Effect of Selenium on Growth, Physio-Biochemical and Yield Traits of Lettuce under Limited Water Regimes
Abstract
1. Introduction
2. Materials and Methods
2.1. Research Location, Experimental Design and Treatments
2.2. Experiment Setup and Maintenance
2.3. Measurement of Growth and Biomass Attributes
2.4. Physio-Biochemical Attributes
2.5. Enzymatic Antioxidants Activities and Water-Related Attributes
2.6. Osmolyte Attributes
2.7. Statistical Analysis
3. Results
3.1. Growth Attributes
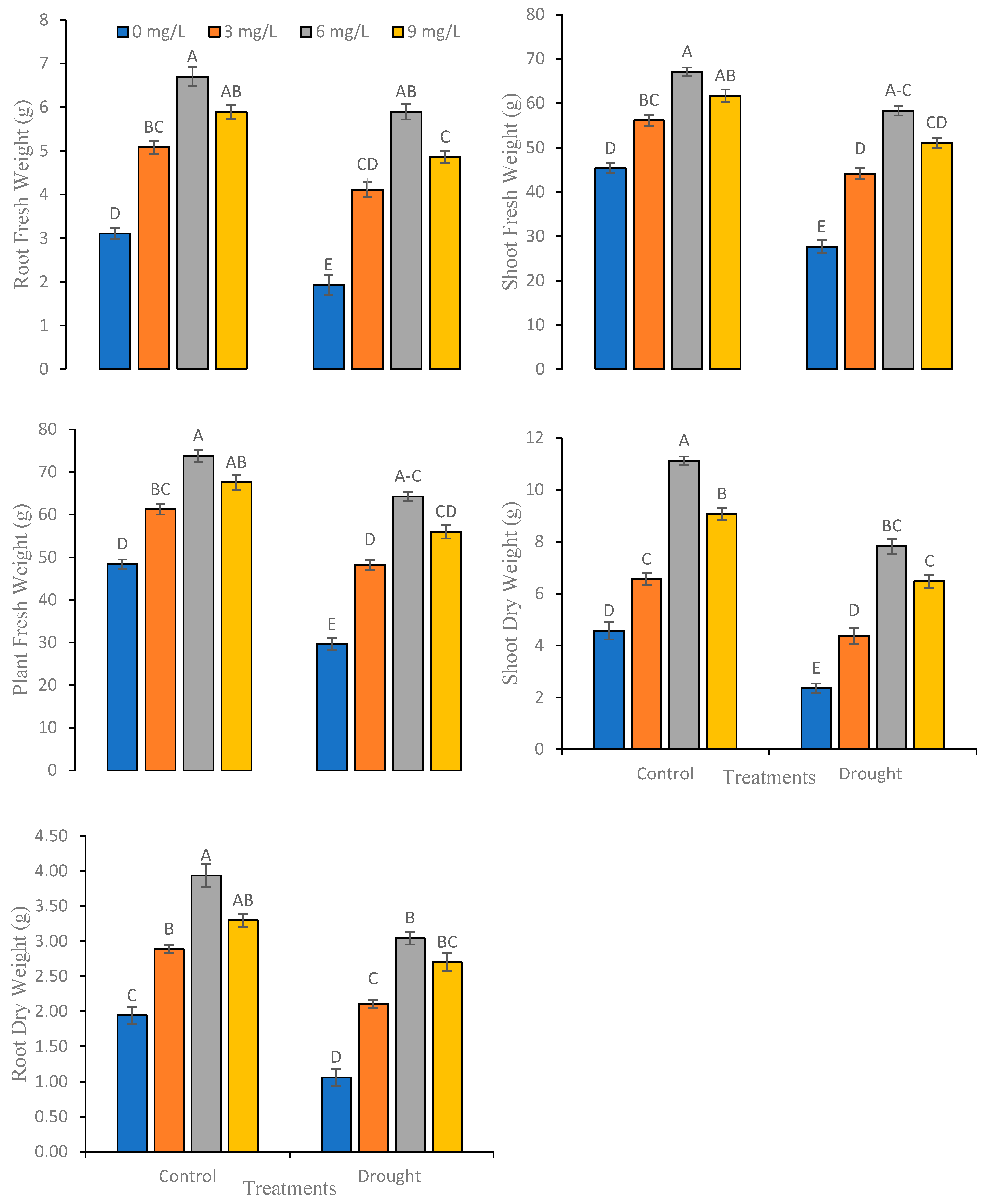
3.2. Fresh and Dry Biomass
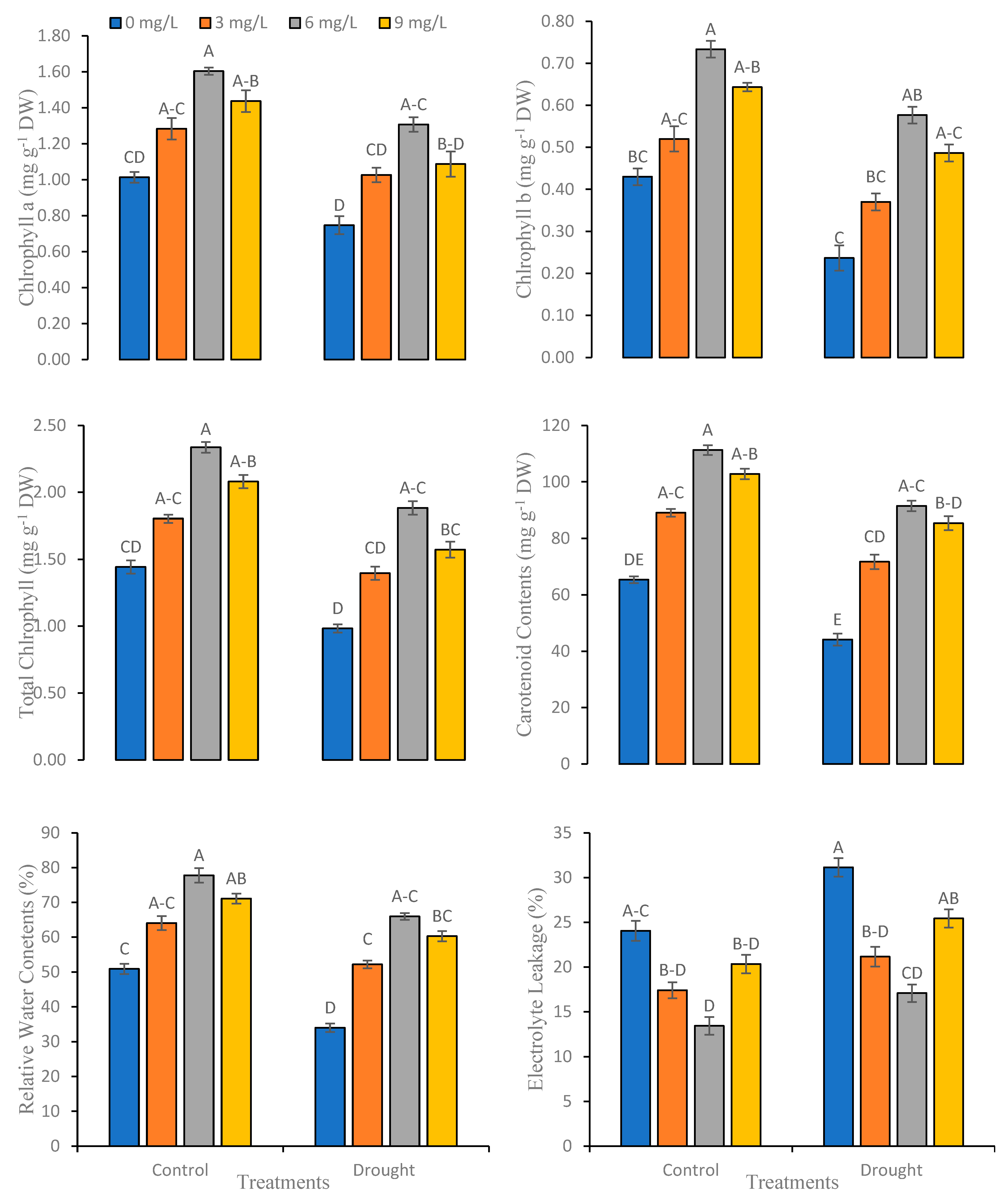
3.3. Biochemical and Water-Related Attributes
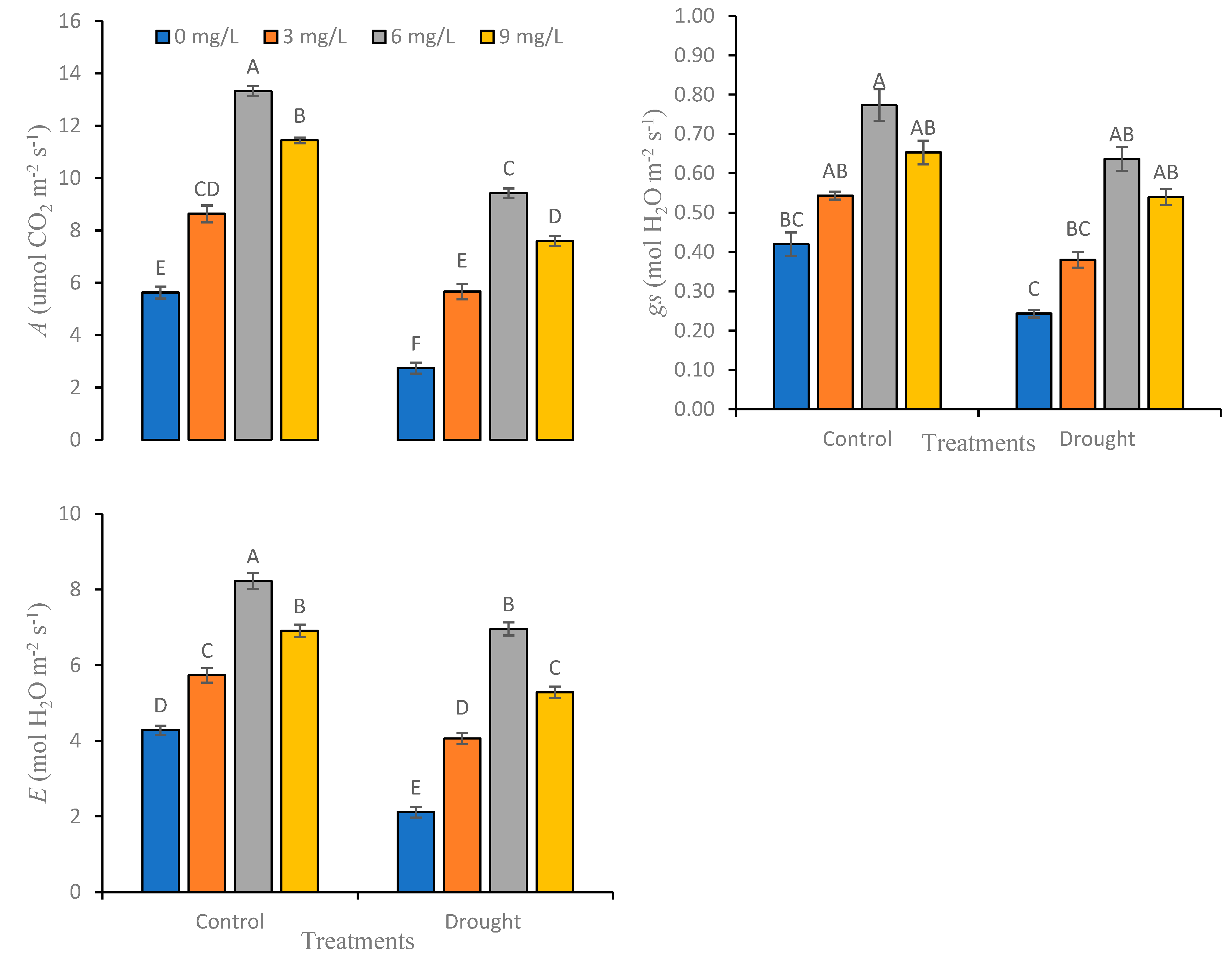
3.4. Physiological Attributes
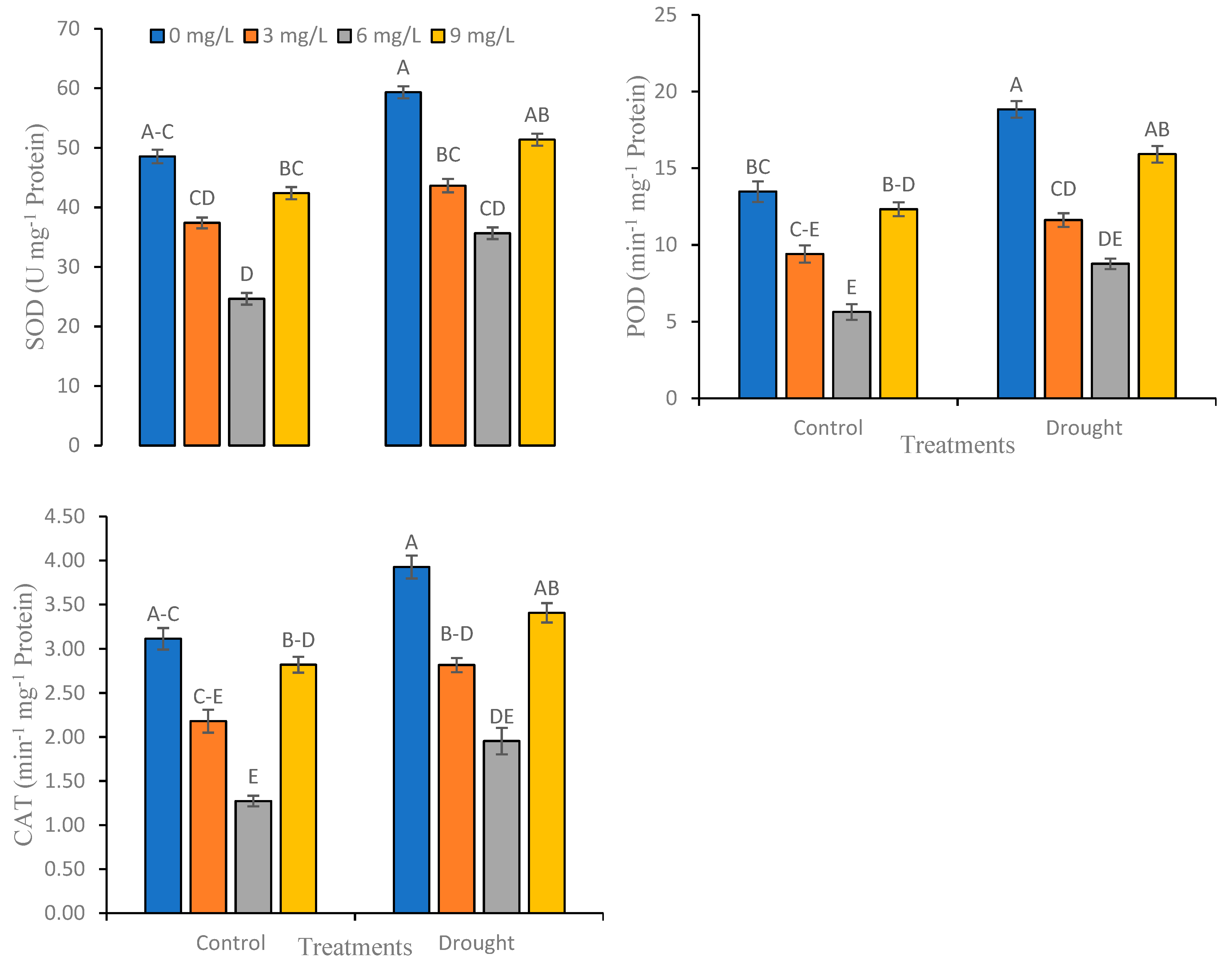
3.5. Enzymatic Antioxidant Activity and Lipid Peroxidation Attributes
3.6. Osmolyte Attributes
3.7. Correlation Matrix
3.8. Regression Analysis
3.9. Principal Component Analysis
4. Discussion
5. Conclusions
Author Contributions
Funding
Institutional Review Board Statement
Informed Consent Statement
Data Availability Statement
Acknowledgments
Conflicts of Interest
Correction Statement
Abbreviations
| Se | Selenium |
| POD | Peroxidase Activity |
| SOD | Superoxide Dismutase activity |
| CAT | Catalase Activity |
| FW | Fresh Weight |
| DW | Dry Weight |
| TW | Turgid Weight |
| EC | Electrical Conductivity |
| RWC | Relative Water Contents |
| HSD | Highest Significant Difference |
References
- Ahmad, Z.; Waraich, E.A.; Barutçular, C.; Hossain, A.; Erman, M.; Çiğ, F.; Gharib, H.; El-Sabagh, A. Enhancing drought tolerance in wheat through improving morpho-physiological and antioxidants activities of plants by the supplementation of foliar silicon. Phyton Int. J. Exp. Bot. 2020, 89, 529–539. [Google Scholar] [CrossRef]
- Wang, L.; D’Odorico, P.; Evans, J.P.; Eldridge, D.J.; McCabe, M.F.; Caylor, K.K.; King, E.G. Dryland ecohydrology and climate change: Critical issues and technical advances. Hydrol. Earth Syst. Sci. 2012, 16, 2585–2603. [Google Scholar] [CrossRef]
- Hao, Z.; Singh, V.P. Drought characterization from a multivariate perspective: A review. J. Hydrol. 2015, 527, 668–678. [Google Scholar] [CrossRef]
- Zhang, Q.; Gu, X.; Singh, V.P.; Kong, D.; Chen, X. Spatiotemporal behavior of floods and droughts and their impacts on agriculture in China. Glob. Planet Chang. 2015, 131, 63–72. [Google Scholar] [CrossRef]
- Miao, Y.; Zhu, Z.; Guo, Q.; Ma, H.; Zhu, L. Alternate wetting and drying irrigation-mediated changes in the growth, photosynthesis and yield of the medicinal plant Tulipa edulis. Ind. Crops Prod. 2015, 66, 81–88. [Google Scholar] [CrossRef]
