The Effect of Optimized Substrate Orientation on Layer Step in Laser Metal Deposition of Single-Crystal Nickel-Base Superalloys
Abstract
1. Introduction
2. Experiments
3. Results
3.1. z-Step of 100 μm in LMD
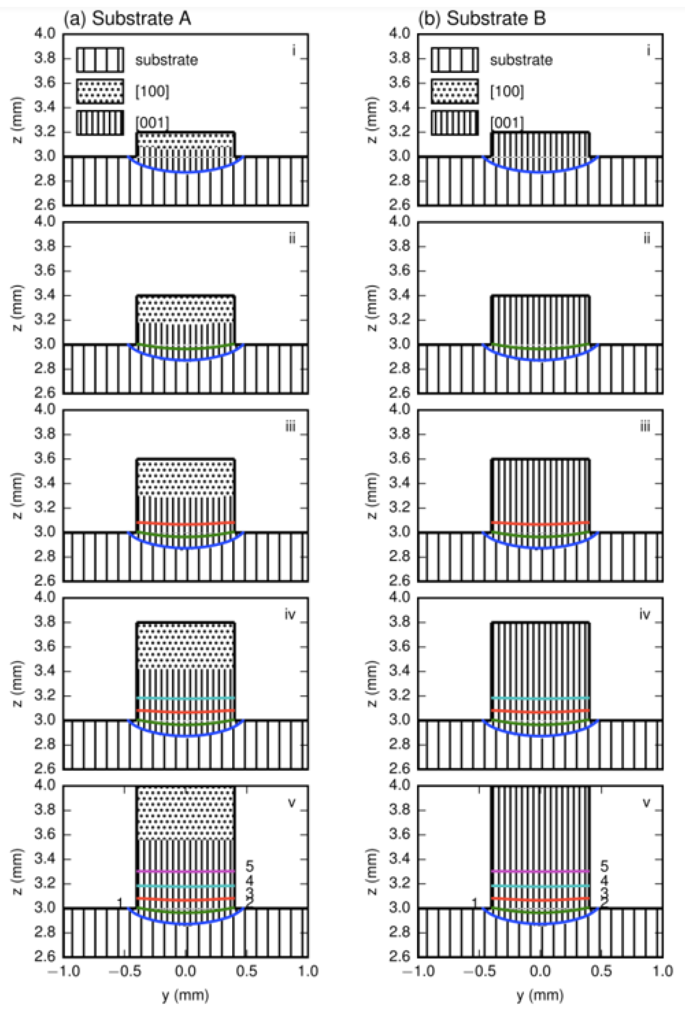
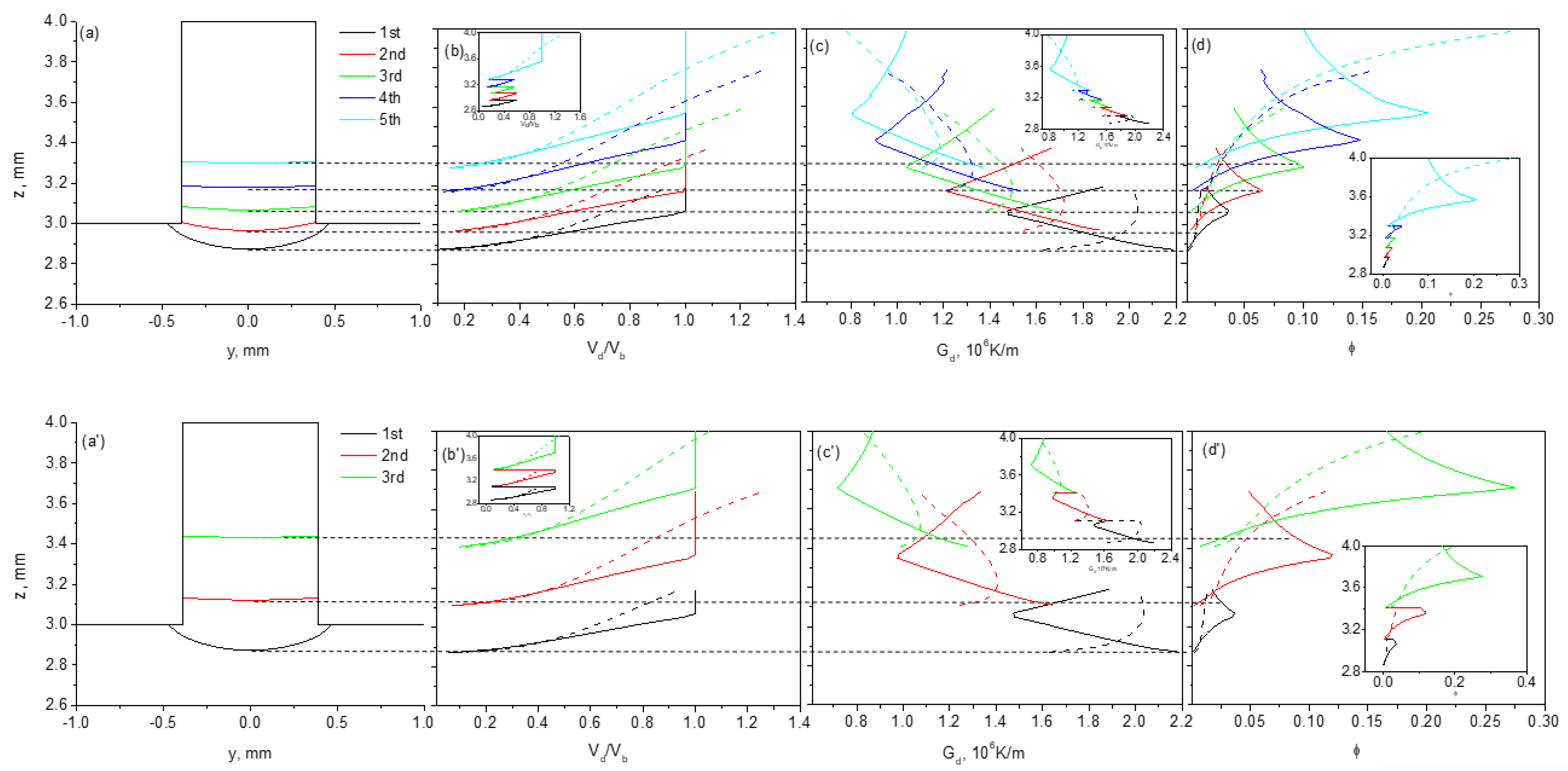
3.2. z-Step of 300 μm in LMD
3.3. z-Step of 300 μm in LR + LMD
4. Discussion
4.1. The Layer Profile and Dendrite Region Distribution in Repair Traces
4.2. The Stray Grain Formation Ability in the Repair Structure
4.3. The Underlying Mechanism for Improving Efficiency
5. Conclusions
Author Contributions
Funding
Institutional Review Board Statement
Informed Consent Statement
Data Availability Statement
Conflicts of Interest
References
- Liu, Z.; Qi, H. Effects of substrate crystallographic orientations on crystal growth and microstructure formation in laser powder deposition of nickelbased superalloy. Acta Mater. 2015, 87, 248–258. [Google Scholar] [CrossRef]
- Liu, W.P.; DuPont, J.N. Effects of melt-pool geometry on crystal growth and microstructure development in laser surface-melted superalloy single crystals. Mathematical modeling of single-crystal growth in a melt pool (part I). Acta Mater. 2004, 52, 4833–4847. [Google Scholar]
- Liu, W.P.; DuPont, J.N. Effects of substrate crystallographic orientations on crystal growth and microstructure development in laser surface-melted superalloy single crystals. Mathematical modeling of single-crystal growth in a melt pool (Part II). Acta Mater. 2005, 53, 1545–1558. [Google Scholar] [CrossRef]
- Fu, A.; Xie, Z.; Wang, J.; Cao, Y.; Wang, B.; Li, J.; Liu, Y. Controlling of cellular substructure and its effect on mechanical properties of FeCoCrNiMo0.2 high entropy alloy fabricated by selective laser melting. Mater. Sci. Eng. A 2024, 901, 146547. [Google Scholar] [CrossRef]
