Increase in Auxeticity Due to the Presence of a Disordered Crystalline Phase of Hard Dumbbells Within the Nanolayer–Nanochannel Inclusion Introduced to the f.c.c. Hard Sphere Crystal
Abstract
1. Introduction
2. The Model
3. The Method
3.1. Elastic Properties
3.2. Computation Details
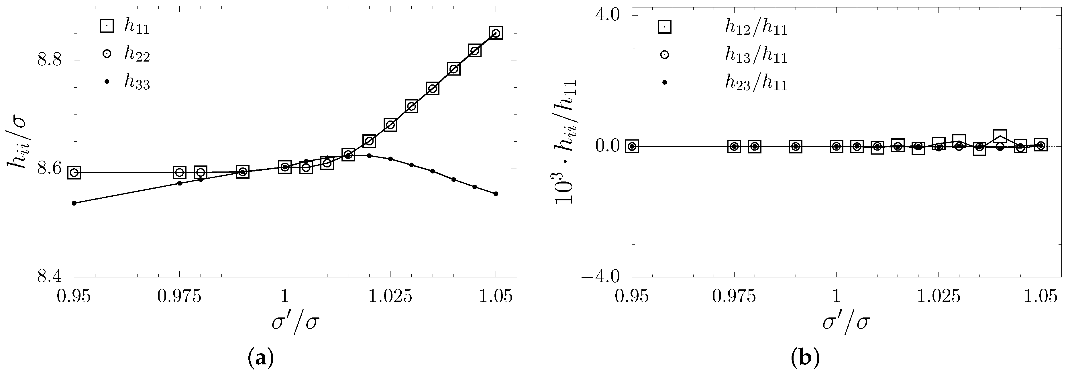
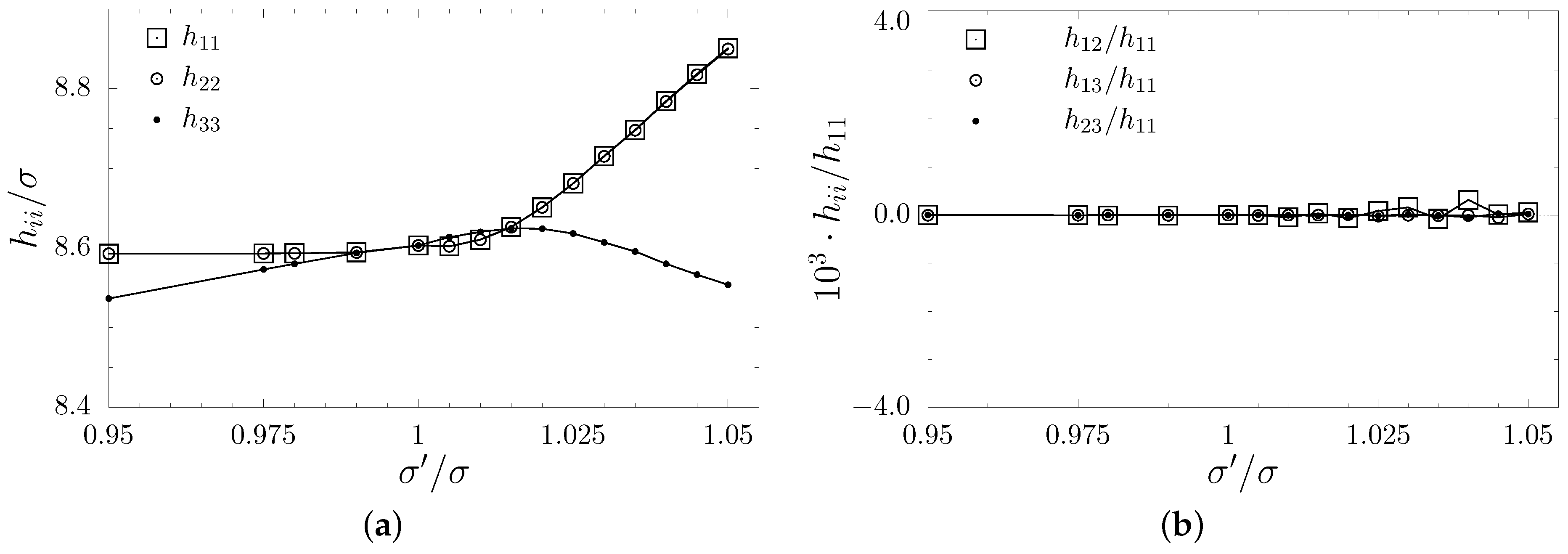
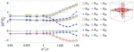
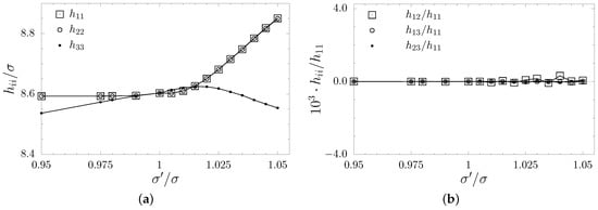
4. Results and Discussion
5. Conclusions
Author Contributions
Funding
Data Availability Statement
Acknowledgments
Conflicts of Interest
Abbreviations
| PR | Poisson’s ratio |
| HS | Hard Sphere |
| MC | Monte Carlo |
References
- Landau, L.D.; Lifshitz, E.M. Theory of Elasticity; Pergamon Press: London, UK, 1986. [Google Scholar]
- Baughman, R.H.; Shacklette, J.M.; Zakhidov, A.A.; Stafstrom, S. Negative Poisson’s ratios as a common feature of cubic metals. Nature 1998, 392, 362–365. [Google Scholar] [CrossRef]
- Evans, K.E. Auxetic polymers: A new range of materials. Endeavour 1991, 15, 170–174. [Google Scholar] [CrossRef]
- Lim, T.C. Auxetic Materials and Structures; Springer: Singapore, 2015. [Google Scholar] [CrossRef]
- Lakes, R.S. Foam structures with a negative Poisson’s ratio. Science 1987, 235, 1038–1040. [Google Scholar] [CrossRef] [PubMed]
- Wojciechowski, K.W. Constant thermodynamic tension Monte Carlo studies of elastic properties of a two-dimensional system of hard cyclic hexamers. Mol. Phys. 1987, 61, 1247–1258. [Google Scholar] [CrossRef]
- Wojciechowski, K.W. Two-dimensional isotropic model with a negative Poisson ratio. Phys. Lett. A 1989, 137, 60–64. [Google Scholar] [CrossRef]
- Wojciechowski, K.W.; Brańka, A.C. Negative Poisson ratio in a two-dimensional isotropic solid. Phys. Rev. A 1989, 40, 7222–7225. [Google Scholar] [CrossRef]
- Kapnisi, M.; Mansfield, C.; Marijon, C.; Guex, A.G.; Perbellini, F.; Bardi, I.; Humphrey, E.J.; Puetzer, J.L.; Mawad, D.; Koutsogeorgis, D.C.; et al. Auxetic Cardiac Patches with Tunable Mechanical and Conductive Properties toward Treating Myocardial Infarction. Adv. Funct. Mater. 2018, 28, 1800618. [Google Scholar] [CrossRef]
- Kaufman, J.; Farsad, K.; Chinubhai, A.; Bonsignore, C.; Al-Hakim, R. Auxetic Stent Increases Venous Inflow Lumen in an Ovine Animal Model. J. Vasc. Interv. Radiol. 2023, 34, S46–S47. [Google Scholar] [CrossRef]
- Meeusen, L.; Candidori, S.; Micoli, L.L.; Guidi, G.; Stanković, T.; Graziosi, S. Auxetic structures used in kinesiology tapes can improve form-fitting and personalization. Sci. Rep. 2022, 12, 13509. [Google Scholar] [CrossRef]