- Madadgar, S.; AghaKouchak, A.; Farahmand, A.; Davis, S.J. Probabilistic estimates of drought impact on agricultural production. Geophys. Res. Lett. 2017, 44, 7799–7807. [Google Scholar] [CrossRef]
- FAO (Food and Agriculture Organization). Agricultural Statistical Database for 2019. Available online: http://www.fao.org/faostat/en/#data/QC (accessed on 25 May 2021).
- Camejo, D.; Frutos, A.; Mestre, T.C.; Pinero, M.D.C.; Rivero, R.M.; Martinez, V. Artificial light impacts the physical and nutritional quality of lettuce. Hortic. Environ. Biotechnol. 2020, 61, 69–82. [Google Scholar] [CrossRef]
- Carotti, L.; Graamans, L.; Puksic, F.; Butturini, M.; Meinen, E.; Heuvelink, E.; Stanghellini, C. Plant factories are heating up: Hunting for the best combination of light intensity, air temperature and root-zone temperature in lettuce production. Front. Plant Sci. 2020, 11, 2251. [Google Scholar] [CrossRef]
- Johkan, M.; Shoji, K.; Goto, F.; Hashida, S.N.; Yoshihara, T. Blue light-emitting diode light irradiation of seedlings improves seedling quality and growth after transplanting in red leaf lettuce. Hort Sci. 2010, 45, 1809–1814. [Google Scholar] [CrossRef]
- Kurunc, A. Effects of water and salinity stresses on growth, yield, and water use of iceberg lettuce. J. Sci. Food Agric. 2021, 101, 5688–5696. [Google Scholar] [CrossRef]
- Filgueiras, L.; Silva, R.; Almeida, I.; Vidal, M.; Baldani, J.I.; Meneses, C.H.S.G. Gluconacetobacter diazotrophicus mitigates drought stress in Oryza sativa. Plant Soil. 2020, 451, 57–73. [Google Scholar] [CrossRef]
- Ahmad, R.; Waraich, E.; Nawaz, F.; Ashraf, M.Y.; Khalid, M.; Waraich, A. Selenium (Se) improves drought tolerance in crop plants—A myth or fact? J. Sci. Food Agric. 2016, 96, 372–380. [Google Scholar] [CrossRef] [PubMed]
- White, P.J. Selenium metabolism in plants. Biochim. Biophys. Act-Gen. Subj. 2018, 1862, 2333–2342. [Google Scholar] [CrossRef] [PubMed]
- Feng, T.; Chen, S.S.; Gao, D.Q.; Liu, G.Q.; Bai, H.X.; Li, A.; Peng, L.X.; Ren, Z.Y. Selenium improves photosynthesis and protects photosystem II in pear (Pyrus bretschneideri), grape (Vitis vinifera), and peach (Prunus persica). Photosynth 2015, 53, 609–612. [Google Scholar] [CrossRef]
- Nawaz, F.; Ahmad, R.; Ashraf, M.Y.; Waraich, E.A.; Khan, S.Z. Effect of selenium foliar spray on physiological and biochemical processes and chemical constituents of wheat under drought stress. Ecotoxicol. Environ. Saf. 2015, 113, 191–200. [Google Scholar] [CrossRef]
- Kaur, S.; Nayyar, H. Selenium fertilization to salt-stressed mungbean (Vigna radiata L. Wilczek) plants reduces sodium uptake, improves reproductive function, pod set and seed yield. Sci. Hort. 2015, 197, 304–317. [Google Scholar] [CrossRef]
