Water Status and Yield Response to Deficit Irrigation and Fertilization of Three Olive Oil Cultivars under the Semi-Arid Conditions of Tunisia
Abstract
1. Introduction
2. Materials and Methods
2.1. Site Description
2.2. Experimental Design and Treatments
2.3. Measurements of Plant Water Status
2.4. Yield and Water Use Efficiency
2.5. Statistical Analysis
3. Results
3.1. Environmental Conditions and Irrigation Water Requirements
3.2. Plant Water Status
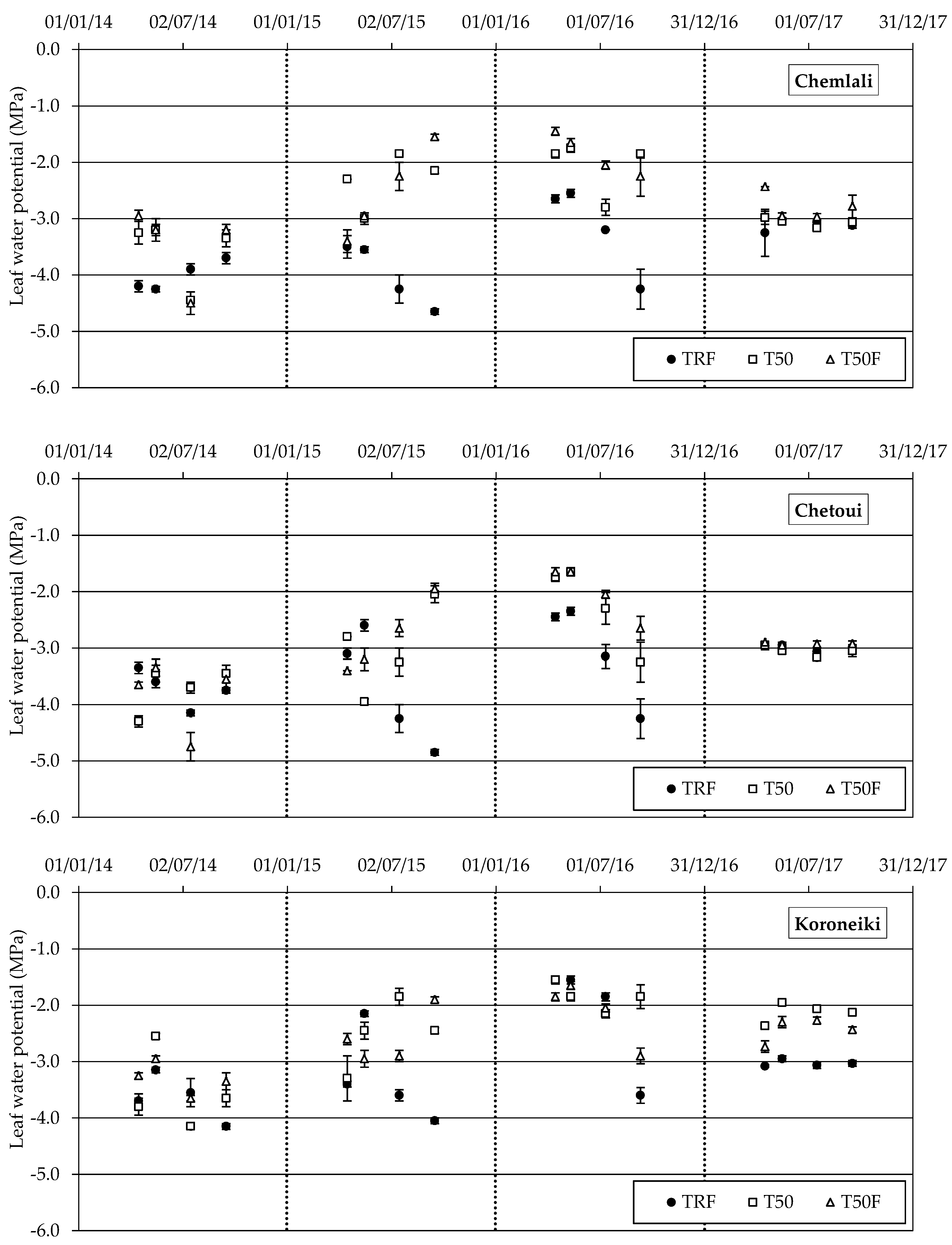
3.2.1. Temporal Dynamic of Leaf Water Potential during the Growing Seasons and for the Four Years
3.2.2. Diurnal Course of Leaf Water Potential
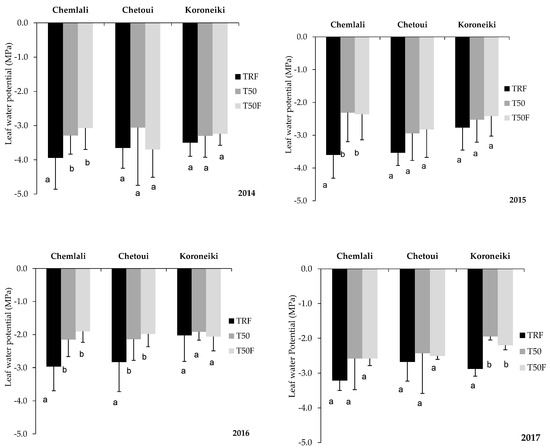
3.2.3. Seasonal Average Leaf Water Potentials
3.2.4. Relative Leaf Water Content
3.3. Crop Yield and Water Use Efficiency
4. Discussion
5. Conclusions
Author Contributions
Funding
Acknowledgments
Conflicts of Interest
References
- Food and Agricultural Organization of the United Nations, FAO. Tunisie, Analyse de la Filière Oléicole; Food and Agriculture Organization of the United Nations: Rome, Italy, 2015; p. 186. Available online: http://www.fao.org/3/a-i4104f.pdf (accessed on 10 July 2019).
- Aïachi Mezghani, M.; Ayadi, F.; Attia, I.; Zouari, I.; Labidi, F.; Attia, L. Effects of irrigation and fertigation applied during a long–period on tree growth, yield and oil quality responses of olive varieties. Acta Hortic. 2018, 1199, 255–260. [Google Scholar] [CrossRef]
- Martin Vertedor, A.I.; Perez Rodriguez, J.M.; Prieto Losada, M.H.; Fereres Castiel, E. Interactive responses to water deficits and crop load in olive (Olea Europaea, L.; cv. Morisca). I—Growth and water relations. Agric. Water Manag 2011, 98, 941–949. [Google Scholar] [CrossRef][Green Version]
- Martin Vertedor, A.I.; Perez Rodriguez, J.M.; Prieto Losada, M.H.; Fereres Castiel, E. Interactive responses to water deficits and crop load in olive (Olea Europaea, L.; cv. Morisca). II-Water use, fruit and oil yield. Agric. Water Manag. 2011, 98, 950–958. [Google Scholar] [CrossRef]
- Tognetti, R.; D’Andria, R.; Morelli, G.; Alvino, A. The effect of deficit irrigation on seasonal variations of plant water use in Olea Europaea, L. Plant Soil 2005, 273, 139–155. [Google Scholar] [CrossRef]
- Aïachi Mezghani, M.; Masmoudi Charfi, C.; Gouiaa, M.; Labidi, F. Vegetative and reproductive behavior of some olive tree cultivars (Olea europaea L.) under deficit irrigation regimes in semi-arid conditions of Central Tunisia. Sci. Hortic. 2012, 146, 143–152. [Google Scholar] [CrossRef]
