Long-Term Effects of Climate and Litter Chemistry on Rates and Stable Fractions of Decomposing Scots Pine and Norway Spruce Needle Litter—A Synthesis
Abstract
:1. Introduction
2. Materials and Methods
2.1. Experimental Sites and Design
2.2. Needle Litter Collection, Storage, Sample Preparation, and Mass-Loss Determination
2.3. Analysis for Acid Unhydrolyzable Residue (AUR) and Nutrients
2.4. Climatic Data
2.5. Origin and Use of Annual Mass Loss, Limit Values, as Well as Restrictions Placed on the Data
2.5.1. Annual Mass Loss
2.5.2. Data Analysis
2.5.3. Limit Values
2.6. Statistical Analysis
3. Results and Discussion
3.1. Initial Litter Chemistry
3.2. Scots Pine—Two Stages
3.2.1. The Early, Carbohydrate-Dominated Stage
3.2.2. The Late Stage in Scots Pine, Dominated by Lignin Decomposition
3.3. Norway Spruce and Comments on Possible Further One-Stage Species
One Stage, Dominated by Lignin Decomposition
3.4. Comments to the Use of MAT and MAP
3.5. The Limit-Value Stage—Comparison of the Two Species
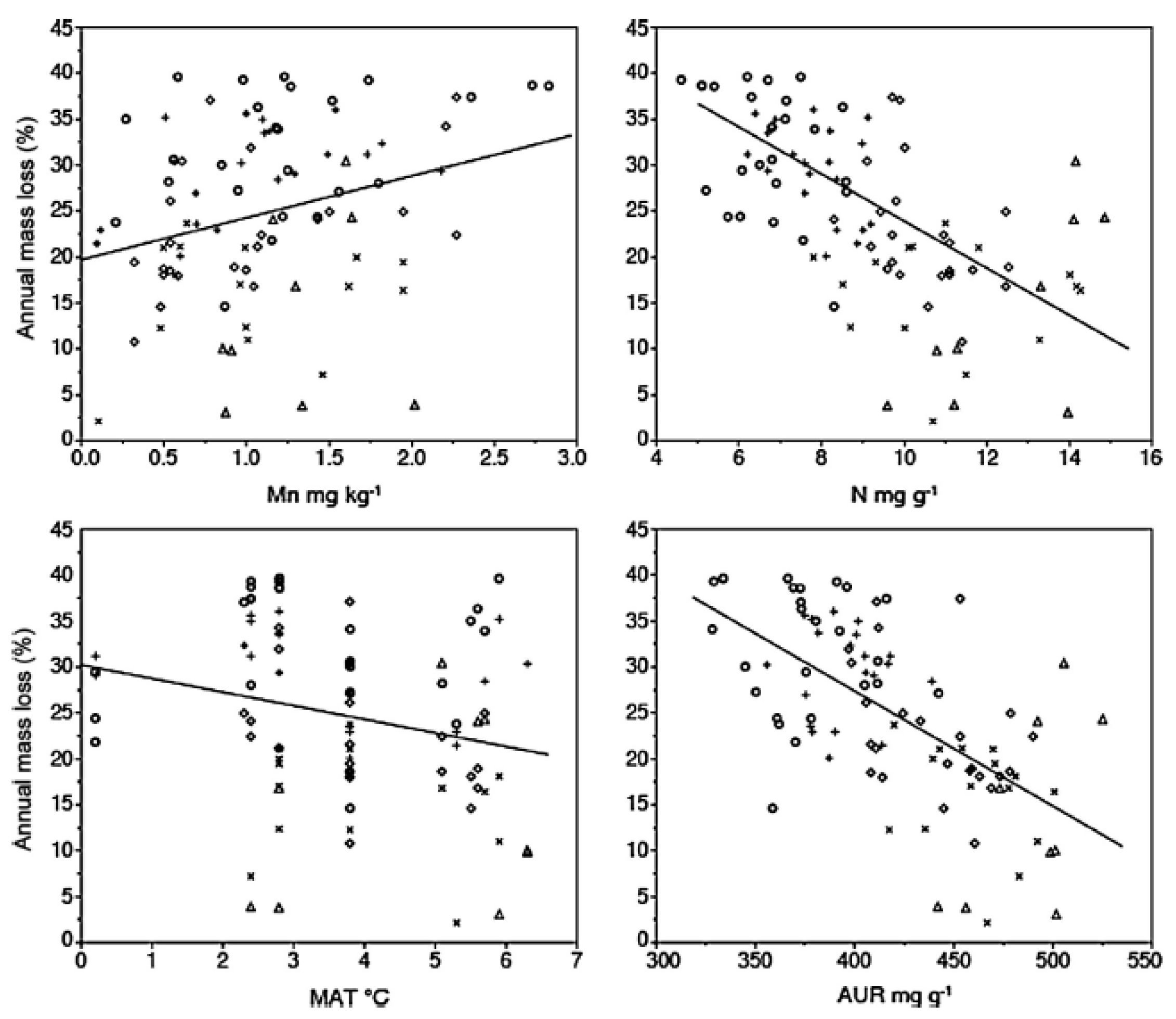
3.5.1. Limit Values Related to Initial Concentrations of AUR, N and Mn
3.5.2. What May Decide the Level of the Limit Value?
4. Concluding Remarks
Supplementary Materials
Author Contributions
Funding
Data Availability Statement
Conflicts of Interest
References
- Meentemeyer, V. The Geography of Organic Decomposition Rates. Ann. Assoc. Am. Geogr. 1984, 74, 551–560. [Google Scholar] [CrossRef]
- Berg, B.; Berg, M.; Bottner, P.; Box, E.; Breymeyer, A.; de Anta, R.C.; Couteaux, M.; Gallardo, A.; Escudero, A.; Kratz, W.; et al. Litter mass loss in pine forests of Europe and Eastern United States as compared to actual evapotranspiration on a European scale. Biogeochemistry 1993, 20, 127–153. [Google Scholar] [CrossRef]
- Berg, B.; Matzner, E. Effect of N deposition on decomposition of plant litter and soil organic matter in forest systems. Environm. Rev. 1997, 5, 1–25. [Google Scholar] [CrossRef]
- Johansson, M.-B.; Berg, B.; Meentemeyer, V. Litter mass-loss rates in late stages of decomposition in a climatic transect of pine forests. Long-term decomposition in a Scots pine forest. IX. Can. J. Bot. 1995, 73, 1509–1521. [Google Scholar] [CrossRef]
- Berg, B.; Johansson, M.-B.; Meentemeyer, V. Litter decomposition in a transect of Norway spruce forests: Substrate quality and climate control. Can. J. For. Res. 2000, 30, 1136–1147. [Google Scholar] [CrossRef]
- Berg, B.; McClaugherty, C. Plant Litter. Decomposition. Humus Formation. Carbon Sequestration, 3rd ed.; Springer: Heidelberg/Berlin, Germany, 2014; p. 317. [Google Scholar]
- Berg, B.; McClaugherty, C. Plant Litter. Decomposition. Humus Formation. Carbon Sequestration, 4th ed.; Springer Nature: Cham, Switzerland, 2020; p. 332. [Google Scholar]
- Berg, B.; Staaf, H. Decomposition rate and chemical changes of Scots pine needle litter. II. Influence of chemical composition. Ecol. Bull. 1980, 32, 373–390. [Google Scholar]
