Nutritional Characterization and Novel Use of “Copafam” Bean (Phaseolus coccineus L.) for the Sustainable Development of Mountains Areas
Abstract
1. Introduction
2. Materials and Methods
2.1. Plant Materials
2.2. Phytochemical Composition
2.2.1. Extraction
2.2.2. Extraction for HPLC
2.2.3. Basic Hydrolysis
2.2.4. Antioxidant Activity
2.2.5. Polyphenols Content
2.2.6. Flavonoids
2.2.7. Anthocyanins
2.2.8. TIA
2.2.9. Phytic Acid
2.2.10. Statistical Analysis
2.3. Consumer Study
2.3.1. Participants
2.3.2. Samples
2.3.3. Liking Assessment and Sensory Descriptive Evaluation
2.3.4. Food Neophobia Evaluation
2.3.5. Experimental Procedure
2.3.6. Data Analysis
3. Results
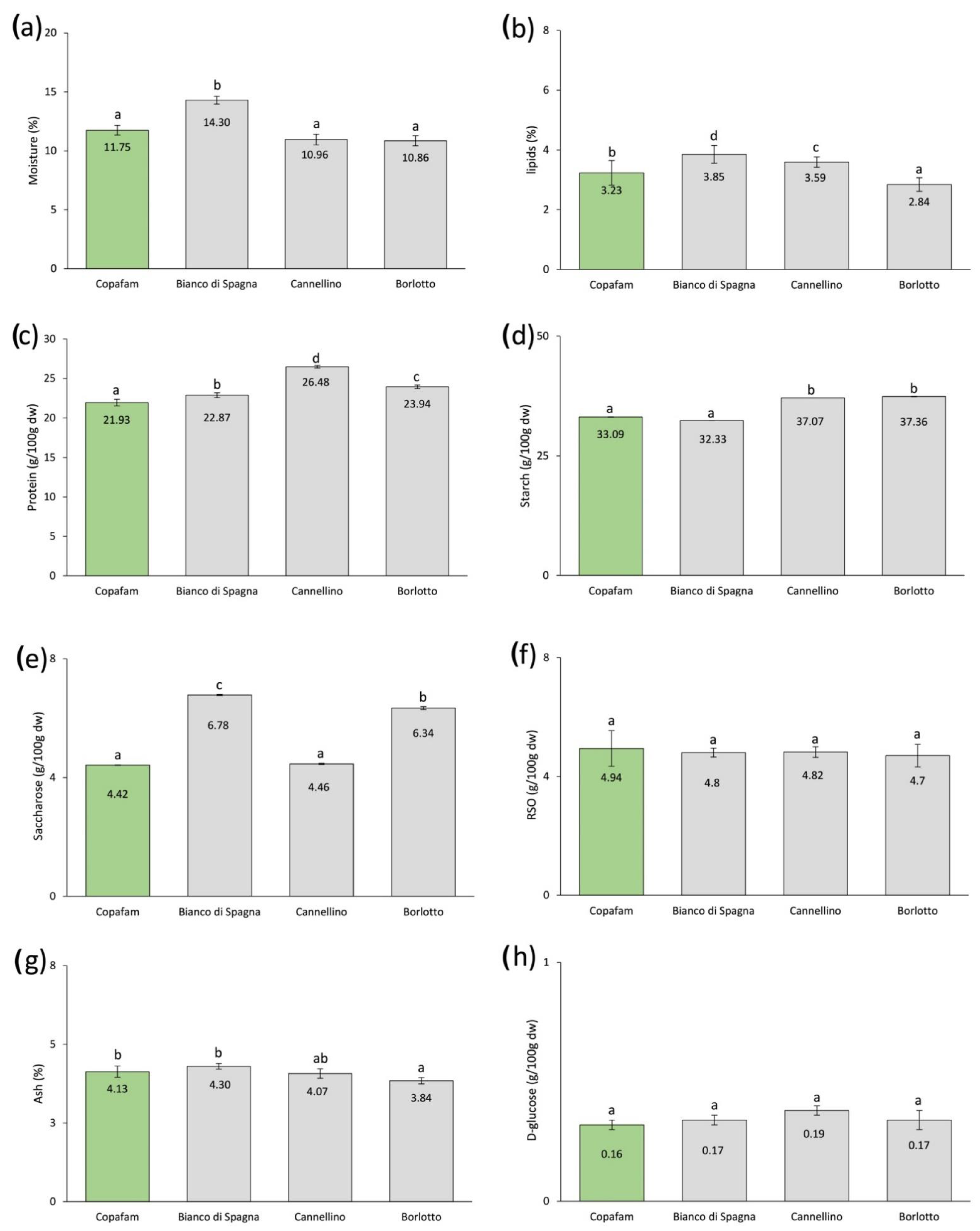
3.1. Nutritional and Phytochemicals Composition
3.2. Consumer Study
4. Discussion
5. Conclusions
Author Contributions
Funding
Institutional Review Board Statement
Informed Consent Statement
Data Availability Statement
Acknowledgments
Conflicts of Interest
Appendix A
| Source of Variance | Df | Sum of Squares | Mean Square | F-Ratio | p-Value |
|---|---|---|---|---|---|
| Moisture | 3 | 233,020 | 77,673.4 | 47.25 | 0.0000 |
| Protein | 3 | 347,634 | 115,878 | 137.59 | 0.0000 |
| Lipid | 3 | 17,450.9 | 5816.97 | 71.67 | 0.0000 |
| TPC | 3 | 2.92 × 1013 | 9.73 × 1012 | 615.76 | 0.0000 |
| Anthocyanin | 3 | 1.10 × 1012 | 3.68 × 1011 | 40,725.9 | 0.0000 |
| DPPH | 3 | 8.06× 1011 | 2.69 × 10 11 | 462.68 | 0.0000 |
| Ash | 3 | 3115.58 | 1038.53 | 11.09 | 0.0032 |
| TFC | 3 | 560,994 | 186,998 | 1298.6 | 0.0000 |
| P-cumaric | 3 | 149,656 | 49,885.4 | 108.31 | 0.0000 |
| Sinapic | 3 | 353,152 | 117,717 | 76.85 | 0.0000 |
| Ferulic | 3 | 1.25 × 1011 | 417,903 | 29.48 | 0.0001 |
| TIA | 3 | 51,709.6 | 17,236.5 | 12.09 | 0.0024 |
| Phytic acid | 3 | 1630.33 | 543,444 | 10.62 | 0.0037 |
| D-glucose | 3 | 14.25 | 4.75 | 2.28 | 0.1563 |
| Saccarose | 3 | 137,592 | 45,864.1 | 4138.11 | 0.0000 |
| RSO | 3 | 872.25 | 290.75 | 0.18 | 0.9083 |
| Starch | 3 | 620,205 | 206,735 | 19.71 | 0.0005 |
| Dietary fibre | 3 | 2.48 × 1011 | 828,181 | 77.61 | 0.0000 |
References
- Giupponi, L.; Leoni, V. VegeT: An Easy Tool to Classify and Facilitate the Management of Seminatural Grasslands and Dynamically Connected Vegetation of the Alps. Land 2020, 9, 473. [Google Scholar] [CrossRef]
