Municipal Wastewater Effects on the Performance of Nutrient Removal, and Lipid, Carbohydrate, and Protein Productivity of Blue-Green Algae Chroococcus turgidus
Abstract
1. Introduction
2. Material and Methods
2.1. Microalgae Culture and Experimental Setup
2.2. Biochemical Composition
2.3. Equations and Statistical Analysis
3. Result and Discussion
3.1. Growth Performance
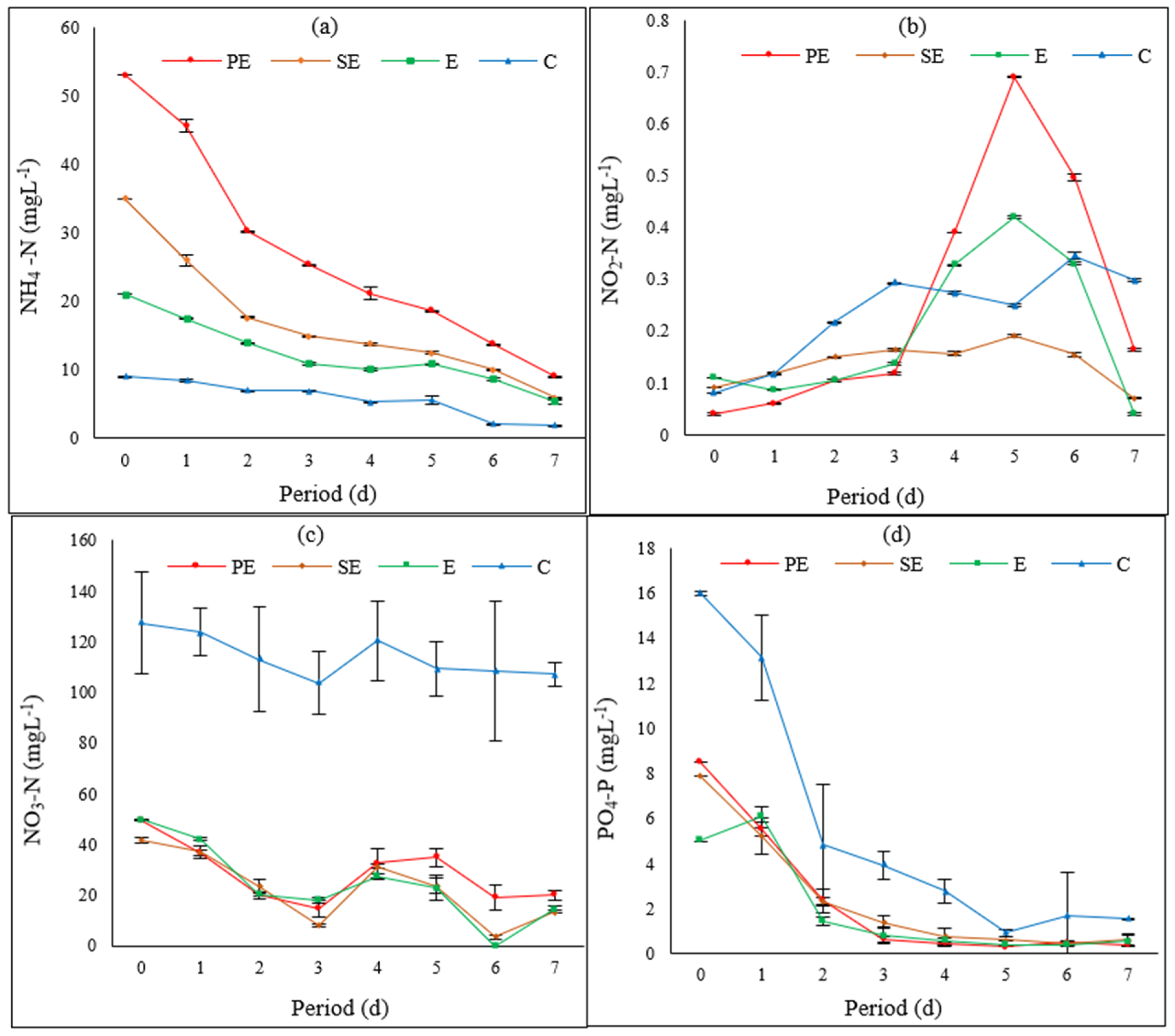
3.2. Performance in Pollutant Removal
| Growth Medium | Species | Removal (%) | Biomass Efficiency (gL−1 d−1) | Time (d) | Ref. | ||||||
|---|---|---|---|---|---|---|---|---|---|---|---|
| NH4-N | NO2-N | NO3-N | TN | P04-P | BOD5 | COD | |||||
| P-MWW | Chroococcus turgidus | 83.01 ± 0.01 | NR | 59.68 ± 4.11 | 71.58 ± 1.99 | 95.29 ± 0.12 | 76.20 ± 1.2 | 82.56 ± 3.9 | 0.10 ± 0.02 | 7 | This study |
| S-MWW | 82.78 ± 0.06 | 22.22 ± 2.22 | 67.99 ± 1.57 | 74.68 ± 0.56 | 92.41 ± 3.35 | 72.23 ± 1.43 | 58.02 ± 4.9 | 0.09 ± 0.02 | |||
| E-MWW | 74.62 ± 1.59 | 63.64 ± 1.57 | 71.14 ± 2.17 | 72.16 ± 0.84 | 89.00 ± 5.00 | 50.00 ± 1.05 | 73.21 ± 2.2 | 0.07 ± 0.02 | |||
| BG-11 | 79.07 ± 1.03 | NR | 15.97 ± 10.77 | 19.96 ± 0.84 | 90.42 ± 0.07 | 70.00 ± 1.32 | 77.23 ± 5.5 | 0.02 ± 0.00 | |||
| Tannery WW | Chroococcus turgidus | 70.0 | - | - | 70.0 | 95.0 | 50.0 | - | 10 | [32] | |
| Pharm WW | 30.0 | - | - | 70.0 | 95.0 | 50.0 | 50.0 | - | |||
| Oil drill WW (lab) | Chlorococcum humicola | - | - | 78.04 | - | 17.54 | 96.17 | 52.19 | - | 10 | [31] |
| Oil drill WW (pilot tank) | - | - | - | - | 70.27 | - | - | ||||
| Oil drill WW (scaled up tank) | - | - | 7.31 | - | - | 93.20 | 15.04 | - | |||
| Sewage and Industrial WW | N. muscorum, A. subcylindric | 20.9–96 | - | 19.6–80 | - | 20.8–95 | - | 20–57.1 | - | 10 | [79] |
| P-MWW | Nostoc muscorum | - | - | - | 72.0 | 88.2 | - | 85.7 | 5.901 mg L−1 d−1 | 7 | [4] |
| MWW | Chlorella, Cryptomonas, Scenedesmus | 80.0 | - | - | 75.0 | 95.0 | 92.0 | - | 3.5 to 22.7 gm−2d−1 | 7 | [80] |
| Consorsium diatom | - | - | - | 95.1 | 88.9 | 51.0 | 91 | 0.9 gL−1 | 10 | [55] | |
| C. humicola | - | - | 58.84 | - | 73.20 | 92.6 | - | - | 16 | [57] | |
| Oscillatoria sp. | - | - | 50.55 | - | 69.98 | 89.77 | - | - | |||
| Oscillatoria sp. | 98.125 | 100 | - | - | 84.718 | - | - | - | 5 | [58] | |
| Scenedesmus obliquus | 81.9 | - | 100 | - | 94 | - | 71.2 | 0.88 g L−1 | 16 | [59] | |
| Aquaculture WW | Chlorella sorokiniana | 98.2 | 81.8 | 75.8 | - | 100 | - | 88 | 269 mg L−1 d−1 | 14 | [62] |
| 75.6 | 96.4 | 84.5 | - | 74 | - | 71.88 | 498.14 mgL−1d−1 | 7 | [63] | ||
| Swine WW | Spirulina platensis | 92.0 | - | 49.0 | - | 67.0 | 45.0 | 67 | - | 16 | [81] |
| Agriculture runoff WW | Cyanobacteria | - | - | - | 95 | 96 | - | - | 24 mg TSS·L−1·d−1 | 15 | [65] |
3.3. Biochemical Performance
4. Conclusions
Supplementary Materials
Author Contributions
Funding
Institutional Review Board Statement
Informed Consent Statement
Data Availability Statement
Conflicts of Interest
References
- Qadir, M.; Drechsel, P.; Cisneros, B.J.; Kim, Y.; Pramanik, A.; Mehta, P.; Olaniyan, O. Global and Regional Potential of Wastewater as a Water, Nutrient and Energy Source. In Natural Resources Forum Oxford, UK; Blackwell Publishing Ltd.: Hoboken, NJ, USA, 2020; Volume 44, pp. 40–51. [Google Scholar] [CrossRef]
- UNESCO WWAP (UNESCO World Water Assessment Programme). The United Nations World Water Development Report 2019: Leaving No One Behind; UNESCO: Paris, France, 2019. [Google Scholar]
- Jones, E.R.; van Vliet, M.T.H.; Qadir, M.; Bierkens, M.F.P. Country-level and gridded estimates of wastewater production, collection, treatment and reuse. Earth Syst. Sci. Data 2021, 13, 237–254. [Google Scholar] [CrossRef]
