Can Indoor Residents Perceive Green and Blue Spaces in Communities as Posted Sentiments? A Verification in Nanchang
Abstract
:1. Introduction
2. Materials and Methods
2.1. Study Area and Basic Condition
2.2. Commuinity and Property Value
2.3. Landscape Metrics
2.4. Facial Photos of Community Residents
- (1)
- All facial expressions must be fully visible and without any covers over the face.
- (2)
- Digital decorations of the face can only be accepted if they do not change the recognition of the original face.
- (3)
- Photos need to be rotated unless the axis of the nose was perpendicular to the horizontal line of the screen.
2.5. Data Analysis and Statistics
3. Results
3.1. Seasonal Variation of Facial Expression Scores of Community Dwellers in Contrasting Genders
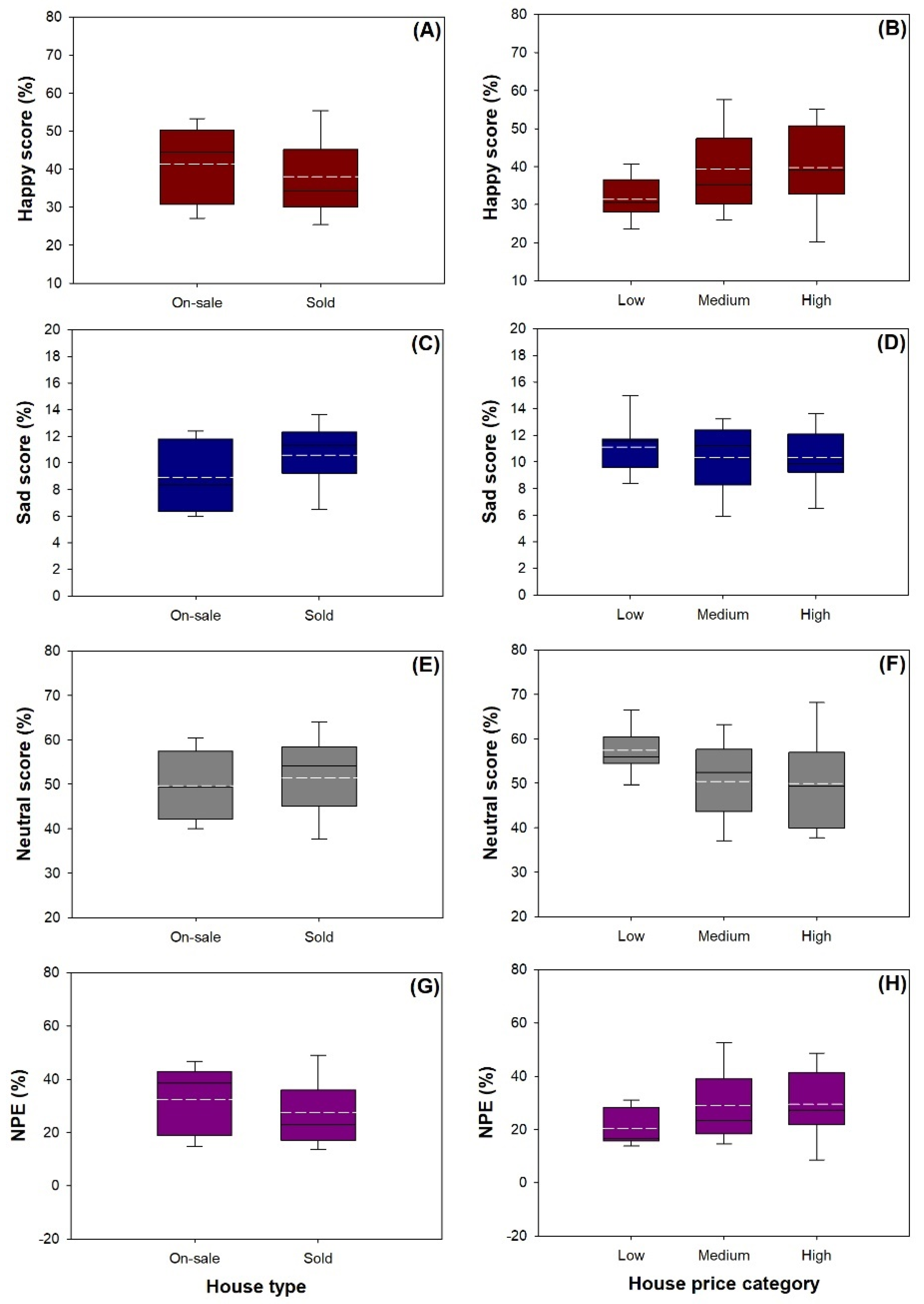
3.2. Effects of Community Attributes on Scores of Facial Expressions
3.3. Effects of Community Attributes on Landscape Metrics
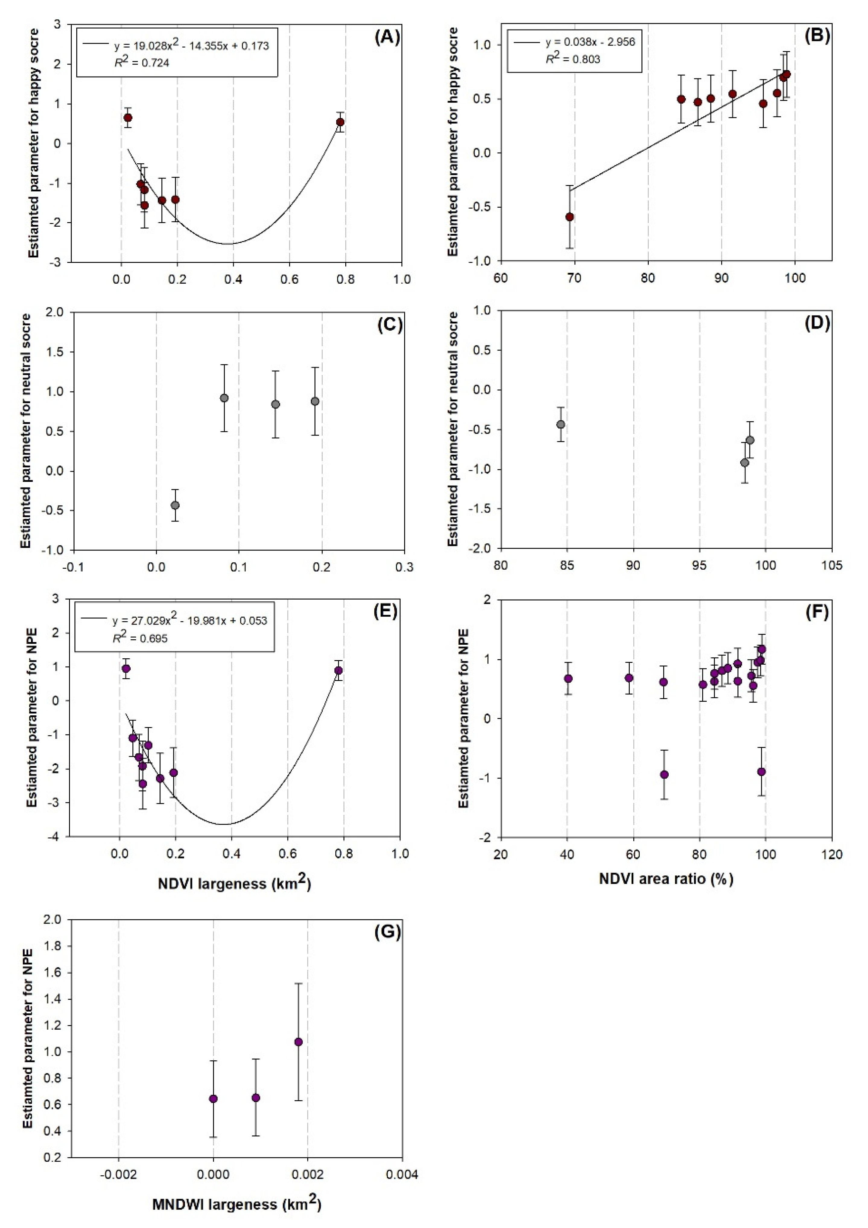
3.4. Regression of Facial Expression Scores against Landscape Metrics
4. Discussion
4.1. Landscpe Metrics in Communities of Different Attributes
4.2. Facial Expressions of Residents in Communities of Different Attributes
4.3. Facial Expressions Exposed by Perceptions of Landscape Metrics
4.4. Policy Implications
4.5. Limits of the Current Study
5. Conclusions
Author Contributions
Funding
Institutional Review Board Statement
Informed Consent Statement
Data Availability Statement
Acknowledgments
Conflicts of Interest
References
- Jiang, Y.; Zhang, J.; Ming, H.; Huang, S.L.; Lin, D.H. Stressful life events and well-being among rural-to-urban migrant adolescents: The moderating role of the stress mindset and differences between genders. J. Adolesc. 2019, 74, 24–32. [Google Scholar] [CrossRef] [PubMed]
- Gao, Y.M.; Wang, H.; Liu, X.; Xiong, Y.K.; Wei, M. Associations between stressful life events, non-suicidal self-injury, and depressive symptoms among Chinese rural-to-urban children: A three-wave longitudinal study. Stress Health 2020, 36, 522–532. [Google Scholar] [CrossRef] [PubMed]
- Bhuiyan, N.; Puzia, M.; Stecher, C.; Huberty, J. Associations Between Rural or Urban Status, Health Outcomes and Behaviors, and COVID-19 Perceptions Among Meditation App Users: Longitudinal Survey Study. Jmir Mhealth Uhealth 2021, 9, e26037. [Google Scholar] [CrossRef] [PubMed]
- Kim, A.W. Early life adversity during the post-apartheid transition and COVID-19 stress independently predict adult post-traumatic stress disorder risk in urban South Africa. Am. J. Biol. Anthropol. 2022, 177, 97. [Google Scholar]