- Raggi, L.; Pacicco, L.C.; Caproni, L.; Álvarez-Muñiz, C.; Annamaa, K.; Barata, A.M.; Batir-Rusu, D.; Díez, M.J.; Heinonen, M.; Holubec, V.; et al. Analysis of landrace cultivation in Europe: A means to support in situ conservation of crop diversity. Biol. Conserv. 2022, 267, 109460. [Google Scholar] [CrossRef]
- Singh, V.; Jardhari, V. Landrace renaissance in the mountains: Experiences of the Beej Bachao Andolan in the Garhwal Himalayan region, India. In An Exchange of Experiences from South and South East Asia, Proceedings of the International Symposium on Participatory Plant Breeding and Participatory Plant Genetic Resources Enhancement, Pokhara, Nepal, 1–5 May 2000; Consultative Group on International Agricultural Research (CGIAR), Participatory Research and Gender Analysis (PRGA), Program Coordination Office: Cali, Colombia, 2001; pp. 87–96. [Google Scholar]
- Giupponi, L.; Pilu, R.; Scarafoni, A.; Giorgi, A. Plant agro-biodiversity needs protection, study and promotion: Results of research conducted in Lombardy region (Northern Italy). Biodivers. Conserv. 2020, 29, 409–430. [Google Scholar] [CrossRef]
- FAO. Agricultural Biodiversity, Multifunctional Character of Agriculture and Land Conference, Background Paper 1; FAO: Maastricht, The Netherlands, 1999. [Google Scholar]
- Villa, T.; Maxted, N.; Scholten, M.; Ford-Lloyd, B. Defining and identifying crop landraces. Plant Genet. Res. 2005, 3, 373–384. [Google Scholar] [CrossRef]
- Ceccarelli, S. Landraces: Importance and use in breeding and environmentally friendly agronomic systems. In Agrobiodiversity Conservation: Securing the Diversity of Crop Wild Relatives and Landraces; Maxted, N., Ehsan Dulloo, M., Ford-Lloyd, B.V., Frese, L., Iriondo, J.M., Pinheiro de Carvalho, M.A.A., Eds.; CAB International: Oxfordshire, UK, 2012; pp. 3–117. [Google Scholar]
- Puglisi, D.; Landoni, M.; Cassani, E.; Toschi, I.; Lucchini, G.; Cesari, V.; Borlini, G.; Scapin, A.; Pilu, R. Traditional farmers’ varieties: A valuable source of genetic variability for biofortification programs. Maydica 2018, 63, 10. [Google Scholar]
