Influences of Recycled Polyethylene Terephthalate Microplastic on the Hygrothermal and Mechanical Performance of Plasterboard with Polymethylhydrosiloxane Content
Abstract
1. Introduction
2. Materials and Methods
2.1. Materials Characterization
2.2. Experimental Methodology
2.3. Experimental Design
3. Results and Discussion
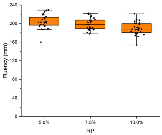
3.1. Impact of PET on Mixture Fluidity
3.2. Design Matrix Test Results
3.3. Crystal Morphology
3.4. Porosity
3.5. Water Absorption
3.6. Flexural Strength
3.7. Thermal Conductivity (W/m°K)
4. Conclusions
- The replacement of CaSO4*2[H2O] with recycled PET microplastics reduced the plasterboard fluidity. In fact, replacements beyond 10% in weight will make it considerably difficult to obtain the correct mixing of raw materials.
- There were significant differences in the morphology of CaSO4*2[H2O] between samples with and without recycled PET microplastics, which influenced the quality of the interfacial transition zone of the plasterboards.
- Replacement of up to 10% of CaSO4*0.5[H2O] with recycled PET microplastics did not produce a significant reduction in the water absorption and flexural strength of the plasterboard.
- Replacement of CaSO4*0.5[H2O] with 5% recycled PET microplastics in weight reduced the thermal conductivity of plasterboards by around 10%. However, larger replacements did not produce significant additional reductions in the thermal conductivity.
- The primary use of plasterboard is to build partitions, wall linings, or ceilings in building. Introducing recycled PET microplastics into its composition presents a promising alternative for enhancing its performance. By integrating recycled PET, not only does the plasterboard maintain its flexural strength and water resistance, but it also sees an improvement in thermal insulation capabilities.
Author Contributions
Funding
Data Availability Statement
Acknowledgments
Conflicts of Interest
References
- Li, Y.; Ren, S. Building Decorative Materials, 1st ed.; Woodhead Publishing: Cambridge, UK, 2011. [Google Scholar]
- Yu, Q.L.; Brouwers, H.J.H. Microstructure and mechanical properties of β-hemihydrate produced gypsum: An insight from its hydration process. Constr. Build. Mater. 2011, 25, 3149–3157. [Google Scholar] [CrossRef]
- Fornés, I.V.; Vaičiukynienė, D.; Nizevičienė, D.; Doroševas, V. The improvement of the water-resistance of the phosphogypsum by adding waste metallurgical sludge. J. Build. Eng. 2021, 43, 102861. [Google Scholar] [CrossRef]
- Rivero, A.J.; Sathre, R.; Navarro, J.G. Life cycle energy and material flow implications of gypsum plasterboard recycling in the European Union. Resour. Conserv. Recycl. 2016, 108, 171–181. [Google Scholar] [CrossRef]
- Singh, N.B.; Middendorf, B. Calcium sulphate hemihydrate hydration leading to gypsum crystallization. Prog. Cryst. Growth Charact. Mater. 2007, 53, 57–77. [Google Scholar] [CrossRef]
- Chen, X.; Wu, Q.; Gao, J.; Tang, Y. Hydration characteristics and mechanism analysis of β-calcium sulfate hemihydrate. Constr. Build. Mater. 2021, 296, 123714. [Google Scholar] [CrossRef]
- Adrien, J.; Meille, S.; Tadier, S.; Maire, E.; Sasaki, L. In-situ X-ray tomographic monitoring of gypsum plaster setting. Cem. Concr. Res. 2016, 82, 107–116. [Google Scholar] [CrossRef]