- Ulrich, R.S.; Simons, R.F.; Losito, B.D.; Fiorito, E.; Miles, M.A.; Zelson, M. Stress recovery during exposure to natural and urban environments. J. Environ. Psychol. 1991, 11, 201–230. [Google Scholar] [CrossRef]
- Kaplan, S. The restorative benefits of nature: Toward an integrative framework. J. Environ. Psychol. 1995, 15, 169–182. [Google Scholar] [CrossRef]
- Chen, Y.; Yue, W.Z.; La Rosa, D. Which communities have better accessibility to green space? An investigation into environmental inequality using big data. Landsc. Urban Plan. 2020, 204, 103919. [Google Scholar] [CrossRef]
- Abdulla, S.U.; Bindu, C.A. Accessibility and Interactions with Urban Blue Spaces: A Case of Conolly Canal. In Proceedings of the 5th Biennial International Conference on Emerging Trends in Engineering, Science and Technology (ICETEST), Thrissur, India, 18–20 January 2018; pp. 973–978. [Google Scholar]
- Reyes-Riveros, R.; Altamirano, A.; De la Barrera, F.; Rozas-Vasquez, D.; Vieli, L.; Meli, P. Linking public urban green spaces and human well-being: A systematic review. Urban For. Urban Green. 2021, 61, 127105. [Google Scholar] [CrossRef]
- Sutton-Grier, A.E.; Sandifer, P.A. Conservation of Wetlands and Other Coastal Ecosystems: A Commentary on their Value to Protect Biodiversity, Reduce Disaster Impacts, and Promote Human Health and Well-Being. Wetlands 2019, 39, 1295–1302. [Google Scholar] [CrossRef]
- Zhang, J.; Yang, Z.; Chen, Z.; Guo, M.; Guo, P. Optimizing Urban Forest Landscape for Better Perceptions of Positive Emotions. Forests 2021, 12, 1691. [Google Scholar] [CrossRef]
- Huang, S.; Zhu, J.; Zhai, K.; Wang, Y.; Wei, H.; Xu, Z.; Gu, X. Do Emotional Perceptions of Visible Greeneries Rely on the Largeness of Green Space? A Verification in Nanchang, China. Forests 2022, 13, 1192. [Google Scholar] [CrossRef]
- Li, Z.M.; Chen, X.Y.; Shen, Z.; Fan, Z.X. Evaluating Neighborhood Green-Space Quality Using a Building Blue-Green Index (BBGI) in Nanjing, China. Land 2022, 11, 445. [Google Scholar] [CrossRef]
- Hyseni, C.; Heino, J.; Bini, L.M.; Bjelke, U.; Johansson, F. The importance of blue and green landscape connectivity for biodiversity in urban ponds. Basic Appl. Ecol. 2021, 57, 129–145. [Google Scholar] [CrossRef]
- Ha, J.; Kim, H.J.; With, K.A. Urban green space alone is not enough: A landscape analysis linking the spatial distribution of urban green space to mental health in the city of Chicago. Landsc. Urban Plan. 2022, 218, 104309. [Google Scholar] [CrossRef]