- Duncan, O.; Foster, L.; Senior, T.; Alderson, A.; Allen, T. Quasi-static characterisation and impact testing of auxetic foam for sports safety applications. Smart Mater. Struct. 2016, 25, 054014. [Google Scholar] [CrossRef]
- Duncan, O.; Shepherd, T.; Moroney, C. Review of auxetic materials for sports applications: Expanding options in comfort and protection. Appl. Sci. 2018, 8, 941. [Google Scholar] [CrossRef]
- Chang, Y.; Hu, H. 3D Fabrics with Negative Poisson’s Ratio: A Review. Appl. Compos. Mater. 2022, 29, 95–108. [Google Scholar] [CrossRef]
- Smardzewski, J.; Klos, R.; Fabisiak, B. Design of small auxetic springs for furniture. Mater. Des. 2013, 51, 723–728. [Google Scholar] [CrossRef]
- Kuskun, T.; Kasal, A.; Caglayan, G.; Ceylan, E.; Bulca, M.; Smardzewski, J. Optimization of the Cross-Sectional Geometry of Auxetic Dowels for Furniture Joints. Materials 2023, 16, 2838. [Google Scholar] [CrossRef] [PubMed]
- Prawoto, Y. Seeing auxetic materials from the mechanics point of view: A structural review on the negative Poisson’s ratio. Comput. Mater. Sci. 2012, 58, 140–153. [Google Scholar] [CrossRef]
- Saxena, K.K.; Das, R.; Calius, E.P. Three Decades of Auxetics Research—Materials with Negative Poisson’s Ratio: A Review. Adv. Eng. Mater. 2016, 18, 1847–1870. [Google Scholar] [CrossRef]
- Lakes, R. Negative-Poisson’s-Ratio Materials: Auxetic Solids. Annu. Rev. Mater. Res. 2017, 47, 63–81. [Google Scholar] [CrossRef]
- Ren, X.; Das, R.; Tran, J.P.; Ngo, T. Auxetic metamaterials and structures: A review. Smart Mater. Struct. 2018, 27, 023001. [Google Scholar] [CrossRef]
- Li, X.; Peng, W.; Wu, W.; Xiong, J.; Lu, Y. Auxetic mechanical metamaterials: From soft to stiff. Int. J. Extrem. Manuf. 2023, 5, 042003. [Google Scholar] [CrossRef]
- Alderson, K.; Nazaré, S.; Alderson, A. Large-scale extrusion of auxetic polypropylene fibre. Phys. Status Solidi B-Basic Solid State Phys. 2016, 253, 1279–1287. [Google Scholar] [CrossRef]
- Verma, P.; He, C.B.; Griffin, A.C. Implications for Auxetic Response in Liquid Crystalline Polymers: X-Ray Scattering and Space-Filling Molecular Modeling. Phys. Status Solidi B-Basic Solid State Phys. 2020, 257, 2000261. [Google Scholar] [CrossRef]
- Novak, N.; Vesenjak, M.; Kennedy, G.; Thadhani, N.; Ren, Z. Response of Chiral Auxetic Composite Sandwich Panel to Fragment Simulating Projectile Impact. Phys. Status Solidi B-Basic Solid State Phys. 2020, 257, 1900099. [Google Scholar] [CrossRef]
- Portone, F.; Amorini, M.; Montanari, M.; Pinalli, R.; Pedrini, A.; Verucchi, R.; Brighenti, R.; Dalcanale, E. Molecular Auxetic Polymer of Intrinsic Microporosity via Conformational Switching of a Cavitand Crosslinker. Adv. Funct. Mater. 2023, 33, 2307605. [Google Scholar] [CrossRef]
