Feruloylated Arabinoxylans from Maize Distiller’s Dried Grains with Solubles: Effect of Feruloyl Esterase on their Macromolecular Characteristics, Gelling, and Antioxidant Properties
Abstract
1. Introduction
2. Materials and Methods
2.1. Materials
2.2. Methods
2.2.1. Extraction of Feruloylated Arabinoxylans (AXs)
2.2.2. Partial Deferuloylation of AXs by Feruloyl Esterase
2.2.3. FA, Dimers (di-FA) and Trimer of FA (tri-FA) Content
2.2.4. Macromolecular Characteristics
2.2.5. Fourier Transform Infrared Spectroscopy (FT-IR)
2.2.6. Gelation
2.2.7. Antioxidant Capacity
2.2.8. Statistical Analysis
3. Results
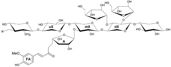
3.1. Extraction and Characterization of AXs
3.2. Partial Deferuloylation of AXs by Feruloyl Esterase
3.3. AX and FAX Gelling and Antioxidant Properties
4. Conclusions
Author Contributions
Funding
Acknowledgments
Conflicts of Interest
References
- Cheng, J.J.; Timilsina, G.R. Status, and barriers of advanced biofuel technologies: A review. Renew. Energy 2011, 36, 3541–3549. [Google Scholar] [CrossRef]
- Carvajal-Millan, E.; Vargas-Albores, F.; Fierro-Islas, J.M.; Gollas-Galván, T.; Magdaleno-Moncayo, D.; Rascon-Chu, A.; Martínez-Porchas, M.; Lago-Lestón, A. Arabinoxylans and gelled arabinoxylans used as anti-obesogenic agents could protect the stability of intestinal microbiota of rats consuming high-fat diets. Int. J. Food Sci. Nutr. 2019. [Google Scholar] [CrossRef] [PubMed]
- Mendez-Encinas, M.A.; Carvajal-Millan, E.; Yadav, M.P.; López-Franco, Y.L.; Rascon-Chu, A.; Lizardi-Mendoza, J.; Brown-Bojorquez, F.; Silva-Campa, E.; Pedroza-Montero, M. Partial removal of protein associated with arabinoxylans: Impact on the viscoelasticity, crosslinking content, and microstructure of the gels formed. J. Appl. Polym. Sci. 2019, 136, 47300. [Google Scholar] [CrossRef]
- Izydorczyk, M.S.; Biliaderis, C.G. Cereal arabinoxylans: Advances in structure and physicochemical properties. Carbohydr. Polym. 1995, 28, 33–48. [Google Scholar] [CrossRef]
- Smith, M.M.; Hartley, R.D. Occurrence and nature of ferulic acid substitution of cell-wall polysaccharides in graminaceous plants. Carbohydr. Res. 1983, 118, 65–80. [Google Scholar] [CrossRef]
- Durham, R.K. Effect of hydrogen peroxide on relative viscosity measurements of wheat and flour suspensions. Cereal Chem. 1925, 2, 297–305. [Google Scholar]
- Faush, H.; Kunding, W.; Neukom, H. Ferulic acid as a component of glycoprotein from wheat flour. Nature 1963, 199, 287. [Google Scholar] [CrossRef]
- Izydorczyk, M.S.; Biliaderis, C.G.; Bushuk, W. Oxidative gelation studies of water-soluble pentosans from wheat. J. Cereal Sci. 1990, 11, 153–169. [Google Scholar] [CrossRef]
- Figueroa-Espinoza, M.C.; Rouau, X. Oxidative cross-linking of pentosans by a fungal laccase and horseradish peroxidase: Mechanism of linkage between feruloylated arabinoxylans. Cereal Chem. 1998, 75, 259–265. [Google Scholar] [CrossRef]
- Geissman, T.; Neukom, H. On the composition of water soluble wheat flour pentosans and their oxidative gelation. LWT-Food Sci. Technol. 1973, 6, 54–62. [Google Scholar]
