The Contrasting Effects of Local Environmental Conditions on Tree Growth between Populations at Different Latitudes
Abstract
:1. Introduction
2. Materials and Methods
2.1. Study Area
2.2. Studied Species
2.3. Field and Laboratory Methods
2.4. Climate Data
2.5. Tree Growth Data Analysis
2.6. Simulation Modeling
3. Results
3.1. Model Selection and Model Fit
3.2. Effect of Climate Variables
3.3. Lag Effect
3.4. Simulations
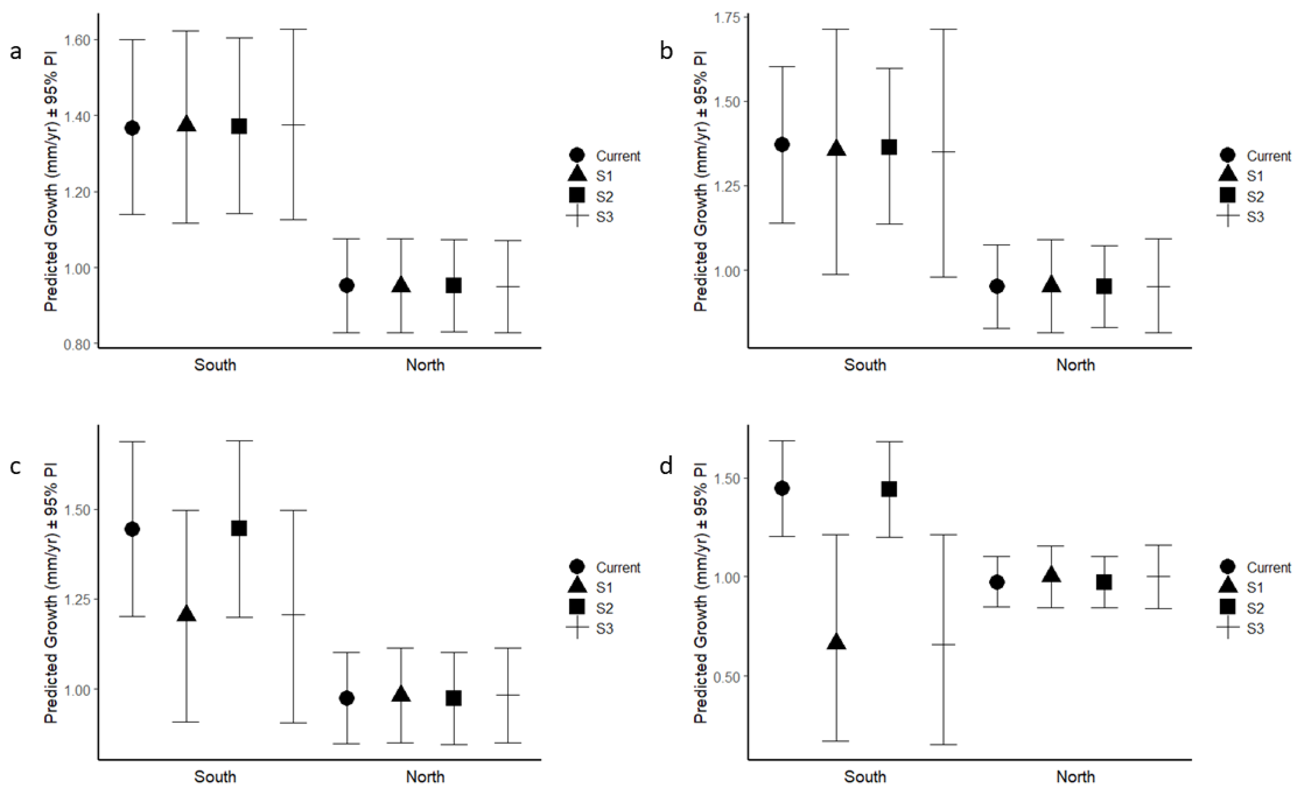
3.4.1. Simulations under SSP1-2.6 Scenario
3.4.2. Simulations under SSP5-8.5 Scenario
4. Discussion
5. Conclusions
Supplementary Materials
Author Contributions
Funding
Institutional Review Board Statement
Informed Consent Statement
Data Availability Statement
Acknowledgments
Conflicts of Interest
References
- IPCC. Climate Change 2021: The Physical Science Basis: Working Group I Contribution to the Sixth Assessment Report of the Intergovernmental Panel on Climate Change; WMO: Geneva, Switzerland; IPCC Secretariat: Geneva, Switzerland, 2021. [Google Scholar]
- Cramer, W.; Bondeau, A.; Woodward, F.I.; Prentice, I.C.; Betts, R.A.; Brovkin, V.; Cox, P.M.; Fisher, V.; Foley, J.A.; Friend, A.D.; et al. Global Response of Terrestrial Ecosystem Structure and Function to CO2 and Climate Change: Results from Six Dynamic Global Vegetation Models. Glob. Chang. Biol. 2001, 7, 357–373. [Google Scholar] [CrossRef] [Green Version]
- Pausas, J.G.; Bond, W.J. Alternative Biome States in Terrestrial Ecosystems. Trends Plant Sci. 2020, 25, 250–263. [Google Scholar] [CrossRef] [PubMed]
- Wang, W.J.; He, H.S.; Thompson, F.R., III; Fraser, J.S.; Dijak, W.D. Changes in Forest Biomass and Tree Species Distribution under Climate Change in the Northeastern United States. Landsc. Ecol. 2017, 32, 1399–1413. [Google Scholar] [CrossRef]
- Ackerly, D.D. Community Assembly, Niche Conservatism, and Adaptive Evolution in Changing Environments. Int. J. Plant Sci. 2003, 164, S165–S184. [Google Scholar] [CrossRef]
- Clark, J.S.; Bell, D.M.; Hersh, M.H.; Nichols, L. Climate Change Vulnerability of Forest Biodiversity: Climate and Competition Tracking of Demographic Rates. Glob. Chang. Biol. 2011, 17, 1834–1849. [Google Scholar] [CrossRef]
