Molecular Dynamics, Dielectric Properties, and Textures of Protonated and Selectively Deuterated 4′-Pentyl-4-biphenylcarbonitrile Liquid Crystal
Abstract
1. Introduction
2. Materials and Methods
2.1. NMR Relaxometry
2.2. Thermal Properties and Phase Transition Measurements
2.3. Mesophase Texture Analysis
2.4. Dielectric Spectroscopy Measurements
3. Results and Discussion
3.1. NMR Spectroscopy Investigations
3.2. Thermal Properties and Phase Transitions—DSC
3.3. Mesophase Texture Analysis
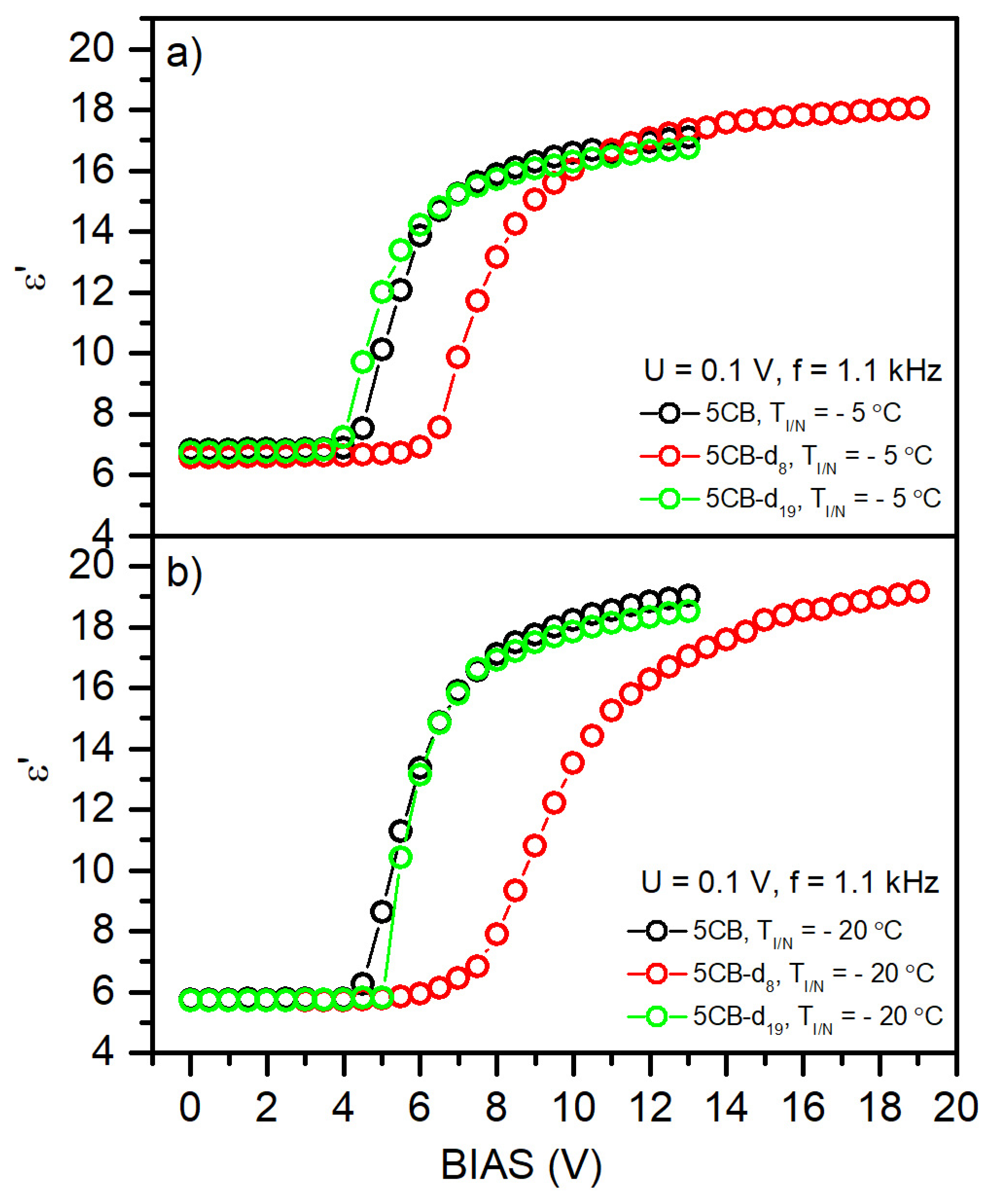
3.4. Dielectric Spectroscopy Measurements
