Linking Land Use Metrics Measured in Aquatic–Terrestrial Interfaces to Water Quality of Reservoir-Based Water Sources in Eastern China
Abstract
1. Introduction
2. Materials and Methods
2.1. Study Area
2.2. Data Preparation
2.3. Statistical Analysis
2.3.1. Self-Organizing Map (SOM)
2.3.2. Redundancy Analysis (RDA)
2.4. Uncertainty and Shortcomings of the Study
3. Results
3.1. Effects of Seasonal Period and Elevation on Water Quality
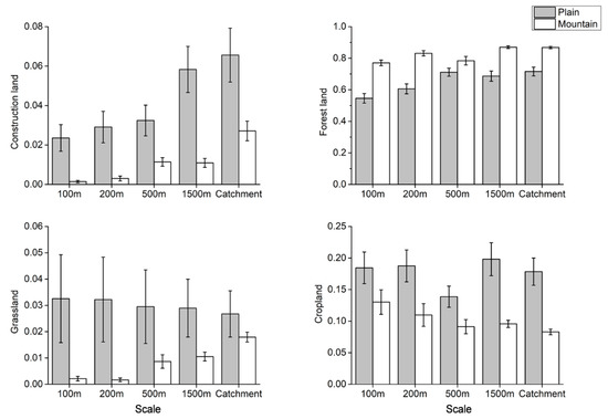
3.2. Land Use Types as Affected by Elevation and Scale
3.3. Effects of Land Use Proportions and LUI on Water Quality
3.4. Effects of Land Use Configuration on Water Quality
4. Discussion
5. Conclusions
Supplementary Materials
Author Contributions
Funding
Conflicts of Interest
References
- Wetzel, R.G. Limnology, Lake and River Ecosystems; Academic Press: Cambridge, MA, USA, 2001. [Google Scholar]
- World Resources Institute. Millennium Ecosystem Assessment. In Ecosystems and Human Well-Being, Wetlands and Water Synthesis; World Resources Institute: Washington, DC, USA, 2005. [Google Scholar]
- Keeler, B.L.; Polasky, S.; Brauman, K.A.; Johnson, K.A.; Finlay, J.C.; O’Neill, A.; Kovacs, K.; Dalzell, B. Linking water quality and well-being for improved assessment and valuation of ecosystem services. Proc. Natl. Acad. Sci. USA 2012, 109, 18619–18624. [Google Scholar] [CrossRef]
- Akasaka, M.; Takamura, N.; Mitsuhashi, H.; Kadono, Y. Effects of land use on aquatic macrophyte diversity and water quality of ponds. Freshw. Biol. 2010, 55, 909–922. [Google Scholar] [CrossRef]
- da Silva, V.D.R.; Silva, M.T.; Singh, V.P.; de Souza, E.P.; Braga, C.C.; de Holanda, R.M.; Almeida, R.S.R.; de Sousa, F.D.S.; Braga, A.C.R. Simulation of stream flow and hydrological response to land-cover changes in a tropical river basin. Catena 2018, 162, 166–176. [Google Scholar] [CrossRef]
- Luo, K.; Hu, X.B.; He, Q. Impacts of rapid urbanization on the water quality and macroinvertebrate communities of streams, a case study in Liangjiang New Area, China. Sci. Total Environ. 2018, 621, 1601–1614. [Google Scholar] [CrossRef]
- Carpenter, S.R.; Stanley, E.H.; Vander Zanden, M.J. State of the world’s freshwater ecosystems, physical, chemical, and biological changes. Annu. Rev. Environ. Resour. 2011, 36, 75–99. [Google Scholar] [CrossRef]
- Tegos, A.; Schlüter, W.; Gibbons, N.; Katselis, Y.; Efstratiadis, A. Assessment of environmental flows from complexity to parsimony—Lessons from lesotho. Water 2018, 10, 1293. [Google Scholar] [CrossRef]
- Carey, R.O.; Migliaccio, K.W.; Li, Y.C.; Schaffer, B.; Kiker, G.A.; Brown, M.T. Land use disturbance indicators and water quality variability in the Biscayne Bay Watershed, Florida. Ecol. Indic. 2011, 11, 1093–1104. [Google Scholar] [CrossRef]
- Chen, Q.; Mei, K.; Dahlgren, R.A.; Wang, T.; Gong, J.; Zhang, M.H. Impacts of land use and population density on seasonal surface water quality using a modified geographically weighted regression. Sci. Total Environ. 2016, 572, 450–466. [Google Scholar] [CrossRef]
- Liu, J.; Shen, Z.Y.; Chen, L. Assessing how spatial variations of land use pattern affect water quality across a typical urbanized watershed in Beijing, China. Landsc. Urban. Plan. 2018, 176, 51–63. [Google Scholar] [CrossRef]
- Shi, P.; Zhang, Y.; Li, Z.; Li, P.; Xu, G. Influence of land use and land cover patterns on seasonal water quality at multi-spatial scales. Catena 2017, 151, 182–190. [Google Scholar] [CrossRef]
- Yu, S.; Xu, Z.X.; Wu, W.; Zuo, D.P. Effect of land use types on stream water quality under seasonal variation and topographic characteristics in the Wei River basin, China. Ecol. Indic. 2016, 60, 202–212. [Google Scholar] [CrossRef]
- de Mello, K.; Valente, R.A.; Randhir, T.O.; dos Santos, A.C.A.; Vettorazzi, C.A. Effects of land use and land cover on water quality of low-order streams in Southeastern Brazil, watershed versus riparian zone. Catena 2018, 167, 130–138. [Google Scholar] [CrossRef]
- Bremigan, M.T.; Soranno, P.A.; González, M.J.; Bunnell, D.B.; Arend, K.K.; Renwick, W.H.; Stein, R.A.; Vanni, M.J. Hydrogeomorphic features mediate the effects of land use/cover on reservoir productivity and food webs. Limnol. Oceanogr. 2008, 54, 1420–1433. [Google Scholar] [CrossRef]
- Park, Y.S.; Kwon, Y.S.; Hwang, S.J.; Park, S. Characterizing effects of landscape and morphometric factors on water quality of reservoirs using a self-organizing map. Environ. Modell. Softw. 2014, 55, 214–221. [Google Scholar] [CrossRef]
- Earthscan. WCD World Commission on Dams. In Dams and Development, a Framework for Decision Making; Earthscan: London, UK, 2000. [Google Scholar]
- Koutsoyiannis, D. Scale of water resources development and sustainability: Small is beautiful, large is great. Hydrol. Sci. J. 2011, 56, 553–575. [Google Scholar] [CrossRef]
- Sargentis, G.; Ioannidis, R.; Karakatsanis, G.; Sigourou, S.; Lagaros, N.D.; Koutsoyiannis, D. The development of the athens water supply system and inferences for optimizing the scale of water infrastructures. Sustainability 2019, 11, 2657. [Google Scholar] [CrossRef]
- Naiman, R.J.; Décamps, H. The Ecology of Interfaces: Riparian Zones. Annu. Rev. Ecol. Syst. 1997, 28, 621–658. [Google Scholar] [CrossRef]
- Kuglerová, L.; Dynesius, M.; Laudon, H.; Jansson, R. Relationships between plant assemblages and water flow across a boreal forest landscape, a comparison of liverworts, mosses, and vascular plants. Ecosystems 2016, 19, 170–184. [Google Scholar] [CrossRef]
- Groffman, P.M.; Bain, D.J.; Band, L.E.; Belt, K.T.; Brush, G.S.; Grove, J.M.; Pouyat, R.V.; Yesilonis, I.C.; Zipperer, W.C. Down by the riverside, urban riparian ecology. Front. Ecol. Environ. 2003, 1, 315–321. [Google Scholar] [CrossRef]
- Pratt, B.; Chang, H. Effects of land cover, topography, and built structure on seasonal water quality at multiple spatial scales. J. Hazard. Mater. 2012, 209, 48–58. [Google Scholar] [CrossRef]
- Ding, J.; Jiang, Y.; Liu, Q.; Hou, Z.; Liao, J.; Fu, L.; Peng, Q. Influences of the land use pattern on water quality in low-order streams of the Dongjiang River basin, China, a multi-scale analysis. Sci. Total Environ. 2016, 551, 205–216. [Google Scholar] [CrossRef]
- Zhang, J.; Li, S.Y.; Dong, R.Z.; Jiang, C.S.; Ni, M.F. Influences of land use metrics at multi-spatial scales on seasonal water quality, a case study of river systems in the Three Gorges Reservoir Area, China. J. Clean. Prod. 2019, 206, 76–85. [Google Scholar] [CrossRef]
- Li, S.; Xia, X.; Tan, X.; Zhang, Q. Effects of catchment and riparian landscape setting on water chemistry and seasonal evolution of water quality in the upper Han River basin, China. PLoS ONE 2013, 8, e53163. [Google Scholar] [CrossRef]
- Wu, J.G. Effects of changing scale on landscape pattern analysis, scaling relations. Landsc. Ecol. 2004, 19, 125–138. [Google Scholar] [CrossRef]
- Lee, S.W.; Hwang, S.J.; Lee, S.B.; Hwang, H.S.; Sung, H.C. Landscape ecological approach to the relationships of land use patterns in watersheds to water quality characteristics. Landsc. Urban. Plan. 2009, 92, 80–89. [Google Scholar] [CrossRef]
- Marrero, H.J.; Torretta, J.P.; Medan, D. Effect of land use intensification on specialization in plant-foral visitor interaction networks in the Pampas of Argentina. Agric. Ecosyst. Environ. 2014, 188, 63–71. [Google Scholar] [CrossRef]
- Wu, J.L.; Zeng, H.A.; Yu, H.; Ma, L.; Xu, L.S.; Qin, B.Q. Water and Sediment Quality in Lakes along the Middle and Lower Reaches of the Yangtze River, China. Water Resour. Manag. 2012, 26, 3601–3618. [Google Scholar] [CrossRef]
- Ding, L.L.; Wang, Q.; Chen, X.; Tang, J.J. The responses of ecosystem services to land-use change in Dianshan Lake area from 1984 to 2014. Acta Ecologica Sinica 2019, 39, 2973–2985. (In Chinese) [Google Scholar]
- Liu, F.; Yan, H.M.; Liu, J.Y.; Xiao, X.M.; Qin, Y.W. Spatial pattern of land use intensity in China in 2000. Acta. Geogr. Sin. 2016, 71, 1130–1143, (In Chinese with English abstract). [Google Scholar] [CrossRef]
- Kohonen, T. Self-Organizing Maps; Springer: Berlin/Heidelberg, Germany, 2001. [Google Scholar]
- Vesanto, J.; Himberg, J.; Alhoniemi, E.; Parhankangas, J. SOM toolbox for Matlab 5. In Technical Report A57; Neural Networks Research Centre, Helsinki University of Technology: Helsinki, Finland, 2007. [Google Scholar]
- Long, D.T.; Pearson, A.L.; Voice, T.C.; Polanco-Rodriguez, A.G.; Sanchez-Rodriguez, E.C.; Xagoraraki, I.; Concha-Valdez, F.G.; Puc-Franco, M.; Lopez-Cetz, R.; Rzotkiewicz, A.T. Influence of rainy season and land use on drinking water quality in a karst landscape, State of Yucatán, Mexico. Appl. Geochem. 2018, 98, 265–277. [Google Scholar] [CrossRef]
