ORR Catalysts Derived from Biopolymers
Abstract
1. Introduction
2. Alginate as a Source of Carbon Material
Alginate-Based Materials Doped with Metal Ions
3. Other Widely Used Biopolymers
3.1. Cellulose
3.2. Chitin
3.3. Lignin
4. Biomass Used for the ORR Catalysts Preparation
5. Conclusions
Author Contributions
Funding
Data Availability Statement
Conflicts of Interest
References
- Dühnen, S.; Betz, J.; Kolek, M.; Schmuch, R.; Winter, M.; Placke, T. Toward Green Battery Cells: Perspective on Materials and Technologies. Small Methods 2020, 4, 2000039. [Google Scholar] [CrossRef]
- Kwak, W.-J.; Rosy; Sharon, D.; Xia, C.; Kim, H.; Johnson, L.R.; Bruce, P.G.; Nazar, L.F.; Sun, Y.-K.; Frimer, A.A.; et al. Lithium-Oxygen Batteries and Related Systems: Potential, Status, and Future. ACS Appl. Mater. Interfaces 2020, 120, 6626–6683. [Google Scholar] [CrossRef] [PubMed]
- Wang, Y.; Chu, F.; Zeng, J.; Wang, Q.; Naren, T.; Li, Y.; Cheng, Y.; Lei, Y.; Wu, F. Single Atom Catalysts for Fuel Cells and Rechargeable Batteries: Principles, Advances, and Opportunities. ACS Nano 2021, 15, 210–239. [Google Scholar] [CrossRef]
- Carrette, L.; Friedrich, K.A.; Stimming, U. Fuel Cells: Principles, Types, Fuels, and Applications. ChemPhysChem 2000, 1, 162–193. [Google Scholar] [CrossRef]
- Dyer, C.K. Fuel Cells for Portable Applications. Low-Power Electron. Des. 2002, 106, 31–34. [Google Scholar] [CrossRef]
- Hilal, M.E.; Aboulouard, A.; Akbar, A.R.; Younus, H.A.; Horzum, N.; Verpoort, F. Progress of MOF-Derived Functional Materials toward Industrialization in Solar Cells and Metal-Air Batteries. Catalysts 2020, 10, 897. [Google Scholar] [CrossRef]
- He, Y.; Yang, X.; Li, Y.; Liu, L.; Guo, S.; Shu, C.; Liu, F.; Liu, Y.; Tan, Q.; Wu, G. Atomically Dispersed Fe-Co Dual Metal Sites as Bifunctional Oxygen Electrocatalysts for Rechargeable and Flexible Zn-Air Batteries. ACS Catal. 2022, 12, 1216–1227. [Google Scholar] [CrossRef]
- Sun, J.; Wang, N.; Qiu, Z.; Xing, L.; Du, L. Recent Progress of Non-Noble Metal Catalysts for Oxygen Electrode in Zn-Air Batteries: A Mini Review. Catalysts 2022, 12, 843. [Google Scholar] [CrossRef]
- Slavova, M.; Mihaylova-Dimitrova, E.; Mladenova, E.; Abrashev, B.; Burdin, B.; Vladikova, D. Zeolite Based Carbon-Free Gas Diffusion Electrodes for Secondary Metal-Air Batteries. J. Electroanal. Sci. Eng. 2020, 10, 229–234. [Google Scholar] [CrossRef]
- Wang, J.; Huang, Z.; Liu, W.; Chang, C.; Tang, H.; Li, Z.; Chen, W.; Jia, C.; Yao, T.; Wei, S.; et al. Design of N-Coordinated Dual-Metal Sites: A Stable and Active Pt-Free Catalyst for Acidic Oxygen Reduction Reaction. J. Am. Chem. Soc. 2017, 139, 17281–17284. [Google Scholar] [CrossRef]
- Debe, M.K. Electrocatalyst Approaches and Challenges for Automotive Fuel Cells. Nature 2012, 486, 43–51. [Google Scholar] [CrossRef] [PubMed]
- Wu, G.; More, K.L.; Johnston, C.M.; Zelenay, P. High-Performance Electrocatalysts for Oxygen Reduction Derived from Polyaniline, Iron, and Cobalt. Science 2011, 332, 443–447. [Google Scholar] [CrossRef] [PubMed]
- Du, L.; Zhang, G.; Liu, X.; Hassanpour, A.; Dubois, M.; Tavares, A.C.; Sun, S. Biomass-Derived Nonprecious Metal Catalysts for Oxygen Reduction Reaction: The Demand-Oriented Engineering of Active Sites and Structures. Carbon Energy 2020, 2, 561–581. [Google Scholar] [CrossRef]
- Liu, L.; Yang, X.; Ma, N.; Liu, H.; Xia, Y.; Chen, C.; Yang, D.; Yao, X. Scalable and Cost-Effective Synthesis of Highly Efficient Fe2N-Based Oxygen Reduction Catalyst Derived from Seaweed Biomass. Small 2016, 12, 1295–1301. [Google Scholar] [CrossRef]
- Popadić, D.; Gavrilov, N.; Ignjatović, L.; Krajišnik, D.; Mentus, S.; Milojević-Rakić, M.; Bajuk-Bogdanović, D. How to Obtain Maximum Environmental Applicabilitz from Natural Silicates. Catalysts 2022, 12, 519. [Google Scholar] [CrossRef]
- Yun, S.; Hagfeldt, A.; Ma, T. Pt-Free Counter Electrode for Dye-Sensitized Solar Cells with High Efficiency. Adv. Mater. 2014, 26, 6210–6237. [Google Scholar] [CrossRef]
- Zhou, Q.; Shi, G. Conducting Polymer-Based Catalysts. J. Am. Chem. Soc. 2016, 138, 2868–2876. [Google Scholar] [CrossRef]
- Winther-Jensen, B.; Winther-Jensen, O.; Forsyth, M.; MacFarlane, D.R. High Rates of Oxygen Reduction over a Vapor Phase-Polymerized PEDOT Electrode. Science 2008, 321, 671–674. [Google Scholar] [CrossRef]
- Bashyam, R.; Zelenay, P. A Class of Non-Precious Metal Composite Catalysts for Fuel Cells. Nature 2006, 443, 63–66. [Google Scholar] [CrossRef]
- Gong, K.; Du, F.; Xia, Z.; Durstock, M.; Dai, L. Nitrogen-Doped Carbon Nanotube Arrays with High Electrocatalytic Activity for Oxygen Reduction. Science 2009, 323, 760–764. [Google Scholar] [CrossRef]
- Choi, C.H.; Park, S.H.; Woo, S.I. Binary and Ternary Doping of Nitrogen, Boron, and Phosphorus into Carbon for Enhancing Electrochemical Oxygen Reduction Activity. ACS Nano 2012, 6, 7084–7091. [Google Scholar] [CrossRef] [PubMed]
- Zhang, J.; Zhao, Z.; Xia, Z.; Dai, L. A Metal-Free Bifunctional Electrocatalyst for Oxygen Reduction and Oxygen Evolution Reactions. Nat. Nanotechnol. 2015, 10, 444–452. [Google Scholar] [CrossRef] [PubMed]
- Meng, Y.; Voiry, D.; Goswami, A.; Zou, X.; Huang, X.; Chhowalla, M.; Liu, Z.; Asefa, T. N-, O-, and S-Tridoped Nanoporous Carbons as Selective Catalysts for Oxygen Reduction and Alcohol Oxidation Reactions. J. Am. Chem. Soc. 2014, 136, 13554–13557. [Google Scholar] [CrossRef] [PubMed]
- Liu, Z.-W.; Peng, F.; Wang, H.-J.; Yu, H.; Zheng, W.-X.; Yang, J. Phosphorus-Doped Graphite Layers with High Electrocatalytic Activity for the Oxygen Reduction Reaction in an Alkaline Medium. Angew. Chem. Int. Ed. 2011, 50, 3257–3261. [Google Scholar] [CrossRef] [PubMed]
- Yang, L.; Jiang, S.; Zhan, Y.; Zhu, L.; Chen, S.; Wang, X.; Wu, Q.; Ma, J.; Ma, Y. Boron-Doped Carbon Nanotubes as Metal-Free Electrocatlysts for the Oxygen Reduction Reaction. Angew. Chem. Int. Ed. 2011, 50, 7132–7135. [Google Scholar] [CrossRef]
- Wang, S.; Iyyamperumal, E.; Roy, A.; Xue, Y.; Yu, D.; Dai, L. Vertically Aligned BCN Nanotubes as Efficient Metal-Free Electrocatalysts for the Oxygen Reduction Reaction: A Synergistic Effect by Co-Doping with Boron and Nitrogen. Angew. Chem. Int. Ed. 2011, 50, 11756–11760. [Google Scholar] [CrossRef]
- Liang, H.; Wei, W.; Wu, Z.; Feng, X.; Mullen, K. Mesoporous Metal—Nitrogen-Doped Carbon Electrocatalysts for Highly Efficient Oxygen Reduction Reaction. J. Am. Chem. Soc. 2013, 135, 16002–16005. [Google Scholar] [CrossRef]
- Ding, W.; Li, L.; Xiong, K.; Wang, Y.; Li, W.; Nie, Y.; Chen, S.; Qi, X.; Wei, Z. Shape Fixing via Salt Recrystallization: A Morphology-Controlled Approach To Convert Nanostructured Polymer to Carbon Nanomaterial as a Highly Active Catalyst for Oxygen Reduction Reaction. J. Am. Chem. Soc. 2015, 137, 5414–5420. [Google Scholar] [CrossRef]
- Li, Q.; Cao, R.; Cho, J.; Wu, G. Nanocarbon Electrocatalysts for Oxygen Reduction in Alkaline Media for Advanced Energy Conversion and Storage. Adv. Energy Mater. 2014, 4, 1301415. [Google Scholar] [CrossRef]
- Masa, J.; Xia, W.; Muhler, M.; Schuhmann, W. On the Role of Metals in Nitrogen-Doped Carbon Electrocatalysts for Oxygen Reduction. Angew. Chemie-Int. Ed. 2015, 54, 10102–10120. [Google Scholar] [CrossRef]
- Yang, G.; Zhu, J.; Yuan, P.; Hu, Y.; Qu, G.; Lu, B.-A.; Xue, X.; Yin, H.; Cheng, W.; Cheng, J.; et al. Regulating Fe-spin state by atomically dispersed Mn-N in Fe-N-C catalysts with high oxygen reduction activity. Nat. Commun. 2021, 12, 1734. [Google Scholar] [CrossRef] [PubMed]
- Wang, H.; Liu, R.; Li, Y.; Lu, X.; Wang, Q.; Zhao, S.; Yuan, K.; Cui, Z.; Li, X.; Xin, S.; et al. Durable and efficient hollow porous oxide spinel microspheres for oxygen reduction. Joule 2018, 2, 337–348. [Google Scholar] [CrossRef]
- Brezny, A.C.; Johnson, S.I.; Raugei, S.; Mayer, J.M. Selectivity-Determining Steps in O2 Reduction Catalyzed by Iron(tetramesitylporphyrin). J. Am. Chem. Soc. 2020, 142, 4108–4113. [Google Scholar] [CrossRef] [PubMed]
- Ma, Q.; Jin, H.; Zhu, J.; Li, Z.; Xu, H.; Liu, B.; Zhang, Z.; Ma, J.; Mu, S. Stabilizing Fe-N-C Catalysts as Model for Oxygen Reduction Reaction. Adv. Sci. 2021, 8, 2102209. [Google Scholar] [CrossRef] [PubMed]
- Zhao, M.; Liu, H.; Zhang, H.; Chen, W.; Sun, H.; Wang, Z.; Zhang, B.; Song, L.; Yang, Y.; Ma, C.; et al. A pH-universal ORR catalyst with single-atom iron sites derived from a double-lazer MOF for superior flexible quasi-solid-state rechargeable Zn-air batteries. Energy Environ. Sci. 2021, 14, 6455–6463. [Google Scholar] [CrossRef]
- Rupar, J.; Bajuk-Bogdanović, D.; Milojević-Rakić, M.; Krstić, J.; Upadhyay, K.; Gavrilov, N.; Janošević Ležaić, A. Tailored porosity development in carbons via Zn2+ monodispersion: Fitting supercapacitors. Micropor. Mesopor. Mat. 2022, 335, 111790. [Google Scholar] [CrossRef]
- Zhou, H.; Zhang, J.; Amiinu, I.S.; Zhan, C.; Liu, X.; Tu, W.; Pan, M.; Mu, S. Transforming Waste Biomass with an Intrinsically Porous Network Structure into Porous Nitrogen-Doped Graphene for Highly Efficient Oxygen Reduction. Phys. Chem. Chem. Phys. 2016, 18, 10392–10399. [Google Scholar] [CrossRef]
- Huang, Y.; Wu, D.; Cao, D.; Cheng, D. Facile Preparation of Biomass-Derived Bifunctional Electrocatalysts for Oxygen Reduction and Evolution Reactions. Int. J. Hydrog. Energy 2018, 43, 8611–8622. [Google Scholar] [CrossRef]
- Calvo-Muñoz, E.M.; García-Mateos, F.J.; Rosas, J.M.; Rodríguez-Mirasol, J.; Cordero, T. Biomass Waste Carbon Materials as Adsorbents for CO2 Capture under Post-Combustion Conditions. Front. Mater. 2016, 3, 23. [Google Scholar] [CrossRef]