- Allen, T.; Hewage, T.; Newton-Mann, C.; Wang, W.; Duncan, O.; Alderson, A. Fabrication of Auxetic Foam Sheets for Sports Applications. Phys. Status Solidi B-Basic Solid State Phys. 2017, 254, 1700596. [Google Scholar] [CrossRef]
- Cheng, H.C.; Scarpa, F.; Panzera, T.H.; Farrow, I.; Peng, H.X. Shear Stiffness and Energy Absorption of Auxetic Open Cell Foams as Sandwich Cores. Phys. Status Solidi B-Basic Solid State Phys. 2019, 256, 1800411. [Google Scholar] [CrossRef]
- Duncan, O.; Clegg, F.; Essa, A.; Bell, A.M.T.; Foster, L.; Allen, T.; Alderson, A. Effects of Heat Exposure and Volumetric Compression on Poisson’s Ratios, Young’s Moduli, and Polymeric Composition During Thermo-Mechanical Conversion of Auxetic Open Cell Polyurethane Foam. Phys. Status Solidi B-Basic Solid State Phys. 2019, 256, 1800393. [Google Scholar] [CrossRef]
- Zulifqar, A.; Hu, H. Development of Bi-Stretch Auxetic Woven Fabrics Based on Re-Entrant Hexagonal Geometry. Phys. Status Solidi B-Basic Solid State Phys. 2019, 256, 1800172. [Google Scholar] [CrossRef]
- Jiang, N.; Hu, H. Auxetic Yarn Made with Circular Braiding Technology. Phys. Status Solidi B-Basic Solid State Phys. 2019, 256, 1800168. [Google Scholar] [CrossRef]
- Zulifqar, A.; Hua, T.; Hu, H. Single- and Double-Layered Bistretch Auxetic Woven Fabrics Made of Nonauxetic Yarns Based on Foldable Geometries. Phys. Status Solidi B-Basic Solid State Phys. 2020, 257, 1900156. [Google Scholar] [CrossRef]
- Tahir, D.; Zhang, M.; Hu, H. Auxetic Materials for Personal protection: A review. Phys. Status Solidi B-Basic Solid State Phys. 2022, 259, 2200324. [Google Scholar] [CrossRef]
- Dudek, K.K.; Martinez, J.A.I.; Ulliac, G.; Kadic, M. Micro-Scale Auxetic Hierarchical Mechanical Metamaterials for Shape Morphing. Adv. Mater. 2022, 34, 2110115. [Google Scholar] [CrossRef] [PubMed]
- Milton, G. Composite materials with Poisson’s ratios close to −1. J. Mech. Phys. Solids 1992, 40, 1105–1137. [Google Scholar] [CrossRef]
- Sigmund, O. Tailoring materials with prescribed elastic properties. Mech. Mater. 1995, 20, 351–368. [Google Scholar] [CrossRef]
- Hoover, W.G.; Hoover, C.G. Searching for auxetics with DYNA3D and ParaDyn. Phys. Status Solidi B-Basic Solid State Phys. 2005, 242, 585–594. [Google Scholar] [CrossRef]
- Scarpa, F.; Adhikari, S.; Phani, A.S. Effective elastic mechanical properties of single layer graphene sheets. Nanotechnology 2009, 20, 065709. [Google Scholar] [CrossRef]
- Lim, T.C. Analogies across auxetic models based on deformation mechanism. Phys. Status Solidi-Rapid Res. Lett. 2017, 11, 1600440. [Google Scholar] [CrossRef]