- Berg, B.; Kjønaas, J.; Johansson, M.-B.; Erhagen, B.; Åkerblom, S. Late stage pine litter decomposition: Relationships to litter N, Mn and acid unhydrolyzable residue (AUR) concentrations and climatic factors. For. Ecol. Manag. 2015, 358, 41–47. [Google Scholar] [CrossRef]
- Hobbie, S.E.; Eddy, W.C.; Buyarski, C.R.; Adair, E.C.; Ogdahl, M.L.; Weisenhorn, P. Response of decomposing litter and its microbial community to multiple forms of nitrogen enrichment. Ecol. Monogr. 2012, 82, 389–405. [Google Scholar] [CrossRef]
- Fogel, R.; Cromack, K. Effect of habitat and substrate quality on Douglas fir litter decomposition in western Oregon. Can. J. Bot. 1977, 55, 1632–1640. [Google Scholar] [CrossRef]
- Meentemeyer, V. Macroclimate and lignin control of litter decomposition rates. Ecology 1978, 59, 465–472. [Google Scholar] [CrossRef] [Green Version]
- Berg, B.; Wessen, B. Changes in organic-chemical components and ingrowth of fungal mycelium in decomposing birch leaf litter as compared to pine needles. Pedobiologia 1984, 26, 285–298. [Google Scholar]
- Berg, B.; Ekbohm, G. Decomposing needle litter in Lodgepole pine (Pinus contorta) and Scots pine (Pinus sylvestris) monocultural systems. Is there a maximum mass loss? Scand. J. For. Res. 1993, 8, 457–465. [Google Scholar] [CrossRef]
- Preston, C.; Nault, J.R.; Trofymow, J.A.; Smyth, C.; CIDET Working Group. Chemical changes during 6 years of decomposition of 11 litters in some Canadian forest sites. Part 1. Elemental composition, tannins, phenolics, and proximate fractions. Ecosystems 2009, 12, 1053–1077. [Google Scholar] [CrossRef]
- Preston, C.; Nault, J.R.; Trofymow, J.A. Chemical changes during 6 years of decomposition of 11 litters in some Canadian forest sites. Part 2. 13C abundance, solid-state 13C NMR spectroscopy and the meaning of ‘lignin’. Ecosystems 2009, 12, 1078–1102. [Google Scholar] [CrossRef]
- Keyser, P.; Kirk, T.K.; Zeikus, I.G. Ligninolytic enzyme of Phanerochaete chrysosporium: Synthesized in the absence of lignin in response to nitrogen starvation. J. Bacteriol. 1978, 15, 790–797. [Google Scholar] [CrossRef] [PubMed] [Green Version]
- Kirk, K.; Chang, H.; Lorenz, L.F. Topochemistry of the fungal degradation of lignin in birch wood as related to the distribution of guaiacyl and syringyl lignins. Wood Sci. Technol. 1975, 9, 81–86. [Google Scholar] [CrossRef]
- Perez, J.; Jeffries, T.W. Roles of manganese and organic acid chelators in regulating lignin degradation and biosynthesis of peroxidases by Phanerochaete chrysosporium. Appl. Environm. Microbiol. 1992, 58, 2402–2409. [Google Scholar] [CrossRef] [PubMed] [Green Version]
- Hatakka, A. Biodegradation of lignin. In Lignin, Humic Substances and Coal; Hofrichter, M., Steinbüchel, A., Eds.; Wiley-VCH: Weinheim, Germany, 2001; Volume 1, pp. 129–180. [Google Scholar]
- Berg, B.; Steffen, K.; McClaugherty, C. Litter decomposition rates as dependent on litter Mn concentration. Biogeochemistry 2007, 85, 29–39. [Google Scholar] [CrossRef]
