Silver Nanoparticles and Chitosan Oligomers Composites as Poplar Wood Protective Treatments against Wood-Decay Fungi and Termites
Abstract
:1. Introduction
2. Materials and Methods
2.1. Wood Material
2.2. Silver Nanoparticles and Chitosan Oligomers Composite Preparation
2.3. Impregnation Method
2.4. Wood-Decay Fungi Resistance Tests
2.5. Termite Resistance Tests
2.6. Durability and Use Classes Assignment
2.7. Microstructural Alterations and Microanalysis with SEM–EDS
2.8. Statistical Analysis
3. Results
3.1. Impregnation and Efficacy of Treatments against Biological Agents
3.2. Microstructural Alterations and Material Microanalysis
4. Discussion
4.1. Efficacy of Treatments against Biological Agents
4.2. Microstructural Alterations and Material Microanalysis
4.3. Applications and Limitations of the Study, and Further Research
5. Conclusions
Author Contributions
Funding
Data Availability Statement
Acknowledgments
Conflicts of Interest
References
- EN 350:2016; Durability of Wood and Wood-Based Products—Testing and Classification of the Durability to Biological Agents of Wood and Wood-Based Materials. European Committee for Standardization: Brussels, Belgium, 2016; p. 67.
- Martín, J.A.; López, R. Biological deterioration and natural durability of wood in Europe. Forests 2023, 14, 283. [Google Scholar] [CrossRef]
- Zabel, R.A.; Morrell, J.J. Wood deterioration agents. In Wood Microbiology, 2nd ed.; Zabel, R.A., Morrell, J.J., Eds.; Academic Press: San Diego, CA, USA, 2020; pp. 19–54. [Google Scholar] [CrossRef]
- Tucker, C.L.; Koehler, P.G.; Pereira, R.M. Development of a method to evaluate the effects of eastern subterranean termite damage to the thermal properties of building construction materials (Isoptera: Rhinotermitidae). Sociobiology 2008, 51, 589–600. [Google Scholar]
- Garnica, J. La importancia del chopo en la industria. In Proceedings of the Jornadas de Salicáceas-V Congreso Internacional de Salicáceas, Talca, Chile, 13–17 November 2017; p. 22. [Google Scholar]
- Spavento, E.; Murace, M.; Acuña Rello, L.; Monteoliva, S.-E.; Troya Franco, M.T.D. Susceptibility of Populus × euramericana ‘I-214′of Spanish origin to xylophagous attacks: Durability tests for its possible inclusion in European standard. For. Syst. 2019, 28, e008. [Google Scholar] [CrossRef]
- Papadopoulos, A.N. Nanotechnology and wood science. Nanomaterials 2023, 13, 691. [Google Scholar] [CrossRef] [PubMed]
- Bi, W.; Li, H.; Hui, D.; Gaff, M.; Lorenzo, R.; Corbi, I.; Corbi, O.; Ashraf, M. Effects of chemical modification and nanotechnology on wood properties. Nanotechnol. Rev. 2021, 10, 978–1008. [Google Scholar] [CrossRef]
- Papadopoulos, A.N.; Kyzas, G.Z. Nanotechnology and wood science. In Interface Science and Technology; Kyzas, G.Z., Mitropoulos, A.C., Eds.; Elsevier: Amsterdam, The Netherlands, 2019; Volume 30, pp. 199–216. [Google Scholar]
- Shiny, K.S.; Sundararaj, R.; Mamatha, N.; Lingappa, B. A new approach to wood protection: Preliminary study of biologically synthesized copper oxide nanoparticle formulation as an environmental friendly wood protectant against decay fungi and termites. Maderas. Ciencia y Tecnología 2019, 21, 347–356. [Google Scholar] [CrossRef]
- Lykidis, C.; De Troya, T.; Conde, M.; Galván, J.; Mantanis, G. Termite resistance of beech wood treated with zinc oxide and zinc borate nanocompounds. Wood Mater. Sci. Eng. 2018, 13, 45–49. [Google Scholar] [CrossRef]
