Synthesis and Characterization of High-Entropy-Alloy-Type Layered Telluride MBi2Te4 (M = Ag, In, Sn, Pb, Bi)
Abstract
:1. Introduction
2. Materials and Methods
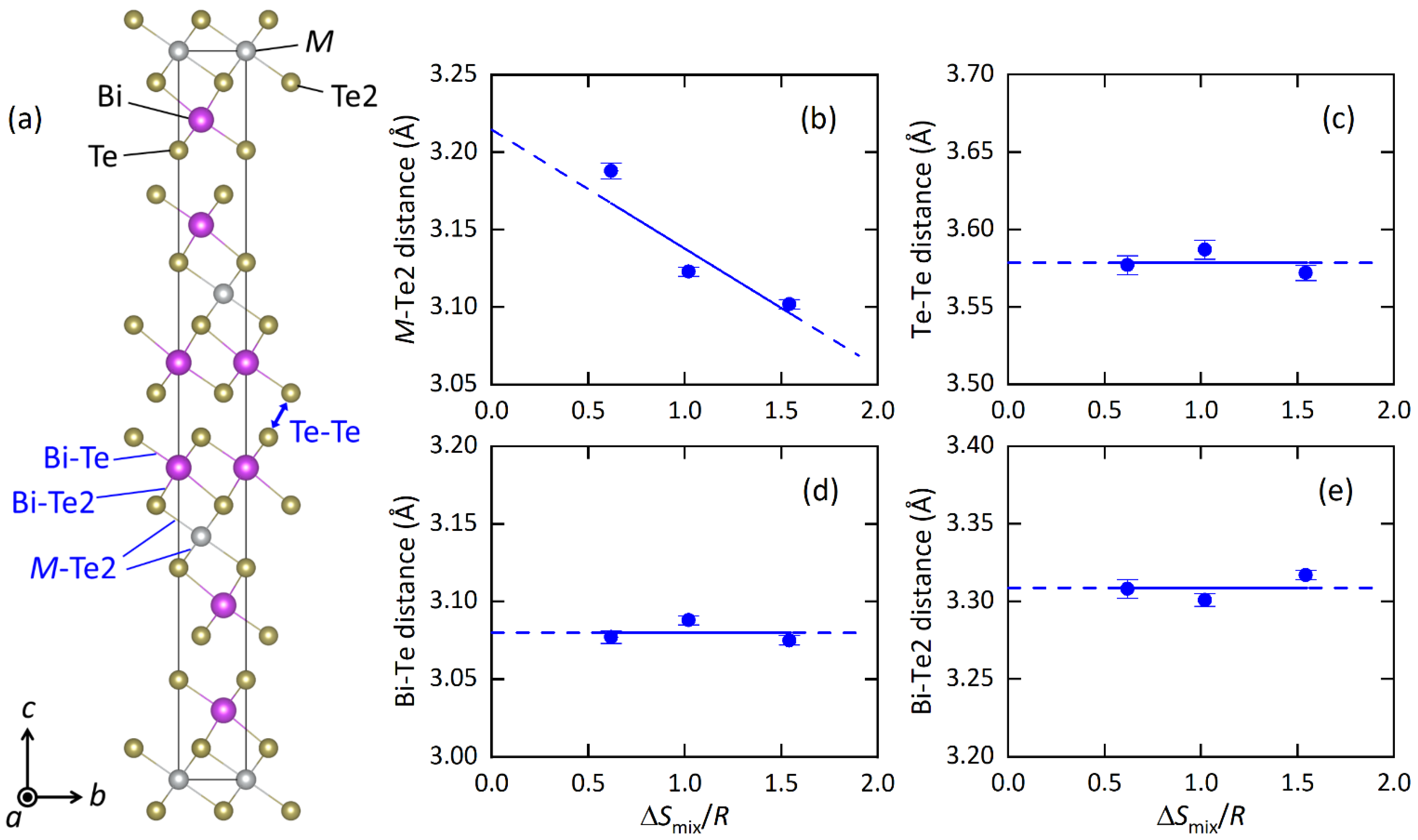
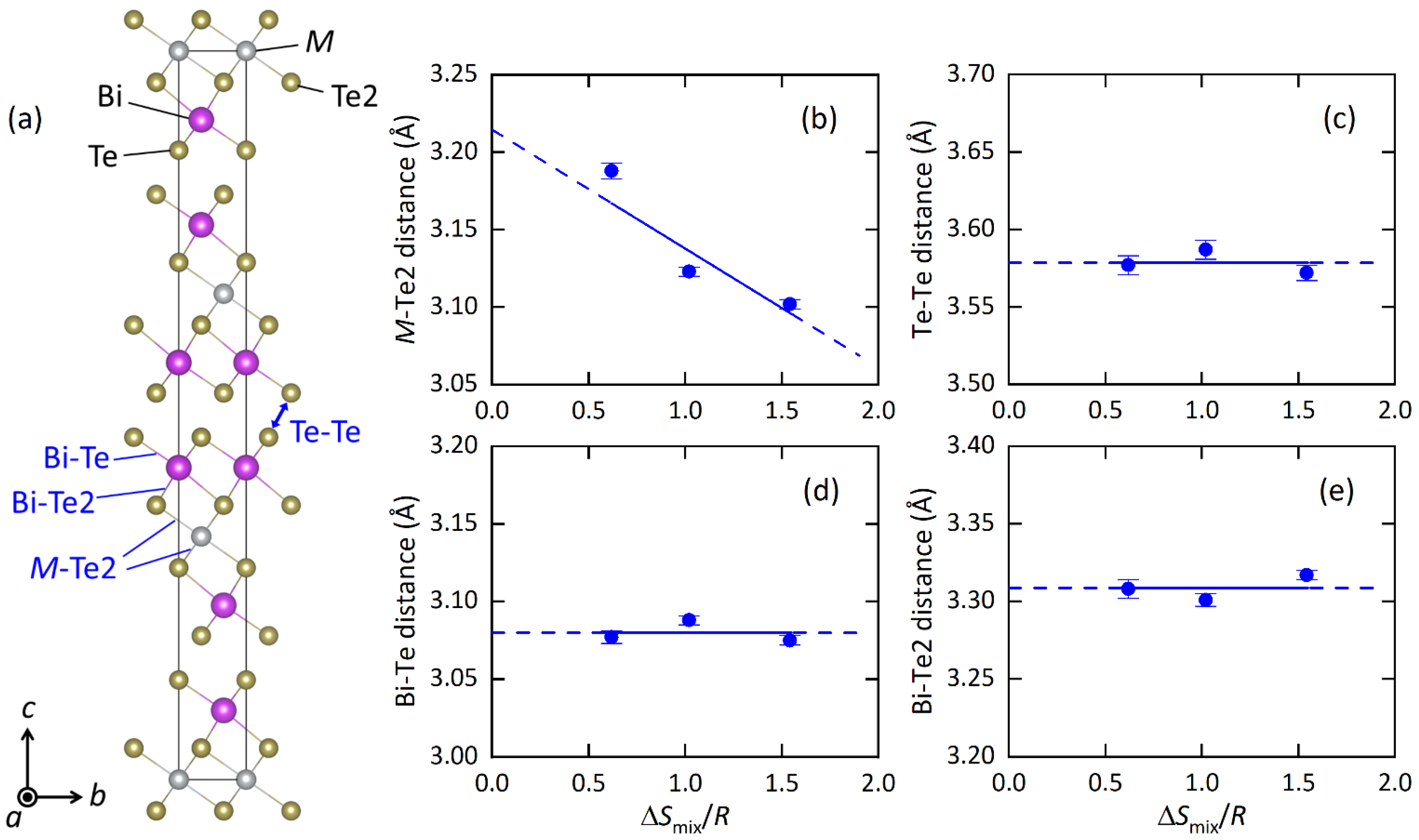
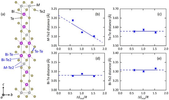
3. Results
4. Discussion
5. Conclusions
Author Contributions
Funding
Institutional Review Board Statement
Informed Consent Statement
Data Availability Statement
Acknowledgments
Conflicts of Interest
References
- Tsai, M.H.; Yeh, J.W. High-Entropy Alloys: A Critical Review. Mater. Res. Lett. 2014, 2, 107–123. [Google Scholar] [CrossRef]
- Yeh, J.-W.; Chen, S.K.; Lin, S.-J.; Gan, J.-Y.; Chin, T.-S.; Shun, T.-T.; Tsau, C.-H.; Chang, S.-Y. Nanostructured High-Entropy Alloys with Multiple Principal Elements: Novel Alloy Design Concepts and Outcomes. Adv. Eng. Mater. 2004, 6, 299–303. [Google Scholar] [CrossRef]
- Mizuguchi, Y.; Yamashita, A. Superconductivity in HEA-type compounds. In Advances in High-Entropy Alloys–Materials Research, Exotic Properties and Applications; Kitagawa, J., Ed.; IntechOpen: London, UK, 2021. [Google Scholar] [CrossRef]
- Sogabe, R.; Goto, Y.; Mizuguchi, Y. Superconductivity in REO0.5F0.5BiS2 with high-entropy-alloy-type blocking layers. Appl. Phys. Express 2018, 11, 053102. [Google Scholar] [CrossRef]
