Fault Ride through Capability Augmentation of a DFIG-Based Wind Integrated VSC-HVDC System with Non-Superconducting Fault Current Limiter
Abstract
1. Introduction
- (a)
- Excessive DC link voltage fluctuation
- (b)
- High fault current and oscillation in DFIG speed and active power
- (c)
- Improper size of BFCL impedance for DFIG-based HVDC systems
2. Bridge-Type Fault Current Limiter
2.1. BFCL Structure, Operation, and Design
2.2. BFCL Control Strategy
3. DFIG Wind System Modeling
3.1. Wind Turbine Modeling
3.2. Doubly Fed Induction Generator (DFIG) Modeling
4. Controller Design
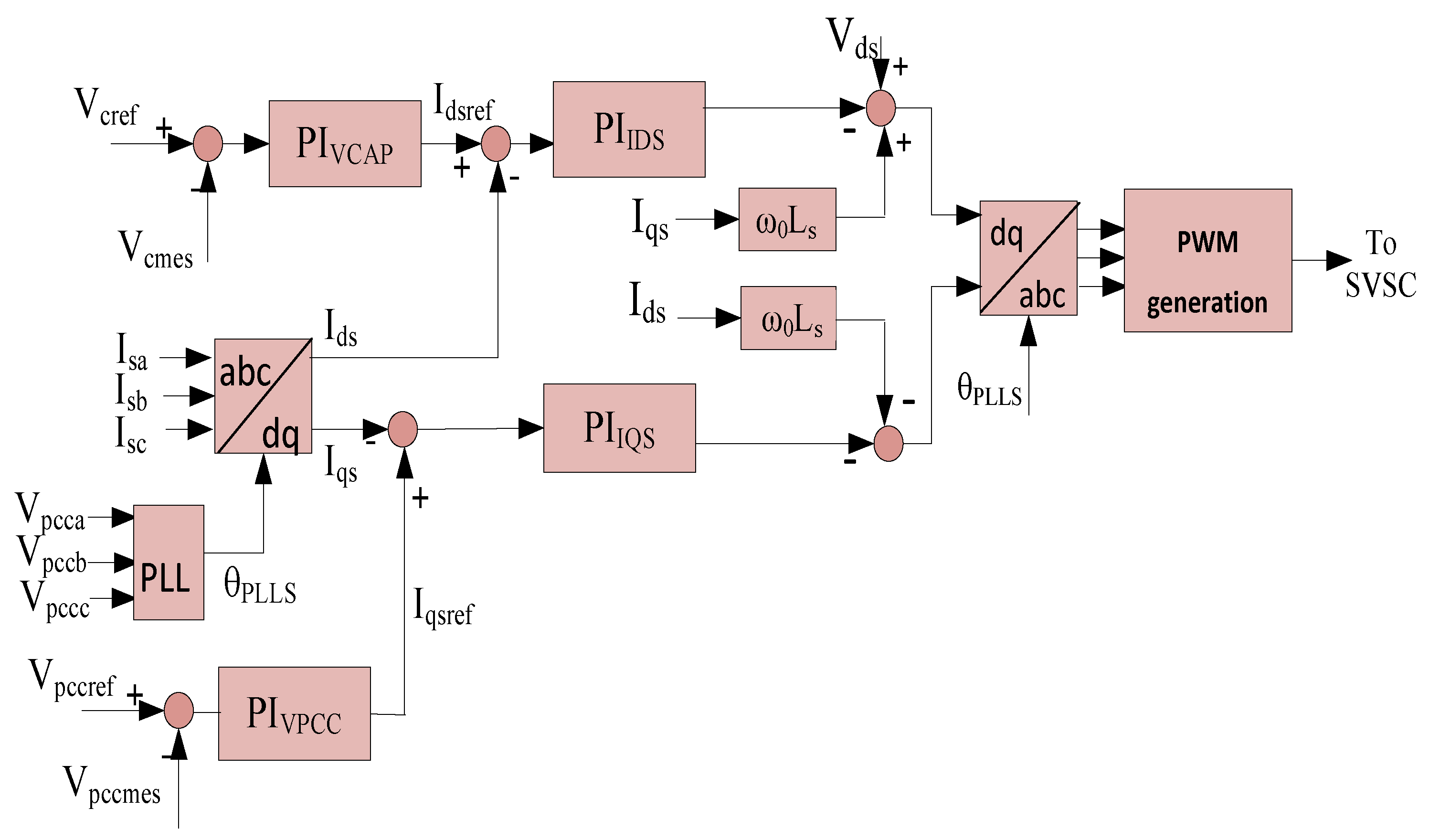
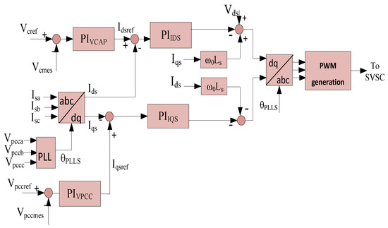
4.1. Control of Stator Voltage Source Converter (SVSC)
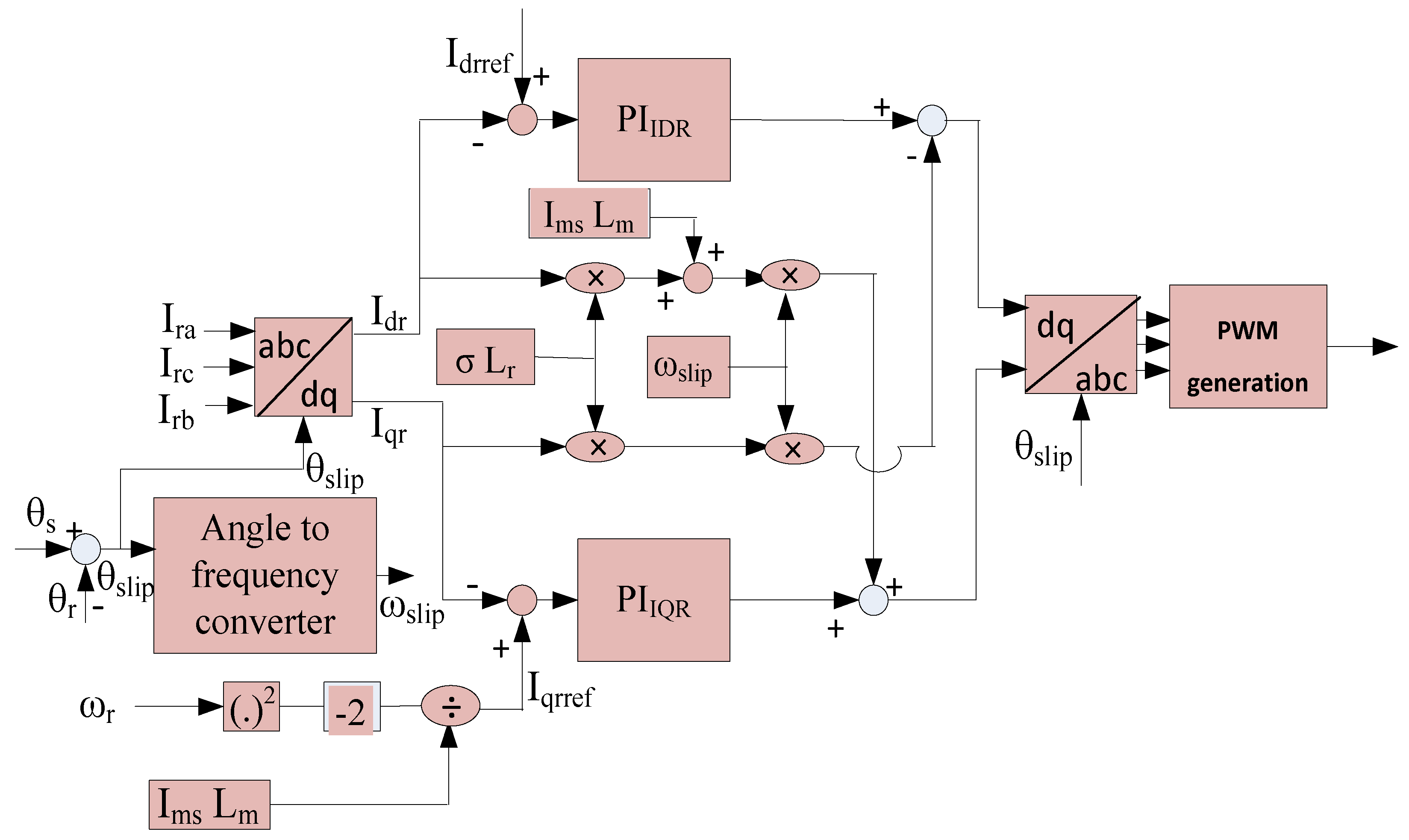
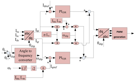
4.2. Control of Rotor Voltage Source Converter (RVSC)
4.3. Control of Wind Turbine Voltage Source Converter (WTVSC)
4.4. Control of Grid Voltage Source Converter (GVSC)
