The Momentum Transfer Mechanism of a Landslide Intruding a Body of Water
Abstract
:1. Introduction
2. Theoretical Model
2.1. Physical Model
2.2. Momentum Conservation of Two Phase Flow in a Control Volume
2.3. Boundary Conditions
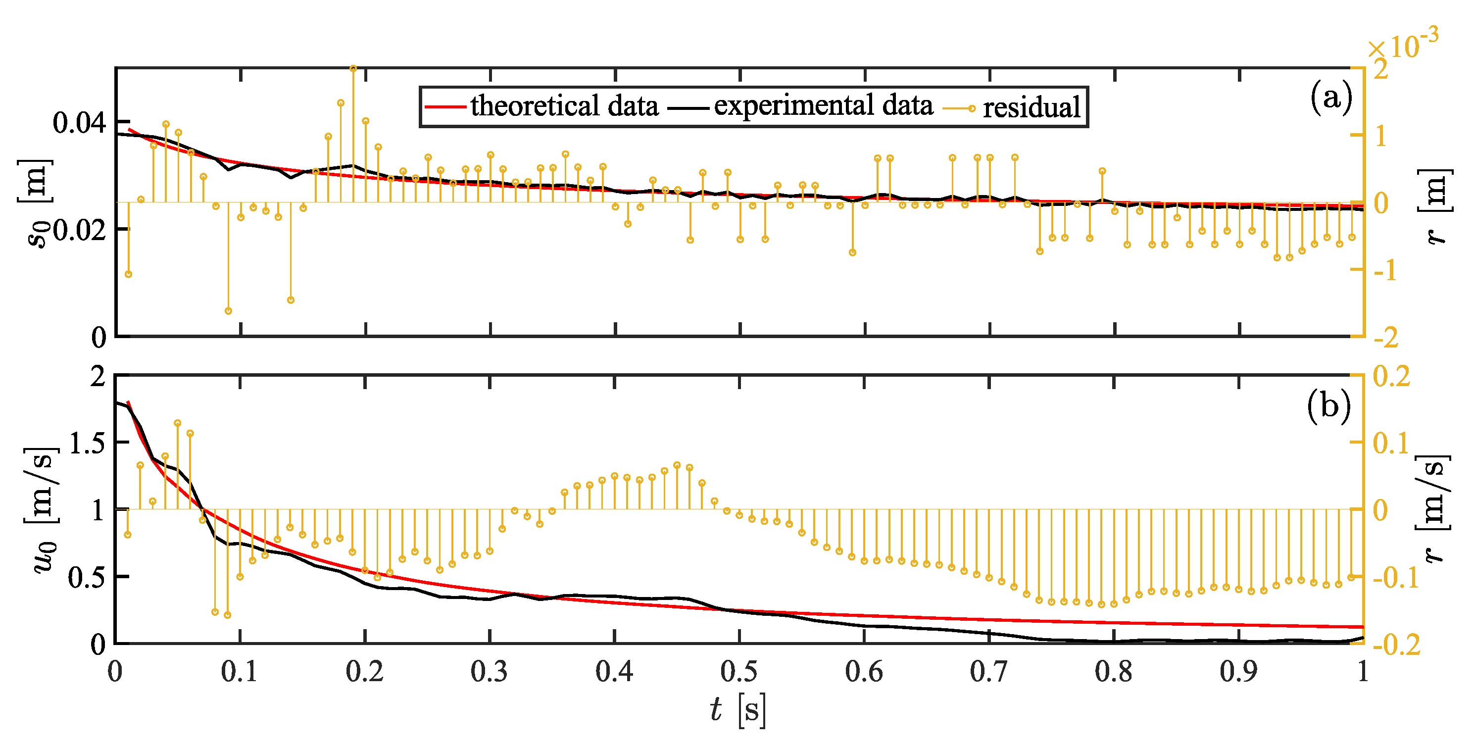
3. Experimental Method
3.1. Experimental Facilities
3.2. Slide Material
3.3. Image Processing
4. Momentum Transfer between the Sliding Mass and the Water Body
4.1. Interaction Forces
4.1.1. Hydrostatic Force
4.1.2. Drag Force
4.2. Momentum Variations of the Sliding Mass and Water Body in the Control Volume
5. Discussions
5.1. Momentum Transfer and Temporal Wave Characteristics
5.2. Material and Nonmaterial Interfaces
6. Conclusions
Author Contributions
Funding
Institutional Review Board Statement
Informed Consent Statement
Data Availability Statement
Conflicts of Interest
References
- Kamphuis, J.; Bowering, R. Impulse waves generated by landslides. In Proceedings of the Coastal Engineering, Washington, DC, USA, 13–18 September 1970; pp. 575–588. [Google Scholar]
- Heller, V.; Bruggemann, M.; Spinneken, J.; Rogers, B.D. Composite modelling of subaerial landslide–tsunamis in different water body geometries and novel insight into slide and wave kinematics. Coast. Eng. 2016, 109, 20–41. [Google Scholar] [CrossRef]
- Mulligan, R.P.; Take, W.A. On the transfer of momentum from a granular landslide to a water wave. Coast. Eng. 2017, 125, 16–22. [Google Scholar] [CrossRef]
- Le Méhauté, B.; Wang, S. Water Waves Generated by Underwater Explosion; World Scientific: Singapore, 1996; Volume 10. [Google Scholar]
- Zitti, G.; Ancey, C.; Postacchini, M.; Brocchini, M. Impulse waves generated by snow avalanches: Momentum and energy transfer to a water body. J. Geophys. Res. Earth Surf. 2016, 121, 2399–2423. [Google Scholar] [CrossRef]
- Zhao, L.; Mao, J.; Bai, X.; Liu, X.; Li, T.; Williams, J. Finite element simulation of impulse wave generated by landslides using a three-phase model and the conservative level set method. Landslides 2016, 13, 85–96. [Google Scholar] [CrossRef]
- Yavari-Ramshe, S.; Ataie-Ashtiani, B. A rigorous finite volume model to simulate subaerial and submarine landslide-generated waves. Landslides 2017, 14, 203–221. [Google Scholar] [CrossRef]
- Ruffini, G.; Heller, V.; Briganti, R. Numerical modelling of landslide-tsunami propagation in a wide range of idealised water body geometries. Coast. Eng. 2019, 2019, 103518. [Google Scholar] [CrossRef]