- Terzi, E.; Kartal, S.N.; Yılgör, N.; Rautkari, L.; Yoshimura, T. Role of various nano-particles in prevention of fungal decay, mold growth and termite attack in wood, and their effect on weathering properties and water repellency. Int. Biodeterior. Biodegrad. 2016, 107, 77–87. [Google Scholar] [CrossRef]
- Mantanis, G.; Terzi, E.; Kartal, S.N.; Papadopoulos, A.N. Evaluation of mold, decay and termite resistance of pine wood treated with zinc- and copper-based nanocompounds. Int. Biodeterior. Biodegrad. 2014, 90, 140–144. [Google Scholar] [CrossRef]
- Akhtari, M.; Nicholas, D. Evaluation of particulate zinc and copper as wood preservatives for termite control. Eur. J. Wood Wood Prod. 2013, 71, 395–396. [Google Scholar] [CrossRef]
- Clausen, C.A.; Kartal, S.N.; Arango, R.A.; Green, F. The role of particle size of particulate nano-zinc oxide wood preservatives on termite mortality and leach resistance. Nanoscale Res. Lett. 2011, 6, 427. [Google Scholar] [CrossRef] [PubMed]
- Dai, X.; Qi, Y.; Luo, H.; He, Z.; Wei, L.; Dong, X.; Ma, X.; Yang, D.-Q.; Li, Y. Leachability and anti-mold efficiency of nanosilver on poplar wood surface. Polymers 2022, 14, 884. [Google Scholar] [CrossRef] [PubMed]
- Iqtedar, M.; Mirza, N.; Aihetasham, A.; Iftikhar, S.; Kaleem, A.; Abdullah, R. Termiticidal activity of mycosynthesized silver nanoparticles from Aspergillus fumigatus BTCB15. Revista Mexicana de Ingeniería Química 2020, 19, 1201–1211. [Google Scholar] [CrossRef]
- Casado, S.; Silva, C.; Ponce, H.; Martín, R.; Martín, G.; Acuña, R. White-rot fungi control on populus spp. Wood by pressure treatments with silver nanoparticles, chitosan oligomers and propolis. Forests 2019, 10, 885. [Google Scholar] [CrossRef]
- Silva-Castro, I.; Casados-Sanz, M.; Alonso-Cortés, A.; Martín-Ramos, P.; Martín-Gil, J.; Acuña-Rello, L. Chitosan-based coatings to prevent the decay of Populus spp. wood caused by Trametes versicolor. Coatings 2018, 8, 415. [Google Scholar] [CrossRef]
- Moya, R.; Rodriguez-Zuñiga, A.; Berrocal, A.; Vega-Baudrit, J. Effect of silver nanoparticles synthesized with NPsAg-ethylene glycol (C2H6O2) on brown decay and white decay fungi of nine tropical woods. J. Nanosci. Nanotechnol. 2017, 17, 5233–5240. [Google Scholar] [CrossRef]
- Moya, R.; Berrocal Jiménez, A.; Rodríguez Zúñiga, A.; Vega Baudrit, J.; Chaves Noguera, S. Effect of silver nanoparticles on white-rot wood decay and some physical properties of three tropical wood species. Wood Fiber Sci. 2014, 46, 527–538. [Google Scholar]
- Kartal, S.; Green, F.; Clausen, C. Do the unique properties of nanometals affect leachability or efficacy against fungi and termites? Int. Biodeterior. Biodegrad. 2009, 63, 490–495. [Google Scholar] [CrossRef]
- Green, F.; Arango, R.A. Wood protection by commercial silver formulations against eastern subterranean termites. In Proceedings of the International Research Group on Wood Protection 38th Annual Meeting, Jackson Hole, WY, USA, 20–24 May 2007; p. 07-30422. [Google Scholar]
- Dorau, B.; Arango, R.; Green, F. An investigation into the potential of ionic silver as a wood preservative. In Proceedings of the 2nd Woodframe Housing Durability and Disaster Issues Conference, Madison, WI, USA, 6–8 November 2004; pp. 133–145. [Google Scholar]
- Yudaev, P.; Mezhuev, Y.; Chistyakov, E. Nanoparticle-containing wound dressing: Antimicrobial and healing effects. Gels 2022, 8, 329. [Google Scholar] [CrossRef]