- Sisman-Aydin, G. Comparative study on phycoremediation performance of three native microalgae for primary-treated municipal wastewater. Environ. Technol. Innov. 2022, 28, 102932. [Google Scholar] [CrossRef]
- Ji, B. Towards environment-sustainable wastewater treatment and reclamation by the non-aerated microalgal-bacterial granular sludge process: Recent advances and future directions. Sci. Total Environ. 2022, 806, 150707. [Google Scholar] [CrossRef] [PubMed]
- Al-Momani, F.A.; Örmeci, B. Performance of Chlorella vulgaris, Neochloris oleoabundans, and mixed indigenous microalgae for treatment of primary effluent, secondary effluent, and centrate. Ecol. Eng. 2016, 95, 280–289. [Google Scholar] [CrossRef]
- Şişman-Aydin, G.; Oral, R. Investigation of The Hormesis/Toxicity Potential of Manisa (Turkey) Urban Wastewater Treatment Plant by using Selenastrum Capricornutum Printz. Fresenius Environ. Bull. 2014, 23, 1183–1189. [Google Scholar]
- Sisman-Aydin, G. Microalgae technology and environmental use. Harran Univ. J. Eng. 2019, 4.1, 81–92. [Google Scholar]
- Olgu, E.J. Phycoremediation: Key issues for cost-effective nutrient removal process. Biotechnol. Adv. 2003, 22, 1–91. [Google Scholar] [CrossRef]
- Wang, J.H.; Zhang, T.Y.; Dao, G.H.; Xu, X.Q.; Wang, X.X.; Hu, H.Y. Microalgae-based advanced municipal wastewater treatment for reuse in water bodies. Appl. Microbiol. Biotechnol. 2017, 101, 2659–2675. [Google Scholar] [CrossRef]
- Liu, X.Y.; Hong, Y. Microalgae-based wastewater treatment and recovery with biomass and value-added products: A brief review. Curr. Pollut. Rep. 2021, 7, 227–245. [Google Scholar] [CrossRef]
- Rao, P.H.; Kumar, R.R.; Mohan, N. Phycoremediation: Role of Algae in Waste Management. In Environmental Contaminants: Ecological Implications and Management. Microorganisms for Sustainability; Bharagava, R., Ed.; Springer: Singapore, 2019; Volume 14. [Google Scholar] [CrossRef]
- Curtis, T.P.; Mara, D.D.; Dixo, N.G.H.; Silva, S.A. Light penetration in waste stabilization ponds. Water Res. 1994, 28, 1031–1038. [Google Scholar] [CrossRef]
- Chugh, M.; Kumar, L.; Shah, M.P.; Bharadvaja, N. Algal Bioremediation of heavy metals: An insight into removal mechanisms, recovery of by-products, challenges, and future opportunities. Energy Nexus 2022, 7, 100129. [Google Scholar] [CrossRef]
- Marella, T.K.; López-Pacheco, I.Y.; Parra-Saldívar, R.; Dixit, S.; Tiwari, A. Wealth from waste: Diatoms as tools for phycoremediation of wastewater and for obtaining value from the biomass. Sci. Total Environ. 2020, 724, 137960. [Google Scholar] [CrossRef] [PubMed]
- Parmar, A.; Singh, N.K.; Pandey, A.; Gnansounou, E.; Madamwar, D. Cyanobacteria and microalgae: A positive prospect for biofuels. Bioresour. Technol. 2011, 102, 10163–10172. [Google Scholar] [CrossRef]
- Dutta, N.; Usman, M.; Luo, G.; Zhang, S. An ınsight into valorization of lignocellulosic biomass by optimization with the combination of hydrothermal (HT) and biological techniques: A Review. Sustain. Chem. 2022, 3, 35–55. [Google Scholar] [CrossRef]
- Ahmad, A.; Banat, F.; Alsafar, H.; Hasan, S.W. Algae biotechnology for industrial wastewater treatment, bioenergy production, and high-value bioproducts. Sci. Total Environ. 2022, 806, 150585. [Google Scholar] [CrossRef]
- Vieira, M.V.; Pastrana, L.M.; Fuciños, P. Microalgae encapsulation systems for food, pharmaceutical and cosmetics applications. Mar. Drugs 2020, 18, 644. [Google Scholar] [CrossRef]
- Sood, A.; Renuka, N.; Prasanna, R.; Ahluwalia, A.S. Cyanobacteria as potential options for wastewater treatment. In Phytoremediation; Springer: Cham, Switzerland, 2015; pp. 83–93. [Google Scholar] [CrossRef]
- Wollmann, F.; Dietze, S.; Ackermann, J.U.; Bley, T.; Walther, T.; Steingroewer, J.; Krujatz, F. Microalgae wastewater treatment. Eng. Life Sci. 2019, 19, 860–871. [Google Scholar] [CrossRef]