- Fritz, H.M.; Hillaire, J.V.; Molière, E.; Wei, Y.; Mohammed, F. Twin tsunamis triggered by the 12 January 2010 Haiti earthquake. Pure Appl. Geophys. 2013, 170, 1463–1474. [Google Scholar] [CrossRef]
- Grilli, S.T.; Grilli, A.R.; David, E.; Coulet, C. Tsunami hazard assessment along the north shore of Hispaniola from far-and near-field Atlantic sources. Nat. Hazards 2016, 82, 777–810. [Google Scholar] [CrossRef]
- Poupardin, A.; Heinrich, P.; Frère, A.; Imbert, D.; Hébert, H.; Flouzat, M. The 1979 submarine landslide-generated tsunami in Mururoa, French Polynesia. Pure Appl. Geophys. 2017, 174, 3293–3311. [Google Scholar] [CrossRef]
- Fritz, H.M.; Hager, W.H.; Minor, H.E. Landslide generated impulse waves. Exp. Fluids 2003, 35, 505–519. [Google Scholar] [CrossRef]
- Heller, V. Landslide Generated Impulse Waves: Prediction of Near Field Characteristics. Ph.D. Thesis, ETH Zurich, Zurich, Switzerland, 2007. [Google Scholar]
- Zitti, G.; Ancey, C.; Postacchini, M.; Brocchini, M. Impulse waves generated by snow avalanches falling into lakes. In Proceedings of the 36th IAHR World Congress, The Hague, The Netherlands, 28 June–3 July 2015. number CONF. [Google Scholar]
- Mohammed, F.; Fritz, H.M. Physical modeling of tsunamis generated by three-dimensional deformable granular landslides. J. Geophys. Res. Ocean. 2012, 117, C11015. [Google Scholar] [CrossRef]
- Walder, J.S.; Watts, P.; Sorensen, O.E.; Janssen, K. Tsunamis generated by subaerial mass flows. J. Geophys. Res. Solid Earth 2003, 108, 2236. [Google Scholar] [CrossRef]
- Fernández-Nieto, E.D.; Bouchut, F.; Bresch, D.; Diaz, M.C.; Mangeney, A. A new Savage–Hutter type model for submarine avalanches and generated tsunami. J. Comput. Phys. 2008, 227, 7720–7754. [Google Scholar] [CrossRef]
- Zitti, G.; Ancey, C.; Postacchini, M.; Brocchini, M. Snow avalanches striking water basins: Behaviour of the avalanche’s centre of mass and front. Nat. Hazards 2017, 88, 1297–1323. [Google Scholar] [CrossRef]
- Miller, G.S.; Andy Take, W.; Mulligan, R.P.; McDougall, S. Tsunamis generated by long and thin granular landslides in a large flume. J. Geophys. Res. Ocean. 2017, 122, 653–668. [Google Scholar] [CrossRef]
- Franz, M.; Jaboyedoff, M.; Mulligan, R.P.; Podladchikov, Y.; Take, W.A. An efficient two-layer landslide-tsunami numerical model: Effects of momentum transfer validated with physical experiments of waves generated by granular landslides. Nat. Hazards Earth Syst. Sci. 2021, 21, 1229–1245. [Google Scholar] [CrossRef]