- Xu, X.; Yuan, T.; Zhoy, Y.; Li, Y.; Li, Y.; Lu, J.; Tian, X.; Wang, D.; Wang, J. Facile synthesis of boron and nitrogen-sdoped graphene asefficient electrocatalyst for the oxygen reduction reaction in alkaline media. Int. Hydrog. Energy 2014, 39, 16043–16052. [Google Scholar] [CrossRef]
- Huang, Z.-H.; Liu, T.-Y.; Song, Y.; Li, Y.; Liu, X.-X. Balancing the electrical double layer capacitance and pseudocapacitance of heteto-atom doped carbon. Nanoscale 2017, 35, 13119–13127. [Google Scholar] [CrossRef] [PubMed]
- Bandosz, T.J. Porous Carbons as Oxygen Reduction Electrocatalysts. In Porous Materials; Springer: Berlin/Heidelberg, Germany, 2021; pp. 41–77. [Google Scholar]
- Wu, J.; Ma, L.; Yadav, R.; Yang, Y.; Zhang, X.; Vajtai, R.; Lou, J.; Ajayan, P.M. Nitrogen-Doped Graphene with Pyridinic Dominance as a Highly Active and Stable Electrocatalyst for Oxygen Reduction. ACS Appl. Mater. Interfaces 2015, 7, 14763–14769. [Google Scholar] [CrossRef]
- Yuan, S.; Cui, L.-L.; Dou, Z.; Ge, X.; He, X.; Zhang, W.; Asefa, T. Nonprecious Bimetallic Sites Coordinated on N-Doped Carbons with Efficient and Durable Catalytic Activity for Oxygen Reduction. Small 2020, 16, 2000742. [Google Scholar] [CrossRef]
- Zheng, Y.; Song, H.; Chen, S.; Yu, X.; Zhu, J.; Xu, J.; Zhang, K.A.I.; Zhang, C.; Liu, T. Metal-Free Multi-Heteroatom-Doped Carbon Bifunctional Electrocatalysts Derived from a Covalent Triazine Polymer. Small 2020, 16, 2004342. [Google Scholar] [CrossRef] [PubMed]
- Zhang, G.; Wei, Q.; Yang, X.; Tavares, A.C.; Sun, S. RRDE experiments on noble-metal and noble-metal-free catalysts: Impact of loading on the activity and selectivity of oxygen reduction reaction in alkaline solution. Appl. Catal. B Environ. 2017, 206, 115–126. [Google Scholar] [CrossRef]
- Bouleau, L.; Pérez-Rodríguez, S.; Quílez-Bermejo, J.; Izquierdo, M.; Xu, F.; Fierro, V.; Celzard, A. Best practices for ORR performance evaluation of metal-fre porous carbon electrocatalysts. Carbon 2022, 189, 349–361. [Google Scholar] [CrossRef]
- Gabe, A.; Ruiz-Rosas, R.; Gonzales-Gaitan, C.; Morallon, E.; Cazorla-Amoros, D. Modeling of oxygen reduction reaction in porous carbon reaction in porous carbon materials in alkaline medium. Effect of microporosity. J. Power Sources 2019, 412, 451–464. [Google Scholar] [CrossRef]
- Ye, Y.; Duan, W.; Yi, X.; Lei, Z.; Li, G.; Feng, C. Biogenic precursor to size-controlled synthesis of Fe2P nanoparticles in heteroatom-doped graphene-like carbons and their electrocatalytic reduction of oxygen. J. Power Sources 2019, 435, 226770. [Google Scholar] [CrossRef]
- Li, Y.; Zhang, H.; Liu, P.; Wang, Y.; Yang, H.; Li, Y.; Zhao, H. Self-supported bimodal-pore structured nitrogen-doped carbon fiber electrocatalyst for oxygen reduction reaction. Electrochem. Commun. 2015, 51, 6–10. [Google Scholar] [CrossRef]
- Borghei, M.; Lehtonen, J.; Liu, L.; Rojas, O.J. Advanced Biomass-Derived Electrocatalysts for the Oxygen Reduction Reaction. Adv. Mater. 2017, 30, 1703691. [Google Scholar] [CrossRef]
- Clay, R.C.; Cook, K.; Routh, J.I. Studies in the composition of human hair. J. Am. Chem. Soc. 1940, 62, 2709. [Google Scholar] [CrossRef]
- Chaudhari, K.N.; Song, M.Y.; Yu, J.S. Transforming Hair into Heteroatom-Doped Carbon with High Surface Area. Small 2014, 10, 2625–2636. [Google Scholar] [CrossRef] [PubMed]
- Ezeoha, S.L.; Enzenwanne, J.N. Production of Biodegradable Plastic Packaging Film from Cassava Starch. IOSR J. Eng. 2013, 3, 14–20. [Google Scholar] [CrossRef]
- Baranwal, J.; Barse, B.; Fais, A.; Delogu, G.L.; Kumar, A. Biopolymer: A Sustainable Material for Food and Medical Applications. Polymers 2022, 14, 983. [Google Scholar] [CrossRef] [PubMed]
- Berg, J.M.; Tymoczko, J.L.; Stryer, L. Biochemistry, 5th ed.; W.H. Freeman and Company: New York, NY, USA, 2002. [Google Scholar]
- Khan, A.; Goepel, M.; Colmenares, J.C.; Gläser, R. Chitosan-Based N-Doped Carbon Materials for Electrocatalytic and Photocatalytic Applications. ACS Sustain. Chem. Eng. 2020, 8, 4708–4727. [Google Scholar] [CrossRef]
- Wang, H.; Fu, F.; Huang, M.; Feng, Y.; Han, D.; Xi, Y.; Xiong, W.; Yang, D.; Niu, L. Lignin-Based Materials for Electrochemical Energy Storage Devices. Nano Mater. Sci. 2022, in press. [Google Scholar] [CrossRef]
- Wittmar, A.S.M.; Ropertz, M.; Braun, M.; Hagemann, U.; Andronescu, C.; Ulbricht, M. Preparation of N-Doped Carbon Materials from Cellulose:Chitosan Blends and Their Potential Application in Electrocatalytic Oxygen Reduction. Polym. Bull. 2022, 1–19. [Google Scholar] [CrossRef]
- Li, Y.; Liu, X.; Wang, J.; Yang, L.; Chen, X.; Wang, X.; Zhang, P. Marine Algae-Derived Porous Carbons as Robust Electrocatalysts for ORR. Catalysts 2019, 9, 730. [Google Scholar] [CrossRef]