- Cui, M.; Shi, G.; Deng, L.; Guo, H.; Xiong, S.; Tan, L.; Deguchi, Y. Microstructure classification of steel samples with different heat-treatment processes based on laser-induced breakdown spectroscopy (LIBS). J. Anal. At. Spectrom. 2024, 39, 1361–1374. [Google Scholar] [CrossRef]
- Reed, R.C. The Superalloys: Fundamentals and Applications; Cambridge: New York, NY, USA, 2006. [Google Scholar]
- Babu, S.S.; David, S.A.; Park, J.W.; Vitek, J.M. Joining of nickel base superalloy single crystals. Sci. Technol. Weld. Join. 2004, 9, 1–12. [Google Scholar] [CrossRef]
- Churchman, C.; Bonifaz, E.A.; Richards, N.L. Comparison of single crystal ni based superalloy repair by gas tungsten arc and electron beam processes. Mater. Sci. Technol. 2011, 27, 811–817. [Google Scholar] [CrossRef]
- Gäumann, M.; Bezencon, C.; Canalis, P.; Kurz, W. Single-crystal laser deposition of superalloys: Processing–microstructure maps. Acta Mater. 2001, 49, 1051–1062. [Google Scholar] [CrossRef]
- Gäumann, M.; Henry, S.; Clèton, F.; Wagnière, J.D.; Kurz, W. Epitaxial laser metal forming: Analysis of microstructure formation. Mater. Sci. Eng. A 1999, 271, 232–241. [Google Scholar] [CrossRef]
- Kurz, W.; Bezencon, C.; Gäumann, M. Columnar to equiaxed transition in solidification processing. Sci. Technol. Adv. Mater. 2001, 2, 185–191. [Google Scholar] [CrossRef]
- Liu, W.; DuPont, J.N. Direct laser deposition of a single-crystal Ni3Al-based IC221W alloy. Metall. Mater. Trans. A 2005, 36, 3397–3406. [Google Scholar] [CrossRef]
- DuPont, J.; Anderson, T.D. Hot Cracking Phenomena in Welds III; Bӧllinghaus, T., Lippold, J., Cross, C.E., Eds.; Springer: Berlin/Heidelberg, Germany, 2011; pp. 429–439. [Google Scholar]
- Huang, W.D. The Laser 3D Metal Forming Technology; Northwestern Polytechnical University Press: Xi’an, China, 2005. [Google Scholar]
- Badillo, A.; Beckermann, C. Phase-field simulation of the columnar-to- equiaxed transition in alloy solidification. Acta Mater. 2006, 54, 2015–2026. [Google Scholar] [CrossRef]