- Trum, F.; Titeux, H.; Ponette, Q.; Berg, B. Influence of manganese on decomposition of common beech (Fagus sylvatica L.) leaf litter during field incubation. Biogeochemistry 2015, 126, 349–358. [Google Scholar] [CrossRef]
- Davey, M.; Berg, B.; Emmett, B.; Rowland, P. Controls of foliar litter decomposition and implications for C sequestration in oak woodlands. Can. J. Bot. 2007, 85, 16–24. [Google Scholar] [CrossRef]
- Berg, B.; Erhagen, B.; Johansson, M.-B.; Vesterdal, L.; Faituri, M.; Sanborn, P.; Nilsson, M. Manganese dynamics in decomposing foliar litter–a synthesis. Can. J. For. Res. 2013, 43, 1127–1136. [Google Scholar] [CrossRef]
- Berg, B.; McClaugherty, C. Plant Litter. Decomposition. Humus Formation. Carbon Sequestration, 2nd ed.; Springer: Heidelberg/Berlin, Germany, 2009; p. 338. [Google Scholar]
- Wieder, R.K.; Lang, G.E. A critique of the analytical methods used in examining decomposition data obtained from litter bags. Ecology 1982, 63, 1636–1642. [Google Scholar] [CrossRef] [Green Version]
- Berg, B.; Ekbohm, G.; Johansson, M.-B.; McClaugherty, C.; Rutigliano, F.; De Santo, A.V. Maximum decomposition limits of forest litter types; a synthesis. Can. J. Bot. 1996, 74, 659–672. [Google Scholar] [CrossRef]
- Berg, B. Litter decomposition and organic matter turnover in northern forest soils. For. Ecol. Manag. 2000, 133, 13–22. [Google Scholar] [CrossRef]
- Osono, T.; Takeda, H. Limit values for decomposition and convergence process of lignocellulose fraction in decomposing leaf litter of 14 tree species in a cool temperate forest. Ecol. Res. 2005, 20, 51–58. [Google Scholar] [CrossRef]
- Akselsson, C.; Berg, B.; Meentemeyer, V.; Westling, O. Carbon sequestration rates in organic layers of boreal and temperate forest soils-Sweden as a case study. Glob. Ecol. Biogeogr. 2005, 14, 77–84. [Google Scholar] [CrossRef]
- Berg, B.; Lönn, M.; Ni, X.; Sun, T.; Dong, L.; Gaitnieks, T.; De Santo, A.V.; Johansson, M.-B. Pine and spruce needle litter decomposition rates in early and late stages. Influence of nutrients and climate over a climate gradient. Appl. Soil Ecol. 2021. submitted. [Google Scholar]
- Berg, B.; Erhagen, B.; Nilsson, M.; Stendahl, J.; Trum, F.; Vesterdal, L.; Johansson, M.-B. Manganese in the litter fall-forest floor continuum of boreal and temperate pine and spruce forest ecosystems-A review. For. Ecol. Manag. 2015, 358, 248–260. [Google Scholar] [CrossRef]
- Berg, B. Decomposition patterns for foliar litter–a theory for influencing factors. Soil Biol. Biochem. 2014, 78, 222–232. [Google Scholar] [CrossRef]
- Berg, B.; De Marco, A.; Davey, M.; Emmett, B.; Hobbie, S.; Liu, C.; McClaugherty, C.; Norell, L.; Johansson, M.-B.; Rutigliano, F.; et al. Limit values for foliar litter decomposition–pine forests. Biogeochemistry 2010, 100, 57–73. [Google Scholar] [CrossRef]
- Berg, B. Initial rates and limit values for decomposition of Scots pine and Norway spruce needle litter-a synthesis for N-fertilized forest stands. Can. J. For. Res. 2000, 30, 122–135. [Google Scholar] [CrossRef]