- Hatfield, J.; Lead, M.H.; Swanston, C.; Lead, N.; Janowiak, M.; Hub, N.F.S.; Steele, R.F.; Hub, M.; Cole, A.; Sharon Hestvik, R.M.A.; et al. USDA Midwest and Northern Forests Regional Climate Hub: Assessment of Climate Change Vulnerability and Adaptation and Mitigation Strategies; U.S. Department of Agriculture: Washington, DC, USA, 2015; p. 55. [Google Scholar]
- Stotz, G.C.; Salgado-Luarte, C.; Escobedo, V.M.; Valladares, F.; Gianoli, E. Global Trends in Phenotypic Plasticity of Plants. Ecol. Lett. 2021, 24, 2267–2281. [Google Scholar] [CrossRef]
- Sáenz-Romero, C.; Lamy, J.-B.; Ducousso, A.; Musch, B.; Ehrenmann, F.; Delzon, S.; Cavers, S.; Chałupka, W.; Dağdaş, S.; Hansen, J.K.; et al. Adaptive and Plastic Responses of Quercus petraea Populations to Climate across Europe. Glob. Chang. Biol. 2017, 23, 2831–2847. [Google Scholar] [CrossRef] [Green Version]
- Davis, M.B.; Shaw, R.G. Range Shifts and Adaptive Responses to Quaternary Climate Change. Science 2001, 292, 673–679. [Google Scholar] [CrossRef] [Green Version]
- Pearson, R.G.; Dawson, T.P. Predicting the Impacts of Climate Change on the Distribution of Species: Are Bioclimate Envelope Models Useful? Glob. Ecol. Biogeogr. 2003, 12, 361–371. [Google Scholar] [CrossRef] [Green Version]
- Watling, J.I.; Brandt, L.A.; Mazzotti, F.J.; Romanach, S.S. Use and Interpretation of Climate Envelope Models: A Practical Guide; University of Florida: Gainesville, FL, USA, 2013. [Google Scholar]
- Fernández-Pérez, L.; Zavala, M.A.; Villar -Salvador, P.; Madrigal-González, J. Divergent Last Century Tree Growth along an Altitudinal Gradient in a Pinus sylvestris L. Dry-Edge Population. For. Trees Livelihoods 2019, 10, 532. [Google Scholar] [CrossRef] [Green Version]
- Tucker, C.J.; Slayback, D.A.; Pinzon, J.E.; Los, S.O.; Myneni, R.B.; Taylor, M.G. Higher Northern Latitude Normalized Difference Vegetation Index and Growing Season Trends from 1982 to 1999. Int. J. Biometeorol. 2001, 45, 184–190. [Google Scholar] [CrossRef] [PubMed]
- Way, D.A.; Oren, R. Differential Responses to Changes in Growth Temperature between Trees from Different Functional Groups and Biomes: A Review and Synthesis of Data. Tree Physiol. 2010, 30, 669–688. [Google Scholar] [CrossRef] [PubMed] [Green Version]
- Feeley, K.J.; Joseph Wright, S.; Nur Supardi, M.N.; Kassim, A.R.; Davies, S.J. Decelerating Growth in Tropical Forest Trees. Ecol. Lett. 2007, 10, 461–469. [Google Scholar] [CrossRef] [PubMed]