- Shufrin, I.; Pasternak, E.; Dyskin, A.V. Effective properties of layered auxetic hybrids. Compos. Struct. 2019, 209, 391–400. [Google Scholar] [CrossRef]
- Rysaeva, L.K.; Lisovenko, D.S.; Gorodtsov, V.A.; Baimova, J.A. Stability, elastic properties and deformation behavior of graphene-based diamond-like phases. Comput. Mater. Sci. 2020, 172, 109355. [Google Scholar] [CrossRef]
- Grima, J.N.; Evans, K.E. Auxetic behavior from rotating squares. J. Mater. Sci. Lett. 2000, 19, 1563–1565. [Google Scholar] [CrossRef]
- Peliński, K.; Smardzewski, J.; Narojczyk, J. Stiffness of synclastic wood-based auxetic sandwich panels. Phys. Status Solidi B-Basic Solid State Phys. 2020, 257, 1900749. [Google Scholar] [CrossRef]
- Korznikova, E.A.; Zhou, K.; Galiakhmetova, L.K.; Soboleva, E.G.; Kudreyko, A.A.; Dmitriev, S.V. Partial Auxeticity of Laterally Compressed Carbon Nanotube Bundles. Phys. Status Solidi-Rapid Res. Lett. 2022, 16, 2100189. [Google Scholar] [CrossRef]
- Lakes, R.S.; Huey, B.; Goyal, K. Extended Poisson’s ratio range in chiral isotropic elastic materials. Phys. Status Solidi B-Basic Solid State Phys. 2022, 259, 2200336. [Google Scholar] [CrossRef]
- Grima-Cornish, J.N.; Attard, D.; Vella-Żarb, L.; Grima, J.N.; Evans, K.E. Boron Arsenate Scaled-Up: An Enhanced Nano-Mimicking Mechanical Metamaterial. Phys. Status Solidi B-Basic Solid State Phys. 2022, 259, 2200368. [Google Scholar] [CrossRef]
- Brizzi, D.D.; Graziosi, S.; Bondin, W.; Grima, J.N.; Airoldi, A. On the behavior of auxetic inserts: A numerical analysis to derive design guidelines. Smart Mater. Struct. 2024, 33, 075018. [Google Scholar] [CrossRef]
- Lim, T.C. Auxetic and Non-Auxetic Metamaterial Model from Interconnected Rotating Parallelograms and Triangles. Phys. Status Solidi B-Basic Solid State Phys. 2023, 2300413. [Google Scholar] [CrossRef]
- Lim, T.C. Auxetic System Based on Rotating Hexagons and Triangles. Phys. Status Solidi B-Basic Solid State Phys. 2024, 261, 2300586. [Google Scholar] [CrossRef]
- Strek, T.; Maruszewski, B.; Narojczyk, J.W.; Wojciechowski, K.W. Finite element analysis of auxetic plate deformation. J. Non-Cryst. Solids 2008, 354, 4475–4480. [Google Scholar] [CrossRef]
- Strek, T.; Kedziora, P.; Maruszewski, B.; Pozniak, A.A.; Tretiakov, K.V.; Wojciechowski, K. Finite element analysis of auxetic obstacle deformation and fluid flow in a channel. J. Non-Cryst. Solids 2009, 355, 1387–1392. [Google Scholar] [CrossRef]
- Strek, T.; Matuszewska, A.; Jopek, H. Finite element analysis of the influence of the covering auxetic layer of plate on the contact pressure. Phys. Status Solidi B-Basic Solid State Phys. 2017, 254, 1700103. [Google Scholar] [CrossRef]