- Djanaguiraman, M.; Devi, D.D.; Shanker, A.K.; Sheeba, J.A.; Bangarusamy, U. Impact of selenium spray on monocarpic senescence of soybean (Glycine max L.). Food Agric. Environ. 2004, 2, 44–47. [Google Scholar]
- Malik, J.A.; Goel, S.; Kaur, N.; Sharma, S.; Singh, I.; Nayyar, H. Selenium antagonises the toxic effects of arsenic on mungbean (Phaseolus aureus Roxb.) plants by restricting its uptake and enhancing the antioxidative and detoxification mechanisms. Environ. Exp. Bot. 2012, 77, 242–248. [Google Scholar] [CrossRef]
- Nawaz, F.; Naeem, M.; Ashraf, M.Y.; Tahir, M.N.; Zulfiqar, B.; Salahuddin, M. Selenium supplementation affects physiological and biochemical processes to improve fodder yield and quality of maize (Zea mays L.) under water deficit conditions. Front. Plant Sci. 2016, 7, 1438. [Google Scholar] [CrossRef]
- Rahman, M.; Rahman, K.; Sathi, K.S.; Alam, M.M.; Nahar, K.; Fujita, M.; Hasanuzzaman, M. Supplemental selenium and boron mitigate salt-induced oxidative damages in Glycine max L. Plants 2021, 10, 2224. [Google Scholar] [CrossRef]
- Galic, L.; Špoljarevic, M.; Jakovac, E.; Ravnjak, B.; Teklic, T.; Lisjak, M.; Peric, K.; Nemet, F.; Loncaric, Z. Selenium biofortification of soybean seeds influences physiological responses of seedlings to osmotic stress. Plants 2021, 10, 1498. [Google Scholar] [CrossRef] [PubMed]
- Dar, Z.M.; Malik, M.A.; Aziz, M.A.; Masood, A.; Dar, A.R.; Hussan, S.; Dar, Z.A. Role of selenium in regulation of plant antioxidants, chlorophyll retention and osmotic adjustment under drought conditions: A review. Int. J. Plant Soil Sci. 2021, 33, 52–60. [Google Scholar] [CrossRef]
- Liu, X.; Zhao, Z.; Duan, B.; Hu, C.; Zhao, X.; Guo, Z. Effect of applied sulphur on the uptake by wheat of selenium applied as selenite. Plant Soil 2015, 386, 35–45. [Google Scholar] [CrossRef]
- Ros, G.H.; Rotterdam, A.M.D.V.; Bussink, D.W.; Bindraban, P.S. Selenium fertilization strategies for bio-fortification of food: An agro-ecosystem approach. Plant Soil. 2016, 404, 99–112. [Google Scholar] [CrossRef]
- Wang, J.; Wang, Z.; Mao, H.; Zhao, H.; Huang, D. Increasing Se concentration in maize grain with soil- or foliar-applied selenite on the Loess Plateau in China. Field Crops Res. 2013, 150, 83–90. [Google Scholar] [CrossRef]
- Lichtenthaler, H.K. Chlorophylls and carotenoids pigments of photosynthetic bio membranes in Methods in Enzymology. Plants 1987, 148, 183–350. [Google Scholar]
- Velikova, V.; Yordanov, I.; Edreva, A. Oxidative stress and some antioxidant systems in acid rain-treated bean plants: Protective role of exogenous polyamines. Plant Sci. 2000, 151, 59–66. [Google Scholar] [CrossRef]
- Aebi, H. Catalase. In Methods of Enzymatic Analysis; Academic Press: Cambridge, MA, USA, 1974; pp. 673–684. [Google Scholar]