- Dong, H.B.; Lee, P.D. Simulation of the columnar-to-equiaxed transition in directionally solidified Al–Cu alloys. Acta Mater. 2005, 53, 659–668. [Google Scholar] [CrossRef]
- Hunt, J.D. Steady state columnar and equiaxed growth of dendrites and eutectic. Mater. Sci. Eng. 1984, 65, 75–83. [Google Scholar] [CrossRef]
- Gäumann, M.; Trivedi, R.; Kurz, W. Nucleation ahead of the advancing interface in directional solidification. Mater. Sci. Eng. A 1997, 226–228, 763–769. [Google Scholar] [CrossRef]
- Vitek, J.M. The effect of welding conditions on stray grain formation in single crystal welds—Theoretical analysis. Acta Mater. 2005, 53, 53–67. [Google Scholar] [CrossRef]
- Rappaz, M.; David, S.A.; Vitek, J.M.; Boatner, L.A. Development of micro- structures in Fe−15Ni−15Cr single crystal electron beam welds. Metall. Trans. A 1989, 20, 1125–1138. [Google Scholar] [CrossRef]
- David, S.A.; Vitek, J.M.; Rappaz, M.; Boatner, L.A. Microstructure of stainless steel single-crystal electron beam welds. Metall. Trans. A 1990, 21, 1753–1766. [Google Scholar] [CrossRef]
- Rappaz, M.; David, S.A.; Vitek, J.M.; Boatner, L.A. Analysis of solidification microstructures in Fe-Ni-Cr single-crystal welds. Metall. Trans. A 1990, 21, 1767–1782. [Google Scholar] [CrossRef]
- Yuan, X.L. China Aeronautical Materials Handbook: Wrought Superalloy and Cast Superalloy; Standards Press of China: Beijing, China, 2001. (In Chinese) [Google Scholar]
- Fang, W.Y.; Li, Y.H.; He, W.F.; Lu, Y.J.; Li, P.Y. Numerical simulation of residual stresses fields of DD6 blade during laser shock processing. Mater. Des. 2013, 43, 170–176. [Google Scholar] [CrossRef]
- Huang, M.; Cheng, Z.Y.; Xiong, J.; Li, J.; Hu, J.Q.; Liu, Z.; Zhu, J. Coupling between Re segregation and c/c0 interfacial dislocations during high-temperature, low-stress creep of a nickel-based single-crystal superalloy. Acta Mater. 2014, 76, 294–305. [Google Scholar] [CrossRef]