- Shepherd, T.; Winwood, K.; Venkatraman, P.; Alderson, A.; Allen, T. Validation of a Finite Element Modeling Process for Auxetic Structures under Impact. Phys. Status Solidi B-Basic Solid State Phys. 2020, 257, 1900197. [Google Scholar] [CrossRef]
- Tretiakov, K.V. Negative Poisson’s ratio of two-dimensional hard cyclic tetramers. J. Non-Cryst. Solids 2009, 355, 1435–1438. [Google Scholar] [CrossRef]
- Tretiakov, K.V.; Wojciechowski, K.W. Elastic properties of fcc crystals of polydisperse soft spheres. Phys. Status Solidi B-Basic Solid State Phys. 2013, 250, 2020–2029. [Google Scholar] [CrossRef]
- Tretiakov, K.V.; Wojciechowski, K.W. Auxetic, partially auxetic, and nonauxetic behaviour in 2D crystals of hard cyclic tetramers. Phys. Status Solidi-Rapid Res. Lett. 2020, 14, 2000198. [Google Scholar] [CrossRef]
- Piglowski, P.M.; Narojczyk, J.W.; Poźniak, A.A.; Wojciechowski, K.W.; Tretiakov, K.V. Auxeticity of Yukawa systems with nanolayers in the (111) crystallographic plane. Materials 2017, 10, 1338. [Google Scholar] [CrossRef] [PubMed]
- Hyzorek, K.; Tretiakov, K.V. Thermal conductivity of liquid argon in nanochannels from molecular dynamics simulations. J. Chem. Phys. 2016, 144, 194507. [Google Scholar] [CrossRef]
- Pieprzyk, S.; Yevchenko, T.; Dardas, D.; Brańka, A.C. Phase transitions and physical properties by a color texture analysis: Results for liquid crystals. J. Mol. Liq. 2022, 362, 119699. [Google Scholar] [CrossRef]
- Dardas, D. Survey of Applicable Methods for Determining Viscoelastic Effects in Ferroelectric and Antiferroelectric Chiral Liquid Crystals. Materials 2024, 17, 3993. [Google Scholar] [CrossRef]
- Narojczyk, J.W.; Wojciechowski, K.W.; Tretiakov, K.V.; Smardzewski, J.; Scarpa, F.; Piglowski, P.M.; Kowalik, M.; Imre, A.R.; Bilski, M. Auxetic properties of a f.c.c. crystal of hard spheres with an array of [001]-nanochannels filled by hard spheres of another diameter. Phys. Status Solidi B-Basic Solid State Phys. 2019, 256, 1800611. [Google Scholar] [CrossRef]
- Narojczyk, J.W.; Wojciechowski, K.W.; Smardzewski, J.; Imre, A.R.; Grima, J.N.; Bilski, M. Cancellation of auxetic properties in f.c.c. hard sphere crystals by hybrid layer-channel nanoinclusions filled by hard spheres of another diameter. Materials 2021, 14, 3008. [Google Scholar] [CrossRef]
- Wojciechowski, K.W.; Narojczyk, J.W. Influence of disorder on the Poisson’s ratio of static solids in two dimensions. Rev. Adv. Mater. Sci. 2006, 12, 120–126. [Google Scholar]