- Calovi, M.; Coroneo, V.; Rossi, S. Antibacterial efficiency over time and barrier properties of wood coatings with colloidal silver. Appl. Microbiol. Biotechnol. 2023, 107, 5975–5986. [Google Scholar] [CrossRef]
- Piętka, J.; Adamczuk, A.; Zarzycka, E.; Tulik, M.; Studnicki, M.; Oszako, T.; Aleksandrowicz-Trzcińska, M. The application of copper and silver nanoparticles in the protection of Fagus sylvatica wood against decomposition by Fomes fomentarius. Forests 2022, 13, 1724. [Google Scholar] [CrossRef]
- Aleksandrowicz-Trzcińska, M.; Szaniawski, A.; Olchowik, J.; Drozdowski, S. Effects of copper and silver nanoparticles on growth of selected species of pathogenic and wood-decay fungi in vitro. For. Chron. 2018, 94, 109–116. [Google Scholar] [CrossRef]
- Bak, M.; Németh, R. Effect of different nanoparticle treatments on the decay resistance of wood. BioResources 2018, 13, 7886–7899. [Google Scholar] [CrossRef]
- Pařil, P.; Baar, J.; Čermák, P.; Rademacher, P.; Prucek, R.; Sivera, M.; Panáček, A. Antifungal effects of copper and silver nanoparticles against white and brown-rot fungi. J. Mater. Sci. 2016, 52, 2720–2729. [Google Scholar] [CrossRef]
- Arpanaei, A.; Fu, Q.; Singh, T. Nanotechnology approaches towards biodeterioration-resistant wood: A review. J. Bioresour. Bioprod. 2023; in press, corrected proof. [Google Scholar] [CrossRef]
- EPA. Overview of Wood Preservative Chemicals. Available online: https://www.epa.gov/ingredients-used-pesticide-products/overview-wood-preservative-chemicals (accessed on 16 November 2023).
- Ali, S.; Chen, X.; Ahmad, S.; Shah, W.; Shafique, M.; Chaubey, P.; Mustafa, G.; Alrashidi, A.; Alharthi, S. Advancements and challenges in phytochemical-mediated silver nanoparticles for food packaging: Recent review (2021–2023). Trends Food Sci. Technol. 2023, 141, 104197. [Google Scholar] [CrossRef]
- Mansoor, S.; Zahoor, I.; Baba, T.R.; Padder, S.A.; Bhat, Z.A.; Koul, A.M.; Jiang, L. Fabrication of silver nanoparticles against fungal pathogens. Front. Nanotechnol. 2021, 3, 679358. [Google Scholar] [CrossRef]
- Silva-Castro, I.; Martín-García, J.; Diez, J.J.; Flores-Pacheco, J.A.; Martín-Gil, J.; Martín-Ramos, P. Potential control of forest diseases by solutions of chitosan oligomers, propolis and nanosilver. Eur. J. Plant Pathol. 2017, 150, 401–411. [Google Scholar] [CrossRef]
- Matei, P.M.; Martín-Ramos, P.; Sánchez-Báscones, M.; Hernández-Navarro, S.; Correa-Guimaraes, A.; Navas-Gracia, L.M.; Rufino, C.A.; Ramos-Sánchez, M.C.; Martín-Gil, J. Synthesis of chitosan oligomers/propolis/silver nanoparticles composite systems and study of their activity against Diplodia seriata. Int. J. Polym. Sci. 2015, 2015, 864729. [Google Scholar] [CrossRef]
- Woźniak, M.; Gromadzka, K.; Kwaśniewska-Sip, P.; Cofta, G.; Ratajczak, I. Chitosan–caffeine formulation as an ecological preservative in wood protection. Wood Sci. Technol. 2022, 56, 1851–1867. [Google Scholar] [CrossRef]
- Mirda, E.; Idroes, R.; Khairan, K.; Tallei, T.E.; Ramli, M.; Earlia, N.; Maulana, A.; Idroes, G.M.; Muslem, M.; Jalil, Z. Synthesis of chitosan-silver nanoparticle composite spheres and their antimicrobial activities. Polymers 2021, 13, 3990. [Google Scholar] [CrossRef] [PubMed]
- UNE-EN 1995-1-1:2016; Eurocode 5: Design of Timber Structures—Part 1-1: General—Common Rules and Rules for Buildings. Asociación Española de Normalización: Madrid, Spain, 2016.