- Venegas-González, A.; Roig, F.A.; Peña-Rojas, K.; Hadad, M.A.; Aguilera-Betti, I.; Muñoz, A.A. Recent Consequences of Climate Change Have Affected Tree Growth in Distinct Nothofagus macrocarpa (DC.) FM Vaz & Rodr Age Classes in Central Chile. For. Trees Livelihoods 2019, 10, 653. [Google Scholar] [CrossRef] [Green Version]
- Smith, N.G.; Dukes, J.S. Plant Respiration and Photosynthesis in Global-Scale Models: Incorporating Acclimation to Temperature and CO2. Glob. Chang. Biol. 2013, 19, 45–63. [Google Scholar] [CrossRef]
- Repo, T.; Mononen, K.; Alvila, L.; Pakkanen, T.T.; Hänninen, H. Cold Acclimation of Pedunculate Oak (Quercus robur L.) at Its Northernmost Distribution Range. Environ. Exp. Bot. 2008, 63, 59–70. [Google Scholar] [CrossRef]
- Ibáñez, I.; Katz, D.S.W.; Lee, B.R. The Contrasting Effects of Short-Term Climate Change on the Early Recruitment of Tree Species. Oecologia 2017, 184, 701–713. [Google Scholar] [CrossRef]
- Gaillard, J.-M.; Hewison, A.J.M.; Klein, F.; Plard, F.; Douhard, M.; Davison, R.; Bonenfant, C. How Does Climate Change Influence Demographic Processes of Widespread Species? Lessons from the Comparative Analysis of Contrasted Populations of Roe Deer. Ecol. Lett. 2013, 16 (Suppl. S1), 48–57. [Google Scholar] [CrossRef]
- Allen, C.D.; Breshears, D.D.; McDowell, N.G. On Underestimation of Global Vulnerability to Tree Mortality and Forest Die-off from Hotter Drought in the Anthropocene. Ecosphere 2015, 6, 1–55. [Google Scholar] [CrossRef]
- Babst, F.; Bouriaud, O.; Poulter, B.; Trouet, V.; Girardin, M.P.; Frank, D.C. Twentieth Century Redistribution in Climatic Drivers of Global Tree Growth. Sci. Adv. 2019, 5, eaat4313. [Google Scholar] [CrossRef] [Green Version]
- Niinemets, Ü. Responses of Forest Trees to Single and Multiple Environmental Stresses from Seedlings to Mature Plants: Past Stress History, Stress Interactions, Tolerance and Acclimation. For. Ecol. Manag. 2010, 260, 1623–1639. [Google Scholar] [CrossRef]
- Ludlow, A. Some Factors Influencing the Increment of Forests. Forestry 1997, 70, 381–388. [Google Scholar] [CrossRef]
- Oribe, Y.; Funada, R.; Shibagaki, M.; Kubo, T. Cambial Reactivation in Locally Heated Stems of the Evergreen Conifer Abies Sachalinensis (Schmidt) Masters. Planta 2001, 212, 684–691. [Google Scholar] [CrossRef] [PubMed]
- Oribe, Y.; Kubo, T. Effect of Heat on Cambial Reactivation during Winter Dormancy in Evergreen and Deciduous Conifers. Tree Physiol. 1997, 17, 81–87. [Google Scholar] [CrossRef]
