Investigation of Superconductivity in Ce-Doped (La,Pr)OBiS2 Single Crystals
Abstract
:1. Introduction
2. Experimental
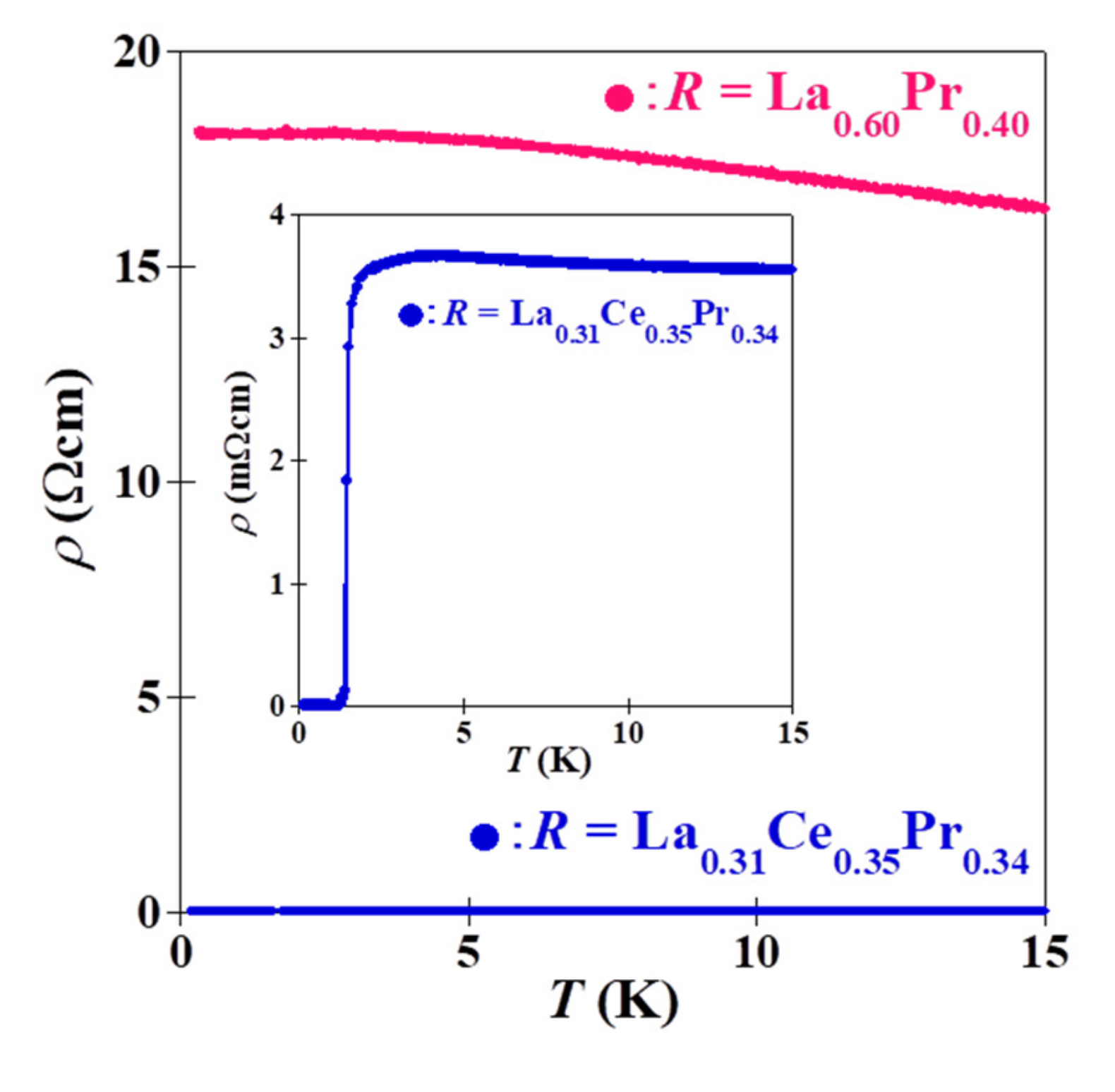
3. Results and Discussion
4. Conclusions
Author Contributions
Funding
Institutional Review Board Statement
Informed Consent Statement
Acknowledgments
Conflicts of Interest
References
- Bednorz, J.G.; Müller, K.A. Possible highTc superconductivity in the Ba−La−Cu−O system. Phys. B Condens. Matter 1986, 64, 189–193. [Google Scholar] [CrossRef]
- Wu, M.K.; Ashburn, J.R.; Thorng, C.J.; Hor, P.H.; Meng, R.L.; Gao, L.; Huang, Z.J.; Wang, Y.Q.; Chu, C.W. Superconductivity at 93 K in a new mixed-phase Y-Ba-Cu-O compound system at ambient pressure. Phys. Rev. Lett. 1987, 58, 908. [Google Scholar] [CrossRef] [PubMed] [Green Version]
- Maeda, H.; Tanaka, Y.; Fukutomi, M.; Asano, T. A New High-Tc Oxide Superconductor without a Rare Earth Element. Jpn. J. Appl. Phys. 1988, 27, L209. [Google Scholar] [CrossRef] [Green Version]
- Kamihara, Y.; Hiramatsu, H.; Hirano, M.; Kawamura, R.; Yanagi, H.; Kamiya, T.; Hosono, H. Iron-Based Layered Superconductor: LaOFeP. J. Am. Chem. Soc. 2006, 128, 10012–10013. [Google Scholar] [CrossRef]
- Kamihara, Y.; Watanabe, T.; Hirano, M.; Hosono, H. Iron-based layered superconductor La[O(1−x)F(x)]FeAs (x = 0.05–0.12) with T(c) = 26 K. J. Am. Chem. Soc. 2008, 130, 3296–3297. [Google Scholar] [CrossRef]
- Mizuguchi, Y.; Demura, S.; Deguchi, K.; Takano, Y.; Fujihisa, H.; Gotoh, Y.; Izawa, H.; Miura, O. Superconductivity in novel BiS2-based layered superconductor LaO1−xFxBiS2. J. Phys. Soc. Jpn. 2012, 81, 114725. [Google Scholar] [CrossRef] [Green Version]
- Xing, J.; Li, S.; Ding, X.; Yang, H.; Wen, H.-H. Superconductivity appears in the vicinity of semiconducting-like behavior in CeO1−xFxBiS2. Phys. Rev. B 2012, 86, 214518. [Google Scholar] [CrossRef] [Green Version]
- Jha, R.; Kumar, A.; Singh, S.K.; Awana, V.P.S. Synthesis and Superconductivity of New BiS2 Based Superconductor PrO0.5F0.5BiS2. J. Supercond. Nov. Magn. 2013, 26, 499–502. [Google Scholar] [CrossRef]
- Demura, S.; Mizuguchi, Y.; Deguchi, K.; Okazaki, H.; Hara, H.; Watanabe, T.; Denholme, S.J.; Fujioka, M.; Ozaki, T.; Fujihisa, H.; et al. New Member of BiS2-Based Superconductor NdO1−xFxBiS2. J. Phys. Soc. Jpn. 2013, 82, 033708. [Google Scholar] [CrossRef]
- Yazici, D.; Huang, K.; White, B.D.; Chang, A.H.; Friedman, A.J.; Maple, M.B. Superconductivity of F-substituted LnOBiS2 (Ln = La, Ce, Pr, Nd, Yb) compounds. Philos. Mag. 2013, 93, 673. [Google Scholar] [CrossRef] [Green Version]