5. Results and Discussions
5.1. System Data
5.2. Controller Parameter Design
5.3. RTDS Implementation
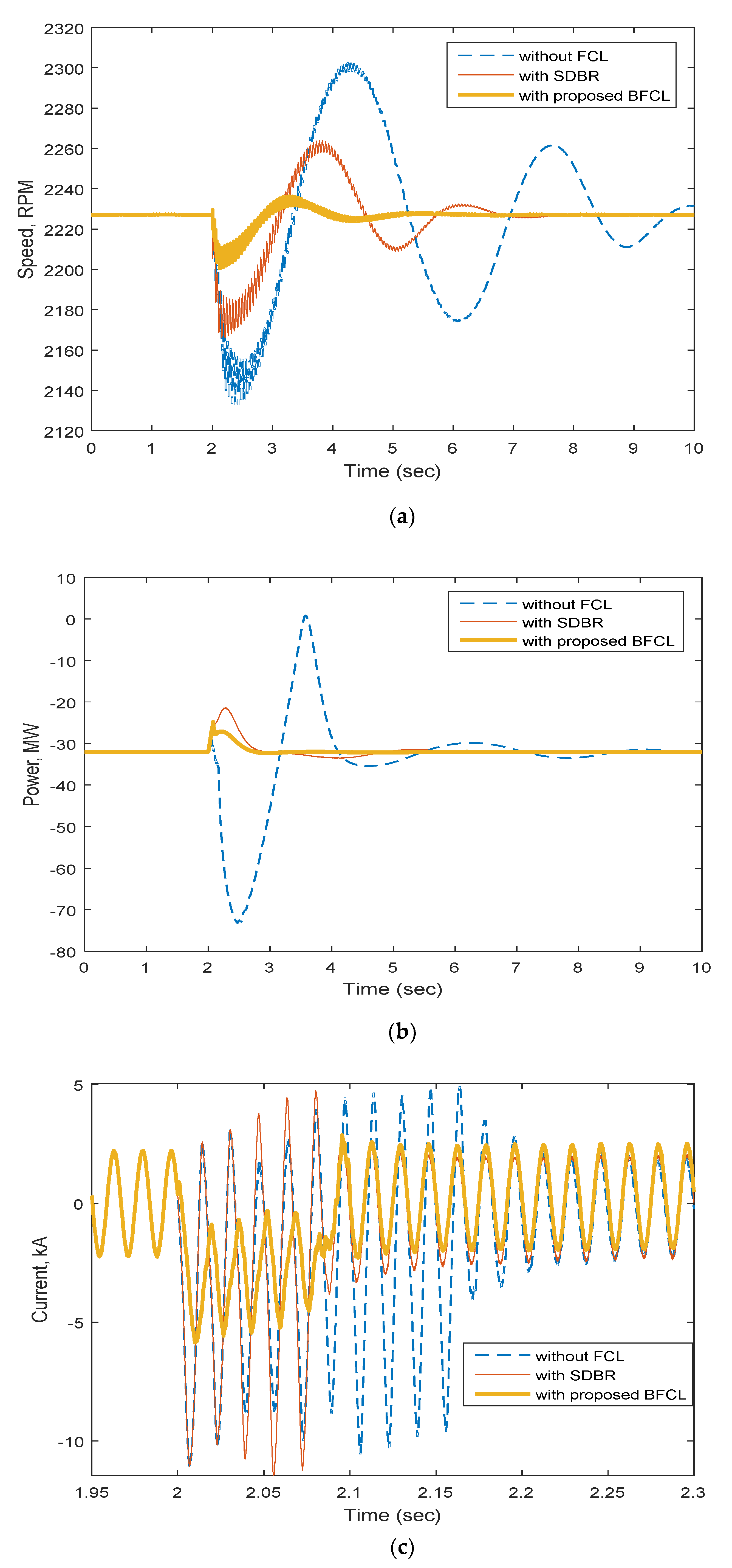
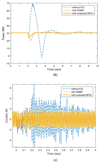
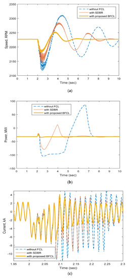
5.4. Simulation Results
- (i)
- without FCL;
- (ii)
- with SDBR;
- (iii)
- with proposed BFCL.
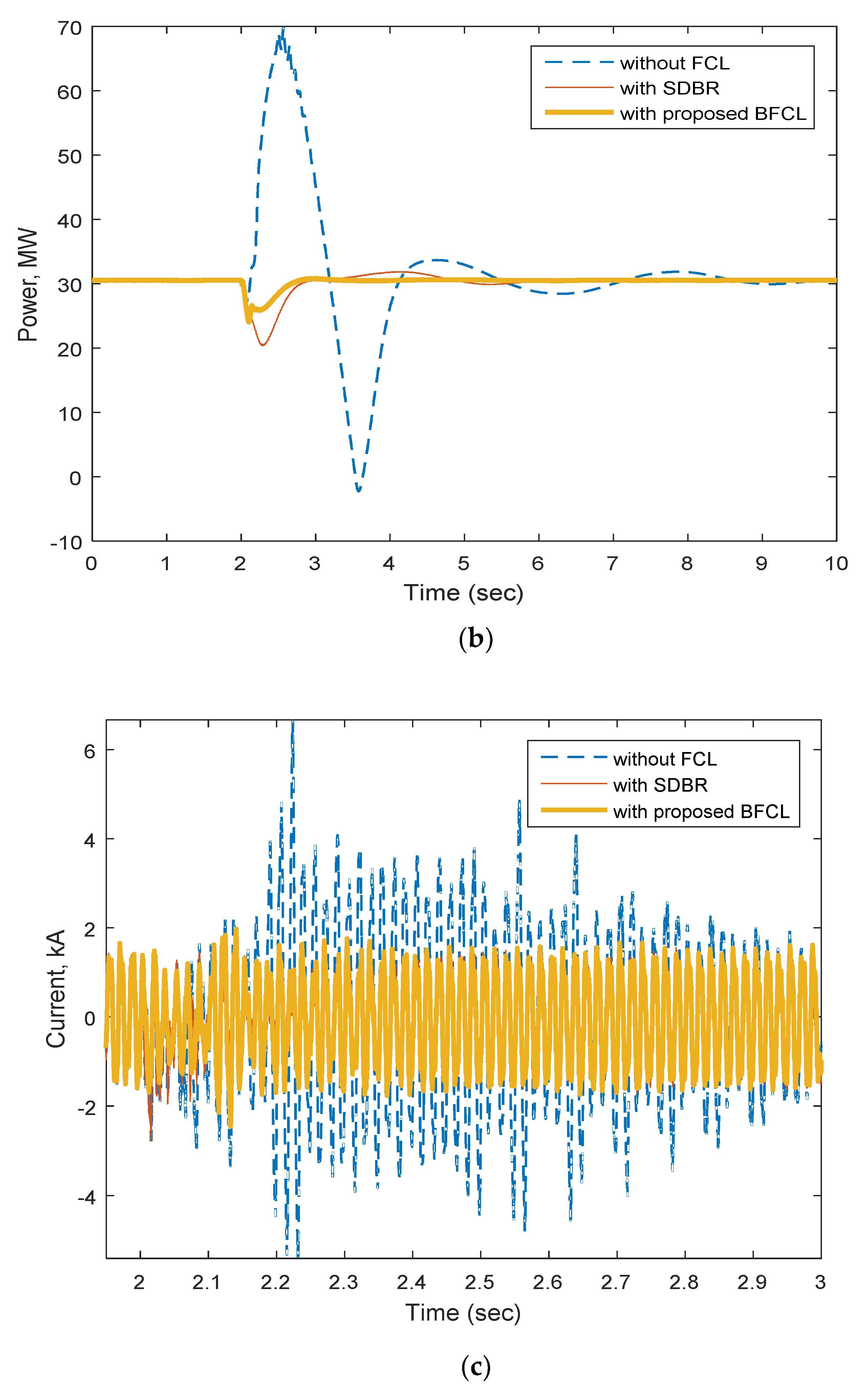
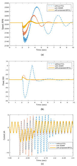
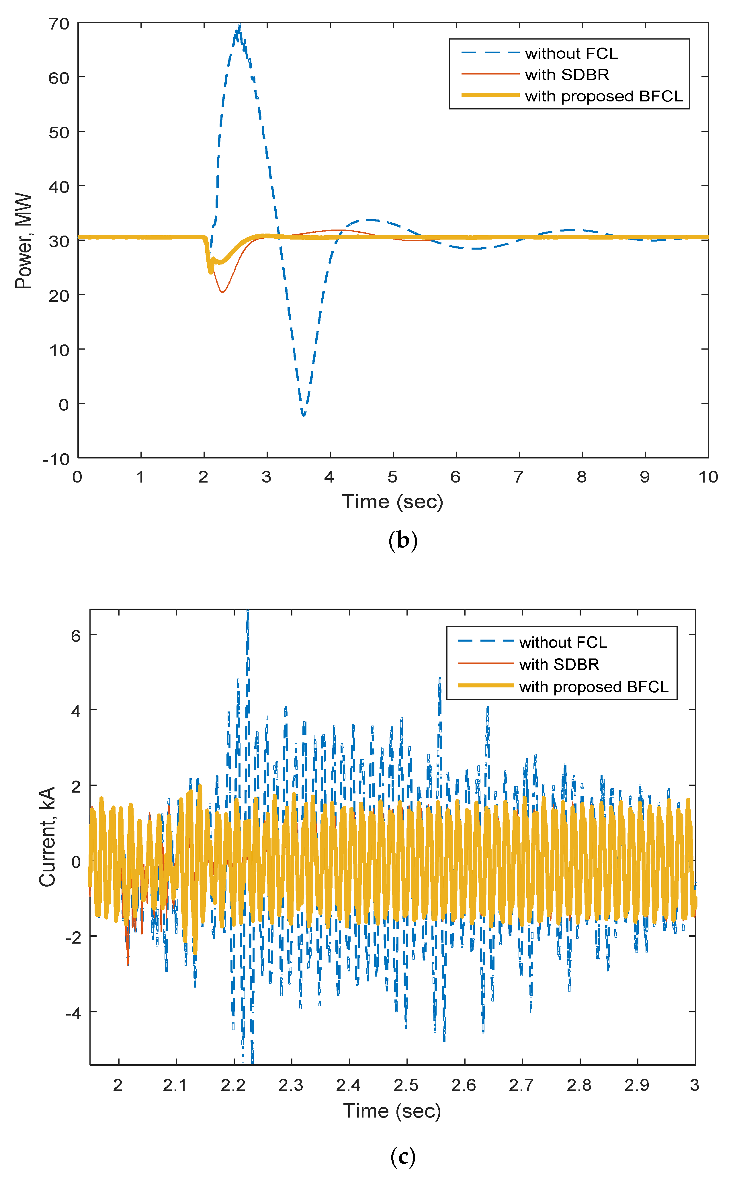
5.4.1. Balanced Fault Applications
5.4.2. Unbalanced Fault Applications
5.4.3. Index-Based Comparison
5.4.4. BFCL Implementation Feasibility
6. Conclusions
- The proposed BFCL is a potential solution for restricting the fault current of DFIG wind-based VSC-HVDC during severe faults.
- DFIG speed, DC link voltage, and power oscillations were reduced significantly with the proposed BFCL control scheme.
- The superiority of the proposed BFCL-based control is demonstrated by comparing with the reported literature.
Author Contributions
Funding
Acknowledgments
Conflicts of Interest
Nomenclature
| Abbreviations | |
| BFCL | Bridge-type fault current limiter |
| DFIG | Doubly fed induction generator |
| FFF | Feed-forward function |
| FRT | Fault ride through |
| GSC | Grid-side converter |
| HVDC | High-voltage DC |
| IGBT | Insulated-gate bipolar transistor |
| PCC | Point of common coupling |
| PI | Proportional integral |
| PLL | Phase-locked loop |
| RSC | Rotor-side converter |
| RTDS | Real time digital simulator |
| SDBR | Series dynamic braking resistor |
| VSC | Voltage source converter |
| WT | Wind turbine |
| Subscripts | |
| d | Direct axis |
| G | Grid |
| m | Mutual |
| mes | Measured |
| q | Quadrature axis |
| r | Rotor |
| ref | Reference |
| s | Stator |
| sh | Shunt |
References
- Javadi, M.; Marzband, M.; Akorede, M.F.; Godina, R. A Centralized Smart Decision-Making Hierarchical Interactive Architecture for Multiple Home Microgrids in Retail Electricity Market. Energies 2018, 11, 3144. [Google Scholar] [CrossRef]
- Valinejad, J.; Marzband, M.; Akorede, M.F.; Elliott, I.D.; Godina, R.; Carlos, J.; Matias, D.O.; Pouresmaeil, E. Long-Term Decision on Wind Investment with Considering Different Load Ranges of Power Plant for Sustainable Electricity Energy Market. Sustainability 2018, 10, 3811. [Google Scholar] [CrossRef]
- Valinejad, J.; Barforoshi, T.; Marzband, M. Investment Incentives in Competitive Electricity Markets. Appl. Sci. 2018, 8, 1978. [Google Scholar] [CrossRef]
- Daoud, M.I.; Massoud, A.M.; Abdel-Khalik, A.S.; Elserougi, A.; Ahmed, S. A flywheel energy storage system for fault ride through support of grid-connected VSC HVDC-based offshore wind farms. IEEE Trans. Power Syst. 2016, 31, 1671–1680. [Google Scholar] [CrossRef]
- Marzband, M.; Azarinejadian, F.; Savaghebi, M.; Pouresmaeil, E. Smart transactive energy framework in grid-connected multiple home microgrids under independent and coalition operations. Renew. Energy 2018, 126, 95–106. [Google Scholar] [CrossRef]
- Nanou, S.I.; Member, S.; Papathanassiou, S.A.; Member, S. Grid Code Compatibility of VSC-HVDC Connected Offshore Wind Turbines Employing Power Synchronization Control. IEEE Trans. Power Syst. 2016, 31, 5042–5050. [Google Scholar] [CrossRef]
- Erlich, I.; Feltes, C.; Shewarega, F. Enhanced voltage drop control by VSC-HVDC systems for improving wind farm fault ridethrough capability. IEEE Trans. Power Deliv. 2014, 29, 378–385. [Google Scholar] [CrossRef]
- Flourentzou, N.; Agelidis, V.G.; Demetriades, G.D. VSC-Based HVDC Power Transmission Systems: An Overview. IEEE Trans. Power Electron. 2009, 24, 592–602. [Google Scholar] [CrossRef]
- Van Hertem, D.; Ghandhari, M. Multi-terminal VSC HVDC for the European supergrid: Obstacles. Renew. Sustain. Energy Rev. 2010, 14, 3156–3163. [Google Scholar] [CrossRef]
- Feltes, C.; Wrede, H.; Koch, F.W.; Erlich, I. Enhanced fault ride-through method for wind farms connected to the grid through VSC-based HVDC transmission. IEEE Trans. Power Syst. 2009, 24, 1537–1546. [Google Scholar] [CrossRef]
- Bernal-Perez, S.; Ano-Villalba, S.; Blasco-Gimenez, R.; Rodriguez-D’Derlee, J. Efficiency and Fault Ride-Through Performance of a Diode-Rectifier- and VSC-Inverter-Based HVDC Link for Offshore Wind Farms. IEEE Trans. Ind. Electron. 2013, 60, 2401–2409. [Google Scholar] [CrossRef]
- Chaudhary, S.K.; Teodorescu, R.; Rodriguez, P.; Kjaer, P.C.; Gole, A.M. Negative sequence current control in wind power plants with VSC-HVDC connection. IEEE Trans. Sustain. Energy 2012, 3, 535–544. [Google Scholar] [CrossRef]
- Guerrero-Lemus, R.; González-Díaz, B.; Ríos, G.; Dib, R.N. Study of the new Spanish legislation applied to an insular system that has achieved grid parity on PV and wind energy. Renew. Sustain. Energy Rev. 2015, 49, 426–436. [Google Scholar] [CrossRef]
- Sichilalu, S.; Tazvinga, H.; Xia, X. Optimal control of a fuel cell/wind/PV/grid hybrid system with thermal heat pump load. Sol. Energy 2016, 135, 59–69. [Google Scholar] [CrossRef]
- Ding, M.; Xu, Z.; Wang, W.; Wang, X.; Song, Y.; Chen, D. A review on China׳s large-scale PV integration: Progress, challenges and recommendations. Renew. Sustain. Energy Rev. 2016, 53, 639–652. [Google Scholar] [CrossRef]