- Spavento, E.; Troya, M.T.; Casado-Sanz, M.; Santos, S.M.; Martín-Gil, J.; Martín-Ramos, P.; Robertson, L.; Acuña-Rello, L. Evaluation of the efficacy of silver nanoparticles and chitosan oligomer composites as poplar wood protective treatments against termites. In Proceedings of the IRG54 Annual Meeting, Cairns, Australia, 28 May–1 June 2023; p. IRG/WP 23-40963. [Google Scholar]
- Bossert, D.; Geers, C.; Placencia Peña, M.I.; Volkmer, T.; Rothen-Rutishauser, B.; Petri-Fink, A. Size and surface charge dependent impregnation of nanoparticles in soft- and hardwood. Chemistry 2020, 2, 361–373. [Google Scholar] [CrossRef]
- EN 113-1:2021; Durability of Wood and Wood-Based Products—Test Method against Wood Destroying Basidiomycetes—Part 1: Assessment of Biocidal Efficacy of Wood Preservatives. European Committee for Standardization: Brussels, Belgium, 2021; p. 31.
- EN 113-2:2021; Durability of Wood and Wood-Based Products—Test Method against Wood Destroying Basidiomycetes—Part 2: Assessment of Inherent or Enhanced Durability. European Committee for Standardization: Brussels, Belgium, 2021; p. 29.
- EN 117:2012; Wood Preservatives—Determination of Toxic Values against Reticulitermes Species (European Termites) (Laboratory Method). European Committee for Standardization: Brussels, Belgium, 2012; p. 22.
- Buzón-Durán, L.; Martín-Gil, J.; Pérez-Lebeña, E.; Ruano-Rosa, D.; Revuelta, J.L.; Casanova-Gascón, J.; Ramos-Sánchez, M.C.; Martín-Ramos, P. Antifungal agents based on chitosan oligomers, ε-polylysine and Streptomyces spp. secondary metabolites against three Botryosphaeriaceae species. Antibiotics 2019, 8, 99. [Google Scholar] [CrossRef] [PubMed]
- Ho, K.W.; Ooi, C.W.; Mwangi, W.W.; Leong, W.F.; Tey, B.T.; Chan, E.-S. Comparison of self-aggregated chitosan particles prepared with and without ultrasonication pretreatment as Pickering emulsifier. Food Hydrocoll. 2016, 52, 827–837. [Google Scholar] [CrossRef]
- Santos-Moriano, P.; Fernandez-Arrojo, L.; Mengibar, M.; Belmonte-Reche, E.; Peñalver, P.; Acosta, F.N.; Ballesteros, A.O.; Morales, J.C.; Kidibule, P.; Fernandez-Lobato, M.; et al. Enzymatic production of fully deacetylated chitooligosaccharides and their neuroprotective and anti-inflammatory properties. Biocatal. Biotransform. 2018, 36, 57–67. [Google Scholar] [CrossRef]
- Arendrup, M.C.; Cuenca-Estrella, M.; Lass-Flörl, C.; Hope, W. EUCAST technical note on the EUCAST definitive document EDef 7.2: Method for the determination of broth dilution minimum inhibitory concentrations of antifungal agents for yeasts EDef 7.2 (EUCAST-AFST). Clin. Microbiol. Infect. 2012, 18, E246–E247. [Google Scholar] [CrossRef]
- Gokce, Y.; Cengiz, B.; Yildiz, N.; Calimli, A.; Aktas, Z. Ultrasonication of chitosan nanoparticle suspension: Influence on particle size. Colloids Surf. A Physicochem. Eng. Asp. 2014, 462, 75–81. [Google Scholar] [CrossRef]
- EN 335:2013; Durability of Wood and Wood-Based Products—Use Classes: Definitions, Application to Solid Wood and Wood-Based Products. European Committee for Standardization: Brussels, Belgium, 2013; p. 14.
