
  90. Gupta, A. Redefining service quality scale with customer experience quality scale: A critical review. Int. J. Serv. Oper. Manag. 2016, 25, 48–64. [Google Scholar] [CrossRef]
  91. McColl-Kennedy, J.R.; Gustafsson, A.; Jaakkola, E.; Klaus, P.; Radnor, Z.J.; Perks, H.; Friman, M. Fresh perspectives on customer experience. J. Serv. Mark. 2015, 29, 430–435. [Google Scholar] [CrossRef]
  92. Xu, X.; Wang, L.; Yang, Y. The dilution effect of negative online word-of-mouth on tourism destination brand equity: The moderating role of familiarity and susceptibility. Hum. Geogr. 2015, 30, 126–133. (In Chinese) [Google Scholar] [CrossRef]
  93. Zhan, X. Research on the formation mechanism of customer loyalty in the relationship marketing paradigm. Jiangxi Soc. Sci. 2012, 5, 222–227. (In Chinese) [Google Scholar]
  94. Curvelo, I.C.G.; Watanabe, E.A.D.M.; Alfinito, S. Purchase intention of organic food under the influence of attributes, consumer trust and perceived value. J. Revista Gestão. 2019, 26, 15–37. [Google Scholar] [CrossRef]
  95. Dodds, W.B.; Monroe, K.B.; Grewal, D. Effects of price, brand, and store information on buyers’ product evaluations. J. Mark. Res. 1991, 28, 307–319. [Google Scholar] [CrossRef]
  96. Yoon, S.J. The antecedents and consequences of trust in online-purchase decisions. J. Interact. Mark. 2002, 16, 47–63. [Google Scholar] [CrossRef]
  97. Dawes, J. Do data characteristics change according to the number of scale points used? An experiment using 5-point, 7-point and 10-point scales. Int. J. Mark. Res. 2008, 50, 61–104. [Google Scholar] [CrossRef]
  98. China Internet Network Information Center. The 54th Statistical Report on China’s Internet Development. Beijing: CNNIC. 2024. Available online: https://www.cnnic.com.cn/IDR/ReportDownloads/202411/P020241101318428715781.pdf (accessed on 25 September 2025).
  99. China Global Television Network (CGTN). China’s Internet Users Reach 1.12 Billion, Internet Penetration Hits 79.7%. Available online: https://english.cctv.com/2025/07/22/ARTIYLfG0WwAolKEt4oFagmY250722.shtml (accessed on 22 July 2025).
  100. Forbes Technology Council. How Live Shopping is Changing the Retail Landscape Across the Globe. Forbes. Available online: https://www.forbes.com/councils/forbestechcouncil/2025/02/03/how-live-shopping-is-changing-the-retail-landscape-across-the-globe (accessed on 3 February 2025).
  101. Kemp, S. Digital 2025: China. DataReportal. 2025. Available online: https://datareportal.com/reports/digital-2025-china (accessed on 25 February 2025).
  102. U.S. Department of Commerce, International Trade Administration. China—eCommerce. Country Commercial Guide. 2024. Available online: https://www.trade.gov/country-commercial-guides/china-ecommerce (accessed on 25 September 2025).
  103. Gupta, N.; Bhattacharjee, M.; Saha, A.R. Agricultural fruits and vegetables consumption with consumer segmentation with Pearson’s correlation and cluster analysis. Int. J. Agric. Stat. Sci. 2022, 18, 711. [Google Scholar]
  104. Stan, V.; Saporta, G. Conjoint Use of Variables Clustering and PLS Structural Equations Modeling. In Handbook of Partial Least Squares: Concepts, Methods and Applications; Springer: Berlin/Heidelberg, Germany, 2009; pp. 235–246. [Google Scholar] [CrossRef]
  105. Zhang, L.; Xu, Y.; Oosterveer, P.; Mol, A.P. Consumer trust in different food provisioning schemes: Evidence from Beijing, China. J. Clean. Prod. 2016, 134, 269–279. [Google Scholar] [CrossRef]
  106. STATORIALS. Jaccard Similarity Index Simple Explanation. (Benjamin Anderson) 2023. Available online: https://statorials.org/cn/%E6%9D%B0%E5%8D%A1%E5%BE%B7%E7%9B%B8%E4%BC%BC%E5%BA%A6/ (accessed on 26 July 2023).
  107. Bag, S.; Kumar, S.K.; Tiwari, M.K. An efficient recommendation generation using relevant Jaccard similarity. Inf. Sci. 2019, 483, 53–64. [Google Scholar] [CrossRef]
  108. Ghasemy, M.; Teeroovengadum, V.; Becker, J.M.; Ringle, C.M. This fast car can move faster: A review of PLS-SEM application in higher education research. High. Educ. 2020, 80, 1121–1152. [Google Scholar] [CrossRef]
Figure 1. Consumer psychological processes in live streaming environments.
Figure 1. Consumer psychological processes in live streaming environments.
Sustainability 17 09029 g001
Figure 2. Structural model of brand perception authenticity.
Figure 2. Structural model of brand perception authenticity.
Sustainability 17 09029 g002
Figure 3. Agricultural Products-Fruit Brand Introduction.
Figure 3. Agricultural Products-Fruit Brand Introduction.