- Narojczyk, J.W.; Wojciechowski, K.W. Elastic properties of the fcc crystals of soft spheres with size dispersion at zero temperature. Phys. Status Solidi B-Basic Solid State Phys. 2008, 245, 606–613. [Google Scholar] [CrossRef]
- Tretiakov, K.V.; Wojciechowski, K.W. Elasticity of two-dimensional crystals of polydisperse hard disks near close packing: Surprising behavior of the Poisson’s ratio. J. Chem. Phys. 2012, 136, 204506. [Google Scholar] [CrossRef] [PubMed]
- Wojciechowski, K.W. Solid phases of two-dimensional hard dumb-bells in the free volume approximation: Crystal-aperiodic-solid phase transition. Phys. Lett. A 1987, 122, 377–384. [Google Scholar] [CrossRef]
- Wojciechowski, K.W.; Frenkel, D.; Brańka, A.C. Nonperiodic solid phase in a two-dimensional hard-dimer system. Phys. Rev. Lett. 1991, 67, 3168–3171. [Google Scholar] [CrossRef] [PubMed]
- Wojciechowski, K.W. Degenerate crystalline phase in a two-dimensional system of hard dimers. Mod. Phys. Lett. B 1991, 5, 1843–1851. [Google Scholar] [CrossRef]
- Tretiakov, K.V.; Wojciechowski, K.W. Poisson’s ratio of simple planar ‘isotropic’ solids in two dimensions. Phys. Status Solidi B-Basic Solid State Phys. 2007, 244, 1038–1046. [Google Scholar] [CrossRef]
- Wojciechowski, K.W.; Brańka, A.C.; Frenkel, D. Monte Carlo simulation of a two-dimensional hard dimer system. Phys. A 1993, 196, 519–545. [Google Scholar] [CrossRef]
- Wojciechowski, K.W. Monte Carlo simulation of highly anisotropic two-dimensional hard dumbbel-shaped molecules: Nonperiodic phase between fluid and dense solid. Phys. Rev. B 1992, 46, 26–38. [Google Scholar] [CrossRef]
- Vega, C.; Paras, E.P.A.; Monson, P.A. Solid–fluid equilibria for hard dumbbells via Monte Carlo simulation. J. Chem. Phys. 1992, 96, 9060–9072. [Google Scholar] [CrossRef]
- Narojczyk, J.W.; Kowalik, M.; Wojciechowski, K.W. Influence of nanochannels on Poisson’s ratio of degenerate crystal of hard dimers. Phys. Status Solidi B-Basic Solid State Phys. 2016, 253, 1324–1330. [Google Scholar] [CrossRef]
- Hansen, J.P.; McDonald, I.R. Theory of Simple Liquids; Academic Press: Amsterdam, The Netherlands, 2006. [Google Scholar]
- Allen, M.P.; Tildesley, D.J. Computer Simulations of Liquids; Clarendon Press: Oxford, UK, 1987. [Google Scholar]
- Parrinello, M.; Rahman, A. Polymorphic transitions in single crystals: A new molecular dynamics method. J. Appl. Phys. 1981, 52, 7182–7190. [Google Scholar] [CrossRef]
- Parrinello, M.; Rahman, A. Strain fluctuations and elastic constants. J. Chem. Phys. 1982, 76, 2662–2666. [Google Scholar] [CrossRef]
- Wojciechowski, K.W.; Tretiakov, K.V.; Kowalik, M. Elastic properties of dense solid phases of hard cyclic pentamers and heptamers in two dimensions. Phys. Rev. E 2003, 67, 036121. [Google Scholar] [CrossRef] [PubMed]