- Bustan, A.; Avni, A.; Yermiyahu, U.; Ben-Gal, A.; Riov, J.; Erel, R. Interactions between fruit load and macroelement concentrations in fertigated olive (Olea europaea L.) trees under arid saline conditions. Sci. Hortic. 2013, 152, 44–55. [Google Scholar] [CrossRef]
- Rufat, J.; Villar, J.M.; Pascual, M.; Falguera, V.; Arbones, A. Productive and vegetative response to different irrigation and fertilization strategies of an Arbequina olive orchard grown under super-intensive conditions. Agric. Water Manag. 2014, 144, 33–41. [Google Scholar] [CrossRef]
- Ahumada Orellana, L.; Ortega-Farias, S.; Searles, P.; Retamales, J. Yield and water productivity responses to irrigation cut-off strategies after fruit set using stem water potential thresholds in a super-high density olive orchard. Front. Plant Sci. 2017, 8, 1280. [Google Scholar] [CrossRef]
- Patumi, M.; D’Andria, R.; Marsilio, V.; Fontanazza, G.; Morelli, G.; Lanza, B. Olive and olive oil quality after intensive monocone olive growing (Olea europaea L.; cv. Kalamata) in different irrigation regimes. Food Chem. 2002, 77, 27–34. [Google Scholar] [CrossRef]
- Moriana, A.; Orgaz, F.; Pastor, M.; Fereres, E. Yield responses of a mature olive orchard to water deficits. J. Am. Soc. Hortic. Sci. 2003, 128, 425–431. [Google Scholar] [CrossRef]
- Tognetti, R.; D’Andria, R.; Lavini, A.; Morelli, G. The effect of deficit irrigation on crop yield and vegetative development of Olea europaea L. (cvs. Frantoio and Leccino). Eur. J. Agron. 2006, 25, 356–364. [Google Scholar] [CrossRef]
- Ben Ahmed, C.; Ben Rouina, B.; Boukhris, M. Effects of water deficit on olive trees cv.; Chemlali under field conditions in arid region in Tunisia. Sci. Hortic. 2007, 113, 267–277. [Google Scholar] [CrossRef]
- Iniesta, F.; Testi, L.; Orgaz, F.; Villalobos, F.J. The effects of regulated and continuous deficit irrigation on the water use, growth and yield of olive trees. Eur. J. Agron. 2009, 25, 258–265. [Google Scholar] [CrossRef]
- Palese, A.M.; Nuzzo, V.; Favati, F.; Pietrafesa, A.; Celano, G.; Xiloyannis, C. Effects of water deficit on the vegetative response, yield and oil quality of olive trees (Olea europaea L.;cv Coratina) grown under intensive cultivation. Sci. Hortic. 2010, 125, 222–229. [Google Scholar] [CrossRef]
- Fernandez, J.E.; Moreno, F.; Giron, I.F.; Blazquez, O.M. Stomatal control of water use in olive tree leaves. Plant Soil 1997, 190, 179–192. [Google Scholar] [CrossRef]
- Rallo, G.; Minacapilli, M.; Ciraolo, G.; Provenzano, G. Detecting crop water status in mature olive groves using vegetation spectral measurements. Biosyst. Eng. 2014, 128, 52–68. [Google Scholar] [CrossRef]