- Hao, Y.; Zhang, X.; Yang, Q.; Chen, K.; Guo, J.; Zhou, D.; Feng, L.; Slanina, Z. Highly Porous Defective Carbons Derived from Seaweed Biomass as Efficient Electrocatalysts for Oxygen Reduction in Both Alkaline and Acidic Media. Carbon N. Y. 2018, 137, 93–103. [Google Scholar] [CrossRef]
- Udayakumar, G.P.; Muthusamy, S.; Selvaganesh, B.; Sivarajasekar, N.; Rambabu, K.; Sivamani, S.; Sivakumar, N.; Maran, J.P.; Hosseini-Bandegharaei, A. Ecofriendly Biopolymers and Composites: Preparation and Their Applications in Water-Treatment. Biotechnol. Adv. 2021, 52, 107815. [Google Scholar] [CrossRef]
- Li, D.; Lv, C.; Liu, L.; Xia, Y.; She, X.; Guo, S.; Yang, D. Egg-Box Structure in Cobalt Alginate: A New Approach to Multifunctional Hierarchical Mesoporous N-Doped Carbon Nanofibers for Efficient Catalysis and Energy Storage. ACS Cent. Sci. 2015, 1, 261–269. [Google Scholar] [CrossRef]
- Wu, X.L.; Chen, L.L.; Xin, S.; Yin, Y.X.; Guo, Y.G.; Kong, Q.S.; Xia, Y.Z. Preparation and Li Storage Properties of Hierarchical Porous Carbon Fibers Derived from Alginic Acid. ChemSusChem 2010, 3, 703–707. [Google Scholar] [CrossRef] [PubMed]
- Li, D.; Yang, D.; Zhu, X.; Jing, D.; Xia, Y.; Ji, Q.; Cai, R.; Li, H.; Che, Y. Simple Pyrolysis of Cobalt Alginate Fibres into Co3O4/C Nano/Microstructures for a High-Performance Lithium Ion Battery Anode. J. Mater. Chem. A 2014, 2, 18761–18766. [Google Scholar] [CrossRef]
- Puscaselu, R.G.; Lobiuc, A.; Dimian, M.; Covasa, M. Alginate: From Food Industry to Biomedical Applications and Management of Metabolic Disorders. Polymers 2020, 12, 2417. [Google Scholar] [CrossRef] [PubMed]
- Fourest, E.; Volesky, B. Alginate Properties and Heavy Metal Biosorption by Marine Algae. Appl. Biochem. Biotechnol.—Part A Enzym. Eng. Biotechnol. 1997, 67, 215–226. [Google Scholar] [CrossRef]
- Braccini, I.; Pérez, S. Molecular Basis of Ca2+-Induced Gelation in Alginates and Pectins: The Egg-Box Model Revisited. Biomacromolecules 2001, 2, 1089–1096. [Google Scholar] [CrossRef] [PubMed]
- Li, P.; Jin, Z.; Qian, Y.; Fang, Z.; Xiao, D.; Yu, G. Supramolecular Confinement of Single Cu Atoms in Hydrogel Frameworks for Oxygen Reduction Electrocatalysis with High Atom Utilization. Mater. Today 2020, 35, 78–86. [Google Scholar] [CrossRef]
- Zhao, X.; Yu, X.; Xin, S.; Chen, S.; Bao, C.; Xu, W.; Xue, J.; Hui, B.; Zhang, J.; She, X.; et al. Enhanced Oxygen Reduction Reaction for Zn-Air Battery at Defective Carbon Fibers Derived from Seaweed Polysaccharide. Appl. Catal. B Environ. 2022, 301, 120785. [Google Scholar] [CrossRef]
- Wei, C.; Sun, Y.; Scherer, G.G.; Fisher, A.C.; Sherburne, M.; Ager, J.W.; Xu, Z.J. Surface Composition Dependent Ligand Effect in Tuning the Activity of Nickel-Copper Bimetallic Electrocatalysts toward Hydrogen Evolution in Alkaline. J. Am. Chem. Soc. 2020, 142, 7765–7775. [Google Scholar] [CrossRef]
- Song, Q.; Li, J.; Wang, S.; Liu, J.; Liu, X.; Pang, L.; Li, H.; Liu, H. Enhanced Electrocatalytic Performance through Body Enrichment of Co-Based Bimetallic Nanoparticles In Situ Embedded Porous N-Doped Carbon Spheres. Small 2019, 15, 1–9. [Google Scholar] [CrossRef]
- Mun, Y.; Lee, S.; Kim, K.; Kim, S.; Lee, S.; Han, J.W.; Lee, J. Versatile Strategy for Tuning ORR Activity of a Single Fe-N4 Site by Controlling Electron-Withdrawing/Donating Properties of a Carbon Plane. J. Am. Chem. Soc. 2019, 141, 6254–6262. [Google Scholar] [CrossRef]
- Xing, X.; Liu, R.; Anjass, M.; Cao, K.; Kaiser, U.; Zhang, G.; Streb, C. Bimetallic Manganese-Vanadium Functionalized N,S-Doped Carbon Nanotubes as Efficient Oxygen Evolution and Oxygen Reduction Electrocatalysts. Appl. Catal. B Environ. 2020, 277, 119195. [Google Scholar] [CrossRef]
- Shu, J.; Niu, Q.; Wang, N.; Nie, J.; Ma, G. Alginate Derived Co/N Doped Hierarchical Porous Carbon Microspheres for Efficient Oxygen Reduction Reaction. Appl. Surf. Sci. 2019, 485, 520–528. [Google Scholar] [CrossRef]
- Wang, Y.; Tao, L.; Xiao, Z.; Chen, R.; Jiang, Z.; Wang, S. 3D Carbon Electrocatalysts In Situ Constructed by Defect-Rich Nanosheets and Polyhedrons from NaCl-Sealed Zeolitic Imidazolate Frameworks. Adv. Funct. Mater. 2018, 28, 1705356. [Google Scholar] [CrossRef]
- Zhang, Y.; Lin, Y.; Jiang, H.; Wu, C.; Liu, H.; Wang, C.; Chen, S.; Duan, T.; Song, L. Well-Defined Cobalt Catalyst with N-doped Carbon Layers Enwrapping: The Correlation between Surface Atomic Structure and Electrocatalytic Property. Small 2017, 14, 1702074. [Google Scholar] [CrossRef] [PubMed]
- Ma, N.; Jia, Y.; Yang, X.; She, X.; Zhang, L.; Peng, Z.; Yao, X.; Yang, D. Seaweed Biomass Derived (Ni,Co)/CNT Nanoaerogels: Efficient Bifunctional Electrocatalysts for Oxygen Evolution and Reduction Reactions. J. Mater. Chem. A 2016, 4, 6376–6384. [Google Scholar] [CrossRef]
