Synthesis and Properties of Highly Tilted Antiferroelectric Liquid Crystalline (R) Enantiomers
Abstract
1. Introduction
2. Materials and Methods
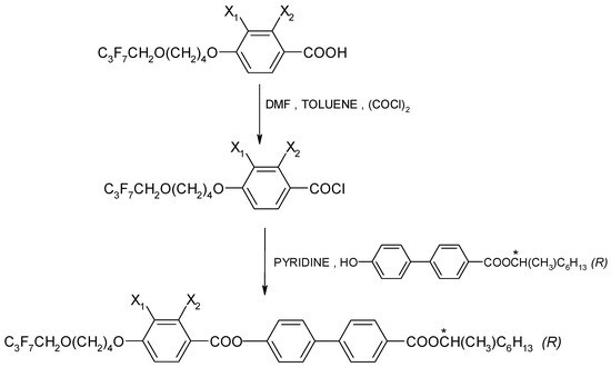
2.1. Method for the Synthesis of (R) Enantiomers
2.2. Determination of Optical Purity of (R) Enantiomers
2.3. Experimental Methods
3. Results
3.1. Mesomorphic Behavior
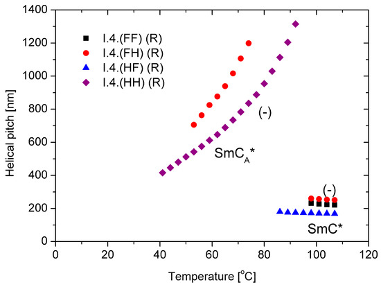
3.2. Helical Pitch and Twist Sense
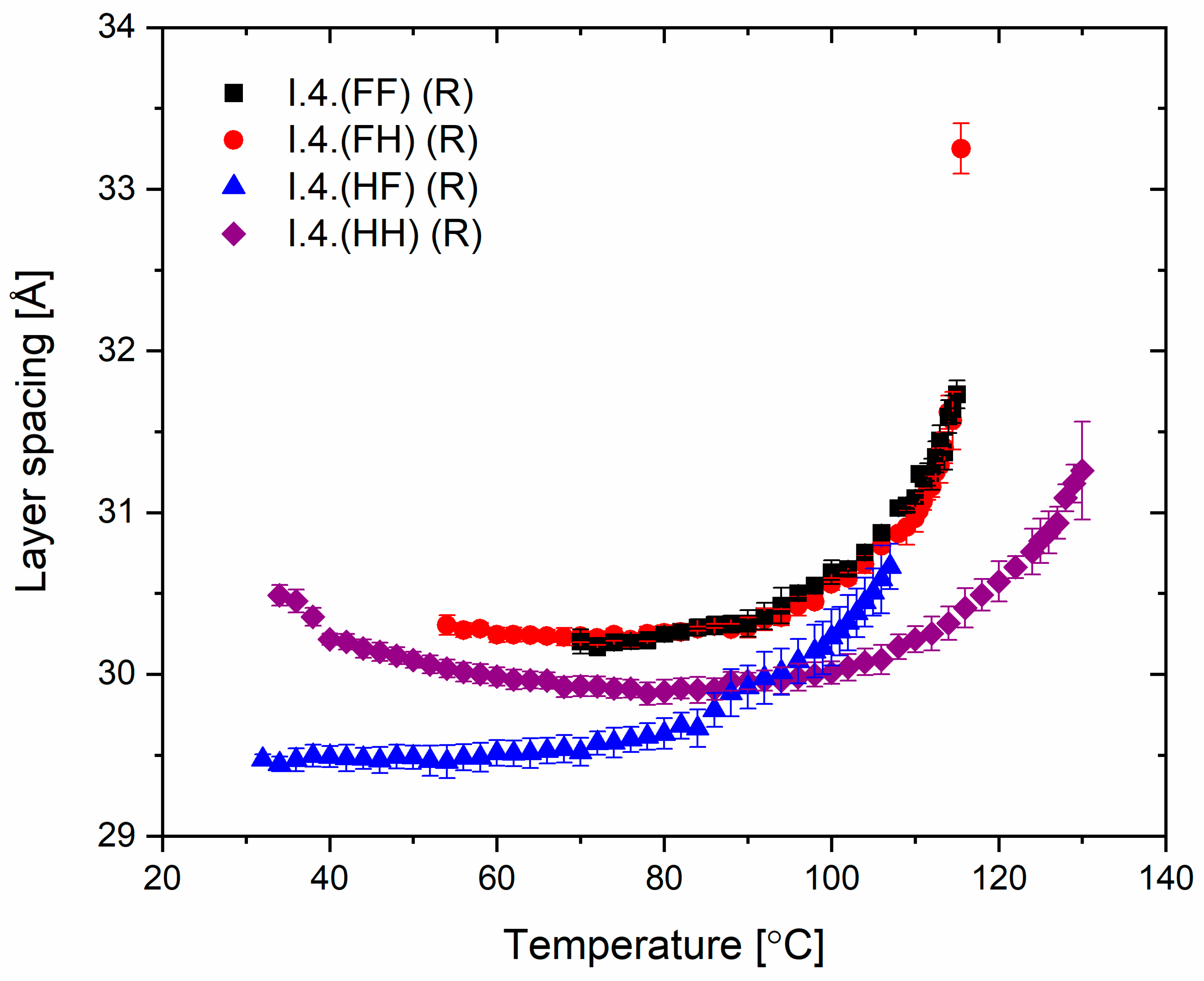
3.3. X-ray Diffraction
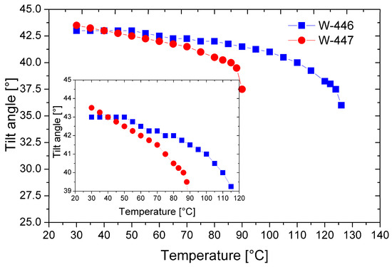
3.4. Tilt Angle
3.5. Properties of Eutectic Mixtures
4. Conclusions
Supplementary Materials
Author Contributions
Funding
Institutional Review Board Statement
Informed Consent Statement
Data Availability Statement
Conflicts of Interest
References
- Demus, D.; Goodby, J.; Gray, G.W.; Spiess, H.-W.; Vill, H.-W.; Lagerwall, S.T. Handbook of Liquid Crystals; Wiley-VCH: Weinheim, Germany, 1998; Volume 2B, Chapter VI 2; pp. 515–664. [Google Scholar]
- Collings, P.J. Liquid Crystals: Nature’s Delicate Phase of Matter; Princeton University Press: Princeton, NJ, USA, 1990. [Google Scholar]
- Goodby, J.W.; Saez, I.M.; Cowling, S.J.; Görtz, V.; Draper, M.; Hall, A.W.; Sia, S.; Cosquer, G.; Lee, S.-E.; Raynes, E.P. Transmission and amplification of information and properties in nanostructured liquid crystals. Angew. Chem. Int. Ed. Engl. 2008, 47, 2754–2787. [Google Scholar] [CrossRef] [PubMed]
- Lagerwall, J.P.F.; Giesselmann, F. Current Topics in Smectic Liquid Crystal Research. ChemPhysChem 2006, 7, 20–45. [Google Scholar] [CrossRef] [PubMed]
- Meyer, R.B.; Liebert, L.; Strzelecki, L.; Keller, P. Ferroelectric liquid crystals. Le J. Phys. Lett. 1975, 36, 69–71. [Google Scholar] [CrossRef]
- Chandani, A.D.L.; Górecka, E.; Ouchi, Y.; Takezoe, H.; Fukuda, A. Antiferroelectric chiral smectic phases responsible for the tristable switching in MHPOBC. Jpn. J. Appl. Phys. 1989, 28, L1265–L1268. [Google Scholar] [CrossRef]
- Lemieux, R.P. Molecular recognition in chiral smectic liquid crystals: The effect of core–core interactions and chirality transfer on polar order. Chem. Soc. Rev. 2007, 36, 2033–2045. [Google Scholar] [CrossRef]
- Goodby, J.W.; Chin, E. A chiral induced ferroelectric liquid crystal phase transition with a vanishingly small enthalpy. Liq. Cryst. 1988, 3, 1245–1254. [Google Scholar] [CrossRef]
- Goodby, J.W.; Waugh, M.A.; Stein, S.M.; Chin, E.; Pindak, R.; Patel, J.S. Characterization of a new helical smectic liquid crystal. Nature 1989, 337, 449–452. [Google Scholar] [CrossRef]