- Begum, S.; Nakaba, S.; Yamagishi, Y.; Oribe, Y.; Funada, R. Regulation of Cambial Activity in Relation to Environmental Conditions: Understanding the Role of Temperature in Wood Formation of Trees. Physiol. Plant. 2013, 147, 46–54. [Google Scholar] [CrossRef]
- Balducci, L.; Cuny, H.E.; Rathgeber, C.B.K.; Deslauriers, A.; Giovannelli, A.; Rossi, S. Compensatory Mechanisms Mitigate the Effect of Warming and Drought on Wood Formation. Plant Cell Environ. 2016, 39, 1338–1352. [Google Scholar] [CrossRef]
- Mathur, S.; Agrawal, D.; Jajoo, A. Photosynthesis: Response to High Temperature Stress. J. Photochem. Photobiol. B 2014, 137, 116–126. [Google Scholar] [CrossRef]
- Dusenge, M.E.; Duarte, A.G.; Way, D.A. Plant Carbon Metabolism and Climate Change: Elevated CO2 and Temperature Impacts on Photosynthesis, Photorespiration and Respiration. New Phytol. 2019, 221, 32–49. [Google Scholar] [CrossRef] [Green Version]
- Law, R.D.; Crafts-Brandner, S.J. Inhibition and Acclimation of Photosynthesis to Heat Stress Is Closely Correlated with Activation of Ribulose-1,5-Bisphosphate Carboxylase/Oxygenase. Plant Physiol. 1999, 120, 173–182. [Google Scholar] [CrossRef] [Green Version]
- Bréda, N.; Huc, R.; Granier, A.; Dreyer, E. Temperate Forest Trees and Stands under Severe Drought: A Review of Ecophysiological Responses, Adaptation Processes and Long-Term Consequences. Ann. For. Sci. 2006, 63, 625–644. [Google Scholar] [CrossRef] [Green Version]
- Brady, N.C.; Weil, R.R.; Weil, R.R. The Nature and Properties of Soils; Prentice Hall: Upper Saddle River, NJ, USA, 2008; pp. 662–710. ISBN 9780132279383. [Google Scholar]
- McDowell, N.G.; Williams, A.P.; Xu, C.; Pockman, W.T.; Dickman, L.T.; Sevanto, S.; Pangle, R.; Limousin, J.; Plaut, J.; Mackay, D.S.; et al. Multi-Scale Predictions of Massive Conifer Mortality due to Chronic Temperature Rise. Nat. Clim. Chang. 2016, 6, 295–300. [Google Scholar] [CrossRef]
- McDowell, N.; Pockman, W.T.; Allen, C.D.; Breshears, D.D.; Cobb, N.; Kolb, T.; Plaut, J.; Sperry, J.; West, A.; Williams, D.G.; et al. Mechanisms of Plant Survival and Mortality during Drought: Why Do Some Plants Survive While Others Succumb to Drought? New Phytol. 2008, 178, 719–739. [Google Scholar] [CrossRef] [PubMed]