- Zhao, W.; Yuan, P.; She, X.; Xia, Y.; Komarneni, S.; Xi, K.; Che, Y.; Yao, X.; Yang, D. Sustainable Seaweed-Based One-Dimensional (1D) Nanofibers as High-Performance Electrocatalysts for Fuel Cells. J. Mater. Chem. A 2015, 3, 14188–14194. [Google Scholar] [CrossRef]
- Zhan, T.; Lu, S.; Liu, X.; Teng, H.; Hou, W. Alginate Derived Co3O4/Co Nanoparticles Decorated in N-Doped Porous Carbon as an Efficient Bifunctional Catalyst for Oxygen Evolution and Reduction Reactions. Electrochim. Acta 2018, 265, 681–689. [Google Scholar] [CrossRef]
- Zhang, C.; Antonietti, M.; Fellinger, T.P. Blood Ties: Co3O4 Decorated Blood Derived Carbon as a Superior Bifunctional Electrocatalyst. Adv. Funct. Mater. 2014, 24, 7655–7665. [Google Scholar] [CrossRef]
- Wan, L.; Lin, C.; Huang, D.; Zhang, F.; Wang, M.; Jin, J. A Comparative Study of Composition and Morphology Effect of Ni XCo1-x(OH)2 on Oxygen Evolution/Reduction Reaction. ACS Appl. Mater. Interfaces 2014, 6, 10172–10180. [Google Scholar] [CrossRef]
- Wang, D.; Chen, X.; Evans, D.G.; Yang, W. Well-Dispersed Co3O4/Co2MnO4 Nanocomposites as a Synergistic Bifunctional Catalyst for Oxygen Reduction and Oxygen Evolution Reactions. Nanoscale 2013, 5, 5312–5315. [Google Scholar] [CrossRef]
- Song, F.; Hu, X. Ultrathin Cobalt-Manganese Layered Double Hydroxide Is an Efficient Oxygen Evolution Catalyst. J. Am. Chem. Soc. 2014, 136, 16481–16484. [Google Scholar] [CrossRef] [PubMed]
- Ryu, W.H.; Yoon, T.H.; Song, S.H.; Jeon, S.; Park, Y.J.; Kim, I.D. Bifunctional Composite Catalysts Using Co3O4 Nanofibers Immobilized on Nonoxidized Graphene Nanoflakes for High-Capacity and Long-Cycle Li-O2 Batteries. Nano Lett. 2013, 13, 4190–4197. [Google Scholar] [CrossRef] [PubMed]
- Navalon, S.; Dhakshinamoorthy, A.; Alvaro, M.; Garcia, H. Carbocatalysis by Graphene-Based Materials. Chem. Rev. 2014, 114, 6179–6212. [Google Scholar] [CrossRef] [PubMed]
- Li, W.; Zhang, F.; Dou, Y.; Wu, Z.; Liu, H.; Qian, X.; Gu, D.; Xia, Y.; Tu, B.; Zhao, D. A Self-Template Strategy for the Synthesis of Mesoporous Carbon Nanofibers as Advanced Supercapacitor Electrodes. Adv. Energy Mater. 2011, 1, 382–386. [Google Scholar] [CrossRef]
- You, B.; Yin, P.; Zhang, J.; He, D.; Chen, G.; Kang, F.; Wang, H.; Deng, Z.; Li, Y. Hydrogel-Derived Non-Precious Electrocatalysts for Efficient Oxygen Reduction. Sci. Rep. 2015, 5, 11739. [Google Scholar] [CrossRef] [PubMed]
- You, B.; Kang, F.; Yin, P.; Zhang, Q. Hydrogel-Derived Heteroatom-Doped Porous Carbon Networks for Supercapacitor and Electrocatalytic Oxygen Reduction. Carbon N. Y. 2016, 103, 9–15. [Google Scholar] [CrossRef]
- Li, Y.; Zhou, W.; Wang, H.; Xie, L.; Liang, Y.; Wei, F.; Idrobo, J.C.; Pennycook, S.J.; Dai, H. An Oxygen Reduction Electrocatalyst Based on Carbon Nanotube-Graphene Complexes. Nat. Nanotechnol. 2012, 7, 394–400. [Google Scholar] [CrossRef]
- Zhao, Z.; Wu, H.; He, H.; Xu, X.; Jin, Y. A High-Performance Binary Ni-Co Hydroxide-Based Water Oxidation Electrode with Three-Dimensional Coaxial Nanotube Array Structure. Adv. Funct. Mater. 2014, 24, 4698–4705. [Google Scholar] [CrossRef]
- He, W.; Jiang, C.; Wang, J.; Lu, L. High-Rate Oxygen Electroreduction over Graphitic-N Species Exposed on 3D Hierarchically Porous Nitrogen-Doped Carbons. Angew. Chemie—Int. Ed. 2014, 53, 9503–9507. [Google Scholar] [CrossRef]
- Shibuya, R.; Kondo, T.; Nakamura, J. Active Sites of Nitrogen-Doped Carbon Materials for Oxygen Reduction Reaction Clarified Using Model Catalysts. Carbon-Based Met. Catal. Des. Appl. 2016, 351, 361–365. [Google Scholar] [CrossRef]
- Wu, G.; Hu, Y.; Liu, Y.; Zhao, J.; Chen, X.; Whoehling, V.; Plesse, C.; Nguyen, G.T.M.; Vidal, F.; Chen, W. Graphitic Carbon Nitride Nanosheet Electrode-Based High-Performance Ionic Actuator. Nat. Commun. 2015, 6, 7258. [Google Scholar] [CrossRef]
- Jia, N.; Li, D.; Huang, G.; Sun, J.; Lu, P.; Wan, L.; Hui, B.; She, X.; Zhao, X. Carbon Fibers-Coated Co@N-Doped Porous Carbon Derived from ZIF-67/Alginate Fibers for Efficient Oxygen Reduction Reaction. J. Photonics Energy 2020, 10, 023507. [Google Scholar] [CrossRef]
- Guo, J.; Shu, J.; Nie, J.; Ma, G. Fe/Ni Bimetal and Nitrogen Co-Doped Porous Carbon Fibers as Electrocatalysts for Oxygen Reduction Reaction. J. Colloid Interface Sci. 2020, 560, 330–337. [Google Scholar] [CrossRef] [PubMed]
- Lv, C.; Yang, X.; Umar, A.; Xia, Y.; Jia, Y.; Shang, L.; Zhang, T.; Yang, D. Architecture-Controlled Synthesis of MxOy (M = Ni, Fe, Cu) Microfibres from Seaweed Biomass for High-Performance Lithium Ion Battery Anodes. J. Mater. Chem. A 2015, 3, 22708–22715. [Google Scholar] [CrossRef]