- Frison, E.A.; Cherfas, J.; Hodgkin, T. Agricultural biodiversity is essential for a sustainable improvement in food and nutrition security. Sustainability 2011, 3, 238–253. [Google Scholar] [CrossRef]
- Bertolino, M.A. Agri-Cultural Resistance and Local Development: The Cases of Lavender and Rye in the Susa Valley In La Nuova Centralità Della Montagna; Bolognesi, M., Corrado, F., Eds.; Territorio Rivista di Studi Territorialisti Firenze University Press: Firenze, Italy, 2009. [Google Scholar]
- FAO. 2021. Available online: https://www.fao.org/director-general/news/news-article/it/c/1390762/ (accessed on 11 April 2021).
- United Nations. Transforming Our World: The 2030 Agenda for Sustainable Development. 2015. Available online: https://undocs.org/A/RES/70/1 (accessed on 11 September 2021).
- FAO. Building on Gender, Agrobiodiversity and Local Knowledge; Food and Agriculture Organization of the United Nations: Rome, Italy, 2004. [Google Scholar]
- FAO. Second Report on the State of the World’s Plant Genetic Resources for Food and Agriculture. Commission on Genetic Resources for Food and Agriculture; Food and Agriculture Organization of the United Nations: Rome, Italy, 2010. [Google Scholar]
- EU Commission. EUROPE 2020 a Strategy for Smart, Sustainable and Inclusive Growth. 2010. Available online: https://eurlex.europa.eu/legal-content/EN/TXT/?uri=CELEX%3A52010DC2020 (accessed on 11 September 2020).
- European Commission. A European Green Deal. Available online: https://ec.europa.eu/info/strategy/priorities-2019-2024/european-green-deal (accessed on 19 November 2021).
- Spataro, G.; Negri, V. The European seed legislation on conservation varieties: Focus, implementation, present and future impact on landrace on farm conservation. Genet. Resour. Crop Evol. 2013, 60, 2421–2430. [Google Scholar] [CrossRef]
- European Commission. EU COM 380, 20.5.2020. Communication from the Commission to the European Parliament, the Council, the European Economic and Social Committee and the Commettee of the Regions: EU Biodiversity Strategy for 2030. Bringing Nature Back into Our Lives. Available online: https://ec.europa.eu/info/sites/info/files/communication-annex-eubiodiversity-strategy-2030_en.pdf. (accessed on 19 November 2021).