- Tokmakova, S.P. Stereographic projections of Poisson’s ratio in auxetic crystals. Phys. Status Solidi B-Basic Solid State Phys. 2005, 242, 721–729. [Google Scholar] [CrossRef]
- Wojciechowski, K.W. Poisson’s ratio of anisotropic systems. Comp. Meth. Sci. Technol. 2005, 11, 73–79. [Google Scholar] [CrossRef]
- Nye, J.F. Physical Properties of Crystalls, Their Representation by Tensors and Matrices; Clarendon Press: Oxford, UK, 1957. [Google Scholar]
- Narojczyk, J.W.; Tretiakov, K.V.; Smardzewski, J.; Wojciechowski, K.W. Hardening of fcc hard-sphere crystals by introducing nanochannels: Auxetic aspects. Phys. Rev. E 2023, 108, 045003. [Google Scholar] [CrossRef]
- Ali, R.; Saleem, M.R.; Roussey, M.; Turunen, J.; Honkanen, S. Fabrication of buried nanostructures by atomic layer deposition. Sci. Rep. 2018, 8, 15098. [Google Scholar] [CrossRef]







Disclaimer/Publisher’s Note: The statements, opinions and data contained in all publications are solely those of the individual author(s) and contributor(s) and not of MDPI and/or the editor(s). MDPI and/or the editor(s) disclaim responsibility for any injury to people or property resulting from any ideas, methods, instructions or products referred to in the content. |
© 2024 by the author. Licensee MDPI, Basel, Switzerland. This article is an open access article distributed under the terms and conditions of the Creative Commons Attribution (CC BY) license (https://creativecommons.org/licenses/by/4.0/).
Share and Cite
Narojczyk, J.W. Increase in Auxeticity Due to the Presence of a Disordered Crystalline Phase of Hard Dumbbells Within the Nanolayer–Nanochannel Inclusion Introduced to the f.c.c. Hard Sphere Crystal. Materials 2024, 17, 5558. https://doi.org/10.3390/ma17225558
Narojczyk JW. Increase in Auxeticity Due to the Presence of a Disordered Crystalline Phase of Hard Dumbbells Within the Nanolayer–Nanochannel Inclusion Introduced to the f.c.c. Hard Sphere Crystal. Materials. 2024; 17(22):5558. https://doi.org/10.3390/ma17225558
Chicago/Turabian StyleNarojczyk, Jakub W. 2024. "Increase in Auxeticity Due to the Presence of a Disordered Crystalline Phase of Hard Dumbbells Within the Nanolayer–Nanochannel Inclusion Introduced to the f.c.c. Hard Sphere Crystal" Materials 17, no. 22: 5558. https://doi.org/10.3390/ma17225558
APA StyleNarojczyk, J. W. (2024). Increase in Auxeticity Due to the Presence of a Disordered Crystalline Phase of Hard Dumbbells Within the Nanolayer–Nanochannel Inclusion Introduced to the f.c.c. Hard Sphere Crystal. Materials, 17(22), 5558. https://doi.org/10.3390/ma17225558