- Sisman-Aydin, G.; Simsek, K. Investigation of the phycoremediation potential of freshwater green algae Golenkinia radiata for municipal wastewater. Sustainability 2022, 14, 15705. [Google Scholar] [CrossRef]
- Soltani, N.; Khodaei, K.; Alnajar, N.; Shahsavari, A.; Ardalan, A.A. Cyanobacterial community patterns as water quality Bioindicators. Iran. J. Fish. Sci. 2012, 11, 876–891. [Google Scholar]
- El–Kheir, A.; Wafaa, S.; El-Shimy, A.A.; Ali, A.H. Algal Flora and Physico-Chemical Properties of Sewage Water Treatment System in El-Gable Al-Asfar, Cairo Part 2-Biological Properties. Egypt. J. Phycol. 2006, 7, 49–66. [Google Scholar] [CrossRef]
- Ak, İ.; Cirik, S. Blue-green algae (Cyanobacteria) and thermalism. EgeJFAS 2017, 34, 227–233. [Google Scholar] [CrossRef]
- Manchanda, H.; Kaushik, A. Algal flora of the aridisols of Rohtak and salt-tolerance of the indigenous cyanobacteria. Trop. Ecol. 2000, 41, 217–224. [Google Scholar]
- Wijewardene, L.; Wu, N.; Qu, Y.; Guo, K.; Messyasz, B.; Lorenz, S.; Fohrer, N. Influences of pesticides, nutrients, and local environmental variables on phytoplankton communities in lentic small water bodies in a German lowland agricultural area. Sci. Total Environ. 2021, 780, 146481. [Google Scholar] [CrossRef] [PubMed]
- Kumar, M.S.; Praveenkumar, R.; Jeon, B.H.; Thajuddin, N. Chlorpyrifos-induced changes in the antioxidants and fatty acid compositions of Chroococcus turgidus NTMS 12. Lett. Appl. Microbiol. 2014, 59, 535–541. [Google Scholar] [CrossRef] [PubMed]
- Hidhayati, N.; Agustini, N.W.S.; Widyagustina, D. Antimicrobial activity of ethanol fraction from Cyanobacteria Chroococcus turgidus. IOP Conf. Ser. Environ. Earth Sci. 2020, 439, 012046. [Google Scholar] [CrossRef]
- Agustini, N.W.S.; Priadi, D.; Hidhayati, N.; Multri, H.D.; Rahman, D.Y. The Chroococcus turgidus Supplements in Jelly Candy Formulation as Antioxidant Agent. J. Hunan Univ. Nat. Sci. 2021, 48, 11. [Google Scholar]
- Sivasubramanian, V.; Muthukumaran, M. Large scale phycoremediation of oil drilling effluent. J. Algal Biomass Utln. 2012, 3, 5–17. [Google Scholar]
- Vignesh, M.; Shivasankar, S.; Hanumantha Rao, P.; Ranjith Kumar, R.; Sivasubramanian, V. Phycoremediation of effluents from tannery and pharmaceutical industries—A lab study. Ind. Hydrobiol. 2006, 9, 51–60. [Google Scholar]
- Sivasubramanian, V.; Subramanian, V.V.; Raghavan, B.G.; Ranjithkumar, R. Large scale phycoremediation of acidic effluent from an alginate industry. Sci. Asia 2009, 35, 220–226. [Google Scholar] [CrossRef]
- Sivasubramanian, V.; Subramanian, V.V.; Murali, R.; Vijayalakshmi, T.M. Algal biomass production integrated with sewage treatment and utilization as feedstock for bio-fuel. J. Algal Biomass Utln. 2012, 3, 65–70. [Google Scholar]
- Sivasubramanian, V. Micro algae for potential phycoremediation of industrial effluent—A case study. ENVIS Newlett. 2011, 9, 2–4. [Google Scholar]
- Li, Y.; Zhou, W.; Hu, B.; Min, M.; Chen, P.; Ruan, R.R. Integration of algae cultivation as biodiesel production feedstock with municipal wastewater treatment: Strains screening and significance evaluation of environmental factors. Bioresour. Technol. 2011, 102, 10861–10867. [Google Scholar] [CrossRef] [PubMed]
- Abdel-Raouf, N.; Al-Homaidan, A.A.; Ibraheem, I.B.M. Microalgae and wastewater treatment. Saudi J. Biol. Sci. 2012, 19, 257–275. [Google Scholar] [CrossRef]
- Valchev, D.; Ribarova, I. A Review on the Reliability and the Readiness Level of Microalgae-Based Nutrient Recovery Technologies for Secondary Treated Effluent in Municipal Wastewater Treatment Plants. Processes 2022, 10, 399. [Google Scholar] [CrossRef]
- Gutiérrez, J.E.; Gutiérrez-Hoyos, N.; Gutiérrez, J.S.; Vives, M.J.; Sivasubramanian, V. Bioremediation of a Sewage-Contaminated Tropical Swamp Through Bioaugmentation with a Microalgae-Predominant Microbial Consortium. Indian J. Microbiol. 2022, 62, 307–311. [Google Scholar] [CrossRef]
- Razli, S.A.; Abas, A.; Ismail, A.; Othman, M.; Mohtar, A.A.A.; Baharudin, N.H.; Latif, M.T. Epiphytic microalgae as biological indicators for carbon monoxide concentrations in different areas of Peninsular Malaysia. Environ. Forensics 2022, 23, 314–323. [Google Scholar] [CrossRef]
- Rippka, R.; Deruelles, J.; Waterbury, J.B.; Herdman, M.; Stainer, R.Y. Generic assignment, strain histories and properties of pure cultures of cyanobacteria. J. Gen. Microbiol. 1979, 111, 1–61. [Google Scholar] [CrossRef]
- Simsek, K.; Sisman-Aydin, G. Use of mixed wastewater in Cyanobacteria Chroococcus turgidus (Kutzing, 1849) culture. IJRIES 2019, 5, 124–130. [Google Scholar]
- Zhu, L.Z.; Wang, Q.; Shu, J.; Takala, E.; Hiltunen, P.; Feng, Z.Y. Nutrient removal and biodiesel production by integration of freshwater algae cultivation with piggery wastewater treatment. Water Res. 2013, 47, 4294–4302. [Google Scholar] [CrossRef]
- Bligh, E.G.; Dyer, W.J. A rapid method of total lipid extraction and purification. Can. J. Biochem. Physiol. 1959, 37, 911–917. [Google Scholar] [CrossRef]
- Lowry, O.H.; Rosebrough, N.J.; Farr, A.L.; Randall, R.J. Protein measurement with the folin phenol regent. J. Biol. Chem. 1951, 193, 265–275. [Google Scholar] [CrossRef] [PubMed]
- DuBois, M.; Gilles, K.; Hamilton, J.; Rebers, P.; Smith, F. Colorimetric method for determination of sugars and related substances. Anal. Chem. 1956, 28, 350–356. [Google Scholar] [CrossRef]
- Chen, X.; Hu, Z.; Qi, Y.; Song, C.; Chen, G. The interactions of algae-activated sludge symbiotic system and its effects on wastewater treatment and lipid accumulation. Bioresour. Technol. 2019, 292, 122017. [Google Scholar] [CrossRef] [PubMed]
- Zarrinmehr, M.J.; Farhadian, O.; Heyrati, F.P.; Keramat, J.; Koutra, E.; Kornaros, M.; Daneshvar, E. Effect of nitrogen concentration on the growth rate and biochemical composition of the microalga, Isochrysis galbana. Egypt. J. Aquat. Res. 2020, 46, 153–158. [Google Scholar] [CrossRef]
- Mohsenpour, S.F.; Hennige, S.; Willoughby, N.; Adeloye, A.; Gutierrez, T. Integrating micro-algae into wastewater treatment: A review. Sci. Total Environ. 2021, 752, 142168. [Google Scholar] [CrossRef]
- Whitton, R.; Le Mével, A.; Pidou, M.; Ometto, F.; Villa, R.; Jefferson, B. Influence of microalgal N and P composition on wastewater nutrient remediation. Water Res. 2016, 91, 371–378. [Google Scholar] [CrossRef]
- Iasimone, F.; Panico, A.; De Felice, V.; Fantasma, F.; Iorizzi, M.; Pirozzi, F. Effect of light intensity and nutrients supply on microalgae cultivated in urban wastewater: Biomass production, lipids accumulation and settleability characteristics. J. Environ. Manag. 2018, 223, 1078–1085. [Google Scholar] [CrossRef]
- Murugesan, S.; Sivasubramanian, V.; Altaff, K. Nutritional evaluation and culture of freshwater live food organisms on Catla catla. J. Algal Biomass Utln. 2010, 1, 82–103. [Google Scholar]
- Lourduraj, J.J.; Abraham, D.R. Screening of Microalgae Based on Biomass and Lipid Production at Indoor and Outdoor Cultivation Condition. Int. J. Pure Appl. Biosci. 2016, 4, 107–113. [Google Scholar] [CrossRef]
- Alam, A.; Ullah, S.; Alam, S.; Shah, H.U.; Aftab, S.; Siddiq, M.; Manzoor, N. Influence of culture media and carbon sources on biomass productivity and oil content of the algae Sirogonium sticticum, Temnogyra reflexa, Uronema elongatum, and Chroococcus turgidus. Turk. J. Bot. 2015, 39, 599–605. [Google Scholar] [CrossRef]
- Marella, T.K.; Parine, N.R.; Tiwari, A. Potential of diatom consortium developed by nutrient enrichment for biodiesel production and simultaneous nutrient removal from waste water. Saudi J. Biol. Sci. 2018, 25, 704–709. [Google Scholar] [CrossRef] [PubMed]
- Ji, M.K.; Abou-Shanab, R.A.I.; Kim, S.H.; Salama, E.S.; Lee, S.H.; Kabra, A.N.; Lee, Y.S.; Hong, S.; Jeon, B.H. Cultivation of microalgae species in tertiary municipal wastewater supplemented with CO2 for nutrient removal and biomass production. Ecol. Eng. 2013, 58, 142–148. [Google Scholar] [CrossRef]
- Singh, D.V.; Upadhyay, A.K.; Singh, R.; Singh, D.P. Microalgal competence in urban wastewater management: Phycoremediation and lipid production. Int. J. Phytoremediation 2022, 24, 831–841. [Google Scholar] [CrossRef]
- Madkour, A.G.; Rasheedy, S.H.; Dar, M.A.; Farahat, A.Z.; Mohammed, T.A. The Differential Efficiency of Chlorella vulgaris and Oscillatoria sp. to Treat the Municipal Wastewater. J. Biol. Agric. Healthcare 2017, 7, 22. [Google Scholar]
- Ahmad, F.; Ravindran, B.; Kumar, S.; Nasr, M.; Rawat, I.; Bux, F. Techno-economic estimation of wastewater phycoremediation and environmental benefts using Scenedesmus obliquus microalgae. J. Environ. Manag. 2019, 240, 293–302. [Google Scholar] [CrossRef]
- Ferro, L.; Gentili, F.G.; Funk, C. Isolation and characterization of microalgal strains for biomass production and wastewater reclamation in Northern Sweden. Algal Res. 2018, 32, 44–53. [Google Scholar] [CrossRef]
- Ashokkumar, V.; Chen, W.H.; Ngamcharussrivichai, C.; Agila, E.; Ani, F.N. Potential of sustainable bioenergy production from Synechocystis sp. cultivated in wastewater at large scale a low cost biorefnery approach. Energy Convers. Manag. 2019, 186, 188–199. [Google Scholar] [CrossRef]
- Zhou, W.; Li, Y.; Min, M.; Hu, B.; Zhang, H.; Ma, X.; Li, L.; Cheng, Y.; Chen, P.; Ruan, R. Growing wastewater-born microalga Auxenochlorella protothecoides UMN280 on concentrated municipal wastewater for simultaneous nutrient removal and energy feedstock production. Appl. Energy 2012, 98, 433–440. [Google Scholar] [CrossRef]
- Guldhe, A.; Ansari, F.A.; Singh, P.; Bux, F. Heterotrophic cultivation of microalgae using aquaculture wastewater: A biorefinery concept for biomass production and nutrient remediation. Ecol. Eng. 2017, 99, 47–53. [Google Scholar] [CrossRef]
- Khatoon, H.; Haris, H.; Rahman, N.A.; Zakaria, M.N.; Begum, H.; Mian, S. Growth, Proximate Composition and Pigment production of Tetraselmis chuii cultured with aquaculture wastewater. J. Ocean Univ. China 2018, 17, 641–646. [Google Scholar] [CrossRef]
- Rueda, E.; García-Galán, M.J.; Ortiz, A.; Uggetti, E.; Carretero, J.; García, J.; Díez-Montero, R. Bioremediation of agricultural runof and biopolymers production from cyanobacteria cultured in demonstrative full-scale photobioreactors. Process Saf. Environ. Prot. 2020, 139, 241–250. [Google Scholar] [CrossRef]
- Apandi, N.; Mohamed, R.M.S.R.; Al-Gheethi, A.; Gani, P.; Ibrahim, A.; Kassim, A.H.M. Scenedesmus biomass productivity and nutrient removal from wet market wastewater, A bio-kinetic study. Waste Biomass Valor. 2019, 10, 2783–2800. [Google Scholar] [CrossRef]
- Su, Y. Revisiting carbon, nitrogen, and phosphorus metabolisms in microalgae for wastewater treatment. Sci. Total Environ. 2021, 762, 144590. [Google Scholar] [CrossRef] [PubMed]
- El-Sheekh, M.; El-Dalatony, M.M.; Thakur, N.; Zheng, Y.; El-Sayed, S. Role of microalgae and cyanobacteria in wastewater treatment: Genetic engineering and omics approaches. Int. J. Environ. Sci. Technol. 2022, 19, 2173–2194. [Google Scholar] [CrossRef]
- Chan, A.; Salsali, H.; McBean, E. Nutrient removal (nitrogen and phosphorous) in secondary effluent from a wastewater treatment plant by microalgae. Can. J. Civil Eng. 2014, 41, 118–124. [Google Scholar] [CrossRef]