- Fenzi, M.; Couix, N. Growing maize landraces in industrialized countries: From the search for seeds to emerge of new practices and value. Int. J. Agric. Sustain. 2021, 20, 327–345. [Google Scholar] [CrossRef]
- Giupponi, L.; Borgonovo, G.; Panseri, S.; Giorgi, A. Multidisciplinary study of a little known landrace of Fagopyrum tataricum Gaertn. of Valtellina (Italian Alps). Genet. Resour. Crop Evol. 2019, 66, 783–796. [Google Scholar] [CrossRef]
- Giupponi, L.; Leoni, V.; Pedrali, D.; Ceciliani, G.; Bassoli, A.; Borgonovo, G. Morphometric and phytochemical characterization and elevation effect on yield of three potato landraces of the Ligurian Apennines (Northern Italy). J. Appl. Bot. Food 2020, 93, 234–243. [Google Scholar] [CrossRef]
- Giupponi, L.; Leoni, V.; Colombo, F.; Cassani, E.; Hejna, M.; Rossi, L.; Pilu, R. Characterization of “Mais delle Fiorine” (Zea mays L.) and nutritional, morphometric and genetic comparison with other maize landraces of Lombardy region (Northern Italy). Genet. Resour. Crop Evol. 2021, 68, 2075–2091. [Google Scholar] [CrossRef]
- Giupponi, L.; Pedrali, D.; Leoni, V.; Rodari, A.; Giorgi, A. The Analysis of Italian Plant Agrobiodiversity Databases Reveals That Hilly and Sub-Mountain Areas Are Hotspots of Herbaceous Landraces. Diversity 2021, 13, 70. [Google Scholar] [CrossRef]
- Aquino-Bolaños, E.N.; Garzón-García, A.; Alba-Jiménez, J.; Chávez-Servia, J.; Vera-Guzmán, A.; Carrillo-Rodríguez, J.; Santos-Basurto, M. Physicochemical Characterization and Functional Potential of Phaseolus vulgaris L. and Phaseolus coccineus L. Landrace Green Beans. Agronomy 2021, 11, 803. [Google Scholar] [CrossRef]
- Alcázar-Valle, M.; Lugo-Cervantes, E.; Mojica, L.; Morales-Hernández, N.; Reyes-Ramírez, H.; Enríquez-Vara, J.N.; García-Morales, S. Bioactive Compounds, Antioxidant Activity, and Antinutritional Content of Legumes: A Comparison between Four Phaseolus Species. Molecules 2020, 25, 3528. [Google Scholar] [CrossRef]
- Rodríguez Madrera, R.; Negrillo, A.C.; Valles, B.S.; Ferreira Fernández, J.J. Phenolic Content and Antioxidant Activity in Seeds of Common Bean (Phaseolus vulgaris L.). Foods 2021, 10, 864. [Google Scholar] [CrossRef]
- National Recovery and Resilience Plan (NRRP). Available online: https://www.governo.it/sites/governo.it/files/PNRR.pdf (accessed on 19 November 2021).