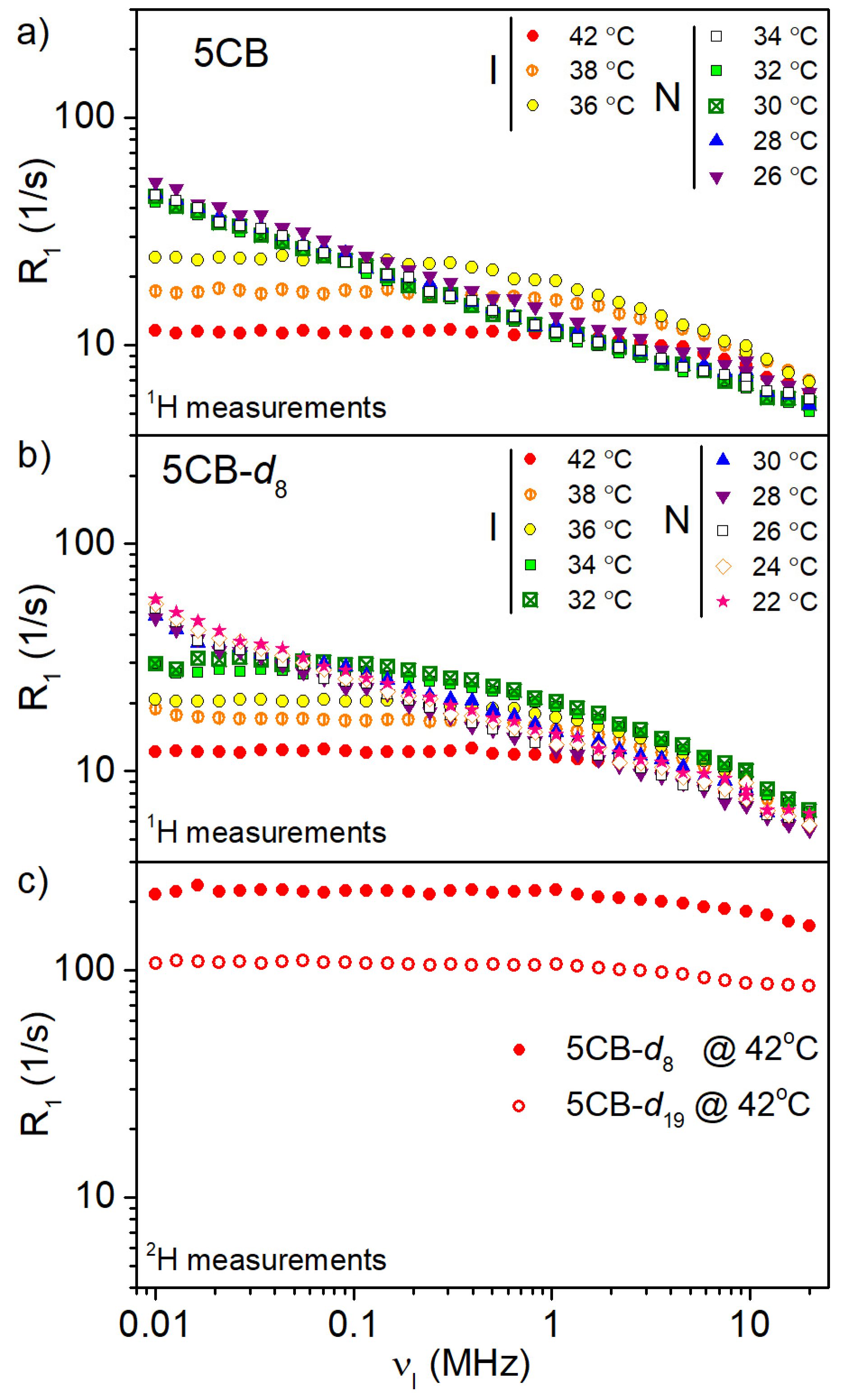
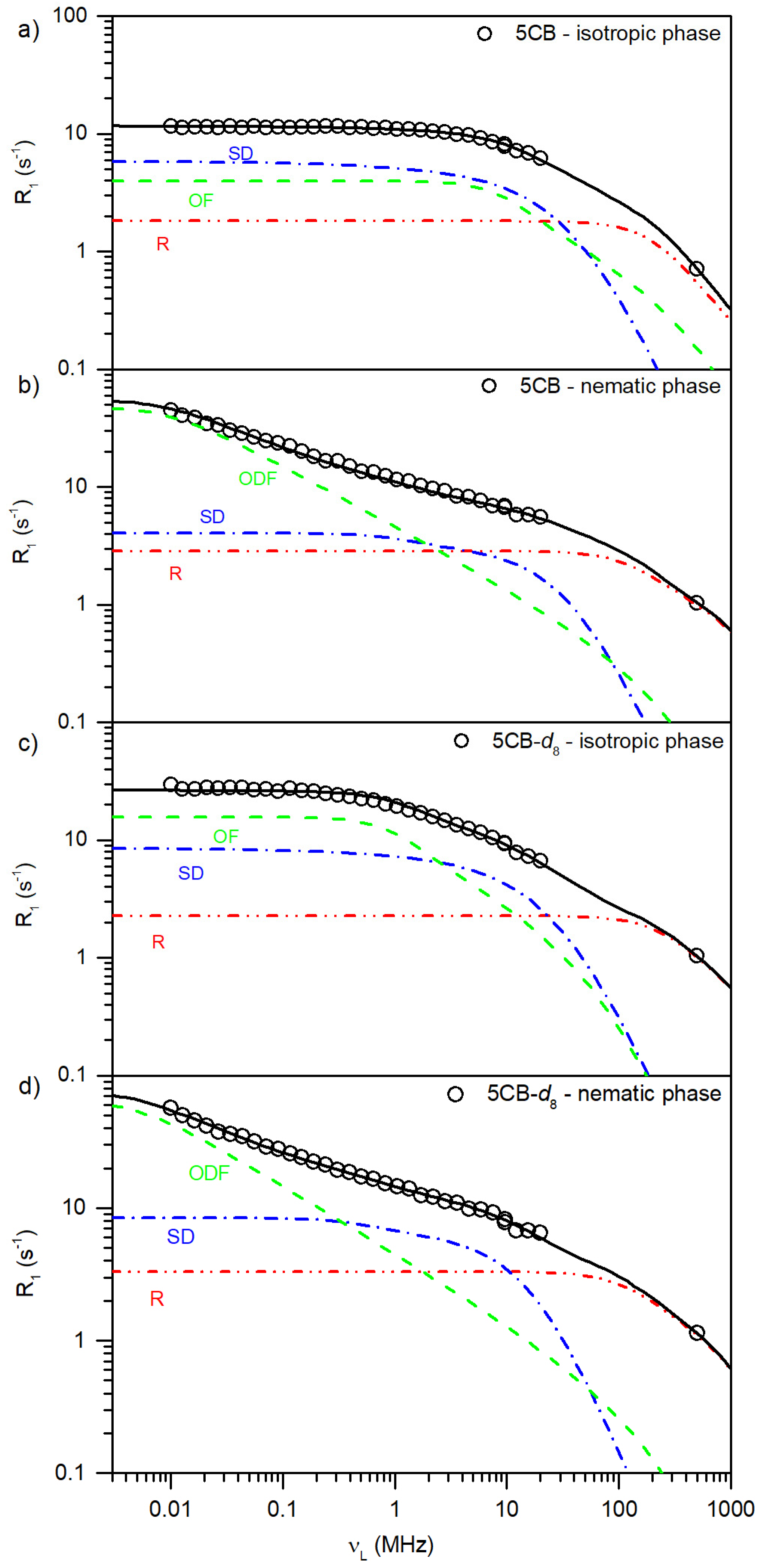
3.5. NMR Relaxometry Study
- Local rotations/reorientations (R) of LC molecule around the molecular axis; the Woessner model with appropriate modifications was used to describe the dynamics in the isotropic and nematic phases.