- Wang, L.; Min, M.; Li, Y.; Chen, P.; Chen, Y.; Liu, Y.; Ruan, R. Cultivation of green algae Chlorella sp. in different wastewaters from municipal wastewater treatment plant. Appl. Biochem. Biotechnol. 2010, 162, 1174–1186. [Google Scholar] [CrossRef]
- Sanz-Luque, E.; Chamizo-Ampudia, A.; Llamas, A.; Galvan, A.; Fernandez, E. Understanding nitrate assimilation and its regulation in microalgae. Front. Plant Sci. 2015, 6, 899. [Google Scholar] [CrossRef]
- Lau, P.S.; Tam, N.F.Y.; Wong, Y.S. Effect of algal density on nutrient removal from primary settled wastewater. Environ. Pollut. 1995, 89, 59–66. [Google Scholar] [CrossRef]
- Wang, J.; Zhou, W.; Chen, H.; Zhan, J.; He, C.; Wang, Q. Ammonium Nitrogen Tolerant Chlorella Strain Screening and Its Damaging Effects on Photosynthesis. Front. Microbiol. 2019, 9, 32–50. [Google Scholar] [CrossRef]
- Queiroz, L.M.; Aun, M.V.; Morita, D.M.; Sobrinho, P.A. Biological nitrogen removal over nitritation/denitritation using phenol as carbon source. Braz. J. Chem. Eng. 2011, 28, 197–207. [Google Scholar] [CrossRef]
- Crawford, N.M. Nitrate: Nutrient and signal for plant growth. Plant Cell 1995, 7, 859–868. [Google Scholar] [CrossRef]
- Su, Y.; Mennerich, A.; Urban, B. Comparison of nutrient removal capacity and biomass settleability of four high-potential microalgal species. Bioresour. Technol. 2012, 124, 157–162. [Google Scholar] [CrossRef]
- Beuckels, A.; Smolders, E.; Muylaert, K. Nitrogen availability influences phosphorus removal in microalgae-based wastewater treatment. Water Res. 2015, 77, 98–106. [Google Scholar] [CrossRef]
- James, I.; Yoon, L.W.; Chow, Y.H. Effect of phosphorus-limited nutrients on growth and glucose production from microalgae. In Proceedings of the International Engineering Research Conference, Subang Jaya, Malaysia, 3–4 July 2019; AIP Publishing: College Park, MD, USA, 2019; p. 020005. [Google Scholar] [CrossRef]
- El-Sheekh, M.M.; El-Shouny, W.A.; Osman, M.E.; El-Gammal, E.W. Treatment of Sewage and Industrial Wastewater Effluents by the Cyanobacteria Nostoc muscorum and Anabaena subcylinderica. J. Water Chem. Technol. 2014, 36, 190–197. [Google Scholar] [CrossRef]
- Novoveská, L.; Zapata, A.K.; Zabolotney, J.B.; Atwood, M.C.; Sundstrom, E.R. Optimizing microalgae cultivation and wastewater treatment in large-scale offshore photobioreactors. Algal Res. 2016, 18, 86–94. [Google Scholar] [CrossRef]
- Cheunbarn, S.; Peerapornpisal, Y. Cultivation of Spirulina platensis using Anaerobically Swine Wastewater Treatment Effluent. Int. J. Agric. Biol. 2010, 12, 586–590. [Google Scholar]
- Nurdogan, Y.; Oswald, W.J. Enhanced nutrient removal in high-rate ponds. Water Sci. Technol. 1995, 31, 33–43. [Google Scholar] [CrossRef]
- Choi, H.J.; Lee, S.M. Effects of microalgae on the removal of nutrients from wastewater: Various concentrations of Chlorella vulgaris. Environ. Eng. Res. 2012, 17, 3–8. [Google Scholar] [CrossRef]
- Rani, S.; Chowdhury, R.; Tao, W.; Nedbalova, L. Microalga-Mediated Tertiary Treatment of Municipal Wastewater: Removal of Nutrients and Pathogens. Sustainability 2021, 13, 9554. [Google Scholar] [CrossRef]
- Venkata, S.G.; Rajvanshi, M.; Navish, K.B.; Govindachary, S.; Prasad, V.; Dasgupta, S. Carbon streaming in microalgae: Extraction and analysis methods for high value compounds. Bioresour. Technol. 2017, 244, 1304–1306. [Google Scholar] [CrossRef]
- Nie, C.; Pei, H.; Jiang, L.; Cheng, J.; Han, F. Growth of large-cell and easily-sedimentation microalgae Golenkinia SDEC-16 for biofuel production and campus sewage treatment. Renew. Energy 2018, 122, 517–525. [Google Scholar] [CrossRef]
- Kotoula, D.; Iliopoulou, A.; Irakleous-Palaiologou, E.; Gatidou, G.; Aloupi, M.; Antonopoulou, P.; Stasinakis, A.S. Municipal wastewater treatment by combining in series microalgae Chlorella sorokiniana and macrophyte Lemna minör. Preliminary results. J. Clean. Prod. 2020, 271, 122704. [Google Scholar] [CrossRef]