- McCool, S.F.; Martin, S.R. Community Attachment and Attitudes Toward Tourism Development. J. Travel Res. 1994, 32, 29–34. [Google Scholar] [CrossRef]
- Liu, Y.Q.; Wang, R.Y.; Lu, Y.; Li, Z.G.; Chen, H.S.; Cao, M.Q.; Zhang, Y.R.; Song, Y.M. Natural outdoor environment, neighbourhood social cohesion and mental health: Using multilevel structural equation modelling, streetscape and remote-sensing metrics. Urban For. Urban Green. 2020, 48, 126576. [Google Scholar] [CrossRef]
- Zhu, Y.M.; Ding, J.X.; Zhu, Q.; Cheng, Y.; Ma, Q.C.; Ji, X.Z. The Impact of Green Open Space on Community Attachment-A Case Study of Three Communities in Beijing. Sustainability 2017, 9, 560. [Google Scholar] [CrossRef]
- Van den Bogerd, N.; Elliott, L.R.; White, M.P.; Mishra, H.S.; Bell, S.; Porter, M.; Sydenham, Z.; Garrett, J.K.; Fleming, L.E. Urban blue space renovation and local resident and visitor well-being: A case study from Plymouth, UK. Landsc. Urban Plan. 2021, 215, 104232. [Google Scholar] [CrossRef]
- Egerer, M.H.; Philpott, S.M.; Bichier, P.; Jha, S.; Liere, H.; Lin, B.B. Gardener Well-Being along Social and Biophysical Landscape Gradients. Sustainability 2018, 10, 96. [Google Scholar] [CrossRef]
- Kim, J.H.; Li, W.; Newman, G.; Kil, S.H.; Park, S.Y. The influence of urban landscape spatial patterns on single-family housing prices. Environ. Plan. B Urban Anal. City Sci. 2018, 45, 26–43. [Google Scholar] [CrossRef]
- Wu, C.; Du, Y.H.; Li, S.; Liu, P.Y.; Ye, X.Y. Does visual contact with green space impact housing prices? An integrated approach of machine learning and hedonic modeling based on the perception of green space. Land Use Policy 2022, 115, 106048. [Google Scholar] [CrossRef]
- Osland, L.; Osth, J.; Nordvik, V. House price valuation of environmental amenities: An application of GIS-derived data. Reg. Sci. Policy Pract. 2021; early access. [Google Scholar] [CrossRef]
- Paris, D.E.; Kangari, R. Multifamily affordable housing: Residential satisfaction. J. Perform. Constr. Facil. 2005, 19, 138–145. [Google Scholar] [CrossRef]
- Graafland, J. When Does Economic Freedom Promote Well Being? On the Moderating Role of Long-Term Orientation. Soc. Indic. Res. 2020, 149, 127–153. [Google Scholar] [CrossRef]
- Jabbar, M.; Yusoff, M.M.; Shafie, A. Assessing the role of urban green spaces for human well-being: A systematic review. Geojournal, 2021; early access. [Google Scholar] [CrossRef]