- Autovino, D.; Minacapilli, M.; Provenzano, G. Modelling bulk surface resistance by MODIS data and assessment of MOD16A2 evapotranspiration product in an irrigation district of Southern Italy. Agric. Water Manag. 2016, 117, 86–94. [Google Scholar] [CrossRef]
- Negm, A.; Capodici, F.; Ciraolo, G.; Maltese, A.; Provenzano, G.; Rallo, G. Assessing the performance of thermal inertia and hydrus models to estimate surface soil water content. Appl. Sci. 2017, 7, 975. [Google Scholar] [CrossRef]
- Awada, H.; Ciraolo, G.; Maltese, M.; Provenzano, G.; Moreno Hidalgo, M.A.; Còrcoles, J.I. Assessing the performance of a large-scale irrigation system by estimations of actual evapotranspiration obtained by Landsat satellite images resampled with cubic convolution. Int. J. Appl. Earth Obs. Geoinf. 2019, 75, 96–105. [Google Scholar] [CrossRef]
- Rallo, G.; Baiamonte, G.; Manzano Juàrez, J.; Provenzano, G. Improvement of FAO-56 model to estimate transpiration fluxes of drought tolerant crops under soil water deficit: Application for olive groves. J. Irrig. Drain. Eng. 2014, 140, 1–8. [Google Scholar] [CrossRef]
- Abuhashim, M.S.D.; Shaban, K.A. Deficit irrigation management as strategy to adapt water scarcity—Potential application on Mediterranean saline soils. Egypt. J. Soil Sci. 2017, 5, 261–271. [Google Scholar]
- Provenzano, G.; Rodriguez Sinobas, L.; Roldàn Canas, J. Irrigated agriculture: Water resources management for a sustainable environment. Biosyst. Eng. 2014, 128, 1–3. [Google Scholar] [CrossRef]
- Martìnez Gimeno, M.A.; Bonet, L.; Provenzano, G.; Badal, E.; Intrigliolo, D.S.; Ballester, C. Assessment of yield and water productivity of clementine trees under surface and subsurface drip irrigation. Agric. Water Manag. 2018, 206, 209–216. [Google Scholar] [CrossRef]
- Fernández, J.E. Irrigation management in olive. In Proceedings of the 2nd International Seminar Olivebioteq, Marsala-Mazara del Vallo, Italy, 5–10 November 2006; pp. 295–305. [Google Scholar]
- Rallo, G.; Gonzàlez Altozano, P.; Manzano Juàrez, J.; Provenzano, G. Using field measurements and FAO-56 model to assess the eco-physiological response of citrus orchards under regulated deficit irrigation. Agric. Water Manag. 2017, 180, 136–147. [Google Scholar] [CrossRef]
- Ghazouani, H.; Rallo, G.; Mguidiche, A.; Latrech, B.; Douh, B.; Boujelben, A.; Provenzano, G. Assessing hydrus-2D model to investigate the effects of different on-farm irrigation strategies on potato crop under subsurface drip irrigation. Water MDPI 2019, 11, 540. [Google Scholar] [CrossRef]
- Sallam, A.; Shaban, K.A.; Abuhashim, M. Influence of water deficit on seed yield and seed quality of Faba bean under saline soil conditions at North Sinai, Egypt. Egypt. J. Soil Sci. 2014, 54, 265–278. [Google Scholar]
- Hussein, A.H.A. Response of Manzanillo olive (Olea europaea L.) cultivar to irrigation regime and potassium fertigation under Tabouk conditions. J. Agron. 2008, 7, 285–296. [Google Scholar] [CrossRef][Green Version]
- Therios, I. Olives. In Crop Production Science in Horticulture; Cabi Publishing: Wallingford, UK, 2009; Volume 18, p. 425. [Google Scholar]
- Fernández Escobar, R. Fertilization. In Production Techniques in Olive Growing; International Olive Council: Madrid, Spain, 2007; pp. 145–168. [Google Scholar]
- Tekaya, M.; El Gharbi, S.; Mechri, B.; Cheheb, H.; Bchir, H.; Chraief, I.; Ayachi Mezghani, M.; Boujneh, D.; Attia, F.; Hammami, M. Improving performance of olive trees by the enhancement of key physiological parameters of olive leaves in response to foliar fertilization. Acta Physiol. 2016, 38, 101. [Google Scholar] [CrossRef]
- Allen, R.; Pereira, L.S.; Raes, D.; Smith, M. Crop evapotranspiration. Guidelines for computing crop water requirements. FAO Irrig. Drain. 1998, 300, DO5190. [Google Scholar]
- Fernandez, J.E.; Moreno, F. Water use by olive tree. J. Crop. Prod. 1999, 2, 101–162. [Google Scholar] [CrossRef]
- Masmoudi Charfi, C.; Masmoudi, M.M.; Ben Mechlia, N. Irrigation de l’olivier: Cas des jeunes plantations intensives. Rev. Ezzaitouna 2004, 10, 37–49. [Google Scholar]
- Turner, N.C. Techniques and experimental approaches for the measurement of plant water status. Plant Soil 1981, 58, 339–366. [Google Scholar] [CrossRef]
- El-Sharkawi, H.M.; Salama, F.M. Drought resistance in some wheat and barley cultivars. I. Analysis of transpiration curves, II. Adjustment in internal water balance. In Proceedings of the 7th Arabian Science Conference, Cairo, Egypt, 23–26 September 1973. [Google Scholar]
- Weatherly, P.E. Studies on the water relations of the cotton plants. I. The field measurement of water deficits in leaves. N. Phytol. 1950, 49, 81–97. [Google Scholar] [CrossRef]
- Weatherly, P.E.; Barrs, C. Are-examination of relative turgidity technique for estimating water deficits in leaves. Aust. J. Biol. Sci. 1962, 15, 413–428. [Google Scholar]
- Ben Rouina, B.; Trigui, A.; D’andria, R.; Boukhris, M.; Chaieb, M. Effects of water stress and soil type on photosynthesis, leaf water potential and yield of olive trees (Olea europaea L.; cv.; Chemlali Sfax). Aust. J. Exp. Agric. 2007, 47, 1484–1490. [Google Scholar] [CrossRef]
