Tourism Demand Forecasting Based on an LSTM Network and Its Variants
Abstract
:1. Introduction
2. Methods
2.1. LSTM Network
2.2. Bi-LSTM Network
2.3. GRU Network
3. Data
4. Results and Discussion
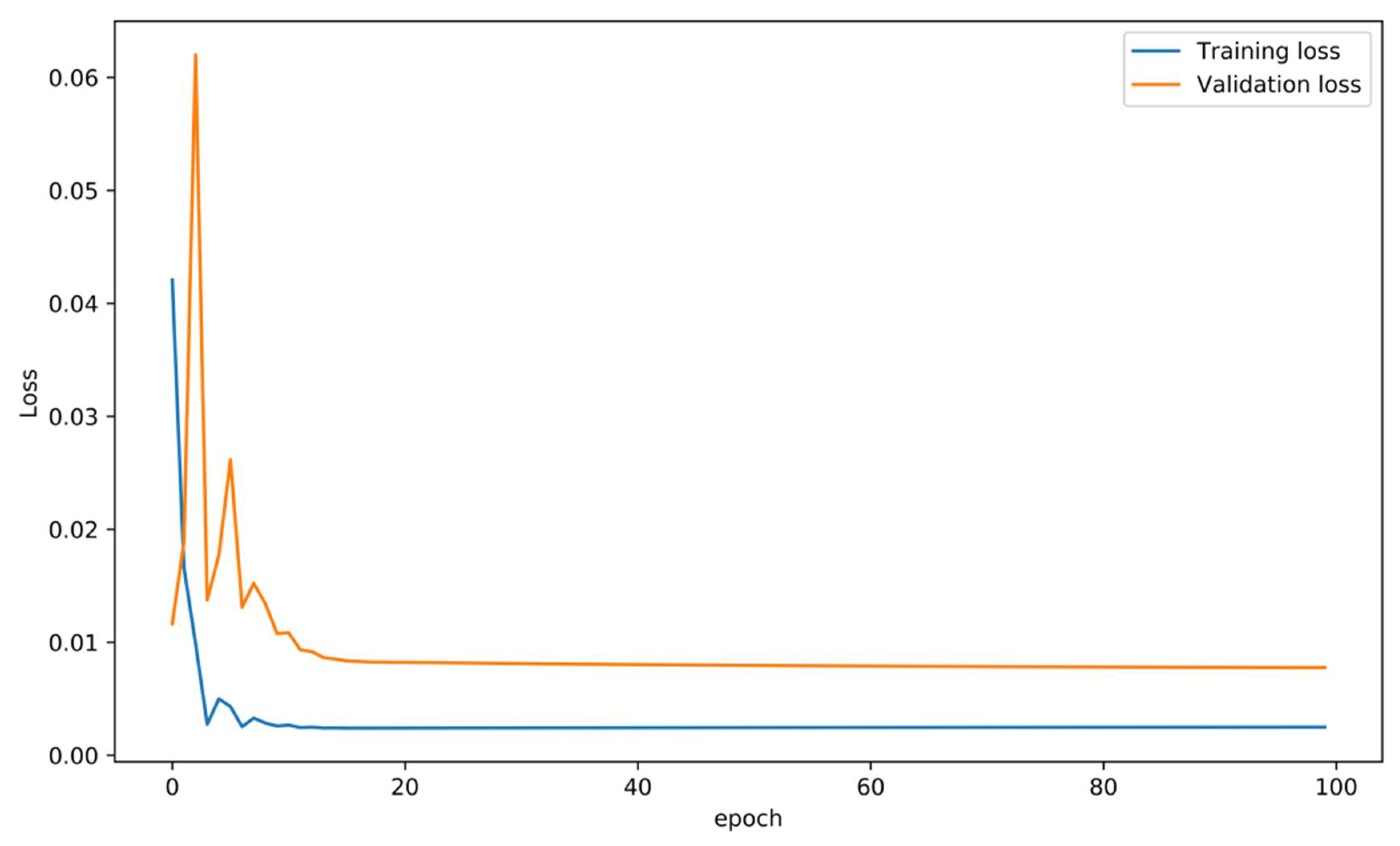
4.1. Series 1
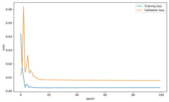
4.2. Series 2
5. Conclusions
Supplementary Materials
Funding
Institutional Review Board Statement
Informed Consent Statement
Data Availability Statement
Conflicts of Interest
References
- Frechtling, D.C. Forecasting Tourism Demand: Methods and Strategies; Butterworth-Heinemann: Oxford, UK, 2001. [Google Scholar]
- Lim, C. Review of International Tourism Demand Models. Ann. Tour. Res. 1997, 24, 835–849. [Google Scholar] [CrossRef]
- Song, H.; Li, G. Tourism Demand Modelling and Forecasting: A Review of Recent Research. Tour. Manag. 2008, 29, 203–220. [Google Scholar] [CrossRef] [Green Version]
- Hassani, H.; Silva, E.S.; Antonakakis, N.; Filis, G.; Gupta, R. Forecasting Accuracy Evaluation of Tourist Arrivals. Ann. Tour. Res. 2017, 63, 112–127. [Google Scholar] [CrossRef]
- Witt, S.F.; Witt, C.A. Forecasting Tourism Demand: A Review of Empirical Research. Int. J. Forecast. 1995, 11, 447–475. [Google Scholar] [CrossRef]
- Peng, B.; Song, H.; Crouch, G.I. A Meta-analysis of International Tourism Demand Forecasting and Implications for Practice. Tour. Manag. 2014, 45, 181–193. [Google Scholar] [CrossRef]
- Zhang, G.P. Time Series Forecasting Using a Hybrid ARIMA and Neural Network Model. Neurocomputing 2003, 50, 159–175. [Google Scholar] [CrossRef]
- Tseng, F.M.; Tzeng, G.H.; Yu, H.C.; Yuan, B.J.C. Fuzzy ARIMA Model for Forecasting the Foreign Exchange Market. Fuzzy Sets Syst. 2001, 118, 9–19. [Google Scholar] [CrossRef]
- Li, G.; Song, H.; Witt, S. Recent Development in Econometric Modelling and Forecasting. J. Travel Res. 2005, 44, 82–99. [Google Scholar] [CrossRef] [Green Version]
- Zhang, Y.; Li, G.; Muskat, B.; Law, R. Tourism Demand Forecasting: A Decomposed Deep Learning Approach. J. Travel Res. 2021, 60, 981–997. [Google Scholar] [CrossRef]
- Law, R.; Li, G.; Fong, D.K.C.; Han, X. Tourism Demand Forecasting: A Deep Learning Approach. Ann. Tour. Res. 2019, 75, 410–423. [Google Scholar] [CrossRef]
- Sun, S.; Wei, Y.; Tsui, K.L.; Wang, S. Forecasting Tourist Arrivals with Machine Learning and Internet Search Index. Tour. Manag. 2019, 70, 1–10. [Google Scholar] [CrossRef]