- Wang, J.; Zhou, W.; Yang, H.; Wang, F.; Ruan, R. Trophic mode conversion and nitrogen deprivation of microalgae for high ammonium removal from synthetic wastewater. Bioresour. Technol. 2015, 196, 668–676. [Google Scholar] [CrossRef]
- Wu, Y.H.; Hu, H.Y.; Yu, Y.; Zhang, T.Y.; Zhu, S.F.; Zhuang, L.L.; Zhang, X.; Lu, Y. Microalgal species for sustainable biomass/lipid production using wastewater as resource: A review. Renew. Sustain. Energy Rev. 2014, 33, 675–688. [Google Scholar] [CrossRef]
- Ajala, S.O.; Alexander, M.L. Assessment of Chlorella vulgaris, Scenedesmus obliquus, and Oocystis minuta for removal of sulfate, nitrate, and phosphate in wastewater. Int. J. Energy Environ. Eng. 2020, 11, 311–326. [Google Scholar] [CrossRef]
- Obeid, F.; Van, T.C.; Brown, R.; Rainey, T. Nitrogen and sulphur in algal biocrude: A review of the HTL process, upgrading, engine performance and emissions. Energy Convers. Manag. 2019, 181, 105–119. [Google Scholar] [CrossRef]
- Shifrin, N.S.; Chisholm, S.W. Phytoplankton lipids: Differences and effects of nitrate, silicate and lightdark cycles. J. Phycol. 1981, 17, 372–384. [Google Scholar] [CrossRef]
- Liu, T.; Chen, Z.; Xiao, Y.; Yuan, M.; Zhou, C.; Liu, G.; Fang, J.; Yang, B. Biochemical and morphological changes triggered by nitrogen stress in the oleaginous microalga Chlorella vulgaris. Microorganisms 2022, 10, 566. [Google Scholar] [CrossRef]





| Parameters | Growth Medium | |||
|---|---|---|---|---|
| PE | SE | E | C (BG-11) | |
| maxChl-a, µgL−1 | 118.05 ± 2.45 | 114.80 ± 0.2 | 107.65 ± 1.75 | 124.50 ± 0.02 |
| maxChl-b µgL−1 | 93.07 ± 1.79 | 95.86 ± 0.97 | 88.37 ± 0.89 | 113.90 ± 3.27 |
| µ, day−1 | 1.03 ± 0.06 | 0.78 ± 0.03 | 0.73 ± 0.01 | 0.54 ± 0.02 |
| µ, day−1 | 0.88 ± 0.03 | 0.67 ± 0.01 | 0.65 ± 0.00 | 0.46 ± 0.01 |
| DW, g L−1 | 0.90 ± 0.1 | 0.81 ± 0.06 | 0.63 ± 0.09 | 0.5 ± 0.05 |
| BP gL−1d−1 | 0.10 ± 0.02 | 0.09 ± 0.02 | 0.07 ± 0.02 | 0.06 ± 0.01 |
| C:N:P | 40.5:12.1:1.0 | 36.7:9.7:1 | 37.1:14.2:1 | 25.1:8.5:1.0 |
| Lipid % | 21.75 ± 3.04 | 28.05 ± 2.26 | 15.50 ± 1.53 | 10.03 ± 0.7 |
| Protein % | 35.25 ± 1.22 | 21.18 ± 0.83 | 28.97 ± 1.26 | 26.25 ± 3.27 |
| Carbohydrate % | 39.0 ± 2.1 | 43.05 ± 1.9 | 43.93 ± 1.02 | 17.80 ± 2.0 |
| Medium | Microalgae | Dry Weight Biomass gL−1 | Percentage Biochemical Contents (%) | Culture Time (d) | Ref. | ||
|---|---|---|---|---|---|---|---|
| Lipid | Carbohydrate | Protein | |||||
| P-MWW | Chroococcus turgidus | 0.90 ± 0.1 | 21.75 ± 3.04 | 39.00 ± 2.1 | 35.25 ± 1.22 | 7 | This study |
| S-MWW | 0.81 ± 0.06 | 28.05 ± 2.26 | 43.05 ± 1.9 | 21.18 ± 0.83 | |||
| E-MWW | 0.63 ± 0.09 | 15.50 ± 1.53 | 43.93 ± 1.02 | 28.97 ± 1.26 | |||
| BG11 | 0.5 ± 0.05 | 10.03 ± 0.70 | 17.80 ± 2.0 | 26.25 ± 3.27 | |||
| BG11 | Chroococcus turgidus | - | 3.28 ± 0.39 | 78.89 ± 0.26 | 17.80 ± 0.41 | 10 | [52] |
| Chu 10 medium | Chroococcus turgidus | ≈1.2 | 10.1 ± 0.52 | - | - | 28 | [53] |
| Britol’s medium | Chroococcus turgidus | 0.35 | 6.25 | - | - | 15 | [54] |
| MWW + IWW | Diatom consortium | 0.9 | 30.13 | - | - | 10 | [55] |
| MWW + 15% CO2 | Ourococcus multisporus | 0.31 | 31 | - | - | 8 | [56] |
| MWW | C. humicola | - | 33.55 | 29.81 | 4.80 | 16 | [57] |
| Oscillatoria sp. | - | 6.07 | 12.39 | 30.07 | 16 | ||
| Oscillatoria sp. | - | 11.76 | 27.36 | 32.9 | 5 | [58] | |
| Scenedesmus obliquus | 0.88 | 26.5 | 27.5 | 28.5 | 16 | [59] | |
| Coelastrella sp. | 1.46 g L−1 | 30.80 | - | - | 13 | [60] | |
| Synechocystis PCC6803 | 0.21 g L−1 d−1 | 28 | 27.1 | - | 44 | [61] | |
| Aquaculture WW | Auxenochlorella protothecoides UMN280 | 1.51 gL−1d−1 | 28.9 | - | - | 4 | [62] |