Sustainability 17 09029 g003
Figure 4. Pre-test data sources.
Figure 4. Pre-test data sources.
Sustainability 17 09029 g004
Figure 5. Pre-test data sources.
Figure 5. Pre-test data sources.
Sustainability 17 09029 g005
Figure 6. Heat map correlation analysis of household agricultural product purchasing roles.
Figure 6. Heat map correlation analysis of household agricultural product purchasing roles.
Sustainability 17 09029 g006
Figure 7. Cluster heat map correlation analysis of channel preference.
Figure 7. Cluster heat map correlation analysis of channel preference.
Sustainability 17 09029 g007
Figure 8. Heatmap correlation analysis of agricultural product label preferences clusters.
Figure 8. Heatmap correlation analysis of agricultural product label preferences clusters.
Sustainability 17 09029 g008
Figure 9. Heatmap correlation analysis of agricultural product attribute preferences clusters.
Figure 9. Heatmap correlation analysis of agricultural product attribute preferences clusters.
Sustainability 17 09029 g009
Figure 10. Cluster heat map of consumers’ acceptance of price premium.
Figure 10. Cluster heat map of consumers’ acceptance of price premium.
Sustainability 17 09029 g010
Figure 11. Applied governance framework linking authenticity, experience, and trust in agricultural branding.
Figure 11. Applied governance framework linking authenticity, experience, and trust in agricultural branding.
Sustainability 17 09029 g011
Table 1. Analysis of questionnaire prediction reliability and validity.
Table 1. Analysis of questionnaire prediction reliability and validity.
Variables:Number of ItemsKMO ValueCronbach AlphaSignificance
Brand authenticity110.9340.9670.000
Source of perception40.8420.9090.000
Cultural identity30.7510.9140.000
Brand transparency40.8290.9090.000
Experience quality90.9150.9560.000
Brand experience30.7230.8450.000
Service experience30.7580.9120.000
Post-purchase experience30.7240.8760.000
Consumer trust40.8260.9030.000
Purchase intention40.8440.9010.000
Overall validity280.9430.9860.000
Total variance explained totalPercentage of varianceCumulative %
20.41572.9172.91
Extraction method: principal component analysis.
Table 2. Descriptive statistics, n = 636.
Table 2. Descriptive statistics, n = 636.
VariablesItemFrequencyPercentage
Gender:Male26541.7
Female37158.3
Age:19–3024738.8
31–4018529.1
41–509314.6
51–607611.9
60 and above355.5
Monthly Income:Under 4500 RMB8513.4
4500–5500 RMB11718.4
5500–6500 RMB13320.9
6500–7500 RMB18929.7
7500–8500 RMB6810.7
Over 8500 RMB446.9
Education:High school or below8413.2
Junior college15324.1
Bachelor’s degree26341.4
Master’s degree13621.4
Permanent Household Residents1274.2
218829.6
327242.8
4 or more people14923.4
Table 3. Contingency tables and Cramér’s V/χ2.
Table 3. Contingency tables and Cramér’s V/χ2.
Gender Age Income Education
OptionCramér’s VX2Cramér’s VX2Cramér’s VX2Cramér’s VX2
Decision-maker0.0965.8980.18120.8710.13511.5370.0250.405
Purchaser(buyers)0.0925.3260.13711.9630.0672.8360.1310.812
Information Provider0.0783.8310.15415.0450.13411.3390.1036.762
Simple Consumer0.0632.560.0844.450.0996.1880.1097.55
Decision Participant0.030.5670.12910.5320.13812.160.1057.065
Quality Supervisor0.0080.0450.1026.6350.12810.4020.095.139
Table 4. Contingency tables and Cramér’s V/χ2.
Table 4. Contingency tables and Cramér’s V/χ2.
Gender Age Income Education
OptionCramér’s VX2Cramér’s VX2Cramér’s VX2Cramér’s VX2
2. Community Fresh Food Store0.0895.0540.0743.4490.1718.3470.1056.967
2. E-commerce Platform0.0874.7770.1412.4460.1229.4010.0461.322
2. Direct Sales Cooperative0.073.1450.0814.2020.0955.7540.0976.014
2. Supermarket0.0612.3490.1178.7030.1310.7780.15515.196
2. Other0.0280.5110.15415.0130.1249.7210.0713.173
2. Farmers’ Market0.00100.1616.2790.1616.2640.1138.063
Table 5. Contingency tables and Cramér’s V/χ2.
Table 5. Contingency tables and Cramér’s V/χ2.
Gender Age Income Education
OptionCramér’s VX2Cramér’s VX2Cramér’s VX2Cramér’s VX2
Pollution-Free Agricultural Products0.1259.9450.1229.4450.1158.4690.1138.11
Pesticide Residue Certification0.1067.1880.117.7240.129.1450.15214.704
Traceability QR Code0.0854.570.0733.4080.0733.3950.0824.262
Green Food0.0713.1820.1097.5280.129.1670.14212.835
Organic Certification0.0672.8530.1158.3420.1046.8550.16417.016
Geographical Indication Product0.0652.6670.1036.770.0925.3820.13311.193
Not Certified0.0612.3480.18421.5170.14212.910.12610.076
Other0.0380.9410.13711.9260.0864.6720.0652.697
Table 6. Contingency tables and Cramér’s V/χ2.