| Element | Cr | Co | Mo | W | Ta | Re | Nb | Ti | Al | Hf | Fe | Zr | S | Ni |
|---|---|---|---|---|---|---|---|---|---|---|---|---|---|---|
| DD6 | 4.3 | 9.0 | 2.0 | 8.0 | 7.5 | 2.0 | 0.5 | - | 5.6 | 0.1 | - | - | - | Bal. |
Disclaimer/Publisher’s Note: The statements, opinions and data contained in all publications are solely those of the individual author(s) and contributor(s) and not of MDPI and/or the editor(s). MDPI and/or the editor(s) disclaim responsibility for any injury to people or property resulting from any ideas, methods, instructions or products referred to in the content. |
© 2024 by the authors. Licensee MDPI, Basel, Switzerland. This article is an open access article distributed under the terms and conditions of the Creative Commons Attribution (CC BY) license (https://creativecommons.org/licenses/by/4.0/).
Share and Cite
Guo, J.; Zhou, J.; Sun, Y.; Feng, B.; Zhang, Y.; Ding, C. The Effect of Optimized Substrate Orientation on Layer Step in Laser Metal Deposition of Single-Crystal Nickel-Base Superalloys. Materials 2024, 17, 4607. https://doi.org/10.3390/ma17184607
Guo J, Zhou J, Sun Y, Feng B, Zhang Y, Ding C. The Effect of Optimized Substrate Orientation on Layer Step in Laser Metal Deposition of Single-Crystal Nickel-Base Superalloys. Materials. 2024; 17(18):4607. https://doi.org/10.3390/ma17184607
Chicago/Turabian StyleGuo, Jiachen, Junxiang Zhou, Yong Sun, Bo Feng, Yunwei Zhang, and Chang Ding. 2024. "The Effect of Optimized Substrate Orientation on Layer Step in Laser Metal Deposition of Single-Crystal Nickel-Base Superalloys" Materials 17, no. 18: 4607. https://doi.org/10.3390/ma17184607
APA StyleGuo, J., Zhou, J., Sun, Y., Feng, B., Zhang, Y., & Ding, C. (2024). The Effect of Optimized Substrate Orientation on Layer Step in Laser Metal Deposition of Single-Crystal Nickel-Base Superalloys. Materials, 17(18), 4607. https://doi.org/10.3390/ma17184607
