Effects of Aqua-Dispersing Nano-Binder on Clay Conductivity at Different Temperatures
Abstract
1. Introduction
2. Materials and Methods
2.1. Test Materials
2.2. Research Equipment
2.3. Test Methods and Process
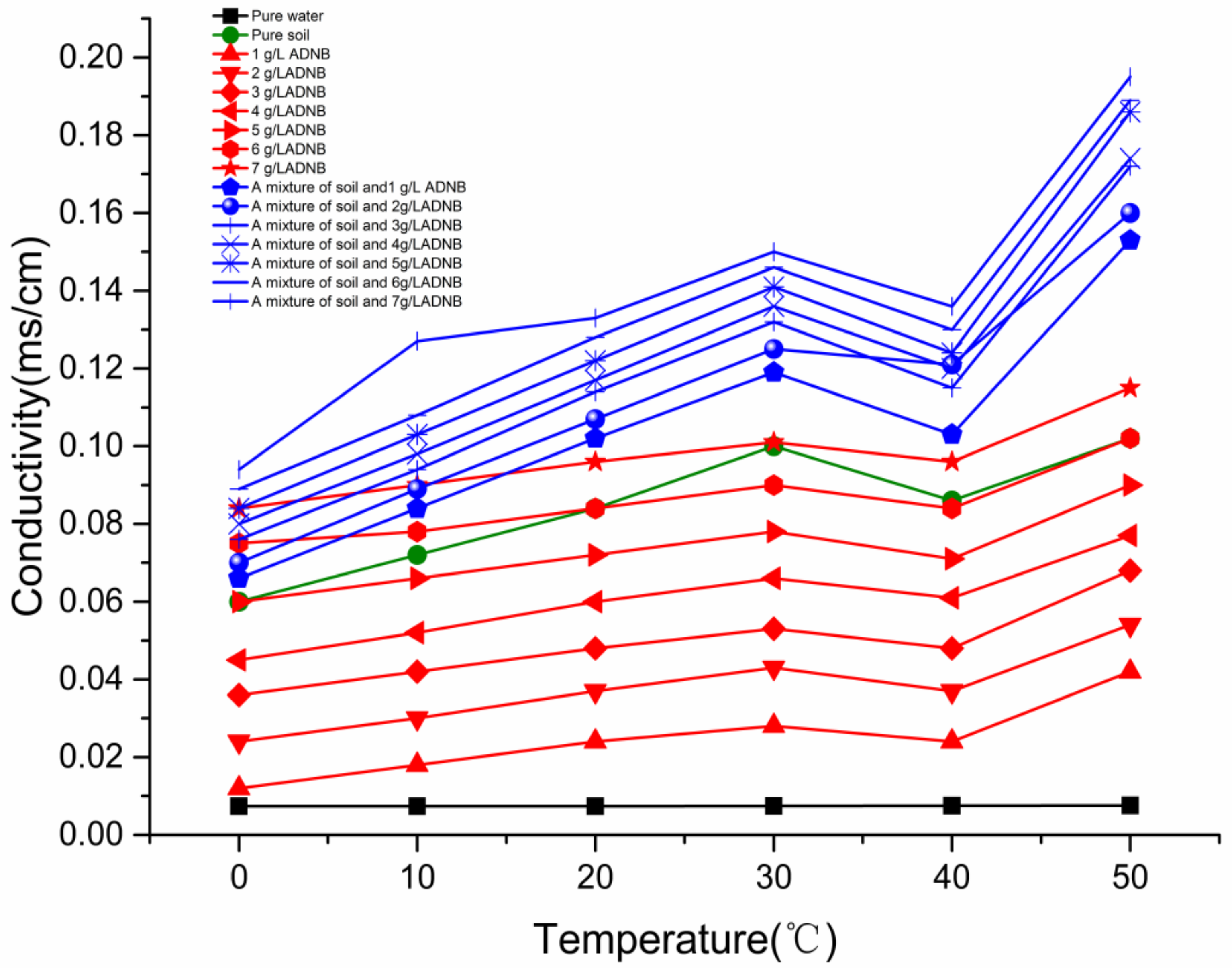
3. Results
The Influence of ADNB on the Conductivity of Clay at Different Temperatures
4. Discussion
4.1. The Relationship Between the Conductivity of Clay with ADNB, Temperature and the Concentration of ADNB
- (1)
- When :
- (2)
- When :
4.2. Comparative Analysis of the Microstructure of Pure Clay and Clay with ADNB
4.3. Effect Mechanism of ADNB on Soil Conductivity
4.4. Analysis of the Optimum Ratio of ADNB Suitable for Growing Plants
5. Conclusions
Author Contributions
Funding
Conflicts of Interest
References
- Zhang, B.B.; Guo, J.B.; Jiang, K.Y.; Jia, Z.L.; Wu, Y.Q. Study on the effect of Arkadolith soil conditioner on the growth of Yang chai and the improvement of sandy soil. Bull. Soil Water Conserv. 2011, 31, 190–194. [Google Scholar]
- Zhang, G.P.; Jiang, X.F.; Zhang, Z.W.; Zeng, J.; Guo, T.W. Effects of different fertilizer application levels on castor oil yield and soil water use efficiency. Gansu Agric. Sci. Technol. 2015, 5, 23–26. [Google Scholar]
- Liu, G.G.; Yang, J.S. Experimental study on the relationship between soil salinity and soil conductivity and water content. Soil Commun. 2001, S1, 85–87. [Google Scholar]
- Li, X.Q.; Xia, J.B.; Zhao, X.M.; Chen, Y.P. Effects of planting Tamarix chinensis on shallow soil water and salt content under different groundwater depths in the Yellow River Delta. Geoderma 2019, 335, 104–111. [Google Scholar] [CrossRef]
- Wang, S.; Wang, Q.; Adhikari, K.; Jia, S.; Jin, X.; Liu, H. Spatial-temporal changes of soil organic carboncontent in Wafangdian, China. Sustainability 2016, 8, 1154. [Google Scholar] [CrossRef]
- Nunes, J.; Ramos-Miras, J.; Lopez-Piñeiro, A.; Loures, L.; Gil, C.; Coelho, J.; Loures, A. Concentrations of Available Heavy Metals in Mediterranean Agricultural Soils and their Relation with Some Soil Selected Properties: A Case Study in Typical Mediterranean Soils. Sustainability 2014, 6, 9124–9138. [Google Scholar] [CrossRef]
- Dexter, A.R.; Czyz, E.A.; Niedzwiecki, J.; Mackowiak, C. Water retention and hydraulic conductivity of a loamy sand soil as influenced by crop rotation and fertilization. Arch. Agron. Soil Sci. 2001, 46, 123–133. [Google Scholar] [CrossRef]
- Liu, H.J.; Bu, Y.H.; Jay, G.; San, J.Y.; Ali, N.Z.; Shen, Z.H. The application of coated superabsorbent polymer in well cement for plugging the microcrack. Constr. Build. Mater. 2016, 104, 72–84. [Google Scholar] [CrossRef]