- Kamalipour, M.; Dehghani, S.A.M.; Naseri, A.; Abbasi, S. Role of agitation and temperature on calcium sulfate crystallization in water injection process. J. Pet. Sci. Eng. 2017, 151, 362–372. [Google Scholar] [CrossRef]
- Li, J.Q.; Gong, M.Z.; Li, G.Z. Relationship between Exothermic Effect and Crystal Growth in the Hydration Process of Waterproof Gypsum. Appl. Mech. Mater. 2012, 253–255, 308–311. [Google Scholar] [CrossRef]
- Roveri, M.; Goidanich, S.; Dotelli, G.; Toniolo, L. Semi-empirical models to describe the absorption of liquid water in natural stones employed in built heritage before and after the application of water repellent treatments. Constr. Build. Mater. 2020, 241, 117918. [Google Scholar] [CrossRef]
- Wang, Y.W.; Meldrum, F.C. Additives stabilize calcium sulfate hemihydrate (bassanite) in solution. J. Mater. Chem. 2012, 22, 22055–22062. [Google Scholar] [CrossRef]
- Nicoleau, L.; Van Driessche, A.E.S.; Kellermeier, M. A kinetic analysis of the role of polymers in mineral nucleation. The example of gypsum. Cem. Concr. Res. 2019, 124, 105837. [Google Scholar] [CrossRef]
- Zhou, P.; Wu, H.; Xia, Y. Influence of synthetic polymers on the mechanical properties of hardened β-calcium sulfate hemihydrate plasters. J. Ind. Eng. Chem. 2016, 33, 355–361. [Google Scholar] [CrossRef]
- Garg, M.; Pundir, A.; Singh, R. Modifications in water resistance and engineering properties of β-calcium sulphate hemihydrate plaster-superplasticizer blends. Mater. Struct. 2016, 49, 3253–3263. [Google Scholar] [CrossRef]
- Mucha, M.; Mróz, P.; Kocemba, A. Polymer composites based on gypsum matrix. AIP Conf. Proc. 2016, 1736, 020119. [Google Scholar] [CrossRef]
- Mucha, M.; Mróz, P.; Wrona, D. Chitosan applied for gypsum modification. Prog. Chem. Appl. Chitin Its Deriv. 2017, XXII, 166–175. [Google Scholar] [CrossRef][Green Version]
- Polat, S.; Sayan, P. Assessment of propionic acid adsorption performance on the phase transformation of calcium sulfate hemihydrate to dihydrate. Sep. Sci. Technol. 2018, 53, 1966–1978. [Google Scholar] [CrossRef]
- Moghadam, H.A.; Mirzaei, A. Comparing the effects of a retarder and accelerator on properties of gypsum building plaster. J. Build. Eng. 2020, 28, 101075. [Google Scholar] [CrossRef]
- Czaderna, A.; Kocemba, A.; Kozanecki, M.; Mucha, M.; Mróz, P. The influence of cellulose derivatives on water structure in gypsum. Constr. Build. Mater. 2018, 160, 628–638. [Google Scholar] [CrossRef]
- Mróz, P.; Mucha, M. Hydroxyethyl methyl cellulose as a modifier of gypsum properties. J. Therm. Anal. Calorim. 2018, 134, 1083–1089. [Google Scholar] [CrossRef]
- Aquilano, D.; Otálora, F.; Pastero, L.; García-Ruiz, J.M. Three study cases of growth morphology in minerals: Halite, calcite and gypsum. Prog. Cryst. Growth Charact. Mater. 2016, 62, 227–251. [Google Scholar] [CrossRef]
- Pan, H.; Li, G. Emulsion waterproof agent and its effects on intrinsic properties of gypsum. Asian J. Chem. 2013, 25, 5042–5046. [Google Scholar] [CrossRef]
- Wu, Q.; Ma, H.; Chen, Q.; Gu, B.; Li, S.; Zhu, H. Effect of silane modified styrene-acrylic emulsion on the waterproof properties of flue gas desulfurization gypsum. Constr. Build. Mater. 2019, 197, 506–512. [Google Scholar] [CrossRef]
- Kondratieva, N.; Barre, M.; Goutenoire, F.; Sanytsky, M. Study of modified gypsum binder. Constr. Build. Mater. 2017, 149, 535–542. [Google Scholar] [CrossRef]
- Capasso, I.; Pappalardo, L.; Romano, R.A.; Iucolano, F. Foamed gypsum for multipurpose applications in building. Constr. Build. Mater. 2021, 307, 124948. [Google Scholar] [CrossRef]
- Heim, D.; Mrowiec, A.; Pralat, K.; Mucha, M. Influence of Tylose MH1000 Content on Gypsum Thermal Conductivity. J. Mater. Civ. Eng. 2018, 30, 04018002. [Google Scholar] [CrossRef]
- Louette, P.; Bodino, F.; Pireaux, J.-J. Poly(methyl hydrogen siloxane) (PMHS) XPS Reference Core Level and Energy Loss Spectra. Surf. Sci. Spectra 2005, 12, 133–138. [Google Scholar] [CrossRef]
- Issa, A.; Luyt, A. Kinetics of Alkoxysilanes and Organoalkoxysilanes Polymerization: A Review. Polymers 2019, 11, 537. [Google Scholar] [CrossRef] [PubMed]
- Nagappan, S.; Choi, M.-C.; Sung, G.; Park, S.S.; Moorthy, M.S.; Chu, S.-W.; Lee, W.-K.; Ha, C.-S. Highly transparent, hydrophobic fluorinated polymethylsiloxane/silica organic-inorganic hybrids for anti-stain coating. Macromol. Res. 2013, 21, 669–680. [Google Scholar] [CrossRef]
- Pedreño-Rojas, M.A.; Rodríguez-Liñán, C.; Flores-Colen, I.; de Brito, J. Use of Polycarbonate Waste as Aggregate in Recycled Gypsum Plasters. Materials 2020, 13, 3042. [Google Scholar] [CrossRef]
- del Río Merino, M.; Astorqui, J.S.C.; Sáez, P.V.; Jiménez, R.S.; Cortina, M.G. Eco plaster mortars with addition of waste for high hardness coatings. Constr. Build. Mater. 2018, 158, 649–656. [Google Scholar] [CrossRef]
- Vicario, I.S.; Cuenca-Romero, L.A.; González, S.G.; Carpintero, V.C.; Saiz, Á.R. Design and Characterization of Gypsum Mortars Dosed with Polyurethane Foam Waste PFW. Materials 2020, 13, 1497. [Google Scholar] [CrossRef] [PubMed]
- Buggakupta, W.; Tounchuen, K.; Panpa, W.; Jinawath, S. Early Production of High Strength and Improved Water Resistance Gypsum Mortars from Used Plaster Mould and Cullet Waste. J. Mater. Civ. Eng. 2020, 32, 04020116. [Google Scholar] [CrossRef]
- Vidales-Barriguete, A.; Atanes-Sánchez, E.; del Río-Merino, M.; Piña-Ramírez, C. Analysis of the improved water-resistant properties of plaster compounds with the addition of plastic waste. Constr. Build. Mater. 2020, 230, 116956. [Google Scholar] [CrossRef]
- Barriguete, A.V.; del Río Merino, M.; Sánchez, E.A.; Ramírez, C.P.; Arrebola, C.V. Analysis of the feasibility of the use of CDW as a low-environmental-impact aggregate in conglomerates. Constr. Build. Mater. 2018, 178, 83–91. [Google Scholar] [CrossRef]
- Zhu, C.; Zhang, J.; Peng, J.; Cao, W.; Liu, J. Physical and mechanical properties of gypsum-based composites reinforced with PVA and PP fibers. Constr. Build. Mater. 2018, 163, 695–705. [Google Scholar] [CrossRef]
- Ali, F.A.; Abd-Allah, H.H.; Mari, B.H. Improvement of the physical, mechanical and thermal insulation properties to produce gypsum boards by using waste materials. Iraqi J. Sci. 2015, 56, 1972–1982. [Google Scholar]
- Erdem, S.; Arıoğlu, N. An Analysis of the Properties of Recycled PET Fiber-Gypsum Composites. AZ ITU J. Fac. Archit. 2017, 14, 91–101. [Google Scholar] [CrossRef]