- Kim, G.B.; Cheng, W.; Sunny, R.C.; Horrillo, J.J.; McFall, B.C.; Mohammed, F.; Fritz, H.M.; Beget, J.; Kowalik, Z. Three Dimensional Landslide Generated Tsunamis: Numerical and Physical Model Comparisons. Landslides 2020, 17, 1145–1161. [Google Scholar] [CrossRef]
- Fritz, H.M. PIV applied to landslide generated impulse waves. In Laser Techniques for Fluid Mechanics; Springer: Berlin/Heidelberg, Germany, 2002; pp. 305–320. [Google Scholar]
- Bullard, G.; Mulligan, R.; Carreira, A.; Take, W. Experimental analysis of tsunamis generated by the impact of landslides with high mobility. Coast. Eng. 2019, 152, 103538. [Google Scholar] [CrossRef]
- Zweifel, A.; Hager, W.H.; Minor, H.E. Plane impulse waves in reservoirs. J. Waterw. Port Coast. Ocean Eng. 2006, 132, 358–368. [Google Scholar] [CrossRef]
- McFall, B.C.; Fritz, H.M. Physical modelling of tsunamis generated by three-dimensional deformable granular landslides on planar and conical island slopes. Proc. R. Soc. A Math. Phys. Eng. Sci. 2016, 472, 20160052. [Google Scholar] [CrossRef]
- Evers, F.M.; Hager, W.H.; Boes, R.M. Spatial impulse wave generation and propagation. J. Waterw. Port Coast. Ocean Eng. 2019, 145, 04019011. [Google Scholar] [CrossRef]
- Ancey, C. Plasticity and geophysical flows: A review. J. Non-Newton. Fluid Mech. 2007, 142, 4–35. [Google Scholar] [CrossRef]
- Ancey, C.; Cochard, S. The dam-break problem for Herschel–Bulkley viscoplastic fluids down steep flumes. J. Non-Newton. Fluid Mech. 2009, 158, 18–35. [Google Scholar] [CrossRef]
- Andreini, N.; Epely-Chauvin, G.; Ancey, C. Internal dynamics of Newtonian and viscoplastic fluid avalanches down a sloping bed. Phys. Fluids 2012, 24, 053101. [Google Scholar] [CrossRef]
- Meng, Z. Experimental study on impulse waves generated by a viscoplastic material at laboratory scale. Landslides 2018, 15, 1173–1182. [Google Scholar] [CrossRef]
- Meng, Z.; Ancey, C. The effects of slide cohesion on impulse-wave formation. Exp. Fluids 2019, 60, 151. [Google Scholar] [CrossRef]
- Meng, Z.; Hu, Y.; Ancey, C. Predicting tsunamis generated by gravity-driven mass flows using a data-driven approach. Water 2020, 12, 600. [Google Scholar] [CrossRef]