- Xiao, M.; Zhu, J.; Feng, L.; Liu, C.; Xing, W. Meso/Macroporous Nitrogen-Doped Carbon Architectures with Iron Carbide Encapsulated in Graphitic Layers as an Efficient and Robust Catalyst for the Oxygen Reduction Reaction in Both Acidic and Alkaline Solutions. Adv. Mater. 2015, 27, 2521–2527. [Google Scholar] [CrossRef]
- Liang, J.; Zhou, R.F.; Chen, X.M.; Tang, Y.H.; Qiao, S.Z. Fe-N decorated hybrids of CNTs grown on hierarchically porous carbon for high-performance oxygen reduction. Adv. Mater. 2014, 26, 6074–6079. [Google Scholar] [CrossRef]
- Yu, L.Q.; Xia, W.J.; Ma, W.J.; Wen, T.E.; Chen, S.L.; Jin, F.; Huang, B.C.; Jin, R.C. Universal Method to Fabricate Transition Metal Single-Atom-Anchored Carbon with Excellent Oxygen Reduction Reaction Activity. ACS Appl. Mater. Interfaces 2021, 13, 13534–13540. [Google Scholar] [CrossRef]
- Kaden, W.E.; Wu, T.; Kunkel, W.A.; Anderson, S.L. Electronic structure controls reactivity of size-selected Pd clusters adsorbed on TiO2 surfaces. Science 2009, 326, 826–829. [Google Scholar] [CrossRef]
- Liu, P.; Zhao, Y.; Qin, R.; Mo, S.; Chen, G.; Gu, L.; Chevrier, D.M.; Zhang, P.; Qing, G.; Zang, D.; et al. Photochemical rooute for synthesizing atomically dispersed palladium catalysts. Science 2016, 352, 797–801. [Google Scholar] [CrossRef]
- Varma, R.S. Biomass-Derived Renewable Carbonaceous Materials for Sustainable Chemical and Environmental Applications. ACS Sustain. Chem. Eng. 2019, 7, 6458–6470. [Google Scholar] [CrossRef]
- Zahedifar, M.; Es-Haghi, A.; Zhiani, R.; Sadeghzadeh, S.M. Synthesis of Benzimidazolones by Immobilized Gold Nanoparticles on Chitosan Extracted from Shrimp Shells Supported on Fibrous Phosphosilicate. RSC Adv. 2019, 9, 6494–6501. [Google Scholar] [CrossRef] [PubMed]
- Klemm, D.; Philipp, B.; Heinze, T.; Heinze, U.; Wagenknecht, W. General Considerations on Structure and Reactivity of Cellulose: Section 2.3–2.3.7. In Comprehensive Cellulose Chemistry; Wiley-VCH Verlag GmbH: New York, NY, USA, 1998; Volume 1, pp. 83–129. ISBN 3527294139. [Google Scholar]
- Abe, M.M.; Ribeiro Martins, J.; Bertolino Sanvezzo, P.; Macedo, J.V.; Branciforti, M.C.; Halley, P.; Botaro, V.R.; Brienzo, M. Advantages and Disadvantages of Bioplastics Production from Sttarch and Lignocellulosic Components. Polymers 2021, 13, 2484. [Google Scholar] [CrossRef] [PubMed]
- Sahu, P.; Gupta, M.K. Water absorption behavior of cellulosic fibres polymer composites: A review on its effectsand remedies. J. Ind. Text. 2020, 51, 7480S–7512S. [Google Scholar] [CrossRef]
- Kim, C.; Zhu, C.; Aoki, Y.; Habazaki, H. Exothermically Efficient Exfoliation of Biomass Cellulose to Value-Added N-Doped Hierarchical Porous Carbon for Oxygen Reduction Electrocatalyst. Ind. Eng. Chem. Res. 2019, 58, 3047–3059. [Google Scholar] [CrossRef]
- Kurita, K. Chitin and Chitosan: Functional Biopolymers from Marine Crustaceans. Mar. Biotechnol. 2006, 8, 203–226. [Google Scholar] [CrossRef]
- Bradic, B. Isolation of Chitin from Marine Biomass Using Eutectic Solvents and Studies of N-Deacetylation Kinetics to Chitosan. Doctoral Dissertation, Univerza v Mariboru, Bojana Bradić, Slovenia, 2020. [Google Scholar]
- De, S.; Acharya, S.; Sahoo, S.; Nayak, G.C. Chapter 12- Present status of biomass-derived carbon-based composites for supercapacitor application. In Nanostructured, Functional, and Flexible Materials for Energy Conversion and Storage Systems; Pandikumar, A., Rameshkumar, P., Eds.; Elsevier: Amsterdam, The Netherlands, 2020; pp. 373–415. [Google Scholar] [CrossRef]
- Anitha, A.; Sowmya, S.; Kumar, P.T.S.; Deepthi, S.; Chennazhi, K.P.; Ehrlich, H.; Tsurkan, M.; Jayakumar, R. Chitin and Chitosan in Selected Biomedical Applications. Prog. Polym. Sci. 2014, 39, 1644–1667. [Google Scholar] [CrossRef]
- Verma, S.; Nadagouda, M.N.; Varma, R.S. Porous Nitrogen-Enriched Carbonaceous Material from Marine Waste: Chitosan-Derived Carbon Nitride Catalyst for Aerial Oxidation of 5-Hydroxymethylfurfural (HMF) to 2,5-Furandicarboxylic Acid. Sci. Rep. 2017, 7, 13596. [Google Scholar] [CrossRef]
- Primo, A.; Atienzar, P.; Sanchez, E.; Delgado, J.M.; García, H. From Biomass Wastes to Large-Area, High-Quality, N-Doped Graphene: Catalyst-Free Carbonization of Chitosan Coatings on Arbitrary Substrates. Chem. Commun. 2012, 48, 9254–9256. [Google Scholar] [CrossRef]
- Skorupska, M.; Ilnicka, A.; Lukaszewicz, J.P. Successful Manufacturing Protocols of N-Rich Carbon Electrodes Ensuring High ORR Activity: A Review. Processess 2022, 10, 643. [Google Scholar] [CrossRef]
- Ilnicka, A.; Lukaszewicz, J.P.; Shimanoe, K.; Yuasa, M. Urea treatment of nitrogen-doped carbon leads to enhanced performance for the oxygen reduction reaction. J. Mater. Res. 2018, 33, 1612–1624. [Google Scholar] [CrossRef]