- Pramanik, A.; Das, M.K.; Das, B.; Dąbrowski, R. Preparation and Study of the Electro-optical Properties of Binary Mixtures of Orthoconic Antiferroelectric Esters and Achiral Phenyl Pyrimidine Liquid Crystal. Soft Mater. 2015, 13, 201–209. [Google Scholar] [CrossRef]
- Nowicka, K.; Dardas, D.; Garbat, K. High permittivity of chiral tilted smectic phases in a binary mixture. Phase Trans. 2013, 86, 153–160. [Google Scholar] [CrossRef]
- Ha, N.Y.; Jeong, S.M.; Nishimura, S.; Suzaki, G.; Takanishi, Y.; Ishikawa, K.; Takezoe, H. Fabrication of a simultaneous red–green–blue reflector using single-pitched cholesteric liquid crystals. Nat. Mater. 2008, 7, 43–47. [Google Scholar] [CrossRef]
- Busson, P.; Örtegren, J.; Ihre, H.; Gedde, U.W.; Hult, A.; Andersson, G.; Eriksson, A.; Lindgren, M. Preparation of Mesogen-Functionalized Dendrimers for Second-Order Nonlinear Optics. Macromolecules 2002, 35, 1663–1671. [Google Scholar] [CrossRef]
- Yamane, S.; Sagara, Y.; Kato, T. A thermoresponsive photoluminescent smectic liquid crystal: Change of photoluminescent color on the smectic–smectic phase transition. Chem. Commun. 2009, 24, 3597–3599. [Google Scholar] [CrossRef] [PubMed]
- Walba, D.M.; Dyer, D.J.; Sierra, T.; Cobben, P.L.; Shao, R.; Clark, N.A. Ferroelectric Liquid Crystals for Nonlinear Optics: Orientation of the Disperse Red 1 Chromophore along the Ferroelectric Liquid Crystal Polar Axis. J. Am. Soc. 1996, 118, 1211–1212. [Google Scholar] [CrossRef]
- Nowicka, K.; Kuczyński, W. Non-linear electro-optical effects in the study of the helical smectic liquid crystals. Phase Trans. 2016, 89, 376–382. [Google Scholar] [CrossRef]
- Lembrikov, B.I.; Ianetz, D.; Ben-Ezra, Y. Nonlinear Optical Phenomena in a Silicon-Smectic A Liquid Crystal (SALC) Waveguide. Materials 2019, 12, 2086. [Google Scholar] [CrossRef] [PubMed]
- Yoshizawa, A. Ferroelectric Smectic Liquid Crystals. Crystals 2024, 14, 350. [Google Scholar] [CrossRef]
- Balasubramanian, V.; Vijayakumar, V.N.; Vasanthi, T. Photonic applications of linear double hydrogen bond ferroelectric liquid crystal mixture: Optical modulators. Braz. J. Phys. 2023, 53, 36. [Google Scholar] [CrossRef]
- Srivastava, A.K.; Chigrinov, V.G.; Kwok, H.S. Ferroelectric liquid crystals: Excellent tool for modern displays and photonics. J. SID 2015, 23, 233–283. [Google Scholar] [CrossRef]
- Yamamoto, N.; Koshoubu, N.; Mori, K.; Nakamura, K.; Yamada, Y. Full-colour antiferroelectric liquid crystal display. Ferroelectrics 1993, 149, 295. [Google Scholar] [CrossRef]
- Lagerwall, J.P.F.; Scalia, G. A new era for liquid crystal research: Applications of liquid crystals in soft matter nano-, bio- and microtechnology. Curr. Appl. Phys. 2012, 12, 1387–1412. [Google Scholar] [CrossRef]
- Chen, S.; Chen, Y.; Tong, X.; Wu, B.; Ma, M.; Shi, Y.; Wang, X. Room temperature optical image storage devices based on novel photo-responsive chiral azobenzene liquid crystal dopants. Mater. Res. Express 2016, 3, 115701. [Google Scholar] [CrossRef]
- Bubnov, A.; Iwan, A.; Cigl, M.; Boharewicz, B.; Tazbir, I.; Wójcik, K.; Sikora, A.; Hamplová, V. Photosensitive self-assembling materials as functional dopants for organic photovoltaic cells. RSC Adv. 2016, 6, 11577–11590. [Google Scholar] [CrossRef]
- D’have, K.; Dahlgren, A.; Rudquist, P.; Lagerwall, J.P.F.; Anderson, G.; Matuszczyk, M.; Lagerwall, S.T.; Dąbrowski, R.; Drzewiński, W. Antiferroelectric liquid crystals with 45° tilt a new class of promising electro-optic materials. Ferroelectrics 2000, 244, 115–128. [Google Scholar] [CrossRef]
- Rudquist, P. Orthoconic antiferroelectric liquid crystals. Liq. Cryst. 2013, 40, 1678–1697. [Google Scholar] [CrossRef]
- D’have, K.; Rudquist, P.; Lagerwall, S.T.; Pauwels, H.; Drzewiński, W.; Dąbrowski, R. Solution of the dark state problem in antiferroelectric liquid crystal displays. App. Phys. Lett. 2000, 76, 3528–3530. [Google Scholar] [CrossRef]
- Castillo, P.L.; Otón, J.M.; Dąbrowski, R.; Lara, A.; Quintana, X.; Bennis, N. Electrooptics of antiferroelectric orthoconic reflective displays. Proc. SPIE 2004, 5565, 284–289. [Google Scholar]
- Piecek, W.; Bubnov, A.; Perkowski, P.; Morawiak, P.; Ogrodnik, K.; Rejmer, W.; Żurowska, M.; Hamplová, V.; Kašpar, M. An effect of structurally non compatible additive on the properties of a long pitch antiferroelectric orthoconic mixture. Phase Trans. 2010, 83, 551–563. [Google Scholar] [CrossRef]
- Agrahari, K.; Nautiyal, V.K.; Vimal, T.; Pandey, S.; Kumar, S.; Manohar, R. Modification in different physical parameters of orthoconic antiferroelectric liquid crystal mixture via the dispersion of hexanethiol capped silver nanoparticles. J. Mol. Liq. 2021, 332, 115840. [Google Scholar] [CrossRef]
- Żurowska, M.; Dąbrowski, R.; Dziaduszek, J.; Garbat, K.; Filipowicz, M.; Tykarska, M.; Rejmer, W.; Czupryński, K.; Spadło, A.; Bennis, N.; et al. Influence of alkoxy chain length and fluorosubstitution on mesogenic and spectral properties of high tilted antiferroelectric esters. J. Mater. Chem. 2011, 21, 2144–2153. [Google Scholar] [CrossRef]
- Dąbrowski, R.; Gąsowska, J.; Otón, J.M.; Piecek, W.; Przedmojski, J.; Tykarska, M. High tilted antiferroelectric liquid crystalline materials. Displays 2004, 25, 9–19. [Google Scholar] [CrossRef]
- Dąbrowski, R.; Kula, P.; Raszewski, Z.; Piecek, W.; Otón, J.M.; Spadło, A. New orthoconic antiferroelectrics useful for applications. Ferroelectrics 2010, 395, 116–132. [Google Scholar] [CrossRef]
- Czerwiński, M.; Tykarska, M. Helix parameters in bi- and multicomponent mixtures composed of orthoconic antiferroelectric liquid crystals with three ring molecular core. Liq. Cryst. 2014, 41, 850–860. [Google Scholar] [CrossRef]
- Milewska, K.; Drzewiński, W.; Czerwiński, M.; Dąbrowski, R.; Piecek, W. Highly tilted liquid crystalline materials possessing a direct phase transition from antiferroelectric to isotropic phase. Mater. Chem. Phys. 2016, 171, 33–38. [Google Scholar] [CrossRef]
- Garg, B.; Shariq, M.; Alathlawi, H.J.; Almutib, E.; Alshareef, T.H.; Alzahrani, A.; Khan, M.S.; Slimani, Y. Comparative computational analysis of orthoconic antiferroelectric liquid crystals: DFT analysis. J. Mol. Mod. 2024, 30, 328. [Google Scholar] [CrossRef]
- Dwivedi, A.; Dwivedi, S.; Pandey, M.B.; Dąbrowski, R.; Dhar, R. Collective molecular relaxations and electro-optical switching response of a wide room temperature antiferroelectric liquid crystal mixture. Opt. Mater. 2024, 149, 115016. [Google Scholar] [CrossRef]
- Gupta, D.; Kula, P.; Bhattacharjee, A. Mesomorphic, electro-optic and dielectric behaviour of a semi-fluorinated chiral liquid crystalline material forming polar smectic phases. J. Mol. Struct. 2020, 1219, 128557. [Google Scholar] [CrossRef]
- Lagerwall, S.T. Orthoconic liquid crystals—A case study. Adv. Coll. Interface Sci. 2014, 208, 1–9. [Google Scholar] [CrossRef] [PubMed]
- Piecek, W. Molecular Structures and the Induction of the Orthoconic Properties in Antiferroelectric Liquid Crystals. Ferroelectrics 2010, 395, 108–115. [Google Scholar] [CrossRef]
- Piecek, W.; Kula, P.; Raszewski, Z.; Perkowski, P.; Morawiak, P.; Kędzierski, J.; Dąbrowski, R.; Sun, X.W. An Influence of a Single Fluorine Atom Position in the Molecular Rigid Core on Physical Properties of Orthoconic Antiferroelectric Liquid Crystal. Ferroelectrics 2008, 365, 78–87. [Google Scholar] [CrossRef]
- Żurowska, M.; Dziaduszek, J.; Szala, M.; Morawiak, P.; Bubnov, A. Effect of lateral fluorine substitution far from the chiral center on mesomorphic behaviour of highly titled antiferroelectric (S) and (R) enantiomers. J. Mol. Liq. 2018, 267, 504–510. [Google Scholar] [CrossRef]
- Urbańska, M.; Strzeżysz, O.; Szala, M. Highly tilted antiferroelectric (R) enantiomers useful for the formulation of eutectic mixtures. Liq. Cryst. 2020, 47, 179–190. [Google Scholar] [CrossRef]
- Urbańska, M.; Morawiak, P.; Czerwiński, M. Effect of doping by enantiomers with the different absolute configuration and phase sequence on mesomorphic, helical and electro-optical properties of highly tilted chiral anticlinic mixture. J. Mol. Liq. 2020, 309, 113141. [Google Scholar] [CrossRef]
- Tykarska, M.; Stolarz, Z.; Dziaduszek, J. Studies of helical pitch in antiferroelectric compounds and mixtures. Ferroelectrics 2004, 311, 51–57. [Google Scholar] [CrossRef]
- Drzewiński, W.; Dąbrowski, R.; Czupryński, K. Orthoconic antiferroelectrics. Synthesis and mesomorphic properties of optically active (S)-(+)-4-(1-methylheptyloxycarbonyl)phenyl 4′-(fluoroalkanoyloxyalkoxy)biphenyl-4-carboxylates and 4′-(alkanoyloxyalkoxy)biphenyl-4-carboxylates. Polish J. Chem. 2002, 76, 273–284. [Google Scholar] [CrossRef]
- Żurowska, M.; Dąbrowski, R.; Dziaduszek, J.; Czupryński, K.; Skrzypek, K.; Filipowicz, M. Synthesis and mesomorphic properties of chiral esters comprising partially fluorinated alkoxyalkoxy terminal chains and a 1-methylheptyl chiral moiety. Mol. Cryst. Liq. Cryst. 2008, 495, 145–157. [Google Scholar] [CrossRef]
- Teixeira, J.; Tiritan, M.E.; Pinto, M.M.M.; Fernandes, C. Chiral Stationary Phases for Liquid Chromatography: Recent Developments. Molecules 2019, 24, 865. [Google Scholar] [CrossRef]
- Vaňkátová, P.; Kubíčková, A.; Kalíková, K. Enantioseparation of liquid crystals and their utilization as enantiodiscrimination materials. J. Chromatogr. A 2022, 1673, 463074. [Google Scholar] [CrossRef]
- Vaňkátová, P.; Kalíková, K.; Kubíčková, A. Advantages of polar organic solvent chromatography for enantioseparation of chiral liquid crystals. J. Chromatogr. A 2023, 1709, 464383. [Google Scholar] [CrossRef] [PubMed]
- Ravisankar, P.; Anusha, S.; Supriya, K.; Kumar, U.A. Fundamental Chromatographic Parameters. Inter. J. Pharm. Sci. Rev. Res. 2019, 55, 46–50. [Google Scholar]
- Takezoe, H.; Kondo, K.; Fukuda, A.; Kuze, E. Determination of helical pitch in homeotropic cell of chiral Smectic C liquid crystal using center laser. Jpn. J. Appl. Phys. 1982, 21, L627–L629. [Google Scholar] [CrossRef]
- Raszewski, Z.; Kędzierski, J.; Perkowski, P.; Piecek, W.; Rutkowska, J.; Kłosowicz, S.; Zieliński, J. Refractive indices of the MHPB(H)PBC and MHPB(F)PBC antiferroelectric liquid crystals. Ferroelectrics 2002, 276, 289–300. [Google Scholar] [CrossRef]
- Kuczyński, W.; Lagerwall, S.T.; Matuszczyk, M.; Skarp, K.; Stebler, B.; Wahl, J. Fast switching low-temperature liquid crystal mixture. Mol. Cryst. Liq. Cryst. 1987, 146, 173–187. [Google Scholar] [CrossRef]
- Tykarska, M.; Czerwiński, M. The inversion phenomenon of helical twist sense in antiferroelectric liquid crystals phase from electronic and vibrational circular dichroism. Liq. Cryst. 2016, 46, 462–472. [Google Scholar] [CrossRef]
- Vertogen, G.; de Jeu, W.H. Thermotropic Liquid Crystals, Fundamentals; Springer: Berlin/Heidelberg, Germany, 1988. [Google Scholar]
- Roisnel, T.; Rodriguez-Carvajal, J. WinPLOTR: A Windows Tool for Powder Diffraction Pattern Analysis. Mater. Sci. Forum 2001, 378–381, 118–123. [Google Scholar] [CrossRef]
- Schröder, I.Z. Über die Abhängigkeit der Löslichkeit eines festen Körpers von seiner Schmelztemperatur. Z. Für Phys Chem. 1893, 11, 449–465. [Google Scholar] [CrossRef]
- van Laar, J.J. Die Schmelz- oder Erstarrungskurven bei binären Systemen, wenn die feste Phase ein Gemisch (amorphe feste Lösung oder Mischkristalle) der beiden Komponenten ist. Z. Für Phys Chem. 1908, 63, 257–297. [Google Scholar] [CrossRef]
- Le Chatelier, H. Sur un énoncé générale des lois des équlibres chimiques. C. R. Acad. Sci. 1884, 99, 786–789. [Google Scholar]
- de Matos, U.P.R.; Lopes, L.D.; Scheeren, A.P.; Schneider, J.M.F.M.; Bortoluzzi, A.J.; Bonacorso, H.G.; Gonçalves, I.L.; Merlo, A.A. Modeling of binary mixtures by applying the Schröeder-van Laar equation to a set of substances with structural diversity. Quim. Nov. 2024, 48, 1–13. [Google Scholar]











| Acronym of the Enantiomer | Molecular Ion |
|---|---|
| I.4.(HH) (R) | 701[M + H]− |
| I.4.(HF) (R) | 718[M − H]− |
| I.4.(FH) (R) | 719[M + H]− |
| I.4.(FF) (R) | 735[M − H]− |
| Peak Area (%) | I.4.(HH) (R) | I.4.(HF) (R) | I.4.(FH) (R) | I.4.(FF) (R) |
|---|---|---|---|---|
| (S) | 1.086 | 0.082 | 0.081 | 1.610 |
| (R) | 98.914 | 99.918 | 99.919 | 98.390 |
| % ee | 97.83 | 99.84 | 99.84 | 96.78 |
| Acronym of the Enantiomer | Cr | T [ΔH] | SmCA* | T [ΔH] | SmC* | T [ΔH] | SmA* | T [ΔH] | Iso |
|---|---|---|---|---|---|---|---|---|---|
| I.4.(HH) (R) heating | • | 75.4 [+20.9] | • | 110.5 [+0.05] | • | 130.6 [+8.5] | – | • | |
| I.4.(HH) (R) cooling | • | 23.6 [−12.0] | • | 104.1 [−0.06] | • | 129.1 [−8.1] | – | • | |
| I.4.(HF) (R) heating | • | 48.7 [+28.8] | • | 88.9 [+0.07] | • | 108.5 [+8.3] | – | • | |
| I.4.(HF) (R) cooling | • | 6.2 [−16.1] | • | 83.5 [−0.07] | • | 106.6 [−6.7] | – | • | |
| I.4.(FH) (R) heating | • | 68.4 [+34.6] | • | 98.4 [+0.07] | • | 115.5 [+0.8] | • | 116.5 [+7.5] | • |
| I.4.(FH) (R) cooling | • | 40.6 [−25.9] | • | 92.5 [−0.07] | • | 114.2 [−0.7] | • | 114.8 [−7.7] | • |
| I.4.(FF) (R) heating | • | 76.5 [+35.7] | • | 98.3 [+0.07] | • | 115.8 [+7.2] | – | • | |
| I.4.(FF) (R) cooling | • | 56.0 [−33.4] | • | 93.9 [−0.06] | • | 114.3 [−6.4] | – | • |
| Acronym of the Enantiomer | Θ [°] | T [°C] |
|---|---|---|
| I.4.(HH) (R) | ~43.0 | 30–75 |
| I.4.(HF) (R) | ~44.0 | 25–35 |
| I.4.(FH) (R) | ~41.0 | 45–75 |
| I.4.(FF) (R) | ~40.0 | 75–90 |
| Mixture/Phase Transition Temperatures | Acronym of the Enantiomer | Weight Ratio [%] |
|---|---|---|
| W-446/Cr 44.1 SmCA* 105.4 SmC* 126.0 Iso | I.4.(HH) (R) | 26.34 |
| I.2.(HH) (R) | 35.58 | |
| I.6.(HH) (R) | 38.08 | |
| W-447/Cr 27.3 Cr′ 32.9 SmCA* 91.8 Iso | I.4.(HF) (R) | 35.59 |
| I.3.(HF) (R) | 64.41 |
Disclaimer/Publisher’s Note: The statements, opinions and data contained in all publications are solely those of the individual author(s) and contributor(s) and not of MDPI and/or the editor(s). MDPI and/or the editor(s) disclaim responsibility for any injury to people or property resulting from any ideas, methods, instructions or products referred to in the content. |
© 2024 by the authors. Licensee MDPI, Basel, Switzerland. This article is an open access article distributed under the terms and conditions of the Creative Commons Attribution (CC BY) license (https://creativecommons.org/licenses/by/4.0/).
Share and Cite
Urbańska, M.; Zając, M.; Czerwiński, M.; Morawiak, P.; Bubnov, A.; Deptuch, A. Synthesis and Properties of Highly Tilted Antiferroelectric Liquid Crystalline (R) Enantiomers. Materials 2024, 17, 4967. https://doi.org/10.3390/ma17204967
Urbańska M, Zając M, Czerwiński M, Morawiak P, Bubnov A, Deptuch A. Synthesis and Properties of Highly Tilted Antiferroelectric Liquid Crystalline (R) Enantiomers. Materials. 2024; 17(20):4967. https://doi.org/10.3390/ma17204967
Chicago/Turabian StyleUrbańska, Magdalena, Monika Zając, Michał Czerwiński, Przemysław Morawiak, Alexej Bubnov, and Aleksandra Deptuch. 2024. "Synthesis and Properties of Highly Tilted Antiferroelectric Liquid Crystalline (R) Enantiomers" Materials 17, no. 20: 4967. https://doi.org/10.3390/ma17204967
APA StyleUrbańska, M., Zając, M., Czerwiński, M., Morawiak, P., Bubnov, A., & Deptuch, A. (2024). Synthesis and Properties of Highly Tilted Antiferroelectric Liquid Crystalline (R) Enantiomers. Materials, 17(20), 4967. https://doi.org/10.3390/ma17204967