- Laskowski, R.; Berg, B.; Johansson, M.; McClaugherty, C. Release pattern for potassium from decomposing forest leaf litter. Long-term decomposition in a Scots pine forest XI. Can. J. Bot. 1995, 73, 2019–2027. [Google Scholar] [CrossRef]
- Berg, B.; Tamm, C.O. Decomposition and nutrient dynamics of litter in long-term optimum nutrition experiments. II. Nutrient concentration changes in decomposing Norway spruce (Picea abies) needle litter. Scand. J. For. Res. 1994, 9, 99–105. [Google Scholar] [CrossRef]
- Berg, B.; McClaugherty, C.; Johansson, M. Litter mass-loss rates in late stages of decomposition at some climatically and nutritionally different pine sites. Long-term decomposition in a Scots pine forest VIII. Can. J. Bot. 1993, 71, 680–692. [Google Scholar] [CrossRef]
- Berg, B.; Tamm, C.O. Decomposition and nutrient dynamics of litter in long-term optimum nutrition experiments. I. Organic matter decomposition in Norway spruce (Picea abies) needle litter. Scand. J. For. Res. 1991, 6, 305–321. [Google Scholar] [CrossRef]
- Berg, B.; Johansson, M.-B.; Lundmark, J.-E. Site descriptions for forest sites-a compilation. In Reports from the Department for Forest Ecology and Forest Soils; Report 1997. 73; Swedish University of Agricultural Sciences: Uppsala, Sweden, 1977; p. 43. ISSN 0348-3398. [Google Scholar]
- Berg, B.; Booltink, H.G.W.; Breymeyer, A.; Ewertsson, A.; Gallardo, A.; Holm, B.; Johansson, M.-B.; Koivuoja, S.; Meentemeyer, V.; Nyman, P.; et al. Data on Needle Litter Decomposition and Soil Climate as well as Site Characteristics for Some Coniferous Forest Sites, 2nd ed.; Section 1. Data on Site Characteristics; Uppsala Report 1991a, No 41; Swedish University of Agricultural Sciences: Uppsala, Sweden, 1991. [Google Scholar]
- Berg, B.; Hannus, K.; Popoff, T.; Theander, O. Changes in organic-chemical components during decomposition. Long-term decomposition in a Scots pine forest I. Can. J. Bot. 1982, 60, 1310–1319. [Google Scholar] [CrossRef]
- Berg, B.; Booltink, H.G.W.; Breymeyer, A.; Ewertsson, A.; Gallardo, A.; Holm, B.; Johansson, M.-B.; Koivuoja, S.; Meentemeyer, V.; Nyman, P.; et al. Data on Needle Litter Decomposition and Soil Climate as well as Site Characteristics for Some Coniferous Forest Sites, 2nd ed.; Section 2. Data on Needle Litter Decomposition; Department of Ecology and Environmental Research. Report 1991b, No 42; Swedish University of Agricultural Sciences: Uppsala, Sweden, 1991. [Google Scholar]
- Nihlgård, B. Plant biomass, primary production and distribution of chemical elements in a beech and a planted spruce forest in South Sweden. Oikos 1972, 23, 69–81. [Google Scholar] [CrossRef]
- Pawluk, S. Soil analysis by atomic absorption spectrophotometry. At. Absorpt. Newsl. 1967, 6, 53–56. [Google Scholar]
- Bethge, P.O.; Rådeström, R.; Theander, O. Kvantitativ Kolhydratbestämning—En Detaljstudie; Communication; Swedish Forest Product Research Laboratory: Stockholm, Sweden, 1971; Volume 63B. (In Swedish) [Google Scholar]