Table 6. Contingency tables and Cramér’s V/χ2.
Gender Age Income Education
OptionCramér’s VX2Cramér’s VX2Cramér’s VX2Cramér’s VX2
Environmentally friendly packaging0.0370.8840.0582.1690.0773.7310.0330.681
Freshness0.030.5860.0945.610.13411.4040.14112.651
purchasing convenience0.0240.380.0976.0410.0814.2140.0996.212
Other0.0240.360.0541.8390.1148.2630.0421.131
Price0.0170.1890.0793.9830.0864.7080.0390.971
Brand trust0.0130.1140.1249.8030.117.7490.1087.38
Origin0.0120.0870.0682.9350.0713.2480.0693.01
Promotional activities0.0120.0950.0612.3710.0793.9980.0531.791
Safety0.0090.0550.0834.3920.0733.4190.0965.895
Table 7. Contingency tables and Cramér’s V/χ2.
Table 7. Contingency tables and Cramér’s V/χ2.
OptionCramér’s VX2
Gender0.010.06
Age0.14727.57
Income0.0869.48
Education0.10313.49
Table 8. Latent variable model indicator test.
Table 8. Latent variable model indicator test.
PathLoadingCronbach’s AlphaComposite Reliability (rho_a)CRAVE
BE10.9270.930.9320.9560.878
BE20.937
BE30.947
BT10.90.8910.8920.9250.754
BT20.849
BT30.87
BT40.854
CI10.8820.9090.910.9430.847
CI20.947
CI30.93
CT10.8620.8820.8840.9180.738
CT20.873
CT30.831
CT40.869
OR10.8290.8880.8880.9220.748
OR20.874
OR30.879
OR40.877
PI10.8940.9130.9160.9390.794
PI20.897
PI30.832
PI40.938
PP10.8870.8690.8710.920.792
PP20.88
PP30.903
SE10.9020.8660.8660.9180.789
SE20.877
SE30.885
Table 9. Effectiveness Fornell-Larcker test.
Table 9. Effectiveness Fornell-Larcker test.
BEBTCICTPOCPIPPSE
BE0.937
BT0.4820.869
CI0.5690.5540.920
CT0.4550.5750.5120.859
OR0.5060.5690.5410.5810.865
PI0.4040.5020.4940.5140.5370.891
PP0.4470.3720.5620.4100.4140.5480.890
SE0.4150.4430.5460.4560.4220.5730.5470.888
Table 10. Effectiveness HTMT test.
Table 10. Effectiveness HTMT test.
BEBTCICTPOCPIPPSE
BE
BT0.529
CI0.6180.616
CT0.5020.6470.571
OR0.5570.6400.6020.656
PI0.4380.5560.5430.5710.596
PP0.4950.4220.6310.4660.4720.614
SE0.4610.5040.6160.5200.4820.6440.628
Table 11. Multicollinearity test.
Table 11. Multicollinearity test.
PathOuter WeightVIFT-ValueSignificance
BT <- PRA0.3821.69437.3240.000
CI <- PRA0.4191.61931.2640.000
POC <- PRA0.3921.66036.9070.000
PP <- EQ0.4071.55626.2800.000
SE <- EQ0.4321.50526.3630.000
Table 12. Direct effect test.
Table 12. Direct effect test.
HypothesisCoefficientT-ValueS.D.LLCIULCISignificanceResult
H5: CT -> PI0.2396.1480.0390.1650.3180.000Support
H4: EQ -> PI0.50311.9680.0420.4170.5810.000Support
H3: EQ -> CT0.1533.6260.0420.0740.2370.000Support
H2: PRA -> CT0.55310.2610.0540.4460.6540.000Support
H1: PRA -> EQ0.71425.3970.0280.6550.7670.000Support
Table 13. Mediation effect test.
Table 13. Mediation effect test.
HypothesisEffectT-ValueLLCIULCISignificanceResult
H6: PRA -> EQ -> CT0.1103.4860.0520.1730.000Support
H7: PRA -> EQ -> PI0.35912.2150.3000.4150.000Support
H8: PRA -> CT -> PI0.1324.8150.0830.1900.000Support
H9: PRA -> EQ -> CT -> PI0.0262.9450.0120.0460.003Support
H10: EQ -> CT -> PI0.0373.1140.0170.0620.002Support
Table 14. Alternative explanations, mechanisms, and implications for our findings.
Table 14. Alternative explanations, mechanisms, and implications for our findings.
FactorHow Could It Explain the ResultsRelation to Our ModelWhat We Did/Future Test
Cultural consumption patterns (gift-giving, face, regional tastes, guanxi)Increases WTP independent of authenticity signalsModerates PBA → Trust/PIControl demographics; discuss boundary; future: include gift-giving propensity/regional taste scales
Macroeconomic context (income uncertainty, inflation, consumer confidence)Expands/compresses premium acceptanceModerates Trust → PIReport period context; future: panel across cycles; IV using local macro indices
Platform & influencer effects (KOL, social proof)Shifts credibility via endorsements/exposureParallel pathway to authenticityInclude channel controls; future: scrape ratings/endorsement data
Supply chain & seasonalityAffects EQ regardless of PBAModerates PBA → EQNote in limitations: future: logistics KPIs/season dummies
Promotion intensity & priceDrives short-term purchaseCompetes with authenticity pathDiscuss price sensitivity; experiment: evidence density vs. discounting
Disclaimer/Publisher’s Note: The statements, opinions and data contained in all publications are solely those of the individual author(s) and contributor(s) and not of MDPI and/or the editor(s). MDPI and/or the editor(s) disclaim responsibility for any injury to people or property resulting from any ideas, methods, instructions or products referred to in the content.