- Muttaqi, K.M.; Member, S.; Islam, R.; Member, S.; Sutanto, D.; Member, S. Future Power Distribution Grids: Integration of Renewable Energy, Energy Storage, Electric Vehicles, Superconductor, and Magnetic Bus. IEEE Trans. Appl. Supercond. 2019, 29, 1–5. [Google Scholar] [CrossRef]
- Islam, R.; Member, S.; Rahman, A. A New Magnetic-Linked Converter for Grid Integration of Offshore Wind Turbines Through MVDC Transmission. IEEE Trans. Appl. Supercond. 2019, 29, 1–5. [Google Scholar] [CrossRef]
- Charles, C.M.R.; Vinod, V.; Jacob, A. Field Oriented Control of DFIG Based Wind Energy System Using Battery Energy Storage System. Procedia Technol. 2016, 24, 1203–1210. [Google Scholar] [CrossRef]
- Weng, Y.-T.; Hsu, Y.-Y. Reactive power control strategy for a wind farm with DFIG. Renew. Energy 2016, 94, 383–390. [Google Scholar] [CrossRef]
- Kenan Döşoʇlu, M.; Arsoy, A.B. Transient modeling and analysis of a DFIG based wind farm with supercapacitor energy storage. Int. J. Electr. Power Energy Syst. 2016, 78, 414–421. [Google Scholar] [CrossRef]
- Wickramasinghe, A.; Perera, S.; Agalgaonkar, A.P.; Meegahapola, L. Synchronous mode operation of DFIG based wind turbines for improvement of power system inertia. Renew. Energy 2016, 95, 152–161. [Google Scholar] [CrossRef]
- Bossoufi, B.; Karim, M.; Lagrioui, A.; Taoussi, M.; Derouich, A. Observer backstepping control of DFIG-Generators for wind turbines variable-speed: FPGA-based implementation. Renew. Energy 2015, 81, 903–917. [Google Scholar] [CrossRef]
- Ostolaza, J.X.; Etxeberria, A.; Zubia, I. Wind farm node connected DFIG/back-to-back converter coupling transient model for grid integration studies. Energy Convers. Manag. 2015, 106, 428–439. [Google Scholar] [CrossRef]
- Chafouk, H.; Ouyessaad, H. Fault detection and isolation in DFIG driven by a wind turbine. IFAC Proc. Vol. 2015, 48, 251–256. [Google Scholar] [CrossRef]
- Khattara, A.; Bahri, M.; Aboubou, A.; Becherif, M.; Ayad, M.Y. Line-Fault Ride-Through (LFRT) Capabilities of DFIG Wind Turbine Connected to the Power System. APCBEE Procedia 2013, 7, 189–194. [Google Scholar] [CrossRef]
- Rolán, A.; Pedra, J.; Córcoles, F. Detailed study of DFIG-based wind turbines to overcome the most severe grid faults. Int. J. Electr. Power Energy Syst. 2014, 62, 868–878. [Google Scholar] [CrossRef]
- De Sousa, W.T.B.; Assis, T.M.L.; Polasek, A.; Monteiro, A.M.; de Andrade, R. Simulation of a Superconducting Fault Current Limiter: A Case Study in the Brazilian Power System With Possible Recovery Under Load. IEEE Trans. Appl. Supercond. 2016, 26, 1–8. [Google Scholar] [CrossRef]
- Jo, H.C.; Joo, S.K. Superconducting fault current limiter placement for power system protection using the minimax regret criterion. IEEE Trans. Appl. Supercond. 2015, 25. [Google Scholar] [CrossRef]
- Blair, S.M.; Elders, I.M.; Booth, C.D.; Burt, G.M.; McCarthy, J.; Singh, N.K. Superconducting fault current limiter application in a power-dense marine electrical system. IET Electr. Syst. Transp. 2011, 1, 93–102. [Google Scholar] [CrossRef]
- Yew, P.J.; Selamat, N.S.; Wai, S.K.; Ismail, A.B.; Hamid, N.A. Modeling of Resistive Type Superconducting Fault Current Limiter in Power System. J. Solid St. Sci. Technol. Lett. 2005, 12, 171–179. [Google Scholar]
- Li, B.; Li, C.; Guo, F. Application Studies on the Active SISFCL in Electric Transmission System and Its Impact on Line Distance Protection. IEEE Trans. Appl. Supercond. 2015, 25, 5600–5610. [Google Scholar] [CrossRef]
- Noe, M.; Hobl, A.; Tixador, P.; Martini, L.; Dutoit, B. Conceptual Design of a 24 kV, 1 kA Resistive Superconducting Fault Current Limiter. IEEE Trans. Appl. Supercond. 2012, 22, 5600304. [Google Scholar] [CrossRef]
- Nam, S.; Lee, J.; Lee, W.S.; Park, Y.G.; Song, S.; Jin, H.; Ko, T.K. Operational characteristics of a small-scale novel hybrid resistive-type SFCL with controlled power electronics. IEEE Trans. Appl. Supercond. 2015, 25. [Google Scholar] [CrossRef]
- Kojima, H.; Osawa, T.; Hayakawa, N. Fault current limitation coordination in power transmission system with Superconducting Fault Current Limiting Cables (SFCLC). IEEE Trans. Appl. Supercond. 2015, 25. [Google Scholar] [CrossRef]
- Jo, H.-C.; Kong, S.; Joo, S.-K. Impedance Selection of a Fault Current Limiting Superconducting Cable Under Fault Conditions in a Power System From a System Protection Perspective. IEEE Trans. Appl. Supercond. 2016, 26, 1–4. [Google Scholar] [CrossRef]