- Beauchamp, C.; Fridovich, I. Superoxide dismutase: Improved assays and an assay applicable to acrylamide gels. Analyt. Biochem. 1971, 44, 276–287. [Google Scholar] [CrossRef]
- Turner, N.C.; Kramer, P.J. Adaptation of Plants to Water and High Temperature Stress; Wiley: Hoboken, NJ, USA, 1980. [Google Scholar]
- Maehly, A.; Chance, B. Catalases and peroxidases. Methods Biochem. Anal. 1954, 1, 357–424. [Google Scholar]
- Giannakoula, A.; Moustakas, M.; Mylona, P.; Papadakis, I.; Yupsanis, T. Aluminum tolerance in maize is correlated with increased levels of mineral nutrients, carbohydrates and proline, and decreased levels of lipid peroxidation and Al accumulation. J. Plant Physiol. 2008, 165, 385–396. [Google Scholar] [CrossRef]
- Bradford, M.M. A rapid and sensitive method for the quantitation of microgram quantities of protein utilizing the principle of protein-dye binding. Analyt. Biochem. 1976, 72, 248–254. [Google Scholar] [CrossRef] [PubMed]
- Paim, B.T.; Crizel, R.L.; Tatiane, S.J.; Rodrigues, V.R.; Rombaldi, C.V.; Galli, V. Mild drought stress has potential to improve lettuce yield and quality. Sci. Hortic. 2020, 272, 109578. [Google Scholar] [CrossRef]
- Seleiman, M.F.; Al-Suhaibani, N.; Ali, N.; Akmal, M.; Alotaibi, M.; Refay, Y.; Battaglia, M.L. Drought stress impacts on plants and different approaches to alleviate its adverse effects. Plants 2021, 10, 259. [Google Scholar] [CrossRef]
- Takahashi, F.; Kuromori, T.; Urano, K.; Yamaguchi-Shinozaki, K.; Shinozaki, K. Drought stress responses and resistance in plants: From cellular responses to long-distance intercellular communication. Front. Plant Sci. 2020, 11, 556972. [Google Scholar] [CrossRef]
- Hemati, A.; Moghiseh, E.; Amirifar, A.; Mofidi-Chelan, M.; Asgari Lajayer, B. Physiological Effects of Drought Stress in Plants. In Plant Stress Mitigators; Springer: Singapore, 2022; pp. 113–124. [Google Scholar]
- Hernandez-Santana, V.; Perez-Arcoiza, A.; Gomez-Jimenez, M.C.; Diaz-Espejo, A. Disentangling the link between leaf photosynthesis and turgor in fruit growth. Plant J. 2021, 107, 1788–1801. [Google Scholar] [CrossRef] [PubMed]
- Cohen, I.; Zandalinas, S.I.; Huck, C.; Fritschi, F.B.; Mittler, R. Meta-analysis of drought and heat stress combination impact on crop yield and yield components. Physiol. Planta. 2021, 171, 66–76. [Google Scholar] [CrossRef]
- Zhang, J.; Zhang, S.; Cheng, M.; Jiang, H.; Zhang, X.; Peng, C.; Jin, J. Effect of drought on agronomic traits of rice and wheat: A meta-analysis. Int. J. Environ. Res. Public Health 2018, 15, 839. [Google Scholar] [CrossRef]
- Zahedi, S.M.; Moharrami, F.; Sarikhani, S.; Padervand, M. Selenium and silica nanostructure-based recovery of strawberry plants subjected to drought stress. Sci. Rep. 2020, 10, 1–18. [Google Scholar]
- Han, D.; Tu, S.; Dai, Z.; Huang, W.; Jia, W.; Xu, Z.; Shao, H. Comparison of selenite and selenate in alleviation of drought stress in Nicotiana tabacum L. Chemosphere 2022, 287, 132136. [Google Scholar] [CrossRef]
- Ahmad, Z.; Waraich, E.A.; Barutcular, C.; Alharby, H.; Bamagoos, A.; Kizilgeci, F.; El Sabagh, A. Enhancing drought tolerance in Camelina sativa L. and canola (Brassica napus L.) through application of selenium. Pak. J. Bot. 2020, 52, 1927–1939. [Google Scholar] [CrossRef]
- Ikram, M.; Raja, N.I.; Javed, B.; Hussain, M.; Hussain, M.; Ehsan, M.; Akram, A. Foliar applications of bio-fabricated selenium nanoparticles to improve the growth of wheat plants under drought stress. Green Proc. Synt. 2020, 9, 706–714. [Google Scholar] [CrossRef]
- Karimi, R.; Ghabooli, M.; Rahimi, J.; Amerian, M. Effects of foliar selenium application on some physiological and phytochemical parameters of Vitis vinifera L. cv. Sultana under salt stress. J. Plant Nut. 2020, 43, 2226–2242. [Google Scholar] [CrossRef]
- Adnan, M. Application of Selenium a useful way to mitigate drought stress: A review. Open Acc. Biol. Sci. Res. 2020, 3, 39. [Google Scholar] [CrossRef]
- Khayatnezhad, M.; Gholamin, R. The effect of drought stress on the superoxide dismutase and chlorophyll content in durum wheat genotypes. Advanc. Life Sci. 2021, 8, 119–123. [Google Scholar]
- Bijanzadeh, E.; Naderi, R.; Egan, T.P. Exogenous application of humic acid and salicylic acid to alleviate seedling drought stress in two corn (Zea mays L.) hybrids. J. Plant Nut. 2019, 42, 1483–1495. [Google Scholar] [CrossRef]
- Rezayian, M.; Ebrahimzadeh, H.; Niknam, V. Nitric oxide stimulates antioxidant system and osmotic adjustment in soybean under drought stress. J. Soil Sci. Plant Nut. 2020, 20, 1122–1132. [Google Scholar] [CrossRef]
- Ors, S.; Ekinci, M.; Yildirim, E.; Sahin, U.; Turan, M.; Dursun, A. Interactive effects of salinity and drought stress on photosynthetic characteristics and physiology of tomato (Lycopersicon esculentum L.) seedlings. South Afr. J. Bot. 2021, 137, 335–339. [Google Scholar] [CrossRef]
- Bhusal, N.; Han, S.G.; Yoon, T.M. Impact of drought stress on photosynthetic response, leaf water potential, and stem sap flow in two cultivars of bi-leader apple trees (Malus × domestica Borkh.). Sci. Hortic. 2019, 246, 535–543. [Google Scholar] [CrossRef]
- Khalvandi, M.; Siosemardeh, A.; Roohi, E.; Keramati, S. Salicylic acid alleviated the effect of drought stress on photosynthetic characteristics and leaf protein pattern in winter wheat. Heliyon 2021, 7, e05908. [Google Scholar] [CrossRef]
- Onyemaobi, O.; Sangma, H.; Garg, G.; Wallace, X.; Kleven, S.; Suwanchaikasem, P.; Dolferus, R. Reproductive stage drought tolerance in wheat: Importance of stomatal conductance and plant growth regulators. Genes 2021, 12, 1742. [Google Scholar] [CrossRef]