- Sevanto, S.; McDowell, N.G.; Dickman, L.T.; Pangle, R.; Pockman, W.T. How Do Trees Die? A Test of the Hydraulic Failure and Carbon Starvation Hypotheses. Plant Cell Environ. 2014, 37, 153–161. [Google Scholar] [CrossRef] [PubMed]
- Adams, H.D.; Guardiola-Claramonte, M.; Barron-Gafford, G.A.; Villegas, J.C.; Breshears, D.D.; Zou, C.B.; Troch, P.A.; Huxman, T.E. Temperature Sensitivity of Drought-Induced Tree Mortality Portends Increased Regional Die-off under Global-Change-Type Drought. Proc. Natl. Acad. Sci. USA 2009, 106, 7063–7066. [Google Scholar] [CrossRef] [PubMed] [Green Version]
- Peltier, D.M.P.; Fell, M.; Ogle, K. Legacy Effects of Drought in the Southwestern United States: A Multi-species Synthesis. Ecol. Monogr. 2016, 86, 312–326. [Google Scholar] [CrossRef]
- Ibáñez, I.; Zak, D.R.; Burton, A.J.; Pregitzer, K.S. Anthropogenic Nitrogen Deposition Ameliorates the Decline in Tree Growth Caused by a Drier Climate. Ecology 2018, 99, 411–420. [Google Scholar] [CrossRef]
- Ding, Y.; Li, Z.; Peng, S. Global Analysis of Time-Lag and -Accumulation Effects of Climate on Vegetation Growth. Int. J. Appl. Earth Obs. Geoinf. 2020, 92, 102179. [Google Scholar] [CrossRef]
- Pasho, E.; Camarero, J.J.; de Luis, M.; Vicente-Serrano, S.M. Impacts of Drought at Different Time Scales on Forest Growth across a Wide Climatic Gradient in North-Eastern Spain. Agric. For. Meteorol. 2011, 151, 1800–1811. [Google Scholar] [CrossRef]
- McCollum, C.; Ibáñez, I. Soil Moisture Gradients and Climate Change: Predicting Growth of a Critical Boreal Tree Species. Can. J. For. Res. 2020, 50, 1074–1080. [Google Scholar] [CrossRef]
- Tardif, J.; Brisson, J.; Bergeron, Y. Dendroclimatic Analysis of Acer saccharum, Fagus grandifolia, and Tsuga canadensis from an Old-Growth Forest, Southwestern Quebec. Can. J. For. Res. 2001, 31, 1491–1501. [Google Scholar] [CrossRef] [Green Version]
- McNab, W.H.; Cleland, D.T.; Freeouf, J.A.; Keys, J.E.; Nowacki, G.J.; Carpenter, C. Description of Ecological Subregions: Sections of the Conterminous United States; General Technical Report WO-76B; Washington Office: Washington, DC, USA, 2007; Volume 76, pp. 1–82. [Google Scholar] [CrossRef] [Green Version]
- National Centers for Environmental Information, Climate Data Online: Station Details. Available online: https://www.ncdc.noaa.gov/cdo-web/datasets (accessed on 5 November 2019).