- Selinheimo, E.; Autio, K.; Kruus, K.; Buchert, J. Elucidating the mechanism of laccase and tyrosinase in wheat bread making. J. Agric. Food Chem. 2007, 55, 6357–6365. [Google Scholar] [CrossRef] [PubMed]
- Carvajal-Millan, E.; Landillon, V.; Morel, M.H.; Rouau, X.; Doublier, J.L.; Micard, V. Arabinoxylan gels: Impact of the feruloylation degree on their structure and properties. Biomacromolecule 2005, 6, 309–317. [Google Scholar] [CrossRef] [PubMed]
- Mendez-Encinas, M.A.; Carvajal-Millan, E.; Rascon-Chu, A.; Astiazaran-Garcia, H.F.; Valencia-Rivera, D.E. Ferulated Arabinoxylans and Their Gels: Functional Properties and Potential Application as Antioxidant and Anticancer Agent. Oxid. Med. Cell. Longev. 2018, 2018, 2314759. [Google Scholar] [CrossRef] [PubMed]
- Herrera-Balandrano, D.D.; Báez-González, J.G.; Carvajal-Millán, E.; Muy-Rangel, D.; Urías-Orona, V.; Martínez-López, A.L.; Marquez-Escalante, J.A.; Heredia, J.B.; Beta, T.; Niño-Medina, G. Alkali-Extracted Feruloylated Arabinoxylans from Nixtamalized Maize Bran Byproduct: A Synonymous with Soluble Antioxidant Dietary Fiber. Waste Biomass Valori 2018, 1, 7. [Google Scholar] [CrossRef]
- Tiwari, U.P.; Chen, H.; Kim, S.W.; Jha, R. Supplemental effect of xylanase and mannanase on nutrient digestibility and gut health of nursery pigs studied using both in vivo and in vitro models. Anim. Feed Sci. Tech. 2018, 245, 77e90. [Google Scholar] [CrossRef]
- Hopkins, M.J.; Englyst, H.N.; Macfarlane, S.; Furrie, E.; Macfarlane, G.T.; Mcbain, A.J. Degradation of cross-Linked and non-cross-linked arabinoxylans by the intestinal microbiota in children. Appl. Environ. Microbiol. 2003, 69, 6354–6360. [Google Scholar] [CrossRef]
- Marquez-Escalante, J.A.; Rascón-Chu, A.; Campa-Mada, A.; Martínez-Robinson, K.G.; Carvajal-Millan, E. Influence of carboxymethylation on the gelling capacity, rheological properties, and antioxidant activity of feruloylated arabinoxylans from different sources. J. Appl. Polym. Sci. 2019, 137, 48325. [Google Scholar] [CrossRef]
- Li, S.; Xiong, Q.; Lai, X.; Li, X.; Wan, M.; Zhang, J.; Yan, Y.; Cao, M.; Lu, L.; Guan, J.; et al. Molecular Modification of Polysaccharides and Resulting Bioactivities. Compr. Rev. Food Sci. Food Saf. 2016, 15, 237–250. [Google Scholar] [CrossRef]
- Latha, G.M.; Muralikrishna, G. Effect of finger millet (Eleusine coracana, Indaf-15) malt esterases on the functional characteristics of non-starch polysaccharides. Food Hydrocoll. 2009, 23, 1007–1014. [Google Scholar] [CrossRef]
- Faulds, C.B.; Zanichelli, D.; Crepin, V.F.; Connerton, I.F.; Juge, N.; Bhat, M.K.; Waldron, K.W. Specificity of feruloyl esterases for water-extractable and water-unextractable feruloylated polysaccharides: Influence of xylanase. J. Cereal Sci. 2003, 38, 281–288. [Google Scholar] [CrossRef]
- Dervilly-Pinel, G.; Thibault, J.-F.; Saulnier, L. Experimental evidence for a semi-flexible conformation for arabinoxylans. Carbohydr. Res. 2001, 330, 365–372. [Google Scholar] [CrossRef]