- Testa, M.A.; Simonson, D.C. Assessment of Quality-of-Life Outcomes. N. Engl. J. Med. 1996, 334, 835–840. [Google Scholar] [CrossRef] [PubMed]
- White, M.P.; Alcock, I.; Wheeler, B.W.; Depledge, M.H. Would You Be Happier Living in a Greener Urban Area? A Fixed-Effects Analysis of Panel Data. Psychol. Sci. 2013, 24, 920–928. [Google Scholar] [CrossRef] [PubMed]
- Kaplan, R.; Kaplan, S. The Experience of Nature: A Psychological Perspective; Cambridge University Press: New York, NY, USA, 1989; p. xii340. [Google Scholar]
- Aerts, R.; Honnay, O.; Van Nieuwenhuyse, A. Biodiversity and human health: Mechanisms and evidence of the positive health effects of diversity in nature and green spaces. Br. Med. Bull. 2018, 127, 5–22. [Google Scholar] [CrossRef]
- Guan, H.; Wei, H.; Hauer, R.J.; Liu, P. Facial expressions of Asian people exposed to constructed urban forests: Accuracy validation and variation assessment. PLoS ONE 2021, 16, e0253141. [Google Scholar] [CrossRef]
- Pihel, J.; Sang, A.O.; Hagerhall, C.; Nystrom, M. Expert and novice group differences in eye movements when assessing biodiversity of harvested forests. For. Policy Econ. 2015, 56, 20–26. [Google Scholar] [CrossRef]
- Wei, H.; Hauer, R.J.; Chen, X.; He, X. Facial expressions of visitors in forests along the urbanization gradient: What can we learn from selfies on social networking services? Forests 2019, 10, 14. [Google Scholar] [CrossRef] [Green Version]
- Wei, H.; Hauer, R.J.; He, X. A forest experience does not always evoke positive emotion: A pilot study on unconscious facial expressions using the face reading technology. For. Policy Econ. 2021, 123, 102365. [Google Scholar] [CrossRef]
- Wei, H.; Ma, B.; Hauer, R.J.; Liu, C.; Chen, X.; He, X. Relationship between environmental factors and facial expressions of visitors during the urban forest experience. Urban For. Urban Green. 2020, 53, 126699. [Google Scholar] [CrossRef]
- Wei, H.; Hauer, R.J.; Guo, S. Daytime dynamic of spontaneous expressions of pedestrians in an urban forest park. Urban For. Urban Green. 2021, 65, 127326. [Google Scholar] [CrossRef]
- Wei, H.; Hauer, R.J.; Zhai, X. The relationship between the facial expression of people in university campus and host-city variables. Appl. Sci. 2020, 10, 1474. [Google Scholar] [CrossRef]
- Liu, P.; Liu, M.; Xia, T.; Wang, Y.; Guo, P. The Relationship between Landscape Metrics and Facial Expressions in 18 Urban Forest Parks of Northern China. Forests 2021, 12, 1619. [Google Scholar] [CrossRef]