- Galić, L.; Vinković, T.; Ravnjak, B.; Lončarić, Z. Agronomic biofortification of significant cereal crops with selenium—A review. Agronomy 2021, 11, 1015. [Google Scholar] [CrossRef]
- Luo, H.W.; He, L.X.; Du, B.; Wang, Z.M.; Zheng, A.X.; Lai, R.F.; Tang, X.R. Foliar application of selenium (Se) at heading stage induces regulation of photosynthesis, yield formation, and quality characteristics in fragrant rice. Photosynthetica 2019, 57, 1007–1014. [Google Scholar] [CrossRef]
- Lanza, M.G.D.B.; Dos Reis, A.R. Roles of selenium in mineral plant nutrition: ROS scavenging responses against abiotic stresses. Plant Physiol. Biochem. 2021, 164, 27–43. [Google Scholar] [CrossRef]
- Skrypnik, L.; Styran, T.; Savina, T.; Golubkina, N. Effect of selenium application and growth stage at harvest on hydrophilic and lipophilic antioxidants in lamb’s lettuce (Valerianella locusta L. Laterr.). Plants 2021, 10, 2733. [Google Scholar] [CrossRef] [PubMed]
- Borbély, P.; Molnár, Á.; Valyon, E.; Ördög, A.; Horváth-Boros, K.; Csupor, D.; Kolbert, Z. The effect of foliar selenium (Se) treatment on growth, photosynthesis, and oxidative-nitrosative signalling of Stevia rebaudiana leaves. Antioxidants 2021, 10, 72. [Google Scholar] [CrossRef]
- Wang, C.; Yue, L.; Cheng, B.; Chen, F.; Zhao, X.; Wang, Z.; Xing, B. Mechanisms of growth-promotion and Se-enrichment in Brassica chinensis L. by selenium nanomaterials: Beneficial rhizosphere microorganisms, nutrient availability, and photosynthesis. Environ. Sci. Nano 2022, 9, 302–312. [Google Scholar] [CrossRef]
- Huang, H.; Li, M.; Rizwan, M.; Dai, Z.; Yuan, Y.; Hossain, M.M.; Tu, S. Synergistic effect of silicon and selenium on the alleviation of cadmium toxicity in rice plants. J. Hazard. Mat. 2021, 401, 123393. [Google Scholar] [CrossRef]
- Shafiq, B.A.; Nawaz, F.; Majeed, S.; Aurangzaib, M.; Al Mamun, A.; Ahsan, M.; Haq, T. Sulfate-based fertilizers regulate nutrient uptake, photosynthetic gas exchange, and enzymatic antioxidants to increase sunflower growth and yield under drought stress. J. Soil Sci. Plant Nut. 2021, 21, 2229–2241. [Google Scholar] [CrossRef]
- Mukarram, M.; Choudhary, S.; Kurjak, D.; Petek, A.; Khan, M.M.A. Drought: Sensing, signalling, effects and tolerance in higher plants. Physiol. Plant. 2021, 172, 1291–1300. [Google Scholar] [CrossRef]
- Tiepo, A.N.; Constantino, L.V.; Madeira, T.B.; Gonçalves, L.S.A.; Pimenta, J.A.; Bianchini, E.; Stolf-Moreira, R. Plant growth-promoting bacteria improve leaf antioxidant metabolism of drought-stressed Neotropical trees. Planta 2020, 251, 83. [Google Scholar] [CrossRef]