- Barnes, B.V.; Wagner, W.H. Michigan Trees, Revised and Updated: A Guide to the Trees of the Great Lakes Region; University of Michigan Press: Ann Arbor, MI, USA, 2004; ISBN 0472089218. [Google Scholar]
- Edwards, N.T.; Norby, R.J. Below-ground respiratory responses of sugar maple and red maple saplings to atmospheric CO2 enrichment and elevated air temperature. Plant Soil 1998, 206, 85–97. [Google Scholar] [CrossRef]
- Zhang, Y.; Bergeron, Y.; Zhao, X.-H.; Drobyshev, I. Stand History Is More Important than Climate in Controlling Red Maple (Acer rubrum L.) Growth at Its Northern Distribution Limit in Western Quebec, Canada. J. Plant Ecol. 2014, 8, 368–379. [Google Scholar] [CrossRef] [Green Version]
- Phipps, R.L. Collecting, Preparing, Crossdating, and Measuring Tree Increment Cores; U.S. Department of the Interior, Geological Survey: Reston, VA, USA, 1985. [Google Scholar]
- Stokes, M.A. An Introduction to Tree-Ring Dating; University of Arizona Press: Tucson, AZ, USA, 1996; ISBN 9780816516803. [Google Scholar]
- Speer, J.H. Fundamentals of Tree-Ring Research; University of Arizona Press: Tucson, AZ, USA, 2010; ISBN 9780816526840. [Google Scholar]
- Ogle, K.; Barber, J.J.; Barron-Gafford, G.A.; Bentley, L.P.; Young, J.M.; Huxman, T.E.; Loik, M.E.; Tissue, D.T. Quantifying Ecological Memory in Plant and Ecosystem Processes. Ecol. Lett. 2015, 18, 221–235. [Google Scholar] [CrossRef] [Green Version]
- Lines, E.R.; Zavala, M.A.; Purves, D.W.; Coomes, D.A. Predictable Changes in Aboveground Allometry of Trees along Gradients of Temperature, Aridity and Competition. Glob. Ecol. Biogeogr. 2012, 21, 1017–1028. [Google Scholar] [CrossRef]
- Thomas, A.; O’Hara, R.; Ligges, U.; Sturtz, S. Making BUGS Open. R News 2006, 6, 12–17. [Google Scholar]
- Zeng, H.; Jia, G.; Epstein, H. Recent changes in phenology over the northern high latitudes detected from multi-satellite data. Environ. Res. Lett. 2011, 6, 045508. [Google Scholar] [CrossRef] [Green Version]
- Rudolph, A.; LeBlanc, D. Growth-Climate Relationships of Acer saccharum (Aceraceae) along a Latitudinal Climate Gradient in Its Western range1. J. Torrey Bot. Soc. 2020, 147, 232–242. [Google Scholar] [CrossRef]
- Lee, B.R.; Ibáñez, I. Improved Phenological Escape Can Help Temperate Tree Seedlings Maintain Demographic Performance under Climate Change Conditions. Glob. Chang. Biol. 2021, 27, 3883–3897. [Google Scholar] [CrossRef]
- Lee, B.R.; Ibáñez, I. Spring Phenological Escape Is Critical for the Survival of Temperate Tree Seedlings. Funct. Ecol. 2021, 35, 1848–1861. [Google Scholar] [CrossRef]
- Urban, J.; Ingwers, M.; McGuire, M.A.; Teskey, R.O. Stomatal Conductance Increases with Rising Temperature. Plant Signal. Behav. 2017, 12, e1356534. [Google Scholar] [CrossRef] [Green Version]
- Gunderson, C.A.; Norby, R.J.; Wullschleger, S.D. Acclimation of Photosynthesis and Respiration to Simulated Climatic Warming in Northern and Southern Populations of Acer saccharum: Laboratory and Field Evidence. Tree Physiol. 2000, 20, 87–96. [Google Scholar] [CrossRef] [PubMed] [Green Version]
- Abrams, M.D. The Red Maple Paradox. Bioscience 1998, 48, 355–364. [Google Scholar] [CrossRef]
- Lahr, E.C.; Dunn, R.R.; Frank, S.D. Variation in Photosynthesis and Stomatal Conductance among Red Maple (Acer rubrum) Urban Planted Cultivars and Wildtype Trees in the Southeastern United States. PLoS ONE 2018, 13, e0197866. [Google Scholar] [CrossRef] [PubMed] [Green Version]