- Translational self-diffusion (SD) is a type of motion that can be affected by local structure. In the isotropic phase, we used the Torrey model for the isotropic self-diffusion constant. In the nematic phase, the model was extended using the Zumer and Vilfan approach to account for anisotropy of the D constant parallel and perpendicular.
- Order director fluctuations (ODF) describe the orientational fluctuations of nematic director n with respect to its time-average orientation. This model reflects the collective reorientational motions of the mesogenic molecules.
- The local order fluctuations (OF) are a contribution that can occur in the isotropic phase just above the N/I temperature, showing square-root power law dependence. Both ODF and OF are collective-type motions that can give similar fits but with different model parameter values.
4. Conclusions
Author Contributions
Funding
Data Availability Statement
Conflicts of Interest
References
- Yang, K.L.; Cadwell, K.; Abbott, N.L. Use of self-assembled monolayers, metal ions and smectic liquid crystals to detect organophosphonates. Sens. Actuators B Chem. 2005, 104, 50–56. [Google Scholar] [CrossRef]
- Prakash, J.; Parveen, A.; Mishra, Y.K.; Kaushik, A. Nanotechnology-assisted liquid crystals-based biosensors: Towards fundamental to advanced applications. Biosens. Bioelectron. 2020, 168, 112562. [Google Scholar] [CrossRef]
- White, T.J.; Cazzell, S.A.; Freer, A.S.; Yang, D.-K.; Sukhomlinova, L.; Su, L.; Kosa, T.; Taheri, B.; Bunning, T.J. Widely tunable, photoinvertible cholesteric liquid crystals. Adv. Mater. 2011, 23, 1389–1392. [Google Scholar] [CrossRef]
- Cervini, R.; Simon, G.P.; Ginic-Markovic, M.; Matisons, J.G.; Huynh, C.; Hawkins, S. Aligned silane-treated MWCNT/liquid crystal polymer films. Nanotechnology 2008, 19, 175602. [Google Scholar] [CrossRef] [PubMed][Green Version]
- Keum, C.; Becker, D.; Archer, E.; Bock, H.; Kitzerow, H.; Gather, M.C.; Murawski, C. Organic Light-Emitting Diodes Based on a Columnar Liquid-Crystalline Perylene Emitter. Adv. Opt. Mater. 2020, 8, 2000414. [Google Scholar] [CrossRef]
- Hou, J.G.; Zhao, W.; Zhou, G.; Liu, D.; Broer, D.J.; Feringa, B.L.; Chen, J. Phototriggered Complex Motion by Programmable Construction of Light-Driven Molecular Motors in Liquid Crystal Networks. JACS 2022, 144, 6851–6860. [Google Scholar] [CrossRef]
- Cherian, S.; Donley, C.; Mathine, D.; LaRussa, L.; Xia, W.; Armstrong, N. Effects of field dependent mobility and contact barriers on liquid crystalline phthalocyanine organic transistors. J. Appl. Phys. 2004, 96, 5638–5643. [Google Scholar] [CrossRef]
- Coles, H.; Morris, S. Liquid-crystal lasers. Nat. Photon. 2010, 4, 676–685. [Google Scholar] [CrossRef]
- Humar, M.; Musevic, I. 3D microlasers from self-assembled cholesteric liquid-crystal microdroplets. Opt. Express 2010, 18, 26995–27003. [Google Scholar] [CrossRef]
- Yokoyama, S.; Mashiko, S.; Kikuchi, H.; Uchida, K.; Nakamura, T. Laser emission from a polymer-stabilized liquid-crystalline blue phase. Adv. Mater. 2006, 18, 48–51. [Google Scholar] [CrossRef]
- Xu, J.; Yang, R.; Fan, Y.; Fu, Q.; Zhang, F. A Review of Tunable Electromagnetic Metamaterials with Anisotropic Liquid Crystals. Front. Phys. 2021, 9, 633104. [Google Scholar] [CrossRef]
- Reinitzer, F. Beiträge zur Kenntniss des Cholesterins. Monatshefte Für Chem. 1888, 9, 421–441. [Google Scholar] [CrossRef]
- Wu, S.T. Infrared Properties of Nematic Liquid-Crystals—An Overview. Opt. Eng. 1987, 26, 120–128. [Google Scholar] [CrossRef]
- Wu, S.T.; Cox, R.J. Potential infrared liquid crystals. Liq. Cryst. 1989, 5, 1415–1424. [Google Scholar] [CrossRef]
- Pytlarczyk, M.; Gaczoł, K.; Harmata, P.; Dziaduszek, J.; Herman, J. Nematic stability of 2,2′,4-trifluoro-4″-alkyl-[1,1′:4′,1″]terphenyls and its deuterated isotopologue. J. Mol. Liq. 2021, 335, 116162. [Google Scholar] [CrossRef]
- Dobson, C.A.; Morris, S.M.; Qasim, M.M.; Gardiner, D.J.; Wilkinson, T.D.; Coles, H.J. Wavelength-tuneable liquid crystal lasers from the visible to the near-infrared. Proc. SPIE 2011, 8114, 81140T-1. [Google Scholar] [CrossRef]
- Cheng, Z.; Wang, T.; Li, X.; Zhang, Y.; Yu, H. NIR–Vis–UV light-responsive actuator films of polymer-dispersed liquid crystal/graphene oxide nanocomposites. ACS Appl. Mater. Interfaces 2015, 7, 27494–27501. [Google Scholar] [CrossRef] [PubMed]
- Wu, S.T.; Wang, Q.-H.; Kempe, M.D.; Kornfield, J.A. Perdeuterated cyanobiphenyl liquid crystals for infrared applications. J. Appl. Phys. 2002, 92, 7146–7148. [Google Scholar] [CrossRef]
- Gray, G.W.; Mosley, A. The Synthesis of Deuterated 4-n-Alkyl-40-Cyanobiphenyls. Mol. Cryst. Liq. Cryst. 1978, 48, 233–242. [Google Scholar] [CrossRef]
- Kula, P.; Herman, J.; Harmata, P.; Czerwiński, M. NIR, and MWIR transparent liquid crystals. In Proceedings of the 2014 39th International Conference on Infrared, Millimeter, and Terahertz Waves (IRMMW-THz), Tucson, AZ, USA, 14–19 September 2014; pp. 1–2. [Google Scholar] [CrossRef]
- Kula, P.; Bennis, N.; Marć, P.; Harmata, P.; Gacioch, K.; Morawiak, P.; Jaroszewicz, L.R. Perdeuterated liquid crystals for near-infrared applications. Opt. Mater. 2016, 60, 209–213. [Google Scholar] [CrossRef]
- Zak, M.; Herman, J.; Czerwiński, M.; Arakawa, Y.; Tsuji, H.; Kula, P. Deuterated Liquid Crystals—Design and synthesis of deuterium-labeled 4,4″-dialkyl-2′,3′-difluoro-[1,1′:4′,1″]terphenyls using batch and continuous flow systems. Liq. Cryst. 2022, 50, 622–635. [Google Scholar] [CrossRef]
- Pytlarczyk, M.; Herman, J.; Arakawa, Y.; Tsuji, H.; Kula, P. Deuterated Liquid Crystals—Practical synthesis of deuterium-labeled 4-alkyl-4″-isothiocyanato-[1,1′:4′,1″]terphenyls. J. Mol. Liq. 2022, 345, 117847. [Google Scholar] [CrossRef]
- Williams, G. Time-correlation functions and molecular motion. Chem. Soc. Rev. 1978, 7, 89–131. [Google Scholar] [CrossRef]
- Levit, M.H. Spin Dynamics: Basics of Nuclear Magnetic Resonance, 2nd ed.; John Wiley & Sons Ltd.: West Sussex, UK, 2008. [Google Scholar]
- Kruk, D. Understanding Spin Dynamics, 1st ed.; Pan Stanford Publishing Pte Ltd.: Olsztyn, Poland, 2016. [Google Scholar]