- Martínez-López, A.L.; Carvajal-Millan, E.; Sotelo-Cruz, N.; Micard, V.; Rascón-Chu, A.; López-Franco, Y.L.; Lizardi-Mendoza, J.; Canett-Romero, R. Enzymatically cross-linked arabinoxylan microspheres as oral insulin delivery system. Int. J. Biol. Macromol. 2019, 126, 952–959. [Google Scholar] [CrossRef] [PubMed]
- Rosa, N.N.; Barron, C.; Gaiani, C.; Dufour, C.; Micard, V. Ultra-fine grinding increases the antioxidant capacity of wheat bran. J. Cereal Sci. 2013, 57, 84–90. [Google Scholar] [CrossRef]
- Malunga, L.N.; Beta, T. Antioxidant capacity of water-extractable arabinoxylan from commercial barley, wheat, and wheat fractions. Cereal Chem. 2015, 92, 29–36. [Google Scholar] [CrossRef]
- Anderson, C.; Simsek, S. Mechanical profiles and topographical properties of films made from alkaline extracted arabinoxylans from wheat bran, maize bran, or dried distillers grain. Food Hydrocoll. 2019, 86, 78–86. [Google Scholar] [CrossRef]
- Paz-Samaniego, R.; Carvajal-Millan, E.; Sotelo-Cruz, N.; Brown, F.; Rascón-Chu, A.; López-Franco, Y.L.; Lizardi-Mendoza, J. Maize processing waste water upcycling in Mexico: Recovery of arabinoxylans for probiotic encapsulation. Sustainability 2016, 8, 1104. [Google Scholar] [CrossRef]
- Gómez Ordóñez, E.; Jiménez Escrig, A.; Rupérez Antón, P. Molecular weight distribution of polysaccharides from edible seaweeds by high-performance size-exclusion chromatography (HPSEC). Talanta 2012, 93, 153–159. [Google Scholar] [CrossRef]
- Kale, M.S.; Yadav, M.P.; Chau, H.K.; Hotchkiss, A.T. Molecular and functional properties of a xylanase hydrolysate of corn bran arabinoxylan. Carbohydr. Polym. 2018, 181, 119–123. [Google Scholar] [CrossRef]
- Cyran, M.R.; Saulnier, L. Cell Wall Fractions Isolated from Outer Layers of Rye Grain by Sequential Treatment with α-Amylase and Proteinase: Structural Investigation of Polymers in Two Ryes with Contrasting Breadmaking Quality. J. Agric. Food Chem. 2005, 53, 9213–9224. [Google Scholar] [CrossRef]
- Kacuráková, M.; Wellner, N.; Ebringerova, A.; Hromadkova, Z.; Wilson, R.H.; Belton, P.S. Characterisation of xylan-type polysaccharides and associated cell wall components by FT-IR and FT-Raman spectroscopies. Food Hydrocoll. 1999, 13, 35–41. [Google Scholar] [CrossRef]
- Kacuráková, M.; Ebringerová, A.; Hirsch, J.; Hromádková, Z. Infrared study of arabinoxylans. J. Sci. Food Agric. 1994, 66, 423–427. [Google Scholar] [CrossRef]
- Buslov, D.K.; Naputski, F.N.; Sushko, N.I.; Torgashev, V.I.; Solov’eva, L.V.; Tsarenkov, V.M.; Zubets, O.V.; Larchenko, L.V. Infrared spectroscopic analysis of the structure of xylans. J. Appl. Spectrosc. 2009, 76, 801–805. [Google Scholar] [CrossRef]
- Carvajal-Millan, E.; Guigliarelli, B.; Belle, V.; Rouau, X.; Micard, V. Storage stability of laccase induced arabinoxylan gels. Carbohydr. Polym. 2005, 59, 181–188. [Google Scholar] [CrossRef]
- Doublier, J.L.; Cuvelier, G. Gums and Hydrocolloids: Functional Aspects. In Carbohydrates in Food; Eliasson, A.C., Ed.; Science Food and Technology; CRC Press: Boca Raton, FL, USA, 2006. [Google Scholar]
- Jia, Y.; He, Y.; Lu, F. The structure-antioxidant activity relationship of dehydrodiferulates. Food Chem. 2018, 269, 480–485. [Google Scholar] [CrossRef]