- Burger, C.J.S.C.; Dohnal, M.; Kathrada, M.; Law, R. A Practitioners Guide to Time-series Methods for Tourism Demand Forecasting—A Case Study of Durban, South Africa. Tour. Manag. 2001, 22, 403–409. [Google Scholar] [CrossRef]
- Cho, V. A Comparison of Three Different Approaches to Tourist Arrival Forecasting. Tour. Manag. 2003, 24, 323–330. [Google Scholar] [CrossRef]
- Kon, S.C.; Turner, W.L. Neural Network Forecasting of Tourism Demand. Tour. Econ. 2005, 11, 301–328. [Google Scholar] [CrossRef]
- Wong, K. The Relevance of Business Cycles in Forecasting International Tourist Arrivals. Tour. Manag. 1997, 18, 581–586. [Google Scholar] [CrossRef]
- Hüsken, M.; Stagge, P. Recurrent Neural Networks for Time Series Classification. Neurocomputing 2003, 50, 223–235. [Google Scholar] [CrossRef]
- Bengiot, Y.; Simard, P.; Frasconi, P. Learning Long-term Dependencies with Gradient Decent Is Difficult. IEEE Trans. Neural Netw. 1994, 5, 157–166. [Google Scholar] [CrossRef]
- Bai, Y.; Xie, J.; Liu, C.; Tao, Y.; Zeng, B.; Li, C. Regression Modelling for Enterprise Electricity Consumption: A Comparison of Recurrent Neural Network and Its Variants. Int. J. Electr. Power Energy Syst. 2021, 126, 106612. [Google Scholar] [CrossRef]
- Fischer, T.; Krauss, C. Deep Learning with Long Short-term Memory Networks for Financial Market Predictions. Eur. J. Oper. Res. 2018, 270, 654–669. [Google Scholar] [CrossRef] [Green Version]
- Hai, P.N.; Tien, N.M.; Hieu, H.T.; Chung, P.Q.; Son, N.T.; Ha, P.N.; Son, N.T. An Empirical Research on the Effectiveness of Different LSTM Architectures on Vietnamese Stock Market. ACM Int. Conf. Proc. Ser. 2020, 2020, 144–149. [Google Scholar] [CrossRef]
- Ko, M.S.; Lee, K.; Kim, J.K.; Hong, C.W.; Dong, Z.Y.; Hur, K. Deep Concatenated Residual Network with Bidirectional LSTM for One-hour-ahead Wind Power Forecasting. IEEE Trans. Sustain. Energy 2021, 12, 1321–1335. [Google Scholar] [CrossRef]
- Song, X.; Liu, Y.; Xue, L.; Wang, J.; Zhang, J.; Wang, J.; Jiang, L.; Cheng, Z. Time-series Well Performance Prediction Based on Long Short-term Memory (LSTM) Neural Network Model. J. Pet. Sci. Eng. 2020, 186, 106682. [Google Scholar] [CrossRef]
- Yuan, S.; Wang, C.; Mu, B.; Zhou, F.; Duan, W. Typhoon Intensity Forecasting Based on LSTM Using the Rolling Forecast Method. Algorithms 2021, 14, 83. [Google Scholar] [CrossRef]