- Liu, P.; Liu, M.; Xia, T.; Wang, Y.; Wei, H. Can Urban Forest Settings Evoke Positive Emotion? Evidence on Facial Expressions and Detection of Driving Factors. Sustainability 2021, 13, 8687. [Google Scholar] [CrossRef]
- Mao, B.; Liang, F.; Li, Z.; Zheng, W. Microclimates Potentially Shape Spatial Distribution of Facial Expressions for Urban Forest Visitors: A Regional Study of 30 Parks in North China. Sustainability 2022, 14, 1648. [Google Scholar] [CrossRef]
- Wei, H.; Zhang, J.; Xu, Z.; Hui, T.; Guo, P.; Sun, Y. The association between plant diversity and perceived emotions for visitors in urban forests: A pilot study across 49 parks in China. Urban For. Urban Green. 2022, 73, 127613. [Google Scholar] [CrossRef]
- Li, H.; Peng, J.; Jiao, Y.; Ai, S. Experiencing Urban Green and Blue Spaces in Urban Wetlands as a Nature-Based Solution to Promote Positive Emotions. Forests 2022, 13, 473. [Google Scholar] [CrossRef]
- Li, H.; Wang, X.; Wei, H.; Xia, T.; Liu, M.; Ai, S. Geographical Distribution and Driving Meteorological Forces of Facial Expressions of Visitors in Urban Wetland Parks in Eastern China. Front. Earth Sci. 2022, 10, 781204. [Google Scholar] [CrossRef]
- White, M.P.; Weeks, A.; Hooper, T.; Bleakley, L.; Cracknell, D.; Lovell, R.; Jefferson, R.L. Marine wildlife as an important component of coastal visits: The role of perceived biodiversity and species behaviour. Mar. Policy 2017, 78, 80–89. [Google Scholar] [CrossRef]
- An, B.Y.; Wang, D.; Liu, X.J.; Guan, H.M.; Wei, H.X.; Ren, Z.B. The effect of environmental factors in urban forests on blood pressure and heart rate in university students. J. For. Res. 2019, 24, 27–34. [Google Scholar] [CrossRef]
- Yu, F.; Deng, J.F.; Ding, X.G.; Ma, H.Y. Interpolated Stand Properties of Urban Forest Parks Account for Posted Facial Expressions of Visitors. Sustainability 2022, 14, 3817. [Google Scholar] [CrossRef]
- Ling, Z.Y.; Hung, W.K.; Lin, C.S.; Lu, M.C.E. Dealing with Green Gentrification and Vertical Green-Related Urban Well-Being: A Contextual-Based Design Framework. Sustainability 2020, 12, 10020. [Google Scholar] [CrossRef]
- Xiao, Y.; Zhang, Y.H.; Sun, Y.Y.; Tao, P.H.; Kuang, X.M. Does Green Space Really Matter for Residents’ Obesity? A New Perspective From Baidu Street View. Front. Public Health 2020, 8, 332. [Google Scholar] [CrossRef] [PubMed]
- Houses, S. Shell Houses. Available online: https://bj.ke.com/ (accessed on 17 June 2022).