- Ancey, C.; Andreini, N.; Epely-Chauvin, G. Viscoplastic dambreak waves: Review of simple computational approaches and comparison with experiments. Adv. Water Resour. 2012, 48, 79–91. [Google Scholar] [CrossRef]
- Meng, Z.; Li, X.; Han, S.; Wang, X.; Meng, J.; Li, Z. The Motion and Deformation of Viscoplastic Slide while Entering a Body of Water. J. Mar. Sci. Eng. 2022, 10, 778. [Google Scholar] [CrossRef]
- Müller, A.; Dreyer, M.; Andreini, N.; Avellan, F. Draft tube discharge fluctuation during self-sustained pressure surge: Fluorescent particle image velocimetry in two-phase flow. Exp. Fluids 2013, 54, 1514. [Google Scholar] [CrossRef]
- Meng, Z.; Zhang, J.; Hu, Y.; Ancey, C. Temporal Prediction of Landslide-Generated Waves Using a Theoretical-Statistical Combined Method. J. Mar. Sci. Eng. 2023, 11, 1151. [Google Scholar] [CrossRef]
















| Test Number | [m] | [-] | [kg] | [m] |
|---|---|---|---|---|
| Test 32 | 1.05 | 3.0 | 0.2 | |
| Test 40 | 0.95 | 3.5 | 0.2 | |
| Test 42 | 0.85 | 4.0 | 0.2 | |
| Test 46 | 0.85 | 4.5 | 0.2 |
Disclaimer/Publisher’s Note: The statements, opinions and data contained in all publications are solely those of the individual author(s) and contributor(s) and not of MDPI and/or the editor(s). MDPI and/or the editor(s) disclaim responsibility for any injury to people or property resulting from any ideas, methods, instructions or products referred to in the content. |
© 2023 by the authors. Licensee MDPI, Basel, Switzerland. This article is an open access article distributed under the terms and conditions of the Creative Commons Attribution (CC BY) license (https://creativecommons.org/licenses/by/4.0/).
Share and Cite
Meng, Z.; Hu, J.; Zhang, J.; Zhang, L.; Yuan, Z. The Momentum Transfer Mechanism of a Landslide Intruding a Body of Water. Sustainability 2023, 15, 13940. https://doi.org/10.3390/su151813940
Meng Z, Hu J, Zhang J, Zhang L, Yuan Z. The Momentum Transfer Mechanism of a Landslide Intruding a Body of Water. Sustainability. 2023; 15(18):13940. https://doi.org/10.3390/su151813940
Chicago/Turabian StyleMeng, Zhenzhu, Jianyong Hu, Jinxin Zhang, Lijuan Zhang, and Zhenxia Yuan. 2023. "The Momentum Transfer Mechanism of a Landslide Intruding a Body of Water" Sustainability 15, no. 18: 13940. https://doi.org/10.3390/su151813940
APA StyleMeng, Z., Hu, J., Zhang, J., Zhang, L., & Yuan, Z. (2023). The Momentum Transfer Mechanism of a Landslide Intruding a Body of Water. Sustainability, 15(18), 13940. https://doi.org/10.3390/su151813940