- Khashami, F. Fundamentals of NMR and MRI: From Quantum Principles to Medical Applications, 1st ed.; Springer Nature: Cham, Switzerland, 2024. [Google Scholar]
- Anoardo, E.; Galli, G.; Ferrante, G. Ferrante Fast-Field-Cycling NMR: Applications and Instrumentations. Appl. Magn. Reson. 2001, 20, 365–404. [Google Scholar] [CrossRef]
- Parigi, G.; Ravera, E.; Fragai, M.; Luchinat, C. Unveiling protein dynamics in solution with field-cycling NMR relaxometry. Prog. Nucl. Magn. Reson. Spectrosc. 2021, 124–125, 85–98. [Google Scholar] [CrossRef]
- Korb, J.-P. Multiscale nuclear magnetic relaxation dispersion of complex liquids in bulk and confinement. Prog. Nucl. Magn. Reson. Spectrosc. 2018, 104, 12–55. [Google Scholar] [CrossRef]
- Noack, F. NMR field-cycling spectroscopy: Principles and applications. Prog. Nucl. Magn. Reson. Spectrosc. 1986, 18, 171–276. [Google Scholar] [CrossRef]
- Kimmich, R.; Anoardo, E. Field-cycling NMR relaxometry. Prog. Nucl. Magn. Reson. Spectrosc. 2004, 44, 257–320. [Google Scholar] [CrossRef]
- Kripotou, S.; Georgopoulos, D.; Kyritsis, A.; Pissis, P. Phase Transitions and Molecular Mobility in 5CB and CE8 Studied by Dielectric Techniques. Mol. Cryst. Liq. Cryst. 2015, 623, 407–423. [Google Scholar] [CrossRef]
- Nordio, P.L.; Busolin, P. Electron Spin Resonance Line Shapes in Partially Oriented Systems. J. Chem. Phys. 1971, 55, 5485. [Google Scholar] [CrossRef]
- Sebastião, P.J.; Gradišek, A.; Pinto, L.F.V.; Apih, T.; Godinho, M.H.; Vilfan, M. Fast Field-Cycling NMR Relaxometry Study of Chiral and Nonchiral Nematic Liquid Crystals. J. Phys. Chem. B 2011, 115, 14348. [Google Scholar] [CrossRef] [PubMed]
- Torrey, H.C. Nuclear Spin Relaxation by Translational Diffusion. Phys. Rev. 1953, 92, 962. [Google Scholar] [CrossRef]
- Sebastião, P.J. The art of model fitting to experimental results. Eur. J. Phys. 2014, 35, 015017. [Google Scholar] [CrossRef]
- Žumer, S.; Vilfan, M. Theory of nuclear-spin relaxation by translational self-diffusion in liquid-crystals—Nematic phase. Phys. Rev. A 1978, 17, 424. [Google Scholar] [CrossRef]
- Roy, D.; Fragiadakis, D.; Roland, C.M.; Dąbrowski, R.; Dziaduszek, J.; Urban, S. Phase Behavior and Dynamics of a Cholesteric Liquid Crystal. J. Chem. Phys. 2014, 140, 074502. [Google Scholar] [CrossRef]








| Acronym | Chemical Structure | Chemical Purity | Isotopic Purity |
|---|---|---|---|
| 5CB | ![]() | 99.8% | 1H—100% |
| 5CB-d8 | ![]() | 99.4% | 2H total—47% 2H rings—96% 2H chain—11% |
| 5CB-d19 | ![]() | 99.5% | 2H total—96% 2H rings—93% 2H chain—97% |
| Sample | Phase Transition Temperature/°C from DSC | TI/N/°C from POM | |||||||
|---|---|---|---|---|---|---|---|---|---|
| Heating | Cooling | Cooling | |||||||
| Glass Tr | Cold Cr | Cr/N | N/I | I/N | Partial Cr | Glass Tr | Cr | ||
| 5CB | −68.1 | −29.5 | 23.7 | 34.8 | 32.7 | −28.4 | −69.1 | -- | 34.2 |
| 5CB-d8 | −67.1 | −18.6 | 18.4 | 27.7 | 25.0 | -- | −67.5 | −115.2 | 27.6–25.8 |
| 5CB-d19 | −69.3 | −26.6 | 21.5 | 32.5 | 30.7 | −18.9 | −69.1 | −103.5 | 32.0–31.7 |