- Yaseen, M.H.; Abbu, M.; Numan, H.A. Influence of adding different amounts of polyethylene terephthalate on the mechanical properties of gypsum subjected to fire. Int. J. Civ. Eng. Technol. 2018, 9, 1721–1731. [Google Scholar]
- Doleželová, M.; Scheinherrová, L.; Krejsová, J.; Keppert, M.; Černý, R.; Vimmrová, A. Investigation of gypsum composites with different lightweight fillers. Constr. Build. Mater. 2021, 297, 123791. [Google Scholar] [CrossRef]
- Karaman, S.; Sahin, S.; Gunal, H.; Orung, I. Stabilization of Waste Pet Bottles with Gypsum. J. Appl. Sci. 2006, 6, 1119–1122. [Google Scholar] [CrossRef][Green Version]
- Romano-Matos, V.; Tundidor-Camba, A.; Vera, S.; Videla, A.R. Improvement of Plasterboard Properties by the Control of Polymethylhydrosiloxane Dosage, Stirring Time, and Drying Temperature Applied to the Calcium Sulfate Hemihydrate and Water Mixture. Materials 2023, 16, 5084. [Google Scholar] [CrossRef]
- ASTM International. ASTM C28/C28M-10 (Reapproved 2020) Standard Specification for Gypsum Plasters; no. Reapproved 2020; ASTM International: West Conshohocken, PA, USA, 2010; pp. 1–4. [Google Scholar]
- Li, Z.; Xu, K.; Peng, J.; Wang, J.; Zhang, J.; Li, Q. Study on mechanical strength and water resistance of organosilicon waterproofing agent blended recycled gypsum plaster. Case Stud. Constr. Mater. 2021, 14, e00546. [Google Scholar] [CrossRef]
- Kuntze, R.A. Gypsum: Connecting Science and Technology; ASTM International: West Conshohocken, PA, USA, 2009. [Google Scholar] [CrossRef]
- Lootens, S.D.; Ampudia, M.; Hampel, C.; Mueller, M. Laboratory Scaling of Gypsum Board Production Skalierung der Gipsplattenproduktion in den Labormaßstab, n.d. Available online: https://www.researchgate.net/publication/289577707 (accessed on 3 January 2024).
- Seck, M.D.; Keita, E.; Coussot, P. Some Observations on the Impact of a Low-Solubility Ionic Solution on Drying Characteristics of a Model Porous Medium. Transp. Porous Media 2019, 128, 915–928. [Google Scholar] [CrossRef]
- Seck, M.D.; Van Landeghem, M.; Faure, P.; Rodts, S.; Combes, R.; Cavalié, P.; Keita, E.; Coussot, P. The mechanisms of plaster drying. J. Mater. Sci. 2015, 50, 2491–2501. [Google Scholar] [CrossRef][Green Version]
- Lin, C.L.; Videla, A.R.; Yu, Q.; Miller, J.D. Characterization and analysis of porous, brittle solid structure by X-ray micro computed tomography. J. Miner. Met. Mater. Soc. 2010, 62, 86–89. [Google Scholar] [CrossRef]
- Videla, A.R.; Lin, C.L.; Miller, J.D. 3D characterization of individual multiphase particles in packed particle beds by X-ray microtomography (XMT). Int. J. Miner. Process. 2007, 84, 321–326. [Google Scholar] [CrossRef]
- Videla, A.R.; Lin, C.L.; Miller, J.D. Simulation of saturated fluid flow in packed particle beds—The lattice-Boltzmann method for the calculation of permeability from XMT images. J. Chin. Inst. Chem. Eng. 2008, 39, 117–128. [Google Scholar] [CrossRef]
- AENOR (Asociacion Española de Normalizacion y Certificacion). UNE-EN 13279-2 Gypsum Binders and Gypsum Plasters. Part 2: Test Methods; AENOR (Asociacion Española de Normalizacion y Certificacion): Madrid, Spain, 2014. [Google Scholar]