- Wang, M.; Ma, J.; Yang, H.; Lu, G.; Yang, S.; Chang, Z. Nitrogen and Cobalt Co-Coped Carbon Materials Derived from Biomass Chitin as High-Performance Electrocatalyst for Aluminium-Air Batteries. Catalysts 2019, 9, 954. [Google Scholar] [CrossRef]
- Hatakeyama, H.; Hatakeyama, T. Lignin Structure, Properties, and Applications. Adv. Polym. Sci. 2009, 232, 1–63. [Google Scholar] [CrossRef]
- Zheng, Y.; Chen, S.; Zhang, K.A.I.; Guan, J.; Yu, X.; Peng, W.; Song, H.; Zhu, J.; Xu, J.; Fan, X.; et al. Template-Free Construction of Hollow Mesoporous Carbon Spheres from a Covalent Triazine Framework for Enhanced Oxygen Electroreduction. J. Colloid Interface Sci. 2022, 608, 3168–3177. [Google Scholar] [CrossRef]
- Li, W.; Zhang, H.; Zhang, K.; Hu, W.; Cheng, Z.; Chen, H.; Feng, X.; Peng, T.; Kou, Z. Monodispersed Ruthenium Nanoparticles Interfacially Bonded with Defective Nitrogen-and-Phosphorus-Doped Carbon Nanosheets Enable PH-Universal Hydrogen Evolution Reaction. Appl. Catal. B Environ. 2022, 306, 121095. [Google Scholar] [CrossRef]
- Shen, Y.; Peng, F.; Cao, Y.; Zuo, J.; Wang, H.; Yu, H. Preparation of Nitrogen and Sulfur Co-Doped Ultrathin Graphitic Carbon via Annealing Bagasse Lignin as Potential Electrocatalyst towards Oxygen Reduction Reaction in Alkaline and Acid Media. J. Energy Chem. 2019, 34, 33–42. [Google Scholar] [CrossRef]
- Li, P.; Wang, H.; Fan, W.; Huang, M.; Shi, J.; Shi, Z.; Liu, S. Salt Assisted Fabrication of Lignin-Derived Fe, N, P, S Codoped Porous Carbon as Trifunctional Catalyst for Zn-Air Batteries and Water-Splitting Devices. Chem. Eng. J. 2021, 421, 129704. [Google Scholar] [CrossRef]
- Jahan, M.; Feni, F. Environmentally Friendly Bifunctional Catalyst for ORR and OER from Coconut Shell Particles. Adv. Mater. Phys. Chem. 2022, 12, 106–123. [Google Scholar] [CrossRef]
- Borghei, M.; Laocharoen, N.; Kibena-Põldsepp, E.; Johansson, L.S.; Campbell, J.; Kauppinen, E.; Tammeveski, K.; Rojas, O.J. Porous N,P-Doped Carbon from Coconut Shells with High Electrocatalytic Activity for Oxygen Reduction: Alternative to Pt-C for Alkaline Fuel Cells. Appl. Catal. B Environ. 2017, 204, 394–402. [Google Scholar] [CrossRef]
- Prauchner, M.J.; Rodríguez-Reinoso, F. Chemical versus Physical Activation of Coconut Shell: A Comparative Study. Microporous Mesoporous Mater. 2012, 152, 163–171. [Google Scholar] [CrossRef]
- Borghei, M. Novel carbon nanomaterials for the direct methanol fuel cell electrodes. Doctoral Dissertation, Aalto University, School of Science, Department of Applied Physics, NanoMaterials Group, Maryam Borghei, Espoo, Finland, 2015. [Google Scholar]
- Nagaiah, T.C.; Kundu, S.; Bron, M.; Muhler, M.; Schuhmann, W. Nutrgen-doped carbon nanotubes as a cathode catalyst for the oxygen reduction reaction in alkaline medium. Electrochem. Commun. 2010, 12, 338–341. [Google Scholar] [CrossRef]
- Oh, H.-S.; Oh, J.-G.; Hee Lee, W.; Kim, H.-J.; Kim, H. The influence of the structural properties of carbon on the oxygen reduction reaction of nitrogen modified carbon based catalysts. Int. J. Hydrog. Energy 2011, 36, 8181–8186. [Google Scholar] [CrossRef]
- Liu, R.; Zhang, H.; Liu, S.; Zhang, X.; Wu, T.; Ge, X.; Zang, Y.; Zhao, H.; Wang, G. Shrimp-Shell Derived Carbon Nanodots as Carbon and Nitrogen Sources to Fabricate Three-Dimensional N-Doped Porous Carbon Electrocatalysts for the Oxygen Reduction Reaction. Phys. Chem. Chem. Phys. 2016, 18, 4095–4101. [Google Scholar] [CrossRef] [PubMed]
- Yan, N.; Chen, X. Don’t Waste Seafood Waste: Turning Cast-off Shells into Nitrogen-Rich Chemicals Would Benefit Economies and the Environment. Nature 2015, 524, 155–157. [Google Scholar] [CrossRef] [PubMed]
- Tokatlı, K.; Demirdöven, A. Optimization of Chitin and Chitosan Production from Shrimp Wastes and Characterization. J. Food Process. Preserv. 2017, 42, e13494. [Google Scholar] [CrossRef]
- Tuci, G.; Zafferoni, C.; Rossin, A.; Milella, A.; Luconi, L.; Innocenti, M.; Truong Phuoc, L.; Duong-Viet, C.; Pham-Huu, C.; Giambastiani, G. Chemically Functionalized Carbon Nanotubes with Pyridine Groups as Easily Tunable N-Decorated Nanomaterials for the Oxygen Reduction Reaction in Alkaline Medium. Chem. Mater. 2014, 26, 3460–3470. [Google Scholar] [CrossRef]
- Xie, J.; Zhang, H.; Li, S.; Wang, R.; Sun, X.; Zhou, M.; Zhou, J.; Wen, X.; Lou, D.; Xie, Y. Defect-Rich MoS2 Ultrathin Nanosheets with Additional Active Edge Sites for Enhanced Electrocatalytic Hydrogen Evolution. Adv. Mater. 2013, 25, 5807–5813. [Google Scholar] [CrossRef]
- Yu, D.; Nagelli, E.; Du, F.; Dai, L. Metal-Free Carbon Nanomaterials Become More Active than Metal Catalysts and Last Longer. J. Phys. Chem. Lett. 2010, 1, 2165–2173. [Google Scholar] [CrossRef]