- Rodríguez Madrera, R.; Valles, B.S. Development and validation of ultrasound assisted extraction (UAE) and HPLC-DAD method for determination of polyphenols in dry beans (Phaseolus vulgaris). J. Food Compost. Anal. 2020, 85, 10334. [Google Scholar] [CrossRef]
- Finetti, F.; Biagi, M.; Ercoli, J.; Macrì, G.; Miraldi, E.; Trabalzini, L. Phaseolus vulgaris L. var. Venanzio Grown in Tuscany: Chemical Composition and In Vitro Investigation of Potential Effects on Colorectal Cancer. Antioxidant 2020, 9, 1181. [Google Scholar] [CrossRef]
- Lin, L.Z.; Harnly, M.J.; Pastor-Corrales, M.S.; Luthria, D.L. The polyphenolic profiles of common bean (Phaseolus vulgaris L.). Food Chem. 2008, 107, 399–410. [Google Scholar] [CrossRef]
- Correia Bento, J.A.; Ribeiro, P.R.V.; e Silva, L.M.A.; Filho, E.G.A.; Bassinello, P.Z.; de Brito, E.S.; Caliari, M.; Júnior, M.S.S. Chemical profile of colorful bean (Phaseolus vulgaris L.) flours: Changes influenced by the cooking method. Food Chem. 2021, 356, 129718. [Google Scholar] [CrossRef]
- Giupponi, L.; Tamburini, A.; Giorgi, A. Prospects for Broader Cultivation and Commercialization of Copafam, a Local Variety of Phaseolus coccineus L. in the Brescia Pre-Alps. Mt. Res. Dev. 2018, 38, 24–34. [Google Scholar] [CrossRef]
- Bortnowska, G.; Krudos, A.; Schube, V.; Krawczyńska, W.; Krzemińska, N.; Mojka, K. Effects of waxy rice and tapioca starches on the physicochemical and sensory properties of white sauces enriched with functional fibre. Food Chem. 2016, 202, 31–39. [Google Scholar] [CrossRef] [PubMed]
- Wang, Y.; Trani, A.; Knaapila, A.; Hietala, S.; Coda, R.; Katina, K.; Maina, N.H. The effect of in situ produced dextran on flavour and texture perception of wholegrain sorghum bread. Food Hydrocoll. 2020, 106, 105913. [Google Scholar] [CrossRef]
- Proserpio, C.; Bresciani, A.; Marti, A.; Pagliarini, E. Legume Flour or Bran: Sustainable, Fiber-Rich Ingredients for Extruded Snacks? Foods 2020, 9, 1680. [Google Scholar] [CrossRef]
- AOAC International. AOAC Method n_9991.36; 945.18; 993.40. In Official Methods of Analysis of AOAC International, 18th ed.; Horwitz, W., Latimer, G.W., Eds.; AOAC International: Gaithersburg, ML, USA, 2005. [Google Scholar]
- American Association of Cereal Chemists (AACC). Approved Methods of Analysis; Method n_ 08-01.01., 11th ed.; AACC International: St. Paul, MN, USA, 1999. [Google Scholar]
- Brand-Williams, W.; Cuvelier, M.E.; Berset, C. Use of a free radical method to evaluate antioxidant activity. LWT-Food Sci. Technol. 1995, 28, 25–30. [Google Scholar] [CrossRef]
- Saura-Calixto, L.; Bravo, F. Charactererization of Dietary Fiber and the In Vitro Indigestible Fraction of Grape Pomace. Am. J. Enol. Vitic. 1998, 49, 135–141. [Google Scholar]
- Abdel-Aal, E.-S.M.; Hucl, P. A Rapid Method for Quantifying Total Anthocyanins in Blue Aleurone and Purple Pericarp Wheats. Cereal Chem. 1999, 76, 350–354. [Google Scholar] [CrossRef]
- ISO 14902:2001; Animal Feeding Stuffs—Determination of Trypsin Inhibitor Activity of Soya Products. International Standardization Organization: Geneva, Swizzerland, 2010.