- Khan, M.N.; Zhang, J.; Luo, T.; Liu, J.; Ni, F.; Rizwan, M.; Hu, L. Morpho-physiological and biochemical responses of tolerant and sensitive rapeseed cultivars to drought stress during early seedling growth stage. Acta Physiol. Plant. 2019, 41, 25. [Google Scholar] [CrossRef]
- Taha, R.S.; Seleiman, M.F.; Shami, A.; Alhammad, B.A.; Mahdi, A.H. Integrated application of selenium and silicon enhances growth and anatomical structure, antioxidant defense system and yield of wheat grown in salt-stressed soil. Plants 2021, 10, 1040. [Google Scholar] [CrossRef] [PubMed]
- Park, S.H.; Lee, B.R.; La, V.H.; Mamun, M.A.; Bae, D.W.; Kim, T.H. Drought intensity−responsive salicylic acid and abscisic acid crosstalk with the sugar signaling and metabolic pathway in Brassica napus. Plants 2021, 10, 610. [Google Scholar] [CrossRef] [PubMed]
- Abid, M.; Ali, S.; Qi, L.K.; Zahoor, R.; Tian, Z.; Jiang, D.; Snider, J.L.; Dai, T. Physiological and biochemical changes during drought and recovery periods at tillering and jointing stages in wheat (Triticum aestivum L.). Sci. Rep. 2018, 8, 4615. [Google Scholar] [CrossRef] [PubMed]
- Desoky, E.S.M.; Merwad, A.R.M.; Abo El-Maati, M.F.; Mansour, E.; Arnaout, S.M.; Awad, M.F.; Ibrahim, S.A. Physiological and biochemical mechanisms of exogenously applied selenium for alleviating destructive impacts induced by salinity stress in bread wheat. Agronomy 2021, 11, 926. [Google Scholar] [CrossRef]








| Variables | A | CAT | CAR | E | EL | HW | LA | PFW | POD | PRO | RDW | RL | RWC | SDW | SL | SOD | SS | T CHL |
|---|---|---|---|---|---|---|---|---|---|---|---|---|---|---|---|---|---|---|
| CAT | −0.75 ** | |||||||||||||||||
| CAR | 0.93 ** | −0.68 ** | ||||||||||||||||
| E | 0.96 ** | −0.78 ** | 0.92 ** | |||||||||||||||
| EL | −0.74 ** | 0.85 ** | −0.67 ** | −0.79 ** | ||||||||||||||
| HW | 0.94 ** | −0.73 ** | 0.94 ** | 0.93 ** | −0.73 ** | |||||||||||||
| LA | 0.95 ** | −0.72 ** | 0.87 ** | 0.91 ** | −0.72 ** | 0.90 ** | ||||||||||||
| PFW | 0.95 ** | −0.75 ** | 0.94 ** | 0.95 ** | −0.73 ** | 0.98 ** | 0.91 ** | |||||||||||
| POD | −0.74 ** | 0.88 ** | −0.69 ** | −0.79 ** | 0.91 ** | −0.75 ** | −0.69 ** | −0.74 ** | ||||||||||
| PRO | −0.76 ** | 0.91 ** | −0.71 ** | −0.80 ** | 0.93 ** | −0.77 ** | −0.75 ** | −0.75 ** | 0.94 ** | |||||||||
| RDW | 0.96 ** | −0.74 ** | 0.93 ** | 0.94 ** | −0.72 ** | 0.97 ** | 0.91 ** | 0.98 ** | −0.72 ** | −0.75 ** | ||||||||
| RL | 0.93 ** | −0.69 ** | 0.92 ** | 0.95 ** | −0.65 ** | 0.90 ** | 0.87 ** | 0.91 ** | −0.72 ** | −0.75 ** | 0.67 ** | |||||||
| RWC | 0.93 ** | −0.68 ** | 0.93 ** | 0.92 ** | −0.67 ** | 0.98 ** | 0.88 ** | 0.91 ** | −0.67 ** | −0.68 ** | 0.92 ** | 0.68 ** | ||||||