- Fujita, Y.; Kinami, K.; Hanada, Y.; Nagao, M.; Miura, A.; Hirai, S.; Maruyama, Y.; Watauchi, S.; Takano, Y.; Tanaka, I. Growth and Characterization of ROBiS2 High-Entropy Superconducting Single Crystals. ACS Omega 2020, 5, 16819. [Google Scholar] [CrossRef] [PubMed]
- Shukunami, Y.; Yamashita, A.; Goto, Y.; Mizuguchi, Y. Synthesis of RE123 high-Tc superconductors with a high-entropy-alloy-type RE site. Phys. C Supercond. 2020, 572, 1353623. [Google Scholar] [CrossRef] [Green Version]
- Sogabe, R.; Goto, Y.; Abe, T.; Moriyoshi, C.; Kuroiwa, Y.; Miura, A.; Tadanaga, K.; Mizuguchi, Y. Improvement of super-conducting properties by high mixing entropy at blocking layers in BiS2-based superconductor REO0.5F0.5BiS2. Solid State Commun. 2019, 295, 43–49. [Google Scholar] [CrossRef] [Green Version]
- Mizuguchi, M.; Kasem, M.R.; Matsuda, T.D. Superconductivity in CuAl2-type Co0.2Ni0.1Cu0.1Rh0.3Ir0.3Zr2 with a high-entropy-alloy transition metal site. Mater. Res. Lett. 2021, 9, 141–147. [Google Scholar] [CrossRef]
- Kasem, R.; Yamashita, A.; Goto, Y.; Matsuda, T.D.; Mizuguchi, Y. Synthesis of high-entropy-alloy-type superconductors (Fe,Co,Ni,Rh,Ir)Zr2 with tunable transition temperature. J. Mater. Sci. 2021, 56, 9499–9505. [Google Scholar] [CrossRef]
- Md Kasem, R.; Yamashita, A.; Hatano, T.; Sakