Sign in to use this feature.

Years

Between: -

Subjects

remove_circle_outline
remove_circle_outline
remove_circle_outline
remove_circle_outline
remove_circle_outline
remove_circle_outline
remove_circle_outline

Journals

Article Types

Countries / Regions

Search Results (18)

Search Parameters:
Keywords = deuteration procedure

Order results
Result details
Results per page
Select all
Export citation of selected articles as:
15 pages, 1957 KB  
Article
A Highly Sensitive UPLC-MS/MS Method for the Quantification of the Organic Cation Transporters’ Mediated Metformin Uptake and Its Inhibition in Cells
by Gzona Bajraktari-Sylejmani, Cindy Bay, Lukas Gebauer, Jürgen Burhenne, Johanna Weiss and Max Sauter
Molecules 2024, 29(21), 5162; https://doi.org/10.3390/molecules29215162 - 31 Oct 2024
Cited by 2 | Viewed by 2051
Abstract
Metformin is the gold standard substrate for evaluating potential inhibitors of the organic cation transporters (OCTs). Here, we established a UPLC-MS/MS assay to quantify metformin in cell pellets with a range of 0.05–50 ng/mL using 6-deuterated metformin as an internal standard. We used [...] Read more.
Metformin is the gold standard substrate for evaluating potential inhibitors of the organic cation transporters (OCTs). Here, we established a UPLC-MS/MS assay to quantify metformin in cell pellets with a range of 0.05–50 ng/mL using 6-deuterated metformin as an internal standard. We used an ion-pairing chromatographic approach with heptafluorobutyric acid, making use of a reverse-phase column, and overcame the associated ion-suppression via previously established post-column injection of aqueous ammonia. The assay was validated according to the Food and Drug Administration (FDA) and the European Medicines Agency (EMA) recommendations for bioanalytical methods. The established extraction procedure was simple, very fast and ensured almost 100% recovery of the analyte. The exceptionally sharp peak form and retention of the ion-pairing chromatography are superior to other methods and allow us to measure as sensitively as 0.05 ng/mL. We used the herein established and validated method to develop a cellular OCT inhibition assay by using metformin as a substrate and human embryonic kidney cells (HEK) overexpressing the OCTs 1-3. The method presented may be useful for identifying new OCT inhibitors, but also for drug–drug interactions and other pharmacokinetic studies, where accurate quantification of low metformin amounts in relevant tissues is mandatory. Full article
(This article belongs to the Section Analytical Chemistry)
Show Figures

Figure 1

19 pages, 7079 KB  
Article
Molecular Dynamics, Dielectric Properties, and Textures of Protonated and Selectively Deuterated 4′-Pentyl-4-biphenylcarbonitrile Liquid Crystal
by Jadwiga Tritt-Goc, Magdalena Knapkiewicz, Piotr Harmata, Jakub Herman and Michał Bielejewski
Materials 2024, 17(20), 5106; https://doi.org/10.3390/ma17205106 - 19 Oct 2024
Cited by 2 | Viewed by 1862
Abstract
Using liquid crystals in near-infrared applications suffers from effects related to processes like parasitic absorption and high sensitivity to UV-light exposure. One way of managing these disadvantages is to use deuterated systems. The combined 1H and 2H nuclear magnetic resonance relaxometry [...] Read more.
Using liquid crystals in near-infrared applications suffers from effects related to processes like parasitic absorption and high sensitivity to UV-light exposure. One way of managing these disadvantages is to use deuterated systems. The combined 1H and 2H nuclear magnetic resonance relaxometry method (FFC NMR), dielectric spectroscopy (DS), optical microscopy (POM), and differential scanning calorimetry (DSC) approach was applied to investigate the influence of selective deuteration on the molecular dynamics, thermal properties, self-organization, and electric-field responsiveness to a 4′-pentyl-4-biphenylcarbonitrile (5CB) liquid crystal. The NMR relaxation dispersion (NMRD) profiles were analyzed using theoretical models for the description of dynamics processes in different mesophases. Obtained optical textures of selectively deuterated 5CB showed the occurrence of the domain structure close to the I/N phase transition. The dielectric measurements showed a substantial difference in switching fields between fully protonated/deuterated 5CB and selectively deuterated molecules. The DSC thermograms showed a more complex phase transition sequence for partially deuterated 5CB with respect to fully protonated/deuterated molecules. Full article
(This article belongs to the Special Issue Liquid Crystals and Other Partially Disordered Molecular Systems)
Show Figures

Figure 1

9 pages, 1030 KB  
Article
Synthesis of N-(3-Acyloxyacyl)glycines, Small Molecules with Potential Role in Gut Microbiome-Endocannabinoidome Communication
by Rosaria Villano and Vincenzo Di Marzo
Molecules 2024, 29(15), 3703; https://doi.org/10.3390/molecules29153703 - 5 Aug 2024
Cited by 1 | Viewed by 2067
Abstract
The synthesis of some N-(3-acyloxyacyl)glycines, an interesting class of bioactive gut microbiota metabolites, is described. This procedure involves seven reaction steps using the commercially available Meldrum’s acid to obtain highly pure products, in normal or deuterated form. The key point of the [...] Read more.
The synthesis of some N-(3-acyloxyacyl)glycines, an interesting class of bioactive gut microbiota metabolites, is described. This procedure involves seven reaction steps using the commercially available Meldrum’s acid to obtain highly pure products, in normal or deuterated form. The key point of the synthetic strategy was the use of commendamide t-butyl ester as a synthetic intermediate, a choice that allowed the removal of the protecting group at the end of the synthetic procedure without degrading of the other ester bond present in the molecule. The developed synthetic sequence is particularly simple, uses readily available reagents and involves a limited number of purifications by chromatographic column, with a reduction in the volume of solvent and energy used. Full article
(This article belongs to the Section Organic Chemistry)
Show Figures

Figure 1

19 pages, 1301 KB  
Article
Quality Control in Targeted GC-MS for Amino Acid-OMICS
by Dimitrios Tsikas and Bibiana Beckmann
Metabolites 2023, 13(9), 986; https://doi.org/10.3390/metabo13090986 - 31 Aug 2023
Cited by 3 | Viewed by 2338
Abstract
Gas chromatography-mass spectrometry (GC-MS) is suitable for the analysis of non-polar analytes. Free amino acids (AA) are polar, zwitterionic, non-volatile and thermally labile analytes. Chemical derivatization of AA is indispensable for their measurement by GC-MS. Specific conversion of AA to their unlabeled methyl [...] Read more.
Gas chromatography-mass spectrometry (GC-MS) is suitable for the analysis of non-polar analytes. Free amino acids (AA) are polar, zwitterionic, non-volatile and thermally labile analytes. Chemical derivatization of AA is indispensable for their measurement by GC-MS. Specific conversion of AA to their unlabeled methyl esters (d0Me) using 2 M HCl in methanol (CH3OH) is a suitable derivatization procedure (60 min, 80 °C). Performance of this reaction in 2 M HCl in tetradeutero-methanol (CD3OD) generates deuterated methyl esters (d3Me) of AA, which can be used as internal standards in GC-MS. d0Me-AA and d3Me-AA require subsequent conversion to their pentafluoropropionyl (PFP) derivatives for GC-MS analysis using pentafluoropropionic anhydride (PFPA) in ethyl acetate (30 min, 65 °C). d0Me-AA-PFP and d3Me-AA-PFP derivatives of AA are readily extractable into water-immiscible, GC-compatible organic solvents such as toluene. d0Me-AA-PFP and d3Me-AA-PFP derivatives are stable in toluene extracts for several weeks, thus enabling high throughput quantitative measurement of biological AA by GC-MS using in situ prepared d3Me-AA as internal standards in OMICS format. Here, we describe the development of a novel OMICS-compatible QC system and demonstrate its utility for the quality control of quantitative analysis of 21 free AA and metabolites in human plasma samples by GC-MS as Me-PFP derivatives. The QC system involves cross-standardization of the concentrations of the AA in their aqueous solutions at four concentration levels and a quantitative control of AA at the same four concentration levels in pooled human plasma samples. The retention time (tR)-based isotope effects (IE) and the difference (δ(H/D) of the retention times of the d0Me-AA-PFP derivatives (tR(H)) and the d3Me-AA-PFP derivatives (tR(D)) were determined in study human plasma samples of a nutritional study (n = 353) and in co-processed QC human plasma samples (n = 64). In total, more than 400 plasma samples were measured in eight runs in seven working days performed by a single person. The proposed QC system provides information about the quantitative performance of the GC-MS analysis of AA in human plasma. IE, δ(H/D) and a massive drop of the peak area values of the d3Me-AA-PFP derivatives may be suitable as additional parameters of qualitative analysis in targeted GC-MS amino acid-OMICS. Full article
(This article belongs to the Special Issue Analytical Developments in Mapping the Polar Metabolome)
Show Figures

Figure 1

17 pages, 8426 KB  
Article
Polarimetry for 3He Ion Beams from Laser–Plasma Interactions
by Chuan Zheng, Pavel Fedorets, Ralf Engels, Chrysovalantis Kannis, Ilhan Engin, Sören Möller, Robert Swaczyna, Herbert Feilbach, Harald Glückler, Manfred Lennartz, Heinz Pfeifer, Johannes Pfennings, Claus M. Schneider, Norbert Schnitzler, Helmut Soltner and Markus Büscher
Instruments 2022, 6(4), 61; https://doi.org/10.3390/instruments6040061 - 10 Oct 2022
Cited by 2 | Viewed by 2381
Abstract
We present a compact polarimeter for 3He ions with special emphasis on the analysis of short-pulsed beams accelerated during laser–plasma interactions. We discuss the specific boundary conditions for the polarimeter, such as the properties of laser-driven ion beams, the selection of the [...] Read more.
We present a compact polarimeter for 3He ions with special emphasis on the analysis of short-pulsed beams accelerated during laser–plasma interactions. We discuss the specific boundary conditions for the polarimeter, such as the properties of laser-driven ion beams, the selection of the polarization-sensitive reaction in the polarimeter, the representation of the analyzing-power contour map, the choice of the detector material used for particle identification, as well as the production procedure of the required deuterated foil-targets. The assembled polarimeter has been tested using a tandem accelerator delivering unpolarized 3He ion beams, demonstrating good performance in the few-MeV range. The statistical accuracy and the deduced figure-of-merit of the polarimetry are discussed, including the count-rate requirement and the lower limit of accuracy for beam-polarization measurements at a laser-based ion source. Full article
Show Figures

Figure 1

25 pages, 4469 KB  
Article
Intermolecular Interactions and Spectroscopic Signatures of the Hydrogen-Bonded System—n-Octanol in Experimental and Theoretical Studies
by Michał Pocheć, Katarzyna M. Krupka, Jarosław J. Panek, Kazimierz Orzechowski and Aneta Jezierska
Molecules 2022, 27(4), 1225; https://doi.org/10.3390/molecules27041225 - 11 Feb 2022
Cited by 11 | Viewed by 3796
Abstract
n-Octanol is the object of experimental and theoretical study of spectroscopic signatures and intermolecular interactions. The FTIR measurements were carried out at 293 K for n-octanol and its deuterated form. Special attention was paid to the vibrational features associated with the O-H stretching [...] Read more.
n-Octanol is the object of experimental and theoretical study of spectroscopic signatures and intermolecular interactions. The FTIR measurements were carried out at 293 K for n-octanol and its deuterated form. Special attention was paid to the vibrational features associated with the O-H stretching and the isotope effect. Density Functional Theory (DFT) in its classical formulations was applied to develop static models describing intermolecular hydrogen bond (HB) and isotope effect in the gas phase and using solvent reaction field reproduced by Polarizable Continuum Model (PCM). The Atoms in Molecules (AIM) theory enabled electronic structure and molecular topology study. The Symmetry-Adapted Perturbation Theory (SAPT) was used for energy decomposition in the dimers of n-octanol. Finally, time-evolution methods, namely classical molecular dynamics (MD) and Car-Parrinello Molecular Dynamics (CPMD) were employed to shed light onto dynamical nature of liquid n-octanol with emphasis put on metric and vibrational features. As a reference, CPMD gas phase results were applied. Nuclear quantum effects were included using Path Integral Molecular Dynamics (PIMD) and a posteriori method by solving vibrational Schrödinger equation. The latter applied procedure allowed to study the deuterium isotope effect. Full article
(This article belongs to the Section Physical Chemistry)
Show Figures

Figure 1

12 pages, 3053 KB  
Article
Preparation of Deuterium Labeled Compounds by Pd/C-Al-D2O Facilitated Selective H-D Exchange Reactions
by Anne Kokel, Dora Kadish and Béla Török
Molecules 2022, 27(3), 614; https://doi.org/10.3390/molecules27030614 - 18 Jan 2022
Cited by 8 | Viewed by 6019
Abstract
The chemo/regioselective H-D exchange of amino acids and synthetic building blocks by an environmentally benign Pd/C-Al-D2O catalytic system is described. Due to the importance of isotope labeled compounds in medicinal chemistry and structural biology, notably their use as improved drug candidates [...] Read more.
The chemo/regioselective H-D exchange of amino acids and synthetic building blocks by an environmentally benign Pd/C-Al-D2O catalytic system is described. Due to the importance of isotope labeled compounds in medicinal chemistry and structural biology, notably their use as improved drug candidates and biological probes, the efficient and selective deuteration methods are of great interest. The approach is based on selective H-D exchange reactions where the deuterium source is simple D2O. D2 gas is generated in situ from the reaction of aluminum and D2O, while the commercially available palladium catalyst assists the H-D exchange reaction. The high selectivity and efficiency, as well as the simplicity and safe nature of the procedure make this method an environmentally benign alternative to current alternatives. Full article
(This article belongs to the Special Issue Organic Chemistry in the USA)
Show Figures

Figure 1

25 pages, 5795 KB  
Article
3D Printing to Increase the Flexibility of the Chemical Synthesis of Biologically Active Molecules: Design of On-Demand Gas Generation Reactors
by Kirill S. Erokhin, Evgeniy G. Gordeev, Dmitriy E. Samoylenko, Konstantin S. Rodygin and Valentine P. Ananikov
Int. J. Mol. Sci. 2021, 22(18), 9919; https://doi.org/10.3390/ijms22189919 - 14 Sep 2021
Cited by 16 | Viewed by 4929
Abstract
The development of new drugs is accelerated by rapid access to functionalized and D-labeled molecules with improved activity and pharmacokinetic profiles. Diverse synthetic procedures often involve the usage of gaseous reagents, which can be a difficult task due to the requirement of a [...] Read more.
The development of new drugs is accelerated by rapid access to functionalized and D-labeled molecules with improved activity and pharmacokinetic profiles. Diverse synthetic procedures often involve the usage of gaseous reagents, which can be a difficult task due to the requirement of a dedicated laboratory setup. Here, we developed a special reactor for the on-demand production of gases actively utilized in organic synthesis (C2H2, H2, C2D2, D2, and CO2) that completely eliminates the need for high-pressure equipment and allows for integrating gas generation into advanced laboratory practice. The reactor was developed by computer-aided design and manufactured using a conventional 3D printer with polypropylene and nylon filled with carbon fibers as materials. The implementation of the reactor was demonstrated in representative reactions with acetylene, such as atom-economic nucleophilic addition (conversions of 19–99%) and nickel-catalyzed S-functionalization (yields 74–99%). One of the most important advantages of the reactor is the ability to generate deuterated acetylene (C2D2) and deuterium gas (D2), which was used for highly significant, atom-economic and cost-efficient deuterium labeling of S,O-vinyl derivatives (yield 68–94%). Successful examples of their use in organic synthesis are provided to synthesize building blocks of heteroatom-functionalized and D-labeled biologically active organic molecules. Full article
Show Figures

Figure 1

14 pages, 1589 KB  
Article
Evolving Escherichia coli Host Strains for Efficient Deuterium Labeling of Recombinant Proteins Using Sodium Pyruvate-d3
by Vinardas Kelpšas, Anna Leung and Claes von Wachenfeldt
Int. J. Mol. Sci. 2021, 22(18), 9678; https://doi.org/10.3390/ijms22189678 - 7 Sep 2021
Cited by 1 | Viewed by 3260
Abstract
Labeling of proteins with deuterium (2H) is often necessary for structural biology techniques, such as neutron crystallography, NMR spectroscopy, and small-angle neutron scattering. Perdeuteration in which all protium (1H) atoms are replaced by deuterium is a costly process. Typically, expression hosts are grown [...] Read more.
Labeling of proteins with deuterium (2H) is often necessary for structural biology techniques, such as neutron crystallography, NMR spectroscopy, and small-angle neutron scattering. Perdeuteration in which all protium (1H) atoms are replaced by deuterium is a costly process. Typically, expression hosts are grown in a defined medium with heavy water as the solvent, which is supplemented with a deuterated carbon source. Escherichia coli, which is the most widely used host for recombinant protein production, can utilize several compounds as a carbon source. Glycerol-d8 is often used as a carbon source for deuterium labelling due to its lower cost compered to glucose-d7. In order to expand available options for recombinant protein deuteration, we investigated the possibility of producing a deuterated carbon source in-house. E. coli can utilize pyruvate as a carbon source and pyruvate-d3 can be made by a relatively simple procedure. To circumvent the very poor growth of E. coli in minimal media with pyruvate as sole carbon source, adaptive laboratory evolution for strain improvement was applied. E. coli strains with enhanced growth in minimal pyruvate medium was subjected to whole genome sequencing and the genetic changes were revealed. One of the evolved strains was adapted for the widely used T7 RNA polymerase overexpression systems. Using the improved strain E. coli DAP1(DE3) and in-house produced deuterated carbon source (pyruvic acid-d4 and sodium pyruvate-d3), we produce deuterated (>90%) triose-phosphate isomerase, at quantities sufficient enough for large volume crystal production and subsequent analysis by neutron crystallography. Full article
Show Figures

Figure 1

12 pages, 6062 KB  
Article
Synthesis, Mesomorphism and the Optical Properties of Alkyl-deuterated Nematogenic 4-[(2,6-Difluorophenyl)ethynyl]biphenyls
by Jakub Herman, Piotr Harmata, Michał Czerwiński, Olga Strzeżysz, Marta Pytlarczyk, Monika Zając and Przemysław Kula
Materials 2021, 14(16), 4653; https://doi.org/10.3390/ma14164653 - 18 Aug 2021
Cited by 4 | Viewed by 2535
Abstract
The synthesis and characterization of new deuterated liquid crystal (LC) compounds based on phenyl tolane core is described in this paper. The work presents an alternative molecular approach to the conventional LC design. Correlations between molecular structure and mesomorphic and optical properties for [...] Read more.
The synthesis and characterization of new deuterated liquid crystal (LC) compounds based on phenyl tolane core is described in this paper. The work presents an alternative molecular approach to the conventional LC design. Correlations between molecular structure and mesomorphic and optical properties for compounds which are alkyl-hydrogen terminated and alkyl-deuterium, have been drawn. The compounds are characterized by mass spectrometry (electron ionization) analysis and infrared spectroscopy. They show enantiotropic nematic behavior in a broad temperature range, confirmed by a polarizing thermomicroscopy and differential scanning calorimetry. Detailed synthetic procedures are attached. Synthesized compounds show a significantly reduced absorption in the near-infrared (NIR) and medium-wavelength infrared (MWIR) radiation range, and stand as promising components of medium to highly birefringent liquid crystalline mixtures. Full article
(This article belongs to the Special Issue Advances in Liquid Crystalline Materials—Beyond the Visible)
Show Figures

Graphical abstract

25 pages, 7537 KB  
Review
Trends in the Hydrogen−Deuterium Exchange at the Carbon Centers. Preparation of Internal Standards for Quantitative Analysis by LC-MS
by Paulina Grocholska and Remigiusz Bąchor
Molecules 2021, 26(10), 2989; https://doi.org/10.3390/molecules26102989 - 18 May 2021
Cited by 30 | Viewed by 9805
Abstract
The application of internal standards in quantitative and qualitative bioanalysis is a commonly used procedure. They are usually isotopically labeled analogs of the analyte, used in quantitative LC-MS analysis. Usually, 2H, 13C, 15N and 18O isotopes are used. The [...] Read more.
The application of internal standards in quantitative and qualitative bioanalysis is a commonly used procedure. They are usually isotopically labeled analogs of the analyte, used in quantitative LC-MS analysis. Usually, 2H, 13C, 15N and 18O isotopes are used. The synthesis of deuterated isotopologues is relatively inexpensive, however, due to the isotopic effect of deuterium and the lack of isotopologue co-elution, usually they are not considered as good internal standards for LC-MS quantification. On the other hand, the preparation of 13C, 15N and 18O containing standards of drugs and their metabolites requires a complicated multistep de novo synthesis, starting from the isotopically labeled substrates, which are usually expensive. Therefore, there is a strong need for the development of low-cost methods for isotope-labeled standard preparations for quantitative analysis by LC-MS. The presented review concentrates on the preparation of deuterium-labeled standards by hydrogen−deuterium exchange reactions at the carbon centers. Recent advances in the development of the methods of isotopologues preparation and their application in quantitative analysis by LC-MS are evaluated. Full article
Show Figures

Figure 1

16 pages, 2518 KB  
Article
Compact NMR Spectroscopy for Low-Cost Identification and Quantification of PVC Plasticizers
by Anton Duchowny and Alina Adams
Molecules 2021, 26(5), 1221; https://doi.org/10.3390/molecules26051221 - 25 Feb 2021
Cited by 19 | Viewed by 4684
Abstract
Polyvinyl chloride (PVC), one of the most important polymer materials nowadays, has a large variety of formulations through the addition of various plasticizers to meet the property requirements of the different fields of applications. Routine analytical methods able to identify plasticizers and quantify [...] Read more.
Polyvinyl chloride (PVC), one of the most important polymer materials nowadays, has a large variety of formulations through the addition of various plasticizers to meet the property requirements of the different fields of applications. Routine analytical methods able to identify plasticizers and quantify their amount inside a PVC product with a high analysis throughput would promote an improved understanding of their impact on the macroscopic properties and the possible health and environmental risks associated with plasticizer leaching. In this context, a new approach to identify and quantify plasticizers employed in PVC commodities using low-field NMR spectroscopy and an appropriate non-deuterated solvent is introduced. The proposed method allows a low-cost, fast, and simple identification of the different plasticizers, even in the presence of a strong solvent signal. Plasticizer concentrations below 2 mg mL−1 in solution corresponding to 3 wt% in a PVC product can be quantified in just 1 min. The reliability of the proposed method is tested by comparison with results obtained under the same experimental conditions but using deuterated solvents. Additionally, the type and content of plasticizer in plasticized PVC samples were determined following an extraction procedure. Furthermore, possible ways to further decrease the quantification limit are discussed. Full article
(This article belongs to the Special Issue Advances in NMR and MRI of Materials)
Show Figures

Graphical abstract

9 pages, 1415 KB  
Article
UHPLC-MS Method for the Analysis of the Molecular Adjuvant Sulfavant A
by Genoveffa Nuzzo, Emiliano Manzo, Marcello Ziaco, Laura Fioretto, Ana Margarida Campos, Carmela Gallo, Giuliana d’Ippolito and Angelo Fontana
Appl. Sci. 2021, 11(4), 1451; https://doi.org/10.3390/app11041451 - 5 Feb 2021
Cited by 1 | Viewed by 3585
Abstract
A fast and sensitive method that is based on Ultra High Performance Liquid Chromatography coupled with High Resolution Mass Spectrometry (UHPLC-HRMS) for the measurement of Sulfavant A, a molecular adjuvant with a sulfolipid skeleton, is described. The method has been validated over the [...] Read more.
A fast and sensitive method that is based on Ultra High Performance Liquid Chromatography coupled with High Resolution Mass Spectrometry (UHPLC-HRMS) for the measurement of Sulfavant A, a molecular adjuvant with a sulfolipid skeleton, is described. The method has been validated over the linearity range of 2.5–2000 ngmL−1 using a deuterated derivative (d70-Sulfavant A) as internal standard. Chromatographic separation is based on a UHPLC Kinetex® 2.6 µm PS C18 column and a gradient of methanol in 0.32 mM ammonium hydroxide solution buffered at pH 8. The lowest limit of quantification of Sulfavant A was 6.5 ngmL−1. The analytical procedure was tested on an extract of mice lung spiked with 30, 300, and 1500 ng of Sulfavant A. The analysis revealed a precision and accuracy value (as a mean value of all the quality control samples analyzed) of 4.7% and 96% in MeOH and 6.4% and 93.4% in the lung extracts, respectively. Full article
(This article belongs to the Special Issue Drugs from Marine Sources)
Show Figures

Figure 1

18 pages, 3434 KB  
Review
Carbonaceous Materials Investigated by Small-Angle X-ray and Neutron Scattering
by Eneli Härk and Matthias Ballauff
C 2020, 6(4), 82; https://doi.org/10.3390/c6040082 - 19 Dec 2020
Cited by 14 | Viewed by 6208
Abstract
Carbonaceous nanomaterials have become important materials with widespread applications in battery systems and supercapacitors. The application of these materials requires precise knowledge of their nanostructure. In particular, the porosity of the materials together with the shape of the pores and the total internal [...] Read more.
Carbonaceous nanomaterials have become important materials with widespread applications in battery systems and supercapacitors. The application of these materials requires precise knowledge of their nanostructure. In particular, the porosity of the materials together with the shape of the pores and the total internal surface must be known accurately. Small-angle X-ray scattering (SAXS) and small-angle neutron scattering (SANS) present the methods of choice for this purpose. Here we review our recent investigations using SAXS and SANS. We first describe the theoretical basis of the analysis of carbonaceous material by small-angle scattering. The evaluation of the small-angle data relies on the powerful concept of the chord length distribution (CLD) which we explain in detail. As an example of such an evaluation, we use recent analysis by SAXS of carbide-derived carbons. Moreover, we present our SAXS analysis on commercially produced activated carbons (ACN, RP-20) and provide a comparison with small-angle neutron scattering data. This comparison demonstrates the wealth of additional information that would not be obtained by the application of either method alone. SANS allows us to change the contrast, and we summarize the main results using different contrast matching agents. The pores of the carbon nanomaterials can be filled gradually by deuterated p-xylene, which leads to a precise analysis of the pore size distribution. The X-ray scattering length density of carbon can be matched by the scattering length density of sulfur, which allows us to see the gradual filling of the nanopores by sulfur in a melt-impregnation procedure. This process is important for the application of carbonaceous materials as cathodes in lithium/sulfur batteries. All studies summarized in this review underscore the great power and precision with which carbon nanomaterials can be analyzed by SAXS and SANS. Full article
(This article belongs to the Special Issue Carbide Derived Carbons)
Show Figures

Graphical abstract

15 pages, 1364 KB  
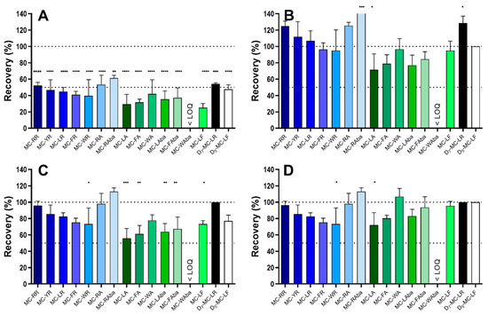
Article
Simultaneous Detection of 14 Microcystin Congeners from Tissue Samples Using UPLC- ESI-MS/MS and Two Different Deuterated Synthetic Microcystins as Internal Standards
by Stefan Altaner, Jonathan Puddick, Valerie Fessard, Daniel Feurstein, Ivan Zemskov, Valentin Wittmann and Daniel R. Dietrich
Toxins 2019, 11(7), 388; https://doi.org/10.3390/toxins11070388 - 2 Jul 2019
Cited by 19 | Viewed by 4756
Abstract
Cyanobacterial microcystins (MCs), potent serine/threonine-phosphatase inhibitors, pose an increasing threat to humans. Current detection methods are optimised for water matrices with only a few MC congeners simultaneously detected. However, as MC congeners are known to differ in their toxicity, methods are needed that [...] Read more.
Cyanobacterial microcystins (MCs), potent serine/threonine-phosphatase inhibitors, pose an increasing threat to humans. Current detection methods are optimised for water matrices with only a few MC congeners simultaneously detected. However, as MC congeners are known to differ in their toxicity, methods are needed that simultaneously quantify the congeners present, thus allowing for summary hazard and risk assessment. Moreover, detection of MCs should be expanded to complex matrices, e.g., blood and tissue samples, to verify in situ MC concentrations, thus providing for improved exposure assessment and hazard interpretation. To achieve this, we applied two synthetic deuterated MC standards and optimised the tissue extraction protocol for the simultaneous detection of 14 MC congeners in a single ultra performance liquid chromatography-tandem mass spectrometry (UPLC-MS/MS) run. This procedure was validated using plasma and liver homogenates of mice (male and female) spiked with deuterated MC standards. For proof of concept, tissue and plasma samples from mice i.p. injected with MC-LR and MC-LF were analysed. While MC-LF was detected in all tissue samples of both sexes, detection of MC-LR was restricted to liver samples of male mice, suggesting different toxicokinetics in males, e.g., transport, conjugation or protein binding. Thus, deconjugation/-proteinisation steps should be employed to improve detection of bound MC. Full article
(This article belongs to the Section Marine and Freshwater Toxins)
Show Figures

Figure 1

Back to TopTop