- Bongi, G.; Palliotti, A. Olive. In Handbook of Environmental Physiology of Fruit Crop; Schaffer, B., Anderson, P.C., Eds.; CRC Press Inc.: Boca Raton, FL, USA, 1994; pp. 165–182. [Google Scholar]
- Dichio, B.; Xiloyannis, C.; Angelopoulos, K.; Nuzzo, V.; Bufo, S.A.; Celano, G. Drought-induced variations of water relations parameters in Olea europaea L. Plant Soil 2003, 257, 381–389. [Google Scholar] [CrossRef]
- Wahbi, S.; Wakrim, R.; Aganchich, B.; Tahi, H.; Serraj, R. Effects of partial root-zone drying (PRD) on adult olive tree (Olea europaea L.) in field conditions under arid climate. I. Physiological and agronomic responses. Agric. Ecosyst. Environ. 2005, 106, 289–301. [Google Scholar] [CrossRef]
- Naor, A. Irrigation scheduling and evaluation of tree water status in deciduous orchards. Hortic. Rev. 2006, 32, 111–165. [Google Scholar]
- Larsen, F.F.; Higgins, S.S.; Wir, A.A. Diurnal water relations of apple, apricot, grape, olive and peach in an arid environment (Jordan). Sci. Hortic. 1989, 39, 211–222. [Google Scholar] [CrossRef]
- Abd-El-Rahman, A.A.; Shalaby, A.F.; Balegh, M.S.N. Water economy of olive under desert conditions. Flora. Abt. B 1966, 156, 202–212. [Google Scholar]
- Aïachi Mezghani, M.; Sahli, A.; Grati, N.; Gaaliche, B.; Laaribi, I. Effects of two irrigations regimes on olive trees cultivated in arid region of Tunisia: Growth, yield responses and water relations. Eur. Sci. J. 2014, 10, 468–489. [Google Scholar]
- Guerfel, M.; Baccouri, O.; Boujnah, D.; Chaibi, W.; Zarrouk, M. Seasonal changes in water relations and gas exchange in leaves of two Tunisian olice (Olea europaea L.) cultivars under water deficit. J. Hortic. Sci. Biotech. 2007, 82, 721–726. [Google Scholar] [CrossRef]
- Alegre, S.; Girona, J. Riego deficitario controlado en olivo. Fruticult. Prof. 1997, 88, 70–78. [Google Scholar]
- Charfi Masmoudi, C.; Aïachi Mezghani, M.; Gouia, M.; Laabidi, F.; Ben Raguaya, S.; Ouled Amor, A.; Bousnina, M. Water relations of olive trees cultivated under deficit irrigation regimes. Sci. Hortic. 2010, 125, 573–578. [Google Scholar] [CrossRef]
- Ameglio, T.; Archer, P.; Cohen, P.; Valancogne, M.; Daudet, F.; Duyau, S.; Cruziat, P. Significance and limits in the use of predawn leaf water potential for tree irrigation. Plant Soil 1999, 207, 155–167. [Google Scholar] [CrossRef]
- Correa-Tedesco, G.; Rousseaux, M.C.; Searles, P.S. Plant growth and yield responses in olive (Olea europaea L.) to different irrigation levels in an arid region of Argentina. Agric. Water Manag. 2010, 97, 1829–1837. [Google Scholar] [CrossRef]
- Serrano, F.J.F. Yield and physiology response of ‘Azeiteira’ table olive variety to drip irrigation at different water use level. Olivae 1998, 74, 50–53. [Google Scholar]