- R Core Team. R: A Language and Environment for Statistical Computing; R Foundation for Statistical Computing: Vienna, Austria, 2022. [Google Scholar]
- Mikhailova, E.O. Silver nanoparticles: Mechanism of action and probable bio-application. J. Funct. Biomater. 2020, 11, 84. [Google Scholar] [CrossRef]
- Nel, A.; Xia, T.; Madler, L.; Li, N. Toxic potential of materials at the nanolevel. Science 2006, 311, 622–627. [Google Scholar] [CrossRef]
- Alghuthaymi, M.A.; Almoammar, H.; Rai, M.; Said-Galiev, E.; Abd-Elsalam, K.A. Myconanoparticles: Synthesis and their role in phytopathogens management. Biotechnol. Biotechnol. Equip. 2015, 29, 221–236. [Google Scholar] [CrossRef]
- Klaine, S.J.; Alvarez, P.J.J.; Batley, G.E.; Fernandes, T.F.; Handy, R.D.; Lyon, D.Y.; Mahendra, S.; McLaughlin, M.J.; Lead, J.R. Nanomaterials in the environment: Behavior, fate, bioavailability, and effects. Environ. Toxicol. Chem. 2009, 27, 1825–1851. [Google Scholar] [CrossRef] [PubMed]
- Jafernik, K.; Ładniak, A.; Blicharska, E.; Czarnek, K.; Ekiert, H.; Wiącek, A.E.; Szopa, A. Chitosan-based nanoparticles as effective drug delivery systems—A review. Molecules 2023, 28, 1963. [Google Scholar] [CrossRef] [PubMed]
- Can, A.; Sivrikaya, H.; Hazer, B.; Palanti, S. Beech (Fagus orientalis) wood modification through the incorporation of polystyrene-ricinoleic acid copolymer with Ag nanoparticles. Cellulose 2022, 29, 1149–1161. [Google Scholar] [CrossRef]
- Bugnicourt, L.; Alcouffe, P.; Ladavière, C. Elaboration of chitosan nanoparticles: Favorable impact of a mild thermal treatment to obtain finely divided, spherical, and colloidally stable objects. Colloids Surf. A Physicochem. Eng. Asp. 2014, 457, 476–486. [Google Scholar] [CrossRef]
- Babaee, M.; Garavand, F.; Rehman, A.; Jafarazadeh, S.; Amini, E.; Cacciotti, I. Biodegradability, physical, mechanical and antimicrobial attributes of starch nanocomposites containing chitosan nanoparticles. Int. J. Biol. Macromol. 2022, 195, 49–58. [Google Scholar] [CrossRef] [PubMed]
- Nascimento, T.; Rego, C.; Oliveira, H. Potential use of chitosan in the control of grapevine trunk diseases. Phytopathologia Mediterranea 2007, 46, 218–224. [Google Scholar]
- Venkatesham, M.; Ayodhya, D.; Madhusudhan, A.; Veera Babu, N.; Veerabhadram, G. A novel green one-step synthesis of silver nanoparticles using chitosan: Catalytic activity and antimicrobial studies. Appl. Nanosci. 2012, 4, 113–119. [Google Scholar] [CrossRef]
- Wang, L.-S.; Wang, C.-Y.; Yang, C.-H.; Hsieh, C.-L.; Chen, S.-Y.; Shen, C.-Y.; Wang, J.-J.; Huang, K.-S. Synthesis and anti-fungal effect of silver nanoparticles-chitosan composite particles. Int. J. Nanomed. 2015, 10, 2685. [Google Scholar] [CrossRef]