- Water Resources. New Water Resources Findings from Islamic Azad University Described (Effectof Water Quality and Temperature on the Efficiency of Two Kinds of Hydrophilic Polymers in Soil). Ecol. Environ. Conserv. 2018, 11, 6–7. [Google Scholar]
- Dehkordi, D.K. Effect of Water Quality and Temperature on the Efficiency of TwoKinds of Hydrophilic Polymers in Soil. Water Environ. Res. 2018, 90, 490–497. [Google Scholar] [CrossRef]
- Dehkordi, D.K. Effects of a hydrophilic polymer soil amendment on stress tolerance of Eucalyptus saligna. Hortic. Environ. Biotechnol. 2017, 58, 350–356. [Google Scholar] [CrossRef]
- Zhang, D.J.; Zhou, G.Q. Effects of Vegetation Types on Soil Moisture Estimation Fromthe Normalized Land Surface Temperature Versus Vegetation Index Space; SPIE-the International Society for Optical Engineering: Bellingham, WA, USA, 2015. [Google Scholar]
- Gao, X.; Wu, P.; Zhao, X.; Wang, J.; Shi, Y. Effects of land use on soil moisture variations in a semi-arid catchment: Implications for land and agricultural water management. Land Degrad. Dev. 2014, 25, 163–172. [Google Scholar] [CrossRef]
- Arvidsson, J. Influence of soil texture and organic matter content on bulk density, air content, compression index and crop yield in field and laboratory compression experiments. Soil Tillage Res. 1998, 49, 159–170. [Google Scholar] [CrossRef]
- Dam, R.F.; Mehdi, B.B.; Burgess, M.S.E.; Madramootoo, C.A.; Mehuys, G.R.; Callum, I.R. Soil bulk density and crop yield under eleven consecutive years of corn with different tillage residue practices in a sandy loam soil in central Canada. Soil Tillage Res. 2004, 84, 41–53. [Google Scholar]
- Stefan, A.; Andre, P.; Steffen, T.; Horst, S.; Michael, F.; Gerd, W. Impact of biochar and hydrochar addition on water retention and water repellency of sandy soil. Geoderma 2013, 202, 183–191. [Google Scholar]
- Rashad, R.T. Separation of some rice straw components and studying their effect on some hydro-physical properties of two different soils. J. Environ. Chem. Eng. 2013, 1, 728–735. [Google Scholar] [CrossRef]
- Tang, J.; Mo, Y.H.; Zhang, J.Y.; Zhang, R.D. Influence of biological aggregating agents associated with microbial population on soil aggregate stability. Appl. Soil Ecol. 2011, 47, 153–159. [Google Scholar] [CrossRef]
- Gregorich, E.G.; Lapen, D.R.; Ma, B.L.; McLaughlin, N.B.; VandenBygaart, A.J. Soil and Crop Response to Varying Levels of Compaction, Nitrogen Fertilization, and Clay Content. Soil Sci. Soc. Am. J. 2011, 75, 1483–1492. [Google Scholar] [CrossRef]
- Liu, J.; Shi, B.; Jiang, H.T.; Bae, S.Y.; Huang, H. Improvement of water-stability of clay aggregates admixed with aqueous polymer soil stabilizers. Catena 2008, 77, 175–179. [Google Scholar] [CrossRef]