| Year | Climatic Conditions | Irrigations Parameters | ||||||
|---|---|---|---|---|---|---|---|---|
| T (°C) | RH (%) | ET0 (mm) | ETc (mm) | Rainfall (mm) | IA (mm) | |||
| TMax | TMin | TMean | ||||||
| 2014 | 40.0 | 5.0 | 20.7 | 59.0 | 1486.0 | 788.0 | 168.3 | 309.0 |
| 2015 | 40.8 | 5.9 | 20.2 | 62.0 | 1411.0 | 745.0 | 195.7 | 274.0 |
| 2016 | 41.4 | 2.8 | 20.7 | 61.0 | 1482.0 | 782.0 | 160.7 | 310.0 |
| 2017 | 38.2 | 4.5 | 20.6 | 59.7 | 1408.0 | 748.0 | 155.0 | 296.0 |
| Factor | Date 1 | Date 2 | Date 3 | Date 4 |
|---|---|---|---|---|
| Year | 209.91 ** | 1001.71 ** | 629.27 ** | 518.14 ** |
| Treatment | 34.07 ** | 28.09 ** | 196.83 ** | 1094.75 ** |
| Cultivar | 20.46 * | 78.51 ** | 135.82 ** | 1.279NS |
| Year × Treatment | 2.71 * | 26.81 ** | 77.51 ** | 117.70 ** |
| Year × Cultivar | 6.96 ** | 40.52 ** | 15.61 ** | 35.51 ** |
| Treatment × Cultivar | 11.34 ** | 50.81 ** | 5.42 ** | 24.959 ** |
| Year x Treatment × Cultivar | 10.74 ** | 33.04 ** | 35.55 ** | 18.19 ** |
© 2019 by the authors. Licensee MDPI, Basel, Switzerland. This article is an open access article distributed under the terms and conditions of the Creative Commons Attribution (CC BY) license (http://creativecommons.org/licenses/by/4.0/).
Share and Cite
Aïachi Mezghani, M.; Mguidiche, A.; Allouche Khebour, F.; Zouari, I.; Attia, F.; Provenzano, G. Water Status and Yield Response to Deficit Irrigation and Fertilization of Three Olive Oil Cultivars under the Semi-Arid Conditions of Tunisia. Sustainability 2019, 11, 4812. https://doi.org/10.3390/su11174812
Aïachi Mezghani M, Mguidiche A, Allouche Khebour F, Zouari I, Attia F, Provenzano G. Water Status and Yield Response to Deficit Irrigation and Fertilization of Three Olive Oil Cultivars under the Semi-Arid Conditions of Tunisia. Sustainability. 2019; 11(17):4812. https://doi.org/10.3390/su11174812
Chicago/Turabian StyleAïachi Mezghani, Mouna, Amel Mguidiche, Faiza Allouche Khebour, Imen Zouari, Faouzi Attia, and Giuseppe Provenzano. 2019. "Water Status and Yield Response to Deficit Irrigation and Fertilization of Three Olive Oil Cultivars under the Semi-Arid Conditions of Tunisia" Sustainability 11, no. 17: 4812. https://doi.org/10.3390/su11174812
APA StyleAïachi Mezghani, M., Mguidiche, A., Allouche Khebour, F., Zouari, I., Attia, F., & Provenzano, G. (2019). Water Status and Yield Response to Deficit Irrigation and Fertilization of Three Olive Oil Cultivars under the Semi-Arid Conditions of Tunisia. Sustainability, 11(17), 4812. https://doi.org/10.3390/su11174812