- Alfredsen, G.; Eikenes, M.; Militz, H.; Solheim, H. Screening of chitosan against wood-deteriorating fungi. Scand. J. For. Res. 2011, 19, 4–13. [Google Scholar] [CrossRef]
- Singh, T.; Vesentini, D.; Singh, A.P.; Daniel, G. Effect of chitosan on physiological, morphological, and ultrastructural characteristics of wood-degrading fungi. Int. Biodeterior. Biodegrad. 2008, 62, 116–124. [Google Scholar] [CrossRef]
- Torr, K.M.; Chittenden, C.; Franich, R.A.; Kreber, B. Advances in understanding bioactivity of chitosan and chitosan oligomers against selected wood-inhabiting fungi. Holzforschung 2005, 59, 559–567. [Google Scholar] [CrossRef]
- Guggiari, M.; Bloque, R.; Aragno, M.; Verrecchia, E.; Job, D.; Junier, P. Experimental calcium-oxalate crystal production and dissolution by selected wood-rot fungi. Int. Biodeterior. Biodegrad. 2011, 65, 803–809. [Google Scholar] [CrossRef]
- Rudakiya, D.M.; Gupte, A. Degradation of hardwoods by treatment of white rot fungi and its pyrolysis kinetics studies. Int. Biodeterior. Biodegrad. 2017, 120, 21–35. [Google Scholar] [CrossRef]
- Dutton, M.V.; Evans, C.S. Oxalate production by fungi: Its role in pathogenicity and ecology in the soil environment. Can. J. Microbiol. 1996, 42, 881–895. [Google Scholar] [CrossRef]
- Schwarze, F.W.M.R. Wood decay under the microscope. Fungal Biol. Rev. 2007, 21, 133–170. [Google Scholar] [CrossRef]






| Treatments | Species | AgNPs (ppm) | COS (g·L−1) | Decay Fungi (Repetitions/Fungal Species) | Termite (Repetitions) | 
|---|---|---|---|---|---|
| Untreated | Poplar a | – | – | 30 | 9 | 
| Poplar b | – | – | 30 | 9 | |
| Beech c | – | – | 30 | – | |
| Pine d | – | – | – | 9 | |
| AgNPs–COS(4–20) | Poplar | 4 | 20 | 30 | 9 | 
| AgNPs–COS(2–10) | 2 | 10 | 30 | 9 | |
| AgNPs–COS(1–5) | 1 | 5 | 30 | 9 | |
| AgNPs–COS(0.5–2.5) | 0.5 | 2.5 | 30 | 9 | |
| AgNPs–COS(0.25–1.25) | 0.25 | 1.25 | 30 | 9 | |
| Total repetitions | 480 | 72 | |||
| Decay Fungi | Termites | ||||
|---|---|---|---|---|---|
| DC | Description | Median ML (%) EN 350:2016 | DC | Description | Attack Level * EN 350:2016 | 
| 1 | Very durable | ≤5 | D | Durable | >90% ‘0 o 1’ and maximum 10% ‘2’ * | 
| 2 | Durable | >5 to ≤10 | M | Moderately durable | <50% ‘3, 4’ | 
| 3 | Moderately durable | >10 to ≤15 | |||
| 4 | Slightly durable | >15 to ≤30 | S | Not durable | >50% ‘3, 4’ | 
| 5 | Not durable | >30 | |||
| Treatment * | Species | Density † (kg·m−3) ± IC * | Net Absorption (kg·m−3) ± IC * | Retention (kg·m−3) ± IC * | ||||||
|---|---|---|---|---|---|---|---|---|---|---|
| Wr ** | Br ** | T ** | Wr ** | Br ** | T ** | Wr ** | Br ** | T ** | ||
| Untreated | Poplar a | 418.50 ± 18.24 | 436.57 ± 18.29 | 411.11 ± 17.72 | – | – | – | – | – | – | 