- Maherali, H.; DeLucia, E.H.; Sipe, T.W. Hydraulic Adjustment of Maple Saplings to Canopy Gap Formation. Oecologia 1997, 112, 472–480. [Google Scholar] [CrossRef] [PubMed]
- Zadworny, M.; Comas, L.H.; Eissenstat, D.M. Linking Fine Root Morphology, Hydraulic Functioning and Shade Tolerance of Trees. Ann. Bot. 2018, 122, 239–250. [Google Scholar] [CrossRef] [Green Version]
- Matthews, J.S.A.; Lawson, T. Climate Change and Stomatal Physiology. Annu. Plant Rev. Online 2019, 2, 713–752. [Google Scholar] [CrossRef]
- Babst, F.; Poulter, B.; Trouet, V.; Tan, K.; Neuwirth, B.; Wilson, R.; Carrer, M.; Grabner, M.; Tegel, W.; Levanic, T.; et al. Site- and Species-Specific Responses of Forest Growth to Climate across the European Continent. Glob. Ecol. Biogeogr. 2013, 22, 706–717. [Google Scholar] [CrossRef]
- Bishop, D.A.; Beier, C.M.; Pederson, N.; Lawrence, G.B.; Stella, J.C.; Sullivan, T.J. Regional Growth Decline of Sugar Maple (Acer saccharum) and Its Potential Causes. Ecosphere 2015, 6, art179. [Google Scholar] [CrossRef] [Green Version]
- Horsley, S.B.; Long, R.P.; Bailey, S.W.; Hallett, R.A.; Wargo, P.M. Health of eastern North American sugar maple forests and factors affecting decline. North. J. Appl. For. 2002, 19, 34–44. [Google Scholar] [CrossRef]
- Climate Change Tree Atlas, Version 4. 2019. Available online: https://doi.org/10.2737/climate-change-tree-atlas-v4 (accessed on 1 December 2021).



| Site | Coordinate | Dominant Species | Soil | Landform |
|---|---|---|---|---|
| South: Radrick Forest | 42°17’ N, 83°39’ W | Quercus rubra L., Quercus alba L., Acer nigrum F.Michx., Acer saccharum Marshall | Fine-textured, Well-drained | Recessional moraine |
| South: Stinchfield Wood | 42°24’ N, 83°55’ W | Quercus alba L., Quercus velutina L’Hér. ex A.DC., Acer saccharum Marshall, Acer rubrum L. | Coarse-textured, Well-drained | Kame |
| North: Northern hardwood | 45°34’ N, 84°41’ W | Acer saccharum Marshall, Fagus grandifolia Ehrh., Populus grandidentata Michx. | Coarse-textured, Well-drained | Outwash plain |
| North: Aspen | 45°33’ N, 84°42’ W | Acer rubrum L., Acer saccharum Marshall, Fagus grandifolia Ehrh. | Coarse-textured, Well-drained | Outwash plain |
Publisher’s Note: MDPI stays neutral with regard to jurisdictional claims in published maps and institutional affiliations. |
© 2022 by the authors. Licensee MDPI, Basel, Switzerland. This article is an open access article distributed under the terms and conditions of the Creative Commons Attribution (CC BY) license (https://creativecommons.org/licenses/by/4.0/).
Share and Cite
Wang, X.; Ibáñez, I. The Contrasting Effects of Local Environmental Conditions on Tree Growth between Populations at Different Latitudes. Forests 2022, 13, 429. https://doi.org/10.3390/f13030429
Wang X, Ibáñez I. The Contrasting Effects of Local Environmental Conditions on Tree Growth between Populations at Different Latitudes. Forests. 2022; 13(3):429. https://doi.org/10.3390/f13030429
Chicago/Turabian StyleWang, Xiaomao, and Inés Ibáñez. 2022. "The Contrasting Effects of Local Environmental Conditions on Tree Growth between Populations at Different Latitudes" Forests 13, no. 3: 429. https://doi.org/10.3390/f13030429
APA StyleWang, X., & Ibáñez, I. (2022). The Contrasting Effects of Local Environmental Conditions on Tree Growth between Populations at Different Latitudes. Forests, 13(3), 429. https://doi.org/10.3390/f13030429