- Sunohara, M.D.; Gottschall, N.; Craiovan, E.; Wilkes, G.; Topp, E.; Frey, S.K.; Lapen, D.R. Controlling tile drainage during the growing season in eastern Canada to reduce nitrogen, phosphorus, and bacteria loading to surface water. Agric. Water Manag. 2016, 178, 159–170. [Google Scholar] [CrossRef]
- Wang, X.L.; Zhang, L.; Zhao, Z.H.; Cai, Y.J. Heavy metal pollution in reservoirs in the hilly area of southern China, distribution, source apportionment and health risk assessment. Sci. Total Environ. 2018, 634, 158–169. [Google Scholar] [CrossRef]
- Zhu, H.; Bing, H.J.; Wu, Y.H.; Zhou, J.; Sun, H.Y.; Wang, J.P.; Wang, X.X. The spatial and vertical distribution of heavy metal contamination in sediments of the Three Gorges Reservoir determined by anti-seasonal flow regulation. Sci. Total Environ. 2019, 664, 79–88. [Google Scholar] [CrossRef]
- Yang, H.F.; Yang, S.L.; Xu, K.H.; Milliman, J.D.; Wang, H.; Yang, Z.; Chen, Z.; Zhang, C.Y. Human impacts on sediment in the Yangtze River, a review and new perspectives. Glob. Planet. Chang. 2018, 162, 8–17. [Google Scholar] [CrossRef]
- Tong, Y.D.; Li, J.Q.; Qi, M.; Zhang, X.Y.; Wang, M.Z.; Liu, X.Y.; Zhang, W.; Wang, X.J.; Lu, Y.R.; Lin, Y. Impacts of water residence time on nitrogen budget of lakes and reservoirs. Sci. Total Environ. 2019, 646, 75–83. [Google Scholar] [CrossRef]
- Allan, J.D. Landscapes and riverscapes, the influence of land use on stream ecosystems. Annu. Rev. Ecol. Evol. Syst. 2004, 35, 257–284. [Google Scholar] [CrossRef]
- Basnou, C.; Álvarez, E.; Bagaria, G.; Guardiola, M.; Isern, R.; Vicente, P.; Pino, J. Spatial patterns of land use changes across a Mediterranean metropolitan landscape, implications for biodiversity management. Environ. Manag. 2013, 52, 971–980. [Google Scholar] [CrossRef]
- Li, T.H.; Bai, F.J.; Han, P.; Zhang, Y.Y. Non-point source pollutant load variation in rapid urbanization areas by Remote Sensing, Gis and the L-THIA Model, a Case in Bao’an District, Shenzhen, China. Environ. Manag. 2016, 58, 873–888. [Google Scholar] [CrossRef]
- Tsegaye, T.; Sheppard, D.; Islam, K.R.; Johnson, A.; Tadesse, W.; Atalay, A.; Marzen, L. Development of chemical index as a measure of in-stream water quality in response to land-use and land cover changes. Water Air Soil Pollut. 2006, 174, 161–179. [Google Scholar] [CrossRef]
- Ou, Y.; Wang, X.Y.; Wang, L.X.; Rousseau, A.N. Landscape influences on water quality in riparian buffer zone of drinking water source area, Northern China. Environ. Earth. Sci. 2016, 75, 114. [Google Scholar] [CrossRef]
- Shen, Z.; Hou, X.; Li, W.; Aini, G.; Chen, L.; Gong, Y. Impact of landscape pattern at multiple spatial scales on water quality, a case study in a typical urbanized watershed in China. Ecol. Indic. 2015, 48, 417–427. [Google Scholar] [CrossRef]
- Shang, W.X.; Wang, Z.J.; Zhao, Z.N.; Qiu, B.; Zheng, Z.L. Framework and delimitation study of aquatic ecological red-line. J. Hydraul. Eng. ASCE 2016, 47, 934–941. [Google Scholar] [CrossRef]