| Chlorella sorokiniana | 1.51 | 33.45 | 35.43 | 29.46 | 7 | [63] | |
| Tetraselmis chuii | - | 17.6 | 33 | 12 | 8 | [64] | |
| Agriculture runoff WW | Cyanobacteria | 24 mg TSS·L−1·d−1 | - | 4.5–69 | - | 15 | [65] |
| Wet market WW | Scenedesmus sp. | 98.54 mgL−1·d−1 | 23.2 | - | 41.2 | 18 | [66] |
| Parameters | Initial Concentration of Growth Medium | Final Concentration of Growth Medium | ||||||
|---|---|---|---|---|---|---|---|---|
| PE | SE | E | C (BG-11) | PE | SE | E | C (BG-11) | |
| Chl-a quota, µgL−1 | 24.65 ± 0.74 | 19.11 ± 0.07 | 21.09 ± 0.66 | 14.18 ± 0.02 | 118.05 ± 2.45 | 114.80 ± 0.2 | 107.65 ± 1.75 | 147.15 ± 7.77 |
| Chl-b quota, µgL−1 | 21.59 ± 0.48 | 18.63 ± 0.49 | 18.61 ± 0.28 | 14.86 ± 0.4 | 93.07 ± 1.79 | 95.86 ± 0.97 | 88.37 ± 0.89 | 113.90 ± 3.27 |
| NH4-N mgL−1 | 53.00 ± 0.0 | 35.00 ± 0.0 | 21.00 ± 0.0 | 9.00 ± 0.01 | 9.01 ± 0.01 | 6.03 ± 0.02 | 5.33 ± 0.33 | 1.88 ± 0.1 |
| NO2-N mgL−1 | 0.04 ± 0.0 | 0.09 ± 0.0 | 0.11 ± 0.0 | 0.08 ± 0.0 | 0.16 ± 0.0 | 0.07 ± 0.0 | 0.04 ± 0.0 | 0.30 ± 0.0 |
| NO3-N mgL−1 | 49.60 ± 0.1 | 41.66 ± 1.0 | 49.66 ± 0.3 | 127.33 ± 20.2 | 20.00 ± 2.0 | 13.33 ± 0.58 | 14.33 ± 1.17 | 107.00 ± 4.77 |
| TN mgL−1 | 102.64 ± 0.1 | 76.75 ± 1.0 | 70.77 ± 0.3 | 136.41 ± 20.2 | 29.17 ± 1.99 | 19.43 ± 0.56 | 19.70 ± 0.84 | 109.18 ± 4.82 |
| PO4-P mgL−1 | 8.50 ± 0.0 | 7.90 ± 0.0 | 5.00 ± 0.0 | 16.00 ± 0.1 | 0.40 ± 0.01 | 0.60 ± 0.26 | 0.55 ± 0.25 | 1.53 ± 0.01 |
| BOD5 mgL−1 | 201 ± 0.1 | 148.01 ± 0.2 | 48 ± 0.0 | 120 ± 0.0 | 48.84 ± 0.4 | 41.26 ± 0.1 | 24.0 ± 0.85 | 36.0 ± 0.9 |
| COD mgL−1 | 344 ± 2.25 | 290 ± 1.61 | 185.57 ± 2.41 | 402.55 ± 3.11 | 59.99 ± 0.01 | 121.74 ± 0.1 | 49.71 ± 1.0 | 91.66 ± 0.06 |
| pH | 8.35 ± 0.0 | 8.12 ± 0.0 | 8.05 ± 0.0 | 8.47 ± 0.34 | 9.18 ± 0.1 | 9.13 ± 0.13 | 8.46 ± 0.44 | 8.99 ± 0.55 |
| DO mgL−1 | 8.30 ± 0.0 | 8.80 ± 0.0 | 8.69 ± 0.0 | 8.77 ± 0.09 | 9.12 ± 0.02 | 8.79 ± 0.06 | 8.55 ± 0.15 | 8.54 ± 0.09 |
| T °C | 21.36 ± 0.08 | 21.20 ± 0.0 | 22.00 ± 0.0 | 22.15 ± 0.04 | 24.00 ± 0.0 | 24.00 ± 0.0 | 24.00 ± 0.0 | 24.00 ± 0.0 |
| S‰ | 3.10 ± 0.0 | 2.80 ± 0.0 | 2.80 ± 0.0 | 0.53 ± 0.12 | 2.90 ± 0.0 | 2.60 ± 0.0 | 2.60 ± 0.0 | 0.60 ± 0.0 |
| Cond µscm−1 | 5.53 × 103 ± 0.0 | 4.98 × 103 ± 0.0 | 5.00 × 103 ± 0.0 | 1.17 × 103 ± 0.0 | 5.49 × 103 ± 200 | 4.82 × 103 ± 67 | 4.87 × 103 ± 82 | 1.13 × 103 ± 123 |
Publisher’s Note: MDPI stays neutral with regard to jurisdictional claims in published maps and institutional affiliations. |
© 2022 by the authors. Licensee MDPI, Basel, Switzerland. This article is an open access article distributed under the terms and conditions of the Creative Commons Attribution (CC BY) license (https://creativecommons.org/licenses/by/4.0/).
Share and Cite
Sisman-Aydin, G.; Simsek, K. Municipal Wastewater Effects on the Performance of Nutrient Removal, and Lipid, Carbohydrate, and Protein Productivity of Blue-Green Algae Chroococcus turgidus. Sustainability 2022, 14, 17021. https://doi.org/10.3390/su142417021
Sisman-Aydin G, Simsek K. Municipal Wastewater Effects on the Performance of Nutrient Removal, and Lipid, Carbohydrate, and Protein Productivity of Blue-Green Algae Chroococcus turgidus. Sustainability. 2022; 14(24):17021. https://doi.org/10.3390/su142417021
Chicago/Turabian StyleSisman-Aydin, Goknur, and Kemal Simsek. 2022. "Municipal Wastewater Effects on the Performance of Nutrient Removal, and Lipid, Carbohydrate, and Protein Productivity of Blue-Green Algae Chroococcus turgidus" Sustainability 14, no. 24: 17021. https://doi.org/10.3390/su142417021
APA StyleSisman-Aydin, G., & Simsek, K. (2022). Municipal Wastewater Effects on the Performance of Nutrient Removal, and Lipid, Carbohydrate, and Protein Productivity of Blue-Green Algae Chroococcus turgidus. Sustainability, 14(24), 17021. https://doi.org/10.3390/su142417021