- Zhang, H.; Wang, Y.; Wang, D.; Li, Y.; Liu, X.; Liu, P.; Yang, H.; An, T.; Tang, Z.; Zhao, H. Hydrothermal Transformation of Dried Grass into Graphitic Carbon-Based High Performance Electrocatalyst for Oxygen Reduction Reaction. Small 2014, 10, 3371–3378. [Google Scholar] [CrossRef]
- Zhang, H.; Chen, J.; Li, Y.; Liu, P.; Wang, Y.; An, T.; Zhao, H. Nitrogen-Doped Carbon Nanodots@Nanospheres as An Efficient Electrocatalyst for Oxygen Reduction Reaction. Electrochim. Acta 2015, 165, 7–13. [Google Scholar] [CrossRef]
- Li, Y.; Zhao, Y.; Cheng, H.; Hu, Y.; Shi, G.; Dai, L.; Qu, L. Nitrogen-doped grapheme quantum dots with oxygen-rich functional groups. J. Am. Chem. Soc. 2012, 134, 15–18. [Google Scholar] [CrossRef]
- Liang, J.; Jiao, Y.; Jaroniec, M.; Zhang Qiao, S. Sulfur and nitrogen dual-doped mesoporous grapheme electrocatalyst for oxygen reduction with synergistically enhanced performance. Angew. Chem. Int. Ed. Engl. 2012, 51, 11496–11500. [Google Scholar] [CrossRef] [PubMed]
- Balakrishnan, M.; Batra, V.S.; Hargreaves, J.S.J.; Pulford, I.D. Waste Materials—Catalytic Opportunities: An Overview of the Application of Large Scale Waste Materials as Resources for Catalytic Applications. Green Chem. 2011, 13, 16–24. [Google Scholar] [CrossRef]
- Mane, G.P.; Talapaneni, S.N.; Anand, C.; Varghese, S.; Iwai, H.; Ji, Q.; Ariga, K.; Mori, T.; Vinu, A. Preparation of Highly Ordered Nitrogen-Containing Mesoporous Carbon from a Gelatin Biomolecule and Its Excellent Sensing of Acetic Acid. Adv. Funct. Mater. 2012, 22, 3596–3604. [Google Scholar] [CrossRef]




| Positive Aspects | Negative Aspects |
|---|---|
| biologically renewable | low melting point |
| biodegradable | less stable |
| biocompatible | structurally more complex |
| non-toxic | high surface tension |
| biofunctional |
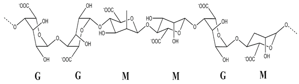
| alginate | ![]() | ||
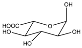
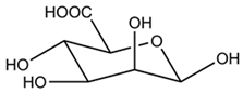
| alginate monomer | ![]() α-D guluronic acid | ![]() β-D mannuronic acid | |
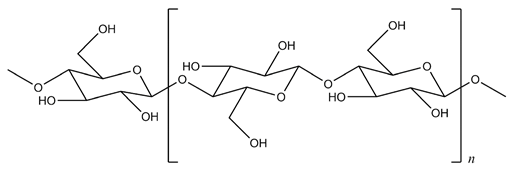
| cellulose | ![]() | ||
| cellulose monomer | ![]() glucose | ||
| chitin | ![]() N-acetylglucosamine | ||
| lignin | ![]() | ||
| lignin monomer | ![]() p-coumaryl alcohol | ![]() coniferyl alcohol | ![]() synapil alcohol |
| Reference | [63] | [70] | [75] | [78] | [80] | [95] | [14] | [100] |
|---|---|---|---|---|---|---|---|---|
| Specific area | 283 m2 g−1 | 485.2 m2 g−1 | 252 m2 g−1 | 222 m2 g−1 | 496.4 m2 g−1 | / | 465 m2 g−1 | 1551 m2 g−1 |
| Heteroatom | N | N and S eliminated upon annealing | N | N | N | N | N | N |
| Dopant | / | / | Co | Co, Ni | Co | Co | Fe | Cu |
| Half-wave potential of catalyst/Pt/C | 0.810V vs. RHEl | 0.84 V vs. RHE | 0.827 V vs. RHE | 0.74 V vs. RHE | 0.806 V vs. RHE | 0.833 V vs. RHE | 0.93 V vs. RHE | 0.80 V vs. RHE |
| Optimal preparation temperature | 600 °C | 1000 °C | 1000 °C | 400 °C | 800 °C | 900 °C | 700 °C | 900 °C |
| Derived catalyst | N-doped porous graphitic carbon nanofibers | defective carbon fibers | 3D Co/N-doped hierarchical porous carbon microspheres | carbon nanotubes nanoaerogels | Co3O4/Co species incorporated into the N-doped carbon matrix | carbon fiber-coated Co@N-doped porous carbondoped | 3D Fe-alginate/graphene aerogels | single-atom catalyst |
| Synthesis technique | electrospun | wet spinning | electrospinning | freeze-drying | hydrothermal reaction | chemical reaction | freeze-drying | chemical reaction |
Disclaimer/Publisher’s Note: The statements, opinions and data contained in all publications are solely those of the individual author(s) and contributor(s) and not of MDPI and/or the editor(s). MDPI and/or the editor(s) disclaim responsibility for any injury to people or property resulting from any ideas, methods, instructions or products referred to in the content. |
© 2022 by the authors. Licensee MDPI, Basel, Switzerland. This article is an open access article distributed under the terms and conditions of the Creative Commons Attribution (CC BY) license (https://creativecommons.org/licenses/by/4.0/).
Share and Cite
Rupar, J.; Tekić, D.; Janošević Ležaić, A.; Upadhyay, K.K. ORR Catalysts Derived from Biopolymers. Catalysts 2023, 13, 80. https://doi.org/10.3390/catal13010080
Rupar J, Tekić D, Janošević Ležaić A, Upadhyay KK. ORR Catalysts Derived from Biopolymers. Catalysts. 2023; 13(1):80. https://doi.org/10.3390/catal13010080
Chicago/Turabian StyleRupar, Jelena, Danijela Tekić, Aleksandra Janošević Ležaić, and Kush K. Upadhyay. 2023. "ORR Catalysts Derived from Biopolymers" Catalysts 13, no. 1: 80. https://doi.org/10.3390/catal13010080
APA StyleRupar, J., Tekić, D., Janošević Ležaić, A., & Upadhyay, K. K. (2023). ORR Catalysts Derived from Biopolymers. Catalysts, 13(1), 80. https://doi.org/10.3390/catal13010080