- Ares, G.; Deliza, R.; Barreiro, C.; Giménez, A.; Gámbaro, A. Comparison of two sensory profiling techniques based on consumer perception. Food Qual. Prefer. 2010, 21, 417–426. [Google Scholar] [CrossRef]
- Jaeger, S.R.; Chheang, S.L.; Yin, J.; Bava, C.M.; Gimenez, A.; Vidal, L.; Ares, G. Check-all-that-apply (CATA) questions for sensory product characterization by consumers: Investigations into the number of terms used in CATA questions. Food Qual. Prefer. 2015, 42, 154–164. [Google Scholar] [CrossRef]
- Meyners, M.; Castura, J.C. Randomization of CATA attributes: Should attribute lists be allocated to assessors or to samples? Food Qual. Prefer. 2016, 48, 210–215. [Google Scholar] [CrossRef]
- Laureati, M.; Spinelli, S.; Monteleone, E.; Dinnella, C.; Prescott, J.; Cattaneo, C.; Proserpio, C.; De Toffoli, A.; Gasperi, F.; Endrizzi, I.; et al. Associations between food neophobia and responsiveness to “warning” chemosensory sensations in food products in a large population sample. Food Qual. Prefer. 2018, 68, 113–124. [Google Scholar] [CrossRef]
- Capistrán-Carabarin, A.; Aquino-Bolaños, E.N.; García-Díaz, Y.D.; Chávez-Servia, J.L.; Vera-Guzmán, A.M.; Carrillo-Rodríguez, J.C. Complementarity in Phenolic Compounds and the Antioxidant Activities of Phaseolus coccineus L. and P. vulgaris L. Landraces. Foods 2019, 8, 295. [Google Scholar] [CrossRef] [PubMed]
- Conti, M.V.; Guzzetti, L.; Panzeri, D.; De Giuseppe, R.; Coccetti, P.; Labra, M.; Cena, H. Bioactive compounds in legumes: Implications for sustainable nutrition and health in the elderly population. Trends Food Sci. Technol. 2021, 117, 139–147. [Google Scholar] [CrossRef]
- Yoshida, H.; Yoshida, N.; Tomiyama-Sakamoto, Y.; Mizushina, Y. Characteristic distributions of fatty acids in different lipids from Jack beans (Canavalia gladiata DC.). Eur. J. Lipid Sci. Technol. 2012, 114, 787–793. [Google Scholar] [CrossRef]
- Doan, L.P.; Nguyen, T.T.; Pham, M.Q.; Tran, Q.T.; Pham, Q.L.; Tran, D.Q.; Than, V.T.; Bach, L.G. Extraction processes, identification of fatty acids, tocopherols, sterols and phenolic constituents and antioxidant evaluation of seed oils from five fabaceae species. Processes 2019, 7, 456. [Google Scholar] [CrossRef]
- WHO. 2020. Available online: https://www.who.int/news-room/fact-sheets/detail/healthy-diet (accessed on 20 April 2022).
- WHO. Diet, Nutrition and the Prevention of Chronic Diseases: Report of a Joint WHO/FAO Expert Consultation; WHO Technical Report Series, No. 916; World Health Organization: Geneva, Switzerland, 2003. [Google Scholar]
- WHO. Guideline: Sugars Intake for Adults and Children; World Health Organization: Geneva, Switzerland, 2015. [Google Scholar]
- WHO. 2022. Available online: https://www.who.int/news/item/04-03-2022-world-obesity-day-2022-accelerating-action-to-stop-obesity (accessed on 20 April 2022).
- Alava, C.; Verdú, S.; Barat, J.M.; Grau, R. Enrichment of chips with fibre from a tiger-nut (Cyperus esculentus) milk co-product at ‘source of fibre foods’ and ‘high fibre content foods’ levels: Impact on processing, physico-chemical and sensory properties. Int. J. Food Sci. 2019, 54, 908–915. [Google Scholar] [CrossRef]