- Kinami, K.; Hanada, Y.; Nagao, M.; Miura, A.; Goto, Y.; Maruyama, Y.; Watauchi, S.; Takano, Y.; Tanaka, I. Growth of Superconducting Sm(O,F)BiS2 Single Crystals. Cryst. Growth Des. 2019, 19, 6136–6140. [Google Scholar] [CrossRef]
- Nagao, M.; Miura, A.; Ueta, I.; Watauchi, S.; Tanaka, I. Superconductivity in CeOBiS2 with cerium valence fluctuation. Solid State Commun. 2016, 245, 11–14. [Google Scholar] [CrossRef] [Green Version]
- Tanaka, M.; Nagao, M.; Matsumoto, R.; Kataoka, N.; Ueta, I.; Tanaka, H.; Watauchi, S.; Tanaka, I.; Takano, Y. Superconductivity and its enhancement under high pressure in “F-free” single crystals of CeOBiS2. J. Alloys Compd. 2017, 722, 467–473. [Google Scholar] [CrossRef] [Green Version]
- Hanada, Y.; Nagao, M.; Miura, A.; Maruyama, Y.; Watauchi, S.; Takano, Y.; Tanaka, I. Growth and characterization of (La,Ce)OBiS2 single crystals. Jpn. J. Appl. Phys. 2019, 58, 063001. [Google Scholar] [CrossRef]
- Miura, A.; Nagao, M.; Goto, Y.; Mizuguchi, Y.; Matsuda, T.D.; Aoki, Y.; Moriyoshi, C.; Kuroiwa, Y.; Takano, Y.; Watauchi, S.; et al. Crystal Structure and Superconductivity of Tetragonal and Monoclinic Ce1–xPrxOBiS2. Inorg. Chem. 2018, 57, 5364–5370. [Google Scholar] [CrossRef]
- Nagao, M.; Miura, A.; Urushihara, D.; Maruyama, Y.; Goto, Y.; Mizuguchi, Y.; Moriyoshi, C.; Kuroiwa, Y.; Wang, Y.; Watauchi, S.; et al. Flux Growth and Superconducting Properties of (Ce,Pr)OBiS2 Single Crystals. Front. Chem. 2020, 8, 44. [Google Scholar] [CrossRef] [Green Version]
- Kase, N.; Matsumoto, M.; Kondo, K.; Gouchi, J.; Uwatoko, Y.; Sakakibara, T.; Miyakawa, N. Superconductivity of Electron-Doped NdOBiS2 by Substitution of Mixed-Valence Ce Ions. J. Phys. Soc. Jpn. 2019, 88, 103703. [Google Scholar] [CrossRef] [Green Version]
- Fujita, Y.; Kinami, K.; Hanada, Y.; Nagao, M.; Miura, A.; Hirai, S.; Maruyama, Y.; Watauchi, S.; Takano, Y.; Tanaka, I. Growth and Characterization of ROBiS2 High-Entropy Superconducting Single Crystals. ACS Omega 2020, 5, 16819–16825. [Google Scholar] [CrossRef]
- Higashinaka, R.; Asano, T.; Nakashima, T.; Fushiya, K.; Mizuguchi, Y.; Miura, O.; Matsuda, T.D.; Aoki, Y. Pronounced −Log T Divergence in Specific Heat of Nonmetallic CeOBiS2: A Mother Phase of BiS2-Based Superconductor. J. Phys. Soc. Jpn. 2015, 84, 023702. [Google Scholar] [CrossRef] [Green Version]
- Nagao, M.; Miura, A.; Matsumoto, R.; Maruyama, Y.; Watauchi, S.; Takano, Y.; Tadanaga, K.; Tanaka, I. Growth and transport properties under high pressure of PrOBiS2 single crystals. Solid State Commun. 2019, 296, 17–20. [Google Scholar] [CrossRef] [Green Version]
- Nagao, M.; Demura, S.; Deguchi, K.; Miura, A.; Watauchi, S.; Takei, T.; Takano, Y.; Kumada, N.; Tanaka, I. Structural Analysis and Superconducting Properties of F-Substituted NdOBiS2 Single Crystals. J. Phys. Soc. Jpn. 2013, 82, 113701. [Google Scholar] [CrossRef] [Green Version]
- Nagao, M. Growth and characterization of R(O,F)BiS2 (R = La, Ce, Pr, Nd) superconducting single crystals. Nov. Supercond. Mater. 2015, 1, 64–74. [Google Scholar] [CrossRef]
- Yaroslavtsev, A.; Menushenkov, A.; Chernikov, R.; Clementyev, E.; Lazukov, V.; Zubavichus, Y.; Veligzhanin, A.; Efremova, N.; Gribanov, A.; Kuchin, A. Ce valence in intermetallic compounds by means of XANES spectroscopy. Z. Krist. Cryst. Mater. 2010, 225, 482. [Google Scholar] [CrossRef] [Green Version]
- Yamazaki, S.; Matsui, T.; Ohashi, T.; Arita, Y. Defect structures in doped CeO2 studied by using XAFS spectrometry. Solid State Ion. 2000, 136–137, 913–920. [Google Scholar] [CrossRef]
- Ku, H.C.; Lin, B.N.; Lin, Y.X.; Hsu, Y.Y. Effect of Pr–O hybridization on the anomalous magnetic properties of Pr1+xBa2−xCu3O7−y system. J. Appl. Phys. 2002, 91, 7128. [Google Scholar] [CrossRef] [Green Version]
- Lin, B.N.; Lin, Y.X.; Hsu, Y.Y.; Liao, J.D.; Cheng, W.H.; Lee, J.F.; Jang, L.Y.; Ku, H.C. Anomalous Pr Ordering, PrL3-Edge and Cu K-Edge XANES Studies for the Insulating PrBa2Cu3O7−y System. J. Low Temp. Phys. 2003, 131, 803. [Google Scholar] [CrossRef]
- Fujishiro, H.; Naito, T.; Ogawa, S.; Yoshida, N.; Nitta, K.; Hejtmánek, J.; Knížek, K.; Jirák, Z. Valence Shift of Pr Ion from 3+ to 4+ in (Pr1−yYy)0.7Ca0.3CoO3 Estimated by X-Ray Absorption Spectroscopy. J. Phys. Soc. Jpn. 2012, 81, 064709. [Google Scholar] [CrossRef]
- Shannon, R.D. Revised effective ionic radii and systematic studies of interatomic distances in halides and chalcogenides. Acta Crystallogr. Sect. A 1976, 32, 751–767. [Google Scholar] [CrossRef]
- Mizuguchi, Y.; Miura, A.; Kajitani, J.; Hiroi, T.; Miura, O.; Tadanaga, K.; Kumada, N.; Magome, E.; Moriyoshi, C.; Kuroiwa, Y. In-plane chemical pressure essential for superconductivity in BiCh2-based (Ch: S, Se) layered structure. Sci. Rep. 2015, 5, 14968. [Google Scholar] [CrossRef] [Green Version]








| Sample Name | Nominal Compositions | Analyzed Compositions | c-Axis Lattice Constants (Å) | ||||
|---|---|---|---|---|---|---|---|