- Zhang, J.; Zhu, Y.; Zhang, X.; Ye, M.; Yang, J. Developing a Long Short-term Memory (LSTM) Based Model for Predicting Water Table Depth in Agricultural Areas. J. Hydrol. 2018, 561, 918–929. [Google Scholar] [CrossRef]
- Athanasopoulos, G.; de Silva, A. Multivariate Exponential Smoothing for Forecasting Tourist Arrivals. J. Travel Res. 2012, 51, 640–652. [Google Scholar] [CrossRef]
- Hochreiter, S.; Schmidhuber, J. Long Short-term Memory. Neural Comput. 1997, 9, 1735–1780. [Google Scholar] [CrossRef]
- Graves, A.; Liwicki, M.; Fernández, S.; Bertolami, R.; Bunke, H.; Schmidhuber, J. A Novel Connectionist System for Unconstrained Handwriting Recognition. IEEE Trans. Pattern Anal. Mach. Intell. 2009, 31, 855–868. [Google Scholar] [CrossRef] [Green Version]
- Olah, C. Understanding LSTM Networks. 2015. Available online: http://colah.github.io/posts/2015-08-Understanding-LSTMs/ (accessed on 7 July 2021).
- Yildirim, Ö. A Novel Wavelet Sequences Based on Deep Bidirectional LSTM Network Model for ECG Signal Classification. Comput. Biol. Med. 2018, 96, 189–202. [Google Scholar] [CrossRef]
- Cho, K.; Van Merriënboer, B.; Gulcehre, C.; Bahdanau, D.; Bougares, F.; Schwenk, H.; Bengio, Y. Learning Phrase Representations Using RNN Encoder-decoder for Statistical Machine Translation. In Proceedings of the 2014 Conference on Empirical Methods in Natural Language Processing (EMNLP), Doha, Qatar, 25–29 October 2014; Moschitti, A., Pang, B., Daelemans, W., Eds.; Association for Computational Linguistics: Doha, Qatar, 2014; pp. 1724–1734. [Google Scholar] [CrossRef]
- Chung, J.; Gulcehre, C.; Cho, K.; Bengio, Y. Empirical Evaluation of Gated Recurrent Neural Networks on Sequence Modelling. In NIPS 2014 Deep Learning and Representation Learning Workshop; WikiCFP: Montreal, QC, Canada, 2014; pp. 1–12. Available online: https://arxiv.org/abs/1412.3555 (accessed on 17 July 2021).
- Kingma, D.P.; Ba, J. Adam: A Method for Stochastic Optimization. In International Conference on Learning Representations, 3rd ed.; ICLR: San Diego, CA, USA, 2015; Available online: https://arxiv.org/abs/1412.6980 (accessed on 17 July 2021).
- Python Software Foundation. Python 3.9 Documentation. 2021. Available online: https://docs.python.org/3.9/ (accessed on 7 July 2021).
- Ketkar, N. Deep Learning with Python; Apress: New York, NY, USA, 2017. [Google Scholar]
- Min, J.C.H. The Effect of the SARS Illness on Tourism in Taiwan: An Empirical Study. Int. J. Manag. 2005, 22, 497–506. [Google Scholar]
- Chen, S.M. Forecasting Enrolments Based on Fuzzy Time Series. Fuzzy Sets Syst. 1996, 81, 311–319. [Google Scholar] [CrossRef]
- Huarng, K.H.; Moutinho, L.; Yu, H.K. An Advanced Approach to Forecasting Tourism Demand in Taiwan. J. Travel Tour. Mark. 2007, 21, 15–24. [Google Scholar] [CrossRef]
- Huarng, K.H.; Yu, H.K.; Moutinho, L.; Wang, Y.C. Forecasting Tourism Demand by Fuzzy Time Series Models. Int. J. Cult. Tour. Hosp. Res. 2012, 6, 377–388. [Google Scholar] [CrossRef]
- Ying, T.; Wang, K.; Liu, X.; Wen, J.; Goh, E. Rethinking Game Consumption in Tourism: A Case of the 2019 Novel Coronavirus Pneumonia Outbreak in China. Tour. Recreat. Res. 2020, 46, 304–309. [Google Scholar] [CrossRef] [Green Version]
- Polyzos, S.; Samitas, A.; Spyridou, A.E. Tourism Demand and the COVID-19 Pandemic: An LSTM Approach. Tour. Recreat. Res. 2021, 46, 175–187. [Google Scholar] [CrossRef]
- Kulshrestha, A.; Krishnaswamy, V.; Sharma, M. Bayesian BILSTM Approach for Tourism Demand Forecasting. Ann. Tour. Res. 2020, 93, 102925. [Google Scholar] [CrossRef]
- Bi, J.W.; Liu, Y.; Li, H. Daily Tourism Volume Forecasting for Tourist Attractions. Ann. Tour. Res. 2020, 83, 102923. [Google Scholar] [CrossRef]









| Month | Actual | Huarng et al. [39] | LSTM | Bi-LSTM | GRU |
|---|---|---|---|---|---|
| May-00 | 216,692 | 219,138 | 209,198 | 207,674 | 206,979 |
| Jun-00 | 225,069 | 217,519 | 208,465 | 206,980 | 206,283 |
| Jul-00 | 217,302 | 224,546 | 215,417 | 213,552 | 212,875 |
| Aug-00 | 220,227 | 219,122 | 208,971 | 207,459 | 206,763 |
| Sep-00 | 221,504 | 220,453 | 211,399 | 209,754 | 209,065 |
| Oct-00 | 249,352 | 221,995 | 212,459 | 210,756 | 210,070 |
| Nov-00 | 232,810 | 247,299 | 235,545 | 232,562 | 231,973 |
| Dec-00 | 228,821 | 235,712 | 221,837 | 219,618 | 218,966 |
| Jan-01 | 199,800 | 230,085 | 218,529 | 216,493 | 215,828 |
| Feb-01 | 234,386 | 222,144 | 204,655 | 203,378 | 202,671 |
| Mar-01 | 251,111 | 232,287 | 233,190 | 230,340 | 229,739 |
| Apr-01 | 235,251 | 249,710 | 249,466 | 245,695 | 245,187 |
| May-01 | 227,021 | 238,079 | 234,424 | 231,505 | 230,910 |
| Jun-01 | 239,878 | 228,914 | 228,374 | 225,793 | 225,169 |
| Jul-01 | 218,673 | 238,869 | 239,059 | 235,879 | 235,309 |
| Aug-01 | 224,208 | 240,966 | 221,670 | 219,460 | 218,807 |
| Sep-01 | 193,254 | 224,076 | 228,381 | 225,799 | 225,175 |
| Oct-01 | 192,452 | 215,560 | 208,305 | 206,830 | 206,132 |
| Nov-01 | 190,500 | 193,244 | 205,900 | 204,556 | 203,851 |
| Dec-01 | 210,603 | 191,470 | 209,408 | 207,872 | 207,177 |
| Jan-02 | 217,600 | 208,926 | 230,045 | 227,370 | 226,754 |
| Feb-02 | 233,896 | 217,268 | 209,218 | 207,693 | 206,997 |
| Mar-02 | 281,522 | 232,541 | 222,738 | 220,469 | 219,820 |
| Apr-02 | 245,759 | 279,376 | 262,144 | 257,641 | 257,220 |
| May-02 | 243,941 | 267,961 | 232,569 | 229,753 | 229,149 |
| Jun-02 | 241,378 | 244,875 | 231,063 | 228,331 | 227,720 |
| Jul-02 | 234,596 | 242,421 | 228,939 | 226,326 | 225,705 |
| Aug-02 | 246,079 | 236,270 | 223,318 | 221,017 | 220,371 |
| Sep-02 | 233,613 | 245,205 | 232,834 | 230,003 | 229,401 |