- Jaeger, S.R.; Axten, L.G.; Wohlers, M.W.; Sun-Waterhouse, D. Polyphenol-rich beverages: Insights from sensory and consumer science. J. Sci. Food Agric. 2009, 89, 2356–2363. [Google Scholar] [CrossRef]
- Kushwah, S.; Dhir, A.; Sagar, M.; Gupta, B. Determinants of organic food consumption. A systematic literature review on motives and barriers. Appetite 2019, 143, 104402. [Google Scholar] [CrossRef]
- Tuorila, H.; Hartmann, C. Consumer responses to novel and unfamiliar foods. Curr. Opin. Food Sci. 2020, 33, 1–8. [Google Scholar] [CrossRef]
- Millar, K.A. Effect of pulse flours on the physiochemical characteristics and sensory acceptance of baked crackers. Int. J. Food Sci. 2017, 52, 1155–1163. [Google Scholar] [CrossRef]
- Venkatachalam, K.; Nagarajan, M. Physicochemical and sensory properties of savory crackers incorporating green gram flour to partially or wholly replace wheat flour. Ital. J. Food Sci. 2017, 29, 599. [Google Scholar] [CrossRef]
- Simons, C.W.; Hall, C., III. Consumer acceptability of gluten-free cookies containing raw cooked and germinated pinto bean flours. Food Sci. Nutr. 2018, 6, 77–84. [Google Scholar] [CrossRef] [PubMed]
- Anton, A.A.; Lukow, O.M.; Fulcher, R.G.; Arntfield, S.D. Shelf stability and sensory properties of flour tortillas fortified with pinto bean (Phaseolus vulgaris L.) flour: Effects of hydrocolloid addition. LWT-Food Sci. Technol. 2009, 42, 23–29. [Google Scholar] [CrossRef]
- Siegrist, M.; Hartmann, C.; Keller, C. Antecedents of food neophobia and its association with eating behavior and food choices. Food Qual. Prefer. 2013, 30, 293–298. [Google Scholar] [CrossRef]
- Rudebjer, P.G.; Schagen, B.V.; Chakeredza, S.; Njoroge, K.; Kamau, H.; Baena, M. Teaching Agrobiodiversity: A Curriculum Guide for Higher Education; Bioversity International: Rome, Italy, 2011. [Google Scholar]
- Veteto, J.R. Seeds of Persistence: Agrobiodiversity in the American Mountain South. CAFÉ 2014, 36, 17–27. [Google Scholar] [CrossRef]
- United Nations, Department of Economic and Social Affairs—Sustainable Development. Make the SDG a Reality, Discover the Goals. Available online: https://sdgs.un.org/#goal_section (accessed on 9 December 2021).
- Cassani, E.; Puglisi, D.; Cantaluppi, E.; Landoni, M.; Giupponi, L.; Giorgi, A.; Pilu, R. Genetic studies regarding the control of seed pigmentation of an ancient European pointed maize (Zea mays L.) rich in phlobaphenes: The “Nero Spinoso” from the Camonica valley. Genet. Resour. Crop Evol. 2017, 64, 761–773. [Google Scholar] [CrossRef]






| Sensory Attributes | Samples | ||||||
|---|---|---|---|---|---|---|---|
| ST | Bor25 | Bor50 | Can25 | Can50 | Cop25 | Cop50 | |
| Appearance | |||||||
| Light color *** | 73 d | 26 b | 3 a | 73 d | 49 c | 19 ab | 1 a |
| Dark color *** | 0 a | 17 ab | 59 c | 0 a | 5 ab | 20 b | 54 c |
| Patchy *** | 5 ab | 18 bc | 14 ab | 5 ab | 30 | 31 cd | 37 d |
| Uniform *** | 55 c | 25 b | 24 b | 56 c | 50 c | 16 ab | 5 a |
| Speckled *** | 3 a | 51 b | 59 b | 2 a | 3 a | 56 b | 64 b |
| Odor | |||||||
| Mild *** | 40 c | 31 abc | 23 ab | 39 bc | 34 abc | 32 abc | 19 a |
| Strong ** | 5 a | 10 ab | 12 ab | 6 ab | 17 ab | 8 ab | 18 b |