- Liu, J.; Shi, B.; Gu, K.; Jiang, H.T. Effect of polyurethane on the stability of sand–clay mixtures. Bull. Eng. Geol. Environ. 2012, 71, 537–544. [Google Scholar] [CrossRef]
- Ni, J.J.; Cheng, Y.F.; Bordoloi, S.D.; Bora, H.S.; Wang, Q.H.; Ng, C.W.W.; Garg, A. Investigating plant root effects on soil electrical conductivity: An integrated field monitoring and statistical modelling approach. Earth Surf. Process. Landf. 2019, 44, 825–839. [Google Scholar] [CrossRef]
- Zhou, C.Y.; Zhao, S.; Huang, W.; Liu, Z. Study on the Stabilization Mechanisms of Clayey Slope Surfaces Treated by Spraying with a New Soil Additive. Appl. Sci. 2019, 9, 1245. [Google Scholar] [CrossRef]
- Zhou, C.Y.; Zhao, S.S.; Yang, X.; liu, Z. Application of ecological ester material sand soil improvement and engineering slope protection. Rock Soil Mech. 2019, 12, 1–10. [Google Scholar]
- Zhou, C.Y.; Yang, X.; He, S.M.; Liu, Z.; Liang, Y.H. Field experimental study on ecological slope protection of new functional materials. Found. Geoeng. 2008, 32, 301–308. [Google Scholar]
- Liu, J.; Shi, B.; Jiang, H.T.; Huang, H.; Wang, G.H. Research on the stabilization treatment of clay slope topsoil by organic polymer soil stabilizer. Eng. Geol. 2011, 117, 114–120. [Google Scholar] [CrossRef]











| Proportion | Plastic Limit % | Liquid Limit % | Maximum Dry Density g/m3 | Optimum Moisture Content % |
|---|---|---|---|---|
| 2.70 | 14.10 | 25.76 | 1.864 | 15.10 |
© 2019 by the authors. Licensee MDPI, Basel, Switzerland. This article is an open access article distributed under the terms and conditions of the Creative Commons Attribution (CC BY) license (http://creativecommons.org/licenses/by/4.0/).
Share and Cite
Zhou, C.; Ge, X.; Huang, W.; Li, D.; Liu, Z. Effects of Aqua-Dispersing Nano-Binder on Clay Conductivity at Different Temperatures. Sustainability 2019, 11, 4859. https://doi.org/10.3390/su11184859
Zhou C, Ge X, Huang W, Li D, Liu Z. Effects of Aqua-Dispersing Nano-Binder on Clay Conductivity at Different Temperatures. Sustainability. 2019; 11(18):4859. https://doi.org/10.3390/su11184859
Chicago/Turabian StyleZhou, Cuiying, Xingxing Ge, Wei Huang, Dexian Li, and Zhen Liu. 2019. "Effects of Aqua-Dispersing Nano-Binder on Clay Conductivity at Different Temperatures" Sustainability 11, no. 18: 4859. https://doi.org/10.3390/su11184859
APA StyleZhou, C., Ge, X., Huang, W., Li, D., & Liu, Z. (2019). Effects of Aqua-Dispersing Nano-Binder on Clay Conductivity at Different Temperatures. Sustainability, 11(18), 4859. https://doi.org/10.3390/su11184859