- Lianjia. Lianjia Website in Nanchang. Available online: https://nc.lianjia.com/ (accessed on 17 June 2022).
- Fang. Fang.com in Nanchang. Available online: https://nc.fang.com/ (accessed on 17 June 2022).
- 58 City House. 58 City House in Nanchang. Available online: https://nc.58.com/ershoufang/ (accessed on 17 June 2022).
- Nanchang Map. Baidu Map in Nanchang. Available online: https://ditu.baidu.com/ (accessed on 17 June 2022).
- Sekertekin, A.; Abdikan, S.; Marangoz, A.M. The acquisition of impervious surface area from LANDSAT 8 satellite sensor data using urban indices: A comparative analysis. Environ. Monit. Assess. 2018, 190, 381. [Google Scholar] [CrossRef]
- Estoque, R.C.; Murayama, Y. Classification and change detection of built-up lands from Landsat-7 ETM+ and Landsat-8 OLI/TIRS imageries: A comparative assessment of various spectral indices. Ecol. Indic. 2015, 56, 205–217. [Google Scholar] [CrossRef]
- Zha, Y.; Gao, J.; Ni, S. Use of normalized difference built-up index in automatically mapping urban areas from TM imagery. Int. J. Remote Sens. 2003, 24, 583–594. [Google Scholar] [CrossRef]
- Wei, H.X.; Liu, P. The accuracy validation of FireFACE software in analyzing facial expressions of urban forest visitors. Preprints 2020, 2020100265. [Google Scholar] [CrossRef]
- Ekman, P. What Scientists Who Study Emotion Agree About. Perspect. Psychol. Sci. 2016, 11, 31–34. [Google Scholar] [CrossRef] [PubMed]
- An, S.; Ji, L.-J.; Marks, M.; Zhang, Z. Two Sides of Emotion: Exploring Positivity and Negativity in Six Basic Emotions across Cultures. Front. Psychol. 2017, 8, 610. [Google Scholar] [CrossRef] [PubMed]
- Central People’s Government of China. A Notice of Adjustment on Creterion of Urban Size Categorization Published by State Council of the People’s Republic of China. Available online: http://www.gov.cn/zhengce/content/2014-11/20/content_9225.htm (accessed on 29 October 2014).