| Butter *** | 41 c | 32 bc | 8 a | 35 c | 10 a | 34 c | 17 ab |
| Legumes *** | 3 a | 7 ab | 20 c | 8 ab | 12 abc | 7 ab | 17 bc |
| Toasted *** | 2 ab | 12 abcd | 21 d | 1 a | 14 bcd | 7 abc | 19 cd |
| Taste | |||||||
| Sour n.s. | 1 a | 2 a | 1 a | 0 a | 3 a | 1 a | 3 a |
| Bitter *** | 0 a | 2 a | 20 c | 1 a | 5 ab | 4 ab | 14 bc |
| Sweet *** | 39 d | 21 abc | 7 a | 29 cd | 23 bc | 24 bcd | 13 ab |
| Salty n.s. | 6 a | 11 a | 6 a | 6 a | 6 a | 4 a | 6 a |
| Flavor | |||||||
| Mild *** | 47 b | 30 ab | 13 a | 45 b | 31 ab | 38 b | 15 a |
| Strong *** | 10 a | 18 ab | 27 b | 9 a | 18 ab | 9 a | 23 ab |
| Butter *** | 42 d | 16 abc | 2 a | 28 cd | 11 ab | 21 bc | 4 a |
| Legumes *** | 4 a | 24 bc | 35 c | 8 a | 25 bc | 15 ab | 30 bc |
| Toasted *** | 2 a | 9 ab | 32 c | 6 ab | 18 bc | 9 ab | 24 c |
| Texture | |||||||
| Sticky ** | 2 a | 2 a | 1 a | 10 b | 3 ab | 4 ab | 1 a |
| Crunchy *** | 19 a | 34 abc | 47 c | 21 a | 39 bc | 30 ab | 33 abc |
| Floury ** | 19 a | 13 a | 12 a | 20 a | 18 a | 8 a | 10 a |
| Crumbly *** | 52 b | 48 b | 25 a | 48 b | 41 ab | 44 b | 45 b |
| Grainy *** | 11 ab | 11 ab | 15 abc | 6 a | 10 a | 27 c | 25 bc |
| Dry ** | 22 a | 29 b | 39 b | 17 a | 32 ab | 30 ab | 28 ab |
| Moist n.s. | 3 a | 1 a | 1 a | 5 a | 2 a | 2 a | 1 a |
Publisher’s Note: MDPI stays neutral with regard to jurisdictional claims in published maps and institutional affiliations. |
© 2022 by the authors. Licensee MDPI, Basel, Switzerland. This article is an open access article distributed under the terms and conditions of the Creative Commons Attribution (CC BY) license (https://creativecommons.org/licenses/by/4.0/).
Share and Cite
Pedrali, D.; Proserpio, C.; Borgonovi, S.M.; Zuccolo, M.; Leoni, V.; Borgonovo, G.; Bernardi, A.M.; Scarafoni, A.; Pagliarini, E.; Giorgi, A.; et al. Nutritional Characterization and Novel Use of “Copafam” Bean (Phaseolus coccineus L.) for the Sustainable Development of Mountains Areas. Sustainability 2022, 14, 13409. https://doi.org/10.3390/su142013409
Pedrali D, Proserpio C, Borgonovi SM, Zuccolo M, Leoni V, Borgonovo G, Bernardi AM, Scarafoni A, Pagliarini E, Giorgi A, et al. Nutritional Characterization and Novel Use of “Copafam” Bean (Phaseolus coccineus L.) for the Sustainable Development of Mountains Areas. Sustainability. 2022; 14(20):13409. https://doi.org/10.3390/su142013409
Chicago/Turabian StylePedrali, Davide, Cristina Proserpio, Sara Margherita Borgonovi, Marco Zuccolo, Valeria Leoni, Gigliola Borgonovo, Alessia Maria Bernardi, Alessio Scarafoni, Ella Pagliarini, Annamaria Giorgi, and et al. 2022. "Nutritional Characterization and Novel Use of “Copafam” Bean (Phaseolus coccineus L.) for the Sustainable Development of Mountains Areas" Sustainability 14, no. 20: 13409. https://doi.org/10.3390/su142013409
APA StylePedrali, D., Proserpio, C., Borgonovi, S. M., Zuccolo, M., Leoni, V., Borgonovo, G., Bernardi, A. M., Scarafoni, A., Pagliarini, E., Giorgi, A., & Giupponi, L. (2022). Nutritional Characterization and Novel Use of “Copafam” Bean (Phaseolus coccineus L.) for the Sustainable Development of Mountains Areas. Sustainability, 14(20), 13409. https://doi.org/10.3390/su142013409