- Berg, B.; Tamm, C.O. Decomposition and Nutrient Dynamics of Norway Spruce Needle Litter in a Long-Term Optimum Nutrition Experiment; Department of Ecology and Environmental Sciences, Report 1991b; No 39; Swedish University of Agricultural Sciences: Uppsala, Sweden, 1991. [Google Scholar]
- Berg, B.; Lundmark, J.-E. Decomposition of Needle and Root Litter in Lodgepole Pine and Scots Pine Monocultural Systems; Department of Forest Ecology and Forest Soils, Research notes 1985, No 53; Swedish University of Agricultural Sciences: Uppsala, Sweden, 1985; p. 76. [Google Scholar]
- Berg, B.; Lundmark, J.-E. Decomposition of needle litter in lodgepole pine and Scots pine monocultures-a comparison. Scand. J. For. Res. 1987, 2, 3–12. [Google Scholar] [CrossRef]
- De Rosario-Martinez, H. Phia: Post-Hoc Interaction Analysis. R Package Version 0.2-1. 2015. Available online: https://CRAN.R-project.org/package=phia (accessed on 23 January 2020).
- R Core Team. R: A Language and Environment for Statistical Computing; R Foundation for Statistical Computing: Vienna, Austria, 2020; Available online: https://www.R-project.org/ (accessed on 23 January 2020).
- Fox, J.; Weisberg, S. An R Companion to Applied Redression, 3rd ed.; Sage: Thousand Oaks, CA, USA, 2019; Available online: http://tinyurl.com/carbook (accessed on 14 February 2020).
- Fox, J.; Weisberg, S. Visualizing Fit and Lack of Fit in Complex Regression Models with Predictor Effect Plots and Partial Residuals. J. Stat. Softw. 2018, 87, 1–27. Available online: https://www.jstatsoft.org/v087/i09 (accessed on 14 February 2020). [CrossRef]
- Berg, B.; McClaugherty, C. Plant Litter. Decomposition. Humus Formation. Carbon Sequestration; Springer: Heidelberg/Berlin, Germany, 2003; p. 296. [Google Scholar]
- Jansson, P.E.; Berg, B. Temporal variation of litter decomposition in relation to simulated soil climate. Long-term decomposition in a Scots pine forest V. Can. J. Bot. 1985, 63, 1008–1016. [Google Scholar] [CrossRef]
- Couteaux, M.-M.; McTiernan, K.; Berg, B.; Szuberla, D.; Dardennes, P. Chemical composition and carbon mineralisation potential of Scots pine needles at different stages of decomposition. Soil Biol. Biochem. 1998, 30, 583–595. [Google Scholar] [CrossRef]
- Hofrichter, M. Review: Lignin conversion by manganese peroxidase (MnP). Enzym. Microbiol. Technol. 2002, 30, 454–466. [Google Scholar] [CrossRef]
- Keiluweit, M.; Nico, P.; Harmon, M.E.; Mao, J.D.; Pett-Ridge, J.; Kleber, M. Long-term 1978. Proc. Natl. Acad. Sci. USA 2015, 112, E5253–E5260. [Google Scholar] [CrossRef] [PubMed] [Green Version]
- Jones, M.E.; LaCroix, R.E.; Zeigler, J.; Ying, S.C.; Nico, P.S.; Keiluweit, M. Enzymes, Manganese, or Iron? Drivers of Oxidative Organic Matter Decomposition in Soils. Environ. Sci. Technol. 2020, 54, 14114–14123. [Google Scholar] [CrossRef] [PubMed]
- Bradford, M.A.; Berg, B.; Maynard, D.S.; Wieder, W.R.; Wood, S.A. Understanding the dominant controls on litter decomposition. J. Ecol. 2016, 104, 229–238. [Google Scholar] [CrossRef]