| La:a | Ce:b | Pr:c | La | Ce | Pr | ||
| #1 | 0.10 | 0.20 | 0.70 | 0.13 ± 0.01 | 0.20 ± 0.01 | 0.67 ± 0.02 | 13.68 |
| #2 | 0.25 | 0.50 | 0.25 | 0.20 ± 0.02 | 0.60 ± 0.03 | 0.20 ± 0.02 | 13.59 |
| #3 | 0.33 | 0.33 | 0.33 | 0.31 ± 0.01 | 0.35 ± 0.04 | 0.34 ± 0.05 | 13.61 |
| #4 | 0.65 | 0.15 | 0.20 | 0.69 ± 0.03 | 0.13 ± 0.01 | 0.18 ± 0.04 | 13.68 |
| #5 | 0.10 | 0 | 0.90 | 0.28 ± 0.02 | 0 | 0.72 ± 0.03 | 13.80 |
| #6 | 0.50 | 0 | 0.50 | 0.60 ± 0.02 | 0 | 0.40 ± 0.01 | 13.80 |
| #7 | 0.90 | 0 | 0.10 | 0.89 ± 0.03 | 0 | 0.11 ± 0.03 | 13.81 |
| Sample Name | Analyzed Averaging Compositions | Tetravalent Electronic Configuration (R4+) Concentrations at the R-Site | Mean R-Site Ionic Radius (Å) | ||||
|---|---|---|---|---|---|---|---|
| La | Ce | Pr | Ce4+ | Pr4+ | Total (Ce4++Pr4+) | ||
| #1 | 0.13 | 0.20 | 0.67 | 0.13 | 0.11 | 0.24 | 0.966 |
| #2 | 0.20 | 0.60 | 0.20 | 0.16 | 0.01 | 0.17 | 0.987 |
| #3 | 0.31 | 0.35 | 0.34 | 0.11 | 0.03 | 0.14 | 0.991 |
| #4 | 0.69 | 0.13 | 0.18 | 0.09 | 0.01 | 0.10 | 1.01 |
| #5 | 0.28 | 0 | 0.72 | 0 | 0.09 | 0.09 | 0.989 |
| #6 | 0.60 | 0 | 0.40 | 0 | 0 | 0 | 1.02 |
| #7 | 0.89 | 0 | 0.11 | 0 | 0.01 | 0.01 | 1.03 |
Publisher’s Note: MDPI stays neutral with regard to jurisdictional claims in published maps and institutional affiliations. |
© 2022 by the authors. Licensee MDPI, Basel, Switzerland. This article is an open access article distributed under the terms and conditions of the Creative Commons Attribution (CC BY) license (https://creativecommons.org/licenses/by/4.0/).
Share and Cite
Nagao, M.; Hanada, Y.; Miura, A.; Maruyama, Y.; Watauchi, S.; Takano, Y.; Tanaka, I. Investigation of Superconductivity in Ce-Doped (La,Pr)OBiS2 Single Crystals. Materials 2022, 15, 2977. https://doi.org/10.3390/ma15092977
Nagao M, Hanada Y, Miura A, Maruyama Y, Watauchi S, Takano Y, Tanaka I. Investigation of Superconductivity in Ce-Doped (La,Pr)OBiS2 Single Crystals. Materials. 2022; 15(9):2977. https://doi.org/10.3390/ma15092977
Chicago/Turabian StyleNagao, Masanori, Yuji Hanada, Akira Miura, Yuki Maruyama, Satoshi Watauchi, Yoshihiko Takano, and Isao Tanaka. 2022. "Investigation of Superconductivity in Ce-Doped (La,Pr)OBiS2 Single Crystals" Materials 15, no. 9: 2977. https://doi.org/10.3390/ma15092977
APA StyleNagao, M., Hanada, Y., Miura, A., Maruyama, Y., Watauchi, S., Takano, Y., & Tanaka, I. (2022). Investigation of Superconductivity in Ce-Doped (La,Pr)OBiS2 Single Crystals. Materials, 15(9), 2977. https://doi.org/10.3390/ma15092977