| Oct-02 | 258,360 | 236,077 | 222,503 | 220,247 | 219,598 |
| Nov-02 | 255,645 | 256,345 | 243,001 | 239,598 | 239,051 |
| Dec-02 | 285,303 | 256,724 | 240,755 | 237,478 | 236,918 |
| Jan-03 | 238,031 | 283,235 | 265,265 | 260,579 | 260,181 |
| Feb-03 | 259,966 | 240,587 | 226,166 | 223,707 | 223,073 |
| Mar-03 | 258,128 | 258,138 | 244,330 | 240,851 | 240,312 |
| Apr-03 | 110,640 | 259,062 | 242,809 | 239,417 | 238,868 |
| May-03 | 40,256 | 111,762 | 120,256 | 123,504 | 122,983 |
| Jun-03 | 57,131 | 41,693 | 61,741 | 68,211 | 68,356 |
| Jul-03 | 154,174 | 55,717 | 75,754 | 81,435 | 81,375 |
| Aug-03 | 200,614 | 155,234 | 156,490 | 157,801 | 157,099 |
| Sep-03 | 218,594 | 198,470 | 195,112 | 194,353 | 193,627 |
| Oct-03 | 223,552 | 217,083 | 210,043 | 208,473 | 207,780 |
| Nov-03 | 241,349 | 223,489 | 214,158 | 212,362 | 211,682 |
| Dec-03 | 245,682 | 239,859 | 228,915 | 226,304 | 225,682 |
| Jan-04 | 212,854 | 245,725 | 232,505 | 229,693 | 229,089 |
| Feb-04 | 221,020 | 235,124 | 205,278 | 203,968 | 203,262 |
| Mar-04 | 239,575 | 220,528 | 212,057 | 210,376 | 209,689 |
| Apr-04 | 229,061 | 238,021 | 227,445 | 224,915 | 224,287 |
| May-04 | 232,293 | 231,267 | 218,728 | 216,681 | 216,017 |
| Jun-04 | 258,861 | 232,482 | 221,409 | 219,213 | 218,559 |
| Jul-04 | 243,396 | 256,818 | 243,416 | 239,989 | 239,444 |
| Aug-04 | 253,544 | 246,198 | 230,611 | 227,905 | 227,292 |
| Sep-04 | 245,915 | 252,812 | 239,016 | 235,838 | 235,268 |
| Oct-04 | 266,590 | 247,735 | 232,698 | 229,875 | 229,272 |
| Nov-04 | 270,553 | 264,855 | 249,808 | 246,017 | 245,512 |
| Dec-04 | 276,680 | 270,632 | 253,084 | 249,105 | 248,621 |
| Jan-05 | 244,252 | 276,447 | 258,146 | 253,875 | 253,425 |
| Feb-05 | 257,340 | 266,528 | 231,321 | 228,575 | 227,965 |
| Mar-05 | 298,282 | 256,305 | 242,157 | 238,802 | 238,249 |
| Apr-05 | 269,513 | 296,152 | 275,967 | 270,648 | 270,336 |
| May-05 | 284,049 | 291,862 | 252,225 | 248,295 | 247,805 |
| Jun-05 | 293,044 | 282,861 | 264,230 | 259,605 | 259,199 |
| Jul-05 | 268,269 | 292,460 | 271,650 | 266,588 | 266,240 |
| Aug-05 | 281,693 | 290,673 | 251,196 | 247,326 | 246,829 |
| Sep-05 | 270,700 | 280,606 | 262,286 | 257,774 | 257,354 |
| RMSE (May-00~Sep-05) | 30,789 | 31,182 | 34,872 | 34,770 | |
| RMSE (Nov-02~Jun-03) | 61,863 | 59,276 | 59,480 | 59,369 | |
Publisher’s Note: MDPI stays neutral with regard to jurisdictional claims in published maps and institutional affiliations. |
© 2021 by the author. Licensee MDPI, Basel, Switzerland. This article is an open access article distributed under the terms and conditions of the Creative Commons Attribution (CC BY) license (https://creativecommons.org/licenses/by/4.0/).
Share and Cite
Hsieh, S.-C. Tourism Demand Forecasting Based on an LSTM Network and Its Variants. Algorithms 2021, 14, 243. https://doi.org/10.3390/a14080243
Hsieh S-C. Tourism Demand Forecasting Based on an LSTM Network and Its Variants. Algorithms. 2021; 14(8):243. https://doi.org/10.3390/a14080243
Chicago/Turabian StyleHsieh, Shun-Chieh. 2021. "Tourism Demand Forecasting Based on an LSTM Network and Its Variants" Algorithms 14, no. 8: 243. https://doi.org/10.3390/a14080243
APA StyleHsieh, S.-C. (2021). Tourism Demand Forecasting Based on an LSTM Network and Its Variants. Algorithms, 14(8), 243. https://doi.org/10.3390/a14080243