- Alam, M.S.; Abido, M.A.Y. Fault ride-through capability enhancement of voltage source converter-high voltage direct current systems with bridge type fault current limiters. Energies 2017, 10, 1898. [Google Scholar] [CrossRef]
- Alam, M.S.; Hossain, I.; Hossain, A.; Choudhory, S.H. Protection of Inverter-based Distributed Generation with Series Dynamic Braking Resistor: A Variable Duty Control Approach. In Proceedings of the 2018 10th International Conference on Electrical and Computer Engineering (ICECE), Dhaka, Bangladesh, 20–22 December 2018; IEEE: Piscataway, NJ, USA, 2018; pp. 253–256. [Google Scholar]
- Causebrook, A.; Atkinson, D.J.; Jack, A.G. Fault ride-through of large wind farms using series dynamic braking resistors. IEEE Trans. Power Syst. 2007, 22, 966–975. [Google Scholar] [CrossRef]
- Alam, M.S.; Abido, M.A.Y.; El-Amin, I. Fault Current Limiters in Power Systems: A Comprehensive Review. Energies 2018, 11, 1025. [Google Scholar] [CrossRef]
- Nourmohamadi, H.; Nazari-Heris, M.; Sabahi, M.; Abapour, M. A Novel Structure for Bridge-Type Fault Current Limiter: Capacitor Based Nonsuperconducting FCL. IEEE Trans. Power Electron. 2017, 33, 3044–3051. [Google Scholar] [CrossRef]
- Sadi, M.A.H.; Ali, M.H. A fuzzy logic controlled bridge type fault current limiter for transient stability augmentation of multi-machine power system. IEEE Trans. Power Syst. 2016, 31, 602–611. [Google Scholar] [CrossRef]
- Sadi, M.A.H.; Ali, M.H. Transient stability enhancement by bridge type fault current limiter considering coordination with optimal reclosing of circuit breakers. Electr. Power Syst. Res. 2015, 124, 160–172. [Google Scholar] [CrossRef]
- Fereidouni, A.; Masoum, M.A.S.; Hosseinimehr, T.; Moghbel, M. Performance of LR-type solid-state fault current limiter in improving power quality and transient stability of power network with wind turbine generators. Int. J. Electr. Power Energy Syst. 2016, 74, 172–186. [Google Scholar] [CrossRef]
- Hossain, M.K.; Ali, M.H. Transient stability augmentation of PV/DFIG/SG-based hybrid power system by parallel-resonance bridge fault current limiter. Electr. Power Syst. Res. 2016, 130, 89–102. [Google Scholar] [CrossRef]
- Naderi, S.B.; Jafari, M.; Tarafdar Hagh, M. Controllable resistive type fault current limiter (CR-FCL) with frequency and pulse duty-cycle. Int. J. Electr. Power Energy Syst. 2014, 61, 11–19. [Google Scholar] [CrossRef]
- Rashid, G.; Ali, M.H. Bridge-type fault current limiter for asymmetric fault ride-through capacity enhancement of doubly fed induction machine based wind generator. IEEE Energy Convers. Congr. Expos. 2014, 29, 1903–1910. [Google Scholar] [CrossRef]
- Jafari, M.; Naderi, S.B.; Hagh, M.T.; Abapour, M.; Hosseini, S.H. Voltage sag compensation of point of common coupling (PCC) using fault current limiter. IEEE Trans. Power Deliv. 2011, 26, 2638–2646. [Google Scholar] [CrossRef]
- Alam, M.S.; Abido, M.A.; Al-hamouz, Z.M. Model Predictive Control Approach for Bridge-Type Fault Current Limiter in VSC-HVDC System. Arab. J. Sci. Eng. 2018, 1–11. [Google Scholar] [CrossRef]
- Liu, X.; Wang, P.; Loh, P.C. A hybrid AC/DC microgrid and its coordination control. IEEE Trans. Smart Grid 2011, 2, 278–286. [Google Scholar] [CrossRef]
- Alam, M.S.; Razzak, A.; Islam, N.; Hossain, F.S. Transient Stability Enhancement Of Bangladesh East West Interconnected System Using Static VAR Compensator (SVC). Int. J. Eng. Res. Technol. 2013, 2, 730–733. [Google Scholar]
- Islam, R.; Guo, Y.; Zhu, J. A review of offshore wind turbine nacelle: Technical challenges, and research and developmental trends. Renew. Sustain. Energy Rev. 2014, 33, 161–176. [Google Scholar] [CrossRef]
- Alam, M.S.; Abido, M.A.Y. Fault Ride Through Capability Enhancement of a Large-Scale PMSG Wind System with Bridge Type Fault Current Limiters. Adv. Electr. Comput. Eng. 2018, 18, 43–50. [Google Scholar] [CrossRef]
- Slootweg, J.G.; Polinder, H.; Kling, W.L. Representing wind turbine electrical generating systems in fundamental frequency simulations. IEEE Trans. Energy Convers. 2003, 18, 516–524. [Google Scholar] [CrossRef]
- Pena, R.; Clare, J.C.; Asher, G.M. Doubly fed induction generator uising back-to-back PWM converters and its application to variable-speed wind-energy generation. IEE Proc. Power Appl. 1996, 143, 231–241. [Google Scholar] [CrossRef]