- Fagerstrom, A.; Pawar, S.; Sigurdsson, V.; Foxall, G.R.; Yani-de-Soriano, M. That personal profile image might jeopardize your rental opportunity! On the relative impact of the seller’s facial expressions upon buying behavior on Airbnb (TM). Comput. Hum. Behav. 2017, 72, 123–131. [Google Scholar] [CrossRef]
- Buonanno, P.; Montolio, D.; Raya-Vilchez, J.M. Housing prices and crime perception. Empir. Econ. 2013, 45, 305–321. [Google Scholar] [CrossRef]





| Order | Longitude (°) | Latitude (°) | Community Name | Price 1 (Yuan m−2) | Category 2 | Sale Type 3 | Photo Number |
|---|---|---|---|---|---|---|---|
| 1 | 115.83 | 28.70 | Aux Shengshihuating | 30,153 | High | Sold | 26 |
| 2 | 115.88 | 28.59 | Baoji Isle | 23,036 | High | Sold | 41 |
| 3 | 115.76 | 28.71 | Paoli Half-hill International | 22,678 | High | Sold | 48 |
| 4 | 116.00 | 28.69 | Paoli Champagne International | 20,561 | High | Sold | 57 |
| 5 | 115.88 | 28.68 | Riverside No. I | 20,426 | High | Sold | 49 |
| 6 | 116.04 | 28.68 | Chengtai Versailles Palace | 20,205 | High | Sold | 84 |
| 7 | 115.92 | 28.59 | Zhengrong Lake Capital West Shore | 20,149 | High | Sold | 54 |
| 8 | 115.89 | 28.60 | Fengyuanchunhe | 20,041 | High | Sold | 32 |
| 9 | 115.87 | 28.63 | Guomao Sunshine | 19,528 | Medium | On-sale | 39 |
| 10 | 116.02 | 28.68 | Hanyuan Estate | 19,266 | Medium | Sold | 45 |
| 11 | 115.87 | 28.57 | Hengda City | 19,110 | Medium | Sold | 56 |
| 12 | 115.98 | 28.71 | Hengda Town | 18,435 | Medium | Sold | 35 |
| 13 | 115.85 | 28.67 | Honggu Spring Garden | 17,903 | Medium | Sold | 42 |
| 14 | 115.86 | 28.69 | Honggu Triumphant Return | 17,703 | Medium | Sold | 51 |
| 15 | 115.81 | 28.67 | Honggu New Town | 17,553 | Medium | Sold | 17 |
| 16 | 115.83 | 28.67 | Red Mountain Garden | 17,346 | Medium | On-sale | 58 |
| 17 | 115.85 | 28.69 | Hong City Bevely | 16,626 | Medium | Sold | 30 |
| 18 | 115.84 | 28.73 | Hongkelong Great Britain Union | 16,486 | Medium | Sold | 49 |
| 19 | 115.91 | 28.57 | Huiren Sunlight Garden | 15,726 | Medium | Sold | 30 |
| 20 | 115.89 | 28.58 | Jiangxi Olympic Garden | 15,704 | Medium | Sold | 48 |
| 21 | 115.85 | 28.68 | Jiangxin International Garden | 15,675 | Medium | Sold | 53 |
| 22 | 115.88 | 28.58 | Jingcheng Prefecture | 15,389 | Medium | Sold | 39 |
| 23 | 115.89 | 28.60 | Jiuli Xianghu Town | 15,090 | Medium | Sold | 36 |
| 24 | 115.84 | 28.68 | Liantai Vanille Center | 14,625 | Medium | Sold | 34 |
| 25 | 115.88 | 28.72 | Greenland Bund Residence | 14,310 | Medium | Sold | 52 |
| 26 | 116.00 | 28.68 | Greenland New Metropolis | 14,262 | Medium | On-sale | 46 |
| 27 | 115.93 | 28.55 | Dream land over water | 14,205 | Medium | Sold | 51 |
| 28 | 115.85 | 28.68 | Gentlefolk | 13,600 | Medium | Sold | 49 |
| 29 | 115.93 | 28.51 | Nanchang Hengda Oasis | 13,208 | Medium | Sold | 25 |
| 30 | 115.82 | 28.71 | Southern Day Sunlight | 13,062 | Medium | Sold | 22 |
| 31 | 115.89 | 28.59 | Safeness Xianghu Scenery | 12,747 | Medium | Sold | 35 |
| 32 | 115.90 | 28.64 | Millennium Summer Palace | 12,633 | Medium | Sold | 13 |
| 33 | 115.95 | 28.70 | Qingshan Lake Xiangyi Flower City | 12,551 | Medium | Sold | 41 |
| 34 | 115.85 | 28.68 | Century Central Town | 12,459 | Medium | On-sale | 26 |
| 35 | 115.87 | 28.71 | Godsent Great City | 11,922 | Medium | Sold | 15 |
| 36 | 115.86 | 28.67 | Wanda China Mansion | 11,865 | Medium | Sold | 28 |