- AENOR (Asociacion Española de Normalizacion y Certificacion). UNE-EN 520: 2005 + A1 2010 Gypsum Plasterboards. Definitions, Requirements, and Test Methods; AENOR (Asociacion Española de Normalizacion y Certificacion): Madrid, Spain, 2010. [Google Scholar]
- AENOR (Asociacion Española de Normalizacion y Certificacion). UNE-EN ISO 22007-2:2016 Plastics. Determination of Thermal Conductivity and Thermal Diffusivity. Part 2: Transient Plane Heat Source (hot Disc) Method. (ISO 22007-2:2015); AENOR (Asociacion Española de Normalizacion y Certificacion): Madrid, Spain, 2016; p. 27. [Google Scholar]
- Vidales-Barriguete, A.; Santa-Cruz-astorqui, J.; Piña-Ramírez, C.; Kosior-Kazberuk, M.; Kalinowska-Wichrowska, K.; Atanes-Sánchez, E. Study of the mechanical and physical behavior of gypsum boards with plastic cable waste aggregates and their application to construction panels. Materials 2021, 14, 2255. [Google Scholar] [CrossRef]
- Poonyakan, A.; Rachakornkij, M.; Wecharatana, M.; Smittakorn, W. Potential use of plastic wastes for low thermal conductivity concrete. Materials 2018, 11, 1938. [Google Scholar] [CrossRef]
- Remesar, J.C.; Simon, F.; Vera, S.; Lopez, M. Improved balance between compressive strength and thermal conductivity of insulating and structural lightweight concretes for low rise construction. Constr. Build. Mater. 2020, 247, 118448. [Google Scholar] [CrossRef]
- Van der Vegy, A.K.; Govaert, L.E. Polymeren: Van Keten tot Kunststof, 1st ed.; Delft Academic Press: Amsterdam, The Netherlands, 2019. [Google Scholar]












| SO3 | CaO | SiO2 | Al2O3 | Fe2O3 | SrO | K | LOI |
|---|---|---|---|---|---|---|---|
| 45.00 | 39.83 | 1.10 | 0.50 | 0.18 | 0.17 | 0.05 | 13.18 |
| Mineral | Formula | Fraction (%wt) |
|---|---|---|
| Bassanite | CaSO4·0.5H2O | 83.2 |
| Calcite | CaCO3 | 10.8 |
| Anhydrite | CaSO4. | 6.0 |
| Experimental Factors | Levels | ||
|---|---|---|---|
| - | 0 | + | |
| PMHS doses, D (%weight) | 0.2% | 0.6% | 1.0% |
| Homogenization time, H (s) | 20 | 40 | 60 |
| Drying temperature, T (°C) | 130 | 140 | 150 |
| PET replacement, RP (%weight) | 5.0% | 7.5% | 10.0% |
| Run | D (%) | H (s) | T (°C) | RP (%) | Water/CaSO4*0.5[H2O] | Water Absorption (%) | Bending Strength (N) | Thermal Conductivity (W/m°K) | SEM | XMT | |
|---|---|---|---|---|---|---|---|---|---|---|---|
| Without PET | N1 | 0.2 | 20 | 130 | 0.0 | 0.95 | X | X | X | X | X |
| N2 | 0.6 | 40 | 140 | 0.0 | 0.95 | X | X | X | X | X | |
| N3 | 1.0 | 60 | 150 | 0.0 | 0.95 | X | X | X | X | X | |
| With PET | RP1 | 0.2 | 20 | 130 | 5.0 | 0.95 | X | X | X | ||
| RP2 | 0.2 | 20 | 130 | 7.5 | 0.95 | X | X | X | |||
| RP3 | 0.2 | 20 | 130 | 10.0 | 0.95 | X | X | X | X | X | |
| RP4 | 0.6 | 40 | 140 | 5.0 | 0.95 | X | X | X | |||
| RP5 | 0.6 | 40 | 140 | 7.5 | 0.95 | X | X | X | |||
| RP6 | 0.6 | 40 | 140 | 10.0 | 0.95 | X | X | X | X | X | |
| RP7 | 1.0 | 60 | 150 | 5.0 | 0.95 | X | X | X | |||
| RP8 | 1.0 | 60 | 150 | 7.5 | 0.95 | X | X | X | |||
| RP9 | 1.0 | 60 | 150 | 10.0 | 0.95 | X | X | X | X | X |
| Trial | D (%) | H (s) | T (°C) | RP (%) | A (%) | Rf (N) | Ct (W/m°K) | ||||
|---|---|---|---|---|---|---|---|---|---|---|---|
| Avg | Dev | Avg | Dev | Avg | Dev | ||||||