- Ali, M.H.; Hossain, M.M. Transient stability improvement of doubly fed induction generator based variable speed wind generator using DC resistive fault current limiter. IET Renew. Power Gener. 2015, 18, 803–809. [Google Scholar] [CrossRef]
- Yazdani, A.; Iravani, R. Voltage-Sourced Converters in Power Systems, 1st ed.; IEEE and Wiley Publisher: Hoboken, NJ, USA, 2010; ISBN 0470521562. [Google Scholar]
- Wang, Z.-D.; Li, K.-J.; Ren, J.-G.; Sun, L.-J.; Zhao, J.-G.; Liang, Y.-L.; Lee, W.-J.; Ding, Z.-H.; Sun, Y. A Coordination Control Strategy of Voltage-Source-Converter-Based MTDC for Offshore Wind Farms. IEEE Trans. Ind. Appl. 2015, 51, 2743–2752. [Google Scholar] [CrossRef]
- Preitl, S.; Precup, R.-E. An extension of tuning relations after symmetrical optimum method for PI and PID controllers. Automatica 1999, 35, 1731–1736. [Google Scholar] [CrossRef]
- Sajnekar, D.M.; Deshapande, S.B.; Mohril, R.M. Comparison of Pole Placement & Pole Zero Cancellation Method for Tuning PID Controller of A Digital Excitation. Int. J. Sci. Res. Publ. 2013, 3, 1–7. [Google Scholar]
- Baek, S.-M.; Park, J.-W. Nonlinear parameter optimization of FACTS controller via real-time digital simulator. IEEE Ind. Appl. 2012, 49, 2271–2278. [Google Scholar] [CrossRef]
















| Parameter | Value |
|---|---|
| HVDC system power rating | 30 MVA |
| Grid voltage | 140 kV (L-L rms) |
| System frequency | 60 Hz |
| Transformer rating | 30 MVA |
| Transformer ratio | 140/18 kV (Delta/Y) |
| Transformer equivalent delta side leakage inductance | 110 mH |
| Resistor (R) | 88 mΩ |
| Inductor (L) | 8.5 mH |
| DC capacitor | 500 µF |
| DC bus voltage | 35 kV |
| BFCL shunt resistor | 10 mΩ |
| BFCL shunt inductor | 2 mH |
| SDBR resistor | 10 mΩ |
| Feed forward function (FFF) | 1/(1 + 7 × 10-6 s) |
| Parameter | Value |
|---|---|
| Power rating | 2 MW |
| Stator voltage | 0.69 kV |
| Stator resistance | 0.001 Ω |
| Rotor resistance | 0.0013 Ω |
| Stator reactance | 0.0022 Ω |
| Magnetizing reactance | 0.941 Ω |
| Rotor reactance | 0.024 Ω |
| Rotor/stator turn ratio | 2.6377 |
| Name | Kp | Ki |
|---|---|---|
| PIIDS | 0.300 | 10 |
| PIIQS | 0.300 | 10 |
| PIIDR | 1.387 | 35.6 |
| PIIQR | 1.387 | 35.6 |
| PIIDWVSC | 8.500 | 88 |
| PIIQWVSC | 8.500 | 88 |
| PIVDC | 0.1036 | 17.77 |
| Index % | Without FCL | SDBR | Proposed BFCL |
|---|---|---|---|
| DFIGspeed | 80.8175 | 42.3763 | 14.2806 |
| DCvolt [DFIG] | 0.068902 | 0.05728 | 0.026487 |
| DCvolt [HVDC] | 3.586 | 1.7927 | 0.68626 |
| ACpow [DFIG] | 52.1791 | 11.119 | 0.6223 |
| ACpow [GRID] | 49.975 | 10.4877 | 1.0446 |
| linecurr [Stator] | 0.73031 | 0.68826 | 0.63546 |
| linecurr [Grid] | 1.3788 | 0.55428 | 0.38678 |
| Index Parameters, % | Without FCL | SDBR | Proposed BFCL |
|---|---|---|---|
| DFIGspeed | 66.561 | 21.6401 | 4.9367 |
| DCvolt [DFIG] | 0.052067 | 0.035011 | 0.02854 |
| DCvolt [HVDC] | 1.5677 | 0.56259 | 0.46095 |
| ACpow [DFIG] | 8.0379 | 1.1163 | 0.43776 |
| ACpow [GRID] | 7.6162 | 1.2649 | 0.76578 |
| linecurr [Stator] | 0.73031 | 0.68826 | 0.63546 |
| linecurr [Grid] | 1.3788 | 0.55428 | 0.38678 |
© 2019 by the authors. Licensee MDPI, Basel, Switzerland. This article is an open access article distributed under the terms and conditions of the Creative Commons Attribution (CC BY) license (http://creativecommons.org/licenses/by/4.0/).
Share and Cite
Alam, M.S.; Abido, M.A.Y.; Hussein, A.E.-D.; El-Amin, I. Fault Ride through Capability Augmentation of a DFIG-Based Wind Integrated VSC-HVDC System with Non-Superconducting Fault Current Limiter. Sustainability 2019, 11, 1232. https://doi.org/10.3390/su11051232
Alam MS, Abido MAY, Hussein AE-D, El-Amin I. Fault Ride through Capability Augmentation of a DFIG-Based Wind Integrated VSC-HVDC System with Non-Superconducting Fault Current Limiter. Sustainability. 2019; 11(5):1232. https://doi.org/10.3390/su11051232
Chicago/Turabian StyleAlam, Md Shafiul, Mohammad Ali Yousef Abido, Alaa El-Din Hussein, and Ibrahim El-Amin. 2019. "Fault Ride through Capability Augmentation of a DFIG-Based Wind Integrated VSC-HVDC System with Non-Superconducting Fault Current Limiter" Sustainability 11, no. 5: 1232. https://doi.org/10.3390/su11051232
APA StyleAlam, M. S., Abido, M. A. Y., Hussein, A. E.-D., & El-Amin, I. (2019). Fault Ride through Capability Augmentation of a DFIG-Based Wind Integrated VSC-HVDC System with Non-Superconducting Fault Current Limiter. Sustainability, 11(5), 1232. https://doi.org/10.3390/su11051232