- Minshall, G.W.; Rugenski, A. Methods in Stream Ecology; Academic Press: Burlington, MA, USA, 2007. [Google Scholar]
- Zhang, H.J.; Wang, R.Q.; Wang, X.; Du, N.; Ge, X.L.; Du, Y.D.; Liu, J. Recurrent water level fluctuation alleviates the effects of submergence stress on the invasive riparian plant Alternanthera philoxeroides. PLoS ONE 2015, 10, e0129549. [Google Scholar] [CrossRef]








| Land Use Types | Scale | pH | DO | CODMn | NH3-N | TP | TN | |
|---|---|---|---|---|---|---|---|---|
| Mountain | Cropland | 100 m buffer | 0.85(0.002) | |||||
| 200 m buffer | 0.79(0.007) | |||||||
| Grassland | Catchment | 0.70(0.025) | ||||||
| Construction land | 200 m buffer | −0.70(0.024) | ||||||
| 500 m buffer | −0.81(0.005) | |||||||
| Land use intensity | 100 m buffer | 0.85(0.002) | ||||||
| 200 m buffer | 0.77(0.01) | |||||||
| Plain | Grassland | 100 m buffer | −0.49(0.001) | −0.32(0.033) | ||||
| 200 m buffer | −0.49(0.001) | −0.31(0.039) | ||||||
| 1500 m buffer | −0.34(0.024) | |||||||
| Catchment | −0.41(0.006) | −0.41(0.006) | −0.32(0.036) | |||||
| Forest | 200 m buffer | −0.32(0.032) | ||||||
| 1500 m buffer | −0.44(0.003) | |||||||
| Catchment | −0.39(0.009) | −0.32(0.037) | ||||||
| Construction land | 100 m buffer | −0.31(0.039) | 0.32(0.035) | |||||
| 200 m buffer | −0.32(0.037) | |||||||
| 1500 m buffer | 0.34(0.024) | 0.41(0.005) | 0.38(0.011) | 0.31(0.038) | ||||
| Catchment | 0.40(0.007) | 0.40(0.008) | ||||||
| Land use intensity | 200 m buffer | 0.34(0.023) | ||||||
| 500 m buffer | 0.41(0.006) | 0.36(0.017) | ||||||
| 1500 m buffer | 0.37(0.013) | 0.51(0.000) | 0.32(0.033) | |||||
| Catchment | 0.42(0.005) | 0.39(0.008) |
© 2019 by the authors. Licensee MDPI, Basel, Switzerland. This article is an open access article distributed under the terms and conditions of the Creative Commons Attribution (CC BY) license (http://creativecommons.org/licenses/by/4.0/).
Share and Cite
Ding, L.; Li, Q.; Tang, J.; Wang, J.; Chen, X. Linking Land Use Metrics Measured in Aquatic–Terrestrial Interfaces to Water Quality of Reservoir-Based Water Sources in Eastern China. Sustainability 2019, 11, 4860. https://doi.org/10.3390/su11184860
Ding L, Li Q, Tang J, Wang J, Chen X. Linking Land Use Metrics Measured in Aquatic–Terrestrial Interfaces to Water Quality of Reservoir-Based Water Sources in Eastern China. Sustainability. 2019; 11(18):4860. https://doi.org/10.3390/su11184860
Chicago/Turabian StyleDing, Lilian, Qiyao Li, Jianjun Tang, Jiangfei Wang, and Xin Chen. 2019. "Linking Land Use Metrics Measured in Aquatic–Terrestrial Interfaces to Water Quality of Reservoir-Based Water Sources in Eastern China" Sustainability 11, no. 18: 4860. https://doi.org/10.3390/su11184860
APA StyleDing, L., Li, Q., Tang, J., Wang, J., & Chen, X. (2019). Linking Land Use Metrics Measured in Aquatic–Terrestrial Interfaces to Water Quality of Reservoir-Based Water Sources in Eastern China. Sustainability, 11(18), 4860. https://doi.org/10.3390/su11184860