- Currie, W.S.; Harmon, M.E.; Burke, I.C.; Hart, C.; Parton, J.W.; Silver, W. Cross-biome transplants of plant litter show decomposition models extend to a broader climatic range but lose predictability at the decadal time scale. Glob. Chang. Biol. 2010, 16, 1744–1761. [Google Scholar] [CrossRef] [Green Version]
- Nömmik, H.; Vahtras, K. Retention and fixation of ammonium and ammonia in soils. In Nitrogen in Agricultural Soils; Stevenson, F.J., Ed.; Agronomy Monographs, 1982, no 22; American Society of Agronomy: Madison, WI, USA, 1982; pp. 123–171. [Google Scholar]
- Knicker, N. Stabilization of N-compounds in soil and organic-matter-rich sediments–what is the difference? Marine Chem. 2004, 92, 167–195. [Google Scholar] [CrossRef] [Green Version]
- Berg, B.; Theander, O. The dynamics of some nitrogen fractions in decomposing Scots pine needles. Pedobiologia 1984, 27, 161–167. [Google Scholar]









| N | P | K | Ca | Mg | Mn | AUR | |
|---|---|---|---|---|---|---|---|
| (mg/g) | |||||||
| Norway spruce | 5.2 (0.581) | 0.57 (0.266) | 1.69 (0.661) | 13.2 (8.264) | 0.96 (0.281) | 2.05 (0.998) | 318.4 (26.28) |
| Scots pine | 3.9 (0.572) | 0.27 (0.062) | 0.84 (0.092) | 5.96 (1.508) | 0.59 (0.164) | 1.36 (0.747) | 258.7 (30.83) |
| p< | n.s. | 0.001 | 0.001 | 0.01 | 0.01 | n.s. | 0.001 |
| Nutrient/Litter Group | R | R2 | n | p< |
|---|---|---|---|---|
| Scots pine needle litter | ||||
| Mn | 0.536 | 0.287 | 23 | 0.01 |
| N | −0.118 | 0.014 | 27 | n.s. |
| AUR | 0.435 | 0.190 | 27 | 0.05 |
| Norway spruce needle litter | ||||
| Mn | 0.411 | 0.169 | 15 | n.s. |
| N | −0.126 | 0.016 | 15 | n.s. |
| AUR | −0.592 | 0.351 | 15 | 0.05 |
Publisher’s Note: MDPI stays neutral with regard to jurisdictional claims in published maps and institutional affiliations. |
© 2022 by the authors. Licensee MDPI, Basel, Switzerland. This article is an open access article distributed under the terms and conditions of the Creative Commons Attribution (CC BY) license (https://creativecommons.org/licenses/by/4.0/).
Share and Cite
Berg, B.; Lönn, M. Long-Term Effects of Climate and Litter Chemistry on Rates and Stable Fractions of Decomposing Scots Pine and Norway Spruce Needle Litter—A Synthesis. Forests 2022, 13, 125. https://doi.org/10.3390/f13010125
Berg B, Lönn M. Long-Term Effects of Climate and Litter Chemistry on Rates and Stable Fractions of Decomposing Scots Pine and Norway Spruce Needle Litter—A Synthesis. Forests. 2022; 13(1):125. https://doi.org/10.3390/f13010125
Chicago/Turabian StyleBerg, Björn, and Mikael Lönn. 2022. "Long-Term Effects of Climate and Litter Chemistry on Rates and Stable Fractions of Decomposing Scots Pine and Norway Spruce Needle Litter—A Synthesis" Forests 13, no. 1: 125. https://doi.org/10.3390/f13010125
APA StyleBerg, B., & Lönn, M. (2022). Long-Term Effects of Climate and Litter Chemistry on Rates and Stable Fractions of Decomposing Scots Pine and Norway Spruce Needle Litter—A Synthesis. Forests, 13(1), 125. https://doi.org/10.3390/f13010125