| Without PET | N1 | 0.2 | 20 | 130 | 0.0 | 4.7 | 2.1 | 113 | 23 | 0.301 | 0.025 |
| N2 | 0.6 | 40 | 140 | 0.0 | 2.6 | 1.5 | 134 | 19 | 0.307 | 0.021 | |
| N3 | 1.0 | 60 | 150 | 0.0 | 3.1 | 1.9 | 125 | 15 | 0.317 | 0.023 | |
| With PET | RP1 | 0.2 | 20 | 130 | 5.0 | 3.4 | 2.3 | 110 | 13 | 0.273 | 0.013 |
| RP2 | 0.2 | 20 | 130 | 7.5 | 2.6 | 1.2 | 103 | 16 | 0.275 | 0.006 | |
| RP3 | 0.2 | 20 | 130 | 10.0 | 3.3 | 1.9 | 99 | 11 | 0.276 | 0.011 | |
| RP4 | 0.6 | 40 | 140 | 5.0 | 2.4 | 2.4 | 109 | 13 | 0.280 | 0.004 | |
| RP5 | 0.6 | 40 | 140 | 7.5 | 1.5 | 0.9 | 105 | 20 | 0.281 | 0.010 | |
| RP6 | 0.6 | 40 | 140 | 10.0 | 1.6 | 0.9 | 120 | 24 | 0.276 | 0.012 | |
| RP7 | 1.0 | 60 | 150 | 5.0 | 2.8 | 2.2 | 114 | 22 | 0.278 | 0.012 | |
| RP8 | 1.0 | 60 | 150 | 7.5 | 1.4 | 0.5 | 114 | 29 | 0.279 | 0.015 | |
| RP9 | 1.0 | 60 | 150 | 10.0 | 1.7 | 0.9 | 120 | 16 | 0.283 | 0.009 | |
| L/W and Po at minimum, medium, and maximum levels | Trial | D (%) | H (s) | T (°C) | RP (%) | L/W | Po (%vol) | |
| Avg. | Dev. | |||||||
| N1 | 0.0 | 20 | 130 | 0.0 | 3.64 | 2.57 | 1.090 | |
| N2 | 0.0 | 40 | 140 | 0.0 | 3.71 | 1.77 | 1.458 | |
| N3 | 0.0 | 60 | 150 | 0.0 | 2.71 | 1.34 | 1.818 | |
| RP3 | 0.2 | 20 | 130 | 10.0 | 3.28 | 1.90 | 2.812 | |
| RP6 | 0.6 | 40 | 140 | 10.0 | 2.92 | 1.86 | 3.023 | |
| RP9 | 1.0 | 60 | 150 | 10.0 | 2.59 | 1.41 | 3.524 | |
Disclaimer/Publisher’s Note: The statements, opinions and data contained in all publications are solely those of the individual author(s) and contributor(s) and not of MDPI and/or the editor(s). MDPI and/or the editor(s) disclaim responsibility for any injury to people or property resulting from any ideas, methods, instructions or products referred to in the content. |
© 2024 by the authors. Licensee MDPI, Basel, Switzerland. This article is an open access article distributed under the terms and conditions of the Creative Commons Attribution (CC BY) license (https://creativecommons.org/licenses/by/4.0/).
Share and Cite
Romano-Matos, V.; Tundidor-Camba, A.; Vera, S.; Navarrete, I.; Videla, A. Influences of Recycled Polyethylene Terephthalate Microplastic on the Hygrothermal and Mechanical Performance of Plasterboard with Polymethylhydrosiloxane Content. Materials 2024, 17, 1652. https://doi.org/10.3390/ma17071652
Romano-Matos V, Tundidor-Camba A, Vera S, Navarrete I, Videla A. Influences of Recycled Polyethylene Terephthalate Microplastic on the Hygrothermal and Mechanical Performance of Plasterboard with Polymethylhydrosiloxane Content. Materials. 2024; 17(7):1652. https://doi.org/10.3390/ma17071652
Chicago/Turabian StyleRomano-Matos, Victoria, Alain Tundidor-Camba, Sergio Vera, Ivan Navarrete, and Alvaro Videla. 2024. "Influences of Recycled Polyethylene Terephthalate Microplastic on the Hygrothermal and Mechanical Performance of Plasterboard with Polymethylhydrosiloxane Content" Materials 17, no. 7: 1652. https://doi.org/10.3390/ma17071652
APA StyleRomano-Matos, V., Tundidor-Camba, A., Vera, S., Navarrete, I., & Videla, A. (2024). Influences of Recycled Polyethylene Terephthalate Microplastic on the Hygrothermal and Mechanical Performance of Plasterboard with Polymethylhydrosiloxane Content. Materials, 17(7), 1652. https://doi.org/10.3390/ma17071652