Share and Cite

MDPI and ACS Style

Liu, X.; Qiao, X.; Chen, Y.; Chen, M. The Dilemma of the Sustainable Development of Agricultural Product Brands and the Construction of Trust: An Empirical Study Based on Consumer Psychological Mechanisms. Sustainability 2025, 17, 9029. https://doi.org/10.3390/su17209029

AMA Style

Liu X, Qiao X, Chen Y, Chen M. The Dilemma of the Sustainable Development of Agricultural Product Brands and the Construction of Trust: An Empirical Study Based on Consumer Psychological Mechanisms. Sustainability. 2025; 17(20):9029. https://doi.org/10.3390/su17209029

Chicago/Turabian Style

Liu, Xinwei, Xiaoyang Qiao, Yongwei Chen, and Maowei Chen. 2025. "The Dilemma of the Sustainable Development of Agricultural Product Brands and the Construction of Trust: An Empirical Study Based on Consumer Psychological Mechanisms" Sustainability 17, no. 20: 9029. https://doi.org/10.3390/su17209029

APA Style

Liu, X., Qiao, X., Chen, Y., & Chen, M. (2025). The Dilemma of the Sustainable Development of Agricultural Product Brands and the Construction of Trust: An Empirical Study Based on Consumer Psychological Mechanisms. Sustainability, 17(20), 9029. https://doi.org/10.3390/su17209029

Note that from the first issue of 2016, this journal uses article numbers instead of page numbers. See further details here.

Article Metrics

Back to TopTop