| 37 | 115.98 | 28.70 | Wanke Seasonal Flower City | 11,648 | Medium | Sold | 51 |
| 38 | 115.88 | 28.60 | Great Dream Clearwater Bay | 11,314 | Medium | Sold | 45 |
| 39 | 115.84 | 28.68 | Weidong Garden | 11,301 | Medium | Sold | 60 |
| 40 | 115.94 | 28.55 | Xingzhou International | 11,233 | Medium | Sold | 50 |
| 41 | 115.79 | 28.69 | Coastal Lishui Homestead | 11,164 | Medium | Sold | 25 |
| 42 | 115.94 | 28.52 | Galaxity Shuiyue Bay I | 10,828 | Medium | On-sale | 23 |
| 43 | 115.86 | 28.60 | Yinyi Optimum City | 10,479 | Medium | Sold | 12 |
| 44 | 115.92 | 28.65 | Yu River Mingzhu Residence | 10,364 | Medium | Sold | 39 |
| 45 | 115.95 | 28.70 | Zhongda Qingshan Lake East | 10,354 | Medium | Sold | 15 |
| 46 | 116.00 | 28.71 | ZTE He-Garden | 10,342 | Medium | Sold | 29 |
| 47 | 115.84 | 28.70 | Zhongsen Honggu Premium | 10,324 | Medium | Sold | 19 |
| 48 | 115.91 | 28.70 | Forbidden City Red County | 9554 | Low | Sold | 37 |
| 49 | 115.84 | 28.67 | Mediterranean Sunlight | 9463 | Low | Sold | 42 |
| 50 | 115.84 | 28.66 | Green Lake Great City | 9133 | Low | Sold | 45 |
| 51 | 115.83 | 28.74 | Wanke Golden Realm International | 8957 | Low | Sold | 11 |
| 52 | 115.80 | 28.59 | Greenland Luzern Village | 8915 | Low | Sold | 76 |
| 53 | 115.84 | 28.65 | Liantai Xiangyu Riverside | 8404 | Low | Sold | 42 |
| 54 | 115.90 | 28.69 | Blue Day Water New World | 6818 | Low | Sold | 28 |
| Total | 2105 |
| Source of Variance | |||
|---|---|---|---|
| Tested Variables | Season | Gender | Season × Gender 1 |
| Happy | 3.73 * 1 | 4.09 * | 2.78 |
| Sad | 1.07 | 5.36 * | 0.94 |
| Neutral | 3.28 * | 1.94 | 3.90 ** |
| NPE 2 | 3.55 * | 5.45 * | 1.88 |
| Tested Variables | Source of Variance | ||
|---|---|---|---|
| Type | Category | Type × Category 1 | |
| Happy | 0.38 | 1.33 | 1.01 |
| Sad | 1.53 | 0.16 | 0.62 |
| Neutral | 0.12 | 1.46 | 1.01 |
| NPE 2 | 0.63 | 1.15 | 0.98 |
| NDVI 3 | 6.15 * 4 | 0.41 | 2.32 |
| MNDWI 5 | 1.21 | 0.24 | 2.32 |
| NDBI 6 | 11.69 ** | 0.62 | 4.31 ** |
| Area 7 | 8.07 ** | 0.52 | 3.03 * |
| NDVIR 8 | 0.12 | 2.12 | 1.45 |
| MNDWIR 9 | 0.01 | 0.48 | 0.32 |
| NDBIR 10 | 0.14 | 2.07 | 1.43 |
Publisher’s Note: MDPI stays neutral with regard to jurisdictional claims in published maps and institutional affiliations. |
© 2022 by the authors. Licensee MDPI, Basel, Switzerland. This article is an open access article distributed under the terms and conditions of the Creative Commons Attribution (CC BY) license (https://creativecommons.org/licenses/by/4.0/).
Share and Cite
Chen, C.; Guo, P. Can Indoor Residents Perceive Green and Blue Spaces in Communities as Posted Sentiments? A Verification in Nanchang. Forests 2022, 13, 1421. https://doi.org/10.3390/f13091421
Chen C, Guo P. Can Indoor Residents Perceive Green and Blue Spaces in Communities as Posted Sentiments? A Verification in Nanchang. Forests. 2022; 13(9):1421. https://doi.org/10.3390/f13091421
Chicago/Turabian StyleChen, Changhong, and Peng Guo. 2022. "Can Indoor Residents Perceive Green and Blue Spaces in Communities as Posted Sentiments? A Verification in Nanchang" Forests 13, no. 9: 1421. https://doi.org/10.3390/f13091421
APA StyleChen, C., & Guo, P. (2022). Can Indoor Residents Perceive Green and Blue Spaces in Communities as Posted Sentiments? A Verification in Nanchang. Forests, 13(9), 1421. https://doi.org/10.3390/f13091421