| Poplar b | 419.01 ± 15.50 | 426.64 ± 16.15 | 383.16 ± 22.32 | 717.17 ± 15.66 | 733.40 ± 10.89 | 750.11 ± 13.77 | – | – | ||
| Beech c | 659.08 ± 6.41 | 669.67 ± 13.41 | – | – | – | – | – | – | – | |
| Pine d | – | – | 467.10 ± 13.34 | – | – | – | – | – | – | |
| AgNPs–COS(4–20) | Poplar | 376.75 ± 12.08 | 372.93 ± 12.78 | 403.17 ± 16.92 | 643.59 ± 27.06 | 680.64 ± 32.82 | 713.22 ± 46.82 | 12.87 ± 0.54 | 13.62 ± 0.66 | 14.27 ± 14.27 | 
| AgNPs–COS(2–10) | 391.59 ± 13.33 | 401.43 ± 16.04 | 409.27 ± 37.16 | 613.41 ± 32.46 | 632.37 ± 29.11 | 654.60 ± 13.22 | 6.14 ± 0.33 | 6.33 ± 0.29 | 6.55 ± 0.13 | |
| AgNPs–COS(1–5) | 404.02 ± 13.01 | 405.91 ± 13.74 | 417.04 ± 31.86 | 651.02 ± 26.44 | 647.63 ± 20.08 | 646.00 ± 29.17 | 3.26 ± 0.13 | 3.24 ± 0.10 | 3.23 ± 0.15 | |
| AgNPs–COS(0.5–2.5) | 374.11 ± 11.73 | 385.01 ± 12.72 | 367.69 ± 16.39 | 691.55 ± 12.82 | 694.69 ± 15.04 | 649.14 ± 29.17 | 1.73 ± 0.03 | 1.74 ± 0.04 | 1.62 ± 0.06 | |
| AgNPs–COS(0.25–1.25) | 374.39 ± 8.93 | 377.42 ± 10.13 | 388.66 ± 24.84 | 728.79 ± 9.85 | 691.87 ± 15.20 | 726.17 ± 20.34 | 0.91 ± 0.03 | 0.87 ± 0.02 | 0.91 ± 0.03 | |
| Treatments | Species | ML * (%) ± CI | S–W Test * | B Test * | ANOVA | Homogenous Groups ** | 
|---|---|---|---|---|---|---|
| p-Value | p-Value | p-Value | ||||
| Untreated | Poplar a | 41.96 ± 4.49 | 0.194 | 0.089 | 7.44 × 10−5 | a | 
| Poplar b | 40.46 ± 3.06 | 0.502 | a | |||
| Beech c | 42.01 ± 4.97 | 0.274 | a | |||
| AgNPs–COS(4–20) | Poplar | 30.15 ± 3.08 | 0.650 | b | ||
| AgNPs–COS(2–10) | 36.76 ± 3.87 | 0.047 | ab | |||
| AgNPs–COS(1–5) | 41.49 ± 4.80 | 0.207 | a | |||
| AgNPs–COS(0.5–2.5) | 40.69 ± 4.66 | 0.753 | a | |||
| AgNPs–COS(0.25–1.25) | 45.44 ± 4.48 | 0.682 | a | 
| Treatments | Species | ML * (%) ± CI | S–W Test * | Lv Test * | W Test * | Homogenous Groups ** | 
|---|---|---|---|---|---|---|
| p-Value | p-Value | p-Value | ||||
| Untreated | Poplar a | 41.93 ± 4.33 | 0.085 | 1.604 × 10−7 | 2 × 10−4 | cd | 
| Poplar b | 47.86 ± 3.26 | 0.048 | b | |||
| Beech c | 40.57 ± 3.46 | 0.001 | d | |||
| AgNPs–COS(4–20) | Poplar | 27.22 ± 0.66 | 0.000 | a | ||
| AgNPs–COS(2–10) | 49.90 ± 3.26 | 0.000 | b | |||
| AgNPs–COS(1–5) | 47.69 ± 4.25 | 0.048 | bc | |||
| AgNPs–COS(0.5–2.5) | 50.34 ± 3.44 | 0.000 | b | |||
| AgNPs–COS(0.25–1.25) | 48.99 ± 3.78 | 0.043 | b | 
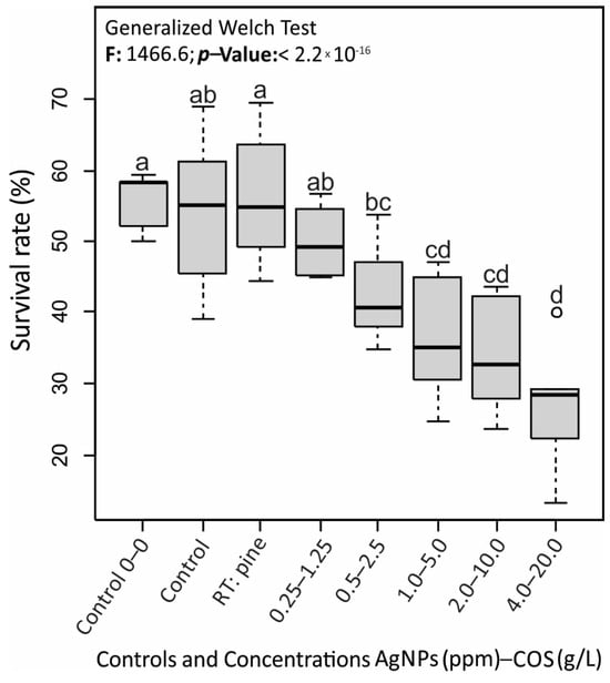
| Treatments | Species | VR * | SR * (%) | ML * (%) ± CI | S–W Test * | B Test * | ANOVA | Homogenous Groups ** | |
|---|---|---|---|---|---|---|---|---|---|
| p-Value | p-Value | p-Value | SR | ML | |||||
| Untreated | Poplar a | 4 | 53.98 ± 10.40 | 15.04 ± 1.20 | 0.898 | 0.0495 | 5.65 × 10−12 | a | b | 