| SDW | 0.97 ** | −0.75 ** | 0.93 ** | 0.96 ** | −0.72 ** | 0.92 ** | 0.90 ** | 0.94 ** | −0.72 ** | −0.74 ** | 0.95 ** | 0.94 ** | 0.93 ** | |||||
| SL | 0.93 ** | −0.74 ** | 0.94 ** | 0.93 ** | −0.70 ** | 0.96 ** | 0.90 ** | 0.95 ** | −0.73 ** | −0.75 ** | 0.94 ** | 0.94 ** | 0.94 ** | 0.92 ** | ||||
| SOD | −0.76 ** | 0.94 ** | −0.67 ** | −0.80 ** | 0.90 ** | −0.71 ** | −0.73 ** | −0.71 ** | 0.90 ** | 0.93 ** | −0.71 ** | −0.68 ** | −0.64 ** | −0.75 ** | −0.72 ** | |||
| SS | 0.97 ** | −0.73 ** | 0.91 ** | 0.96 ** | −0.72 ** | 0.90 ** | 0.91 ** | 0.93 ** | −0.70 ** | −0.73 ** | 0.94 ** | 0.92 ** | 0.91 ** | 0.98 ** | 0.89 ** | −0.74 ** | ||
| T CHL | 0.92 ** | −0.69 ** | 0.87 ** | 0.93 ** | −0.71 ** | 0.92 ** | 0.88 ** | 0.93 ** | −0.73 ** | −0.75 ** | 0.91 ** | 0.90 ** | 0.92 ** | 0.91 ** | 0.92 ** | 0.71 ** | 0.90 ** | |
| gs | 0.90 ** | −0.60 ** | 0.88 ** | 0.88 ** | −0.59 ** | 0.89 ** | 0.88 ** | 0.91 ** | −0.61 ** | −0.62 ** | 0.90 ** | 0.85 ** | 0.92 ** | 0.87 ** | 0.88 ** | −0.59 ** | 0.88 ** | 0.88 ** |
Disclaimer/Publisher’s Note: The statements, opinions and data contained in all publications are solely those of the individual author(s) and contributor(s) and not of MDPI and/or the editor(s). MDPI and/or the editor(s) disclaim responsibility for any injury to people or property resulting from any ideas, methods, instructions or products referred to in the content. |
© 2023 by the authors. Licensee MDPI, Basel, Switzerland. This article is an open access article distributed under the terms and conditions of the Creative Commons Attribution (CC BY) license (https://creativecommons.org/licenses/by/4.0/).
Share and Cite
Tufail, B.; Ashraf, K.; Abbasi, A.; Ali, H.M.; Sultan, K.; Munir, T.; Khan, M.T.; uz Zaman, Q. Effect of Selenium on Growth, Physio-Biochemical and Yield Traits of Lettuce under Limited Water Regimes. Sustainability 2023, 15, 6804. https://doi.org/10.3390/su15086804
Tufail B, Ashraf K, Abbasi A, Ali HM, Sultan K, Munir T, Khan MT, uz Zaman Q. Effect of Selenium on Growth, Physio-Biochemical and Yield Traits of Lettuce under Limited Water Regimes. Sustainability. 2023; 15(8):6804. https://doi.org/10.3390/su15086804
Chicago/Turabian StyleTufail, Bushra, Kamran Ashraf, Asim Abbasi, Hayssam M. Ali, Khawar Sultan, Tehzeem Munir, Muhammad Tajammal Khan, and Qamar uz Zaman. 2023. "Effect of Selenium on Growth, Physio-Biochemical and Yield Traits of Lettuce under Limited Water Regimes" Sustainability 15, no. 8: 6804. https://doi.org/10.3390/su15086804
APA StyleTufail, B., Ashraf, K., Abbasi, A., Ali, H. M., Sultan, K., Munir, T., Khan, M. T., & uz Zaman, Q. (2023). Effect of Selenium on Growth, Physio-Biochemical and Yield Traits of Lettuce under Limited Water Regimes. Sustainability, 15(8), 6804. https://doi.org/10.3390/su15086804