- Malunga, L.N.; Izydorczyk, M.; Beta, T. Effect of water-extractable arabinoxylans from wheat aleurone and bran on lipid peroxidation and factors influencing their antioxidant capacity. Bioact. Carbohydr. Diet Fibre 2017, 10, 20–26. [Google Scholar] [CrossRef]
- Shyama Prasad Rao, R.; Muralikrishna, G. Water soluble feruloyl arabinoxylans from rice and ragi: Changes upon malting and their consequence on antioxidant activity. Phytochemistry 2006, 67, 91–99. [Google Scholar]
- Mendez-Encinas, M.A.; Carvajal-Millan, E.; Rascón-Chu, A.; Astiazarán-García, H.; Valencia-Rivera, D.E.; Brown-Bojorquez, F.; Alday, E.; Velazquez, C. Arabinoxylan-Based Particles: In Vitro Antioxidant Capacity and Cytotoxicity on a Human Colon Cell Line. Medicina 2019, 55, 349. [Google Scholar] [CrossRef]
- Hromádková, Z.; Paulsen, B.S.; Polovkac, M.; Košťálová, Z.; Ebringerová, A. Structural features of two heteroxylan polysaccharide fractions from wheat bran with anti-complementary and antioxidant activities. Carbohydr. Polym. 2013, 93, 22–30. [Google Scholar] [CrossRef]






| Arabinose a | 28.81 ± 1.30 |
| Xylose a | 41.70 ± 1.95 |
| Glucose a | 3.36 ± 0.31 |
| Galactose a | 4.20 + 0.06 |
| Mannose a | 0.96 + 0.07 |
| Protein a | 3.20 + 0.05 |
| Ferulic acid b | 3.27 + 0.46 |
| Diferulic acid b | 0.30 + 0.02 |
| Triferulic acid b | 0.010 ± 0.001 |
| Sample | Molecular weight Mw (kDa) | Polydispersity index PDI = (Mw/Mn) | Intrinsic viscosity [η] (mL/g) |
|---|---|---|---|
| AXs | 270 | 1.2 | 100 |
| FAXs | 250 | 1.2 | 95 |
| Sample | DPPH (mmol TEAC/kg) | ABTS (mmol TEAC/kg) |
|---|---|---|
| AXs | 28 ± 2 | 67 ± 6 |
| FAXs | 18 ± 3 * | 39 ± 3 * |
© 2019 by the authors. Licensee MDPI, Basel, Switzerland. This article is an open access article distributed under the terms and conditions of the Creative Commons Attribution (CC BY) license (http://creativecommons.org/licenses/by/4.0/).
Share and Cite
Marquez-Escalante, J.A.; Carvajal-Millan, E. Feruloylated Arabinoxylans from Maize Distiller’s Dried Grains with Solubles: Effect of Feruloyl Esterase on their Macromolecular Characteristics, Gelling, and Antioxidant Properties. Sustainability 2019, 11, 6449. https://doi.org/10.3390/su11226449
Marquez-Escalante JA, Carvajal-Millan E. Feruloylated Arabinoxylans from Maize Distiller’s Dried Grains with Solubles: Effect of Feruloyl Esterase on their Macromolecular Characteristics, Gelling, and Antioxidant Properties. Sustainability. 2019; 11(22):6449. https://doi.org/10.3390/su11226449
Chicago/Turabian StyleMarquez-Escalante, Jorge A., and Elizabeth Carvajal-Millan. 2019. "Feruloylated Arabinoxylans from Maize Distiller’s Dried Grains with Solubles: Effect of Feruloyl Esterase on their Macromolecular Characteristics, Gelling, and Antioxidant Properties" Sustainability 11, no. 22: 6449. https://doi.org/10.3390/su11226449
APA StyleMarquez-Escalante, J. A., & Carvajal-Millan, E. (2019). Feruloylated Arabinoxylans from Maize Distiller’s Dried Grains with Solubles: Effect of Feruloyl Esterase on their Macromolecular Characteristics, Gelling, and Antioxidant Properties. Sustainability, 11(22), 6449. https://doi.org/10.3390/su11226449