| Poplar b | 4 | 55.57 ± 3.67 | 22.29 ± 3.40 | 0.868 | a | a | |||
| Pine c | 4 | 56.34 ± 9.03 | 13.85 ± 2.48 | 0.150 | a | b | |||
| AgNPs–COS(4–20) | Poplar | 1 | 26.62 ± 8.63 | 7.95 ± 1.03 | 0.897 | b | d | ||
| AgNPs–COS(2–10) | 4 | 34.03 ± 7.65 | 8.55 ± 2.08 | 0.836 | b | d | |||
| AgNPs–COS(1–5) | 4 | 36.43 ± 8.29 | 9.82 ± 2.36 | 0.147 | b | cd | |||
| AgNPs–COS(0.5–2.5) | 4 | 42.85 ± 6.67 | 14.94 ± 2.56 | 0.093 | ab | bc | |||
| AgNPs–COS(0.25–1.25) | 4 | 50.19 ± 4.74 | 11.94 ± 2.19 | 0.365 | ab | b | |||
| Disclaimer/Publisher’s Note: The statements, opinions and data contained in all publications are solely those of the individual author(s) and contributor(s) and not of MDPI and/or the editor(s). MDPI and/or the editor(s) disclaim responsibility for any injury to people or property resulting from any ideas, methods, instructions or products referred to in the content. | 
© 2023 by the authors. Licensee MDPI, Basel, Switzerland. This article is an open access article distributed under the terms and conditions of the Creative Commons Attribution (CC BY) license (https://creativecommons.org/licenses/by/4.0/).
Share and Cite
Spavento, E.; de Troya-Franco, M.T.; Acuña-Rello, L.; Murace, M.; Santos, S.M.; Casado-Sanz, M.; Martínez-López, R.D.; Martín-Gil, J.; Álvarez-Martínez, J.; Martín-Ramos, P. Silver Nanoparticles and Chitosan Oligomers Composites as Poplar Wood Protective Treatments against Wood-Decay Fungi and Termites. Forests 2023, 14, 2316. https://doi.org/10.3390/f14122316
Spavento E, de Troya-Franco MT, Acuña-Rello L, Murace M, Santos SM, Casado-Sanz M, Martínez-López RD, Martín-Gil J, Álvarez-Martínez J, Martín-Ramos P. Silver Nanoparticles and Chitosan Oligomers Composites as Poplar Wood Protective Treatments against Wood-Decay Fungi and Termites. Forests. 2023; 14(12):2316. https://doi.org/10.3390/f14122316
Chicago/Turabian StyleSpavento, Eleana, María Teresa de Troya-Franco, Luis Acuña-Rello, Mónica Murace, Sara M. Santos, Milagros Casado-Sanz, Roberto D. Martínez-López, Jesús Martín-Gil, Javier Álvarez-Martínez, and Pablo Martín-Ramos. 2023. "Silver Nanoparticles and Chitosan Oligomers Composites as Poplar Wood Protective Treatments against Wood-Decay Fungi and Termites" Forests 14, no. 12: 2316. https://doi.org/10.3390/f14122316
APA StyleSpavento, E., de Troya-Franco, M. T., Acuña-Rello, L., Murace, M., Santos, S. M., Casado-Sanz, M., Martínez-López, R. D., Martín-Gil, J., Álvarez-Martínez, J., & Martín-Ramos, P. (2023). Silver Nanoparticles and Chitosan Oligomers Composites as Poplar Wood Protective Treatments against Wood-Decay Fungi and Termites. Forests, 14(12), 2316. https://doi.org/10.3390/f14122316
 
        




 
       