| Sample | Δε (1.1 kHz, TI/N-5 °C) | Uth (1.1 kHz, TI/N-5 °C) |
| 5CB | 10.5 | 4.4 |
| 5CB-d8 | 9.1 | 6.6 |
| 5CB-d19 | 10.1 | 3.9 |
| Δε (1.1 kHz, TI/N-10 °C) | Uth (1.1 kHz, TI/N-10 °C) | |
| 5CB | 11.9 | 4.4 |
| 5CB-d8 | 10.7 | 6.5 |
| 5CB-d19 | 11.4 | 4 |
| Δε (1.1 kHz, TI/N-15 °C) | Uth (1.1 kHz, TI/N-15 °C) | |
| 5CB | 12.8 | 4.4 |
| 5CB-d8 | 11.7 | 6.9 |
| 5CB-d19 | 12.2 | 4.3 |
| Δε (1.1 kHz, TI/N-20 °C) | Uth (1.1 kHz, TI/N-20 °C) | |
| 5CB | 13.3 | 4.4 |
| 5CB-d8 | 12.5 | 6.9 |
| 5CB-d19 | 12.8 | 5 |
| Fitting Parameter | 5CB, 42 °C | 5CB-d8, 34 °C | 1/T1 Model |
|---|---|---|---|
| τz/s | 3.30 × 10−10 | 4.67 × 10−9 | R |
| τx/s | 5.02 × 10−8 | 5.48 × 10−8 | R |
| D/m2s−1 | 1.59 × 10−11 | 1.08 × 10−11 | SDi |
| AOF/s−3/2 | 1.04 × 104 | 1.30 × 104 | OF |
| /Hz | 4.59 × 105 | 1.59 × 104 | OF |
| /Hz | 9.00 × 108 | 1.00 × 108 | OF |
| Fitting Parameter | 5CB, 30 °C | 5CB-d8, 22 °C | 1/T1 Model |
|---|---|---|---|
| τz/s | 4.05 × 10−9 | 3.14 × 10−9 | R |
| τx/s | 1.84 × 10−8 | 1.68 × 10−8 | R |
| τD/s | 3.09 × 10−9 | 6.43 × 10−9 | SDa |
| AODF/s−3/2 | 4.78 × 103 | 4.69 × 103 | ODF |
| /Hz | 8.00 × 103 | 4.31 × 103 | ODF |
| /Hz | 5.00 × 108 | 3.88 × 108 | ODF |
Disclaimer/Publisher’s Note: The statements, opinions and data contained in all publications are solely those of the individual author(s) and contributor(s) and not of MDPI and/or the editor(s). MDPI and/or the editor(s) disclaim responsibility for any injury to people or property resulting from any ideas, methods, instructions or products referred to in the content. |
© 2024 by the authors. Licensee MDPI, Basel, Switzerland. This article is an open access article distributed under the terms and conditions of the Creative Commons Attribution (CC BY) license (https://creativecommons.org/licenses/by/4.0/).
Share and Cite
Tritt-Goc, J.; Knapkiewicz, M.; Harmata, P.; Herman, J.; Bielejewski, M. Molecular Dynamics, Dielectric Properties, and Textures of Protonated and Selectively Deuterated 4′-Pentyl-4-biphenylcarbonitrile Liquid Crystal. Materials 2024, 17, 5106. https://doi.org/10.3390/ma17205106
Tritt-Goc J, Knapkiewicz M, Harmata P, Herman J, Bielejewski M. Molecular Dynamics, Dielectric Properties, and Textures of Protonated and Selectively Deuterated 4′-Pentyl-4-biphenylcarbonitrile Liquid Crystal. Materials. 2024; 17(20):5106. https://doi.org/10.3390/ma17205106
Chicago/Turabian StyleTritt-Goc, Jadwiga, Magdalena Knapkiewicz, Piotr Harmata, Jakub Herman, and Michał Bielejewski. 2024. "Molecular Dynamics, Dielectric Properties, and Textures of Protonated and Selectively Deuterated 4′-Pentyl-4-biphenylcarbonitrile Liquid Crystal" Materials 17, no. 20: 5106. https://doi.org/10.3390/ma17205106
APA StyleTritt-Goc, J., Knapkiewicz, M., Harmata, P., Herman, J., & Bielejewski, M. (2024). Molecular Dynamics, Dielectric Properties, and Textures of Protonated and Selectively Deuterated 4′-Pentyl-4-biphenylcarbonitrile Liquid Crystal. Materials, 17(20), 5106. https://doi.org/10.3390/ma17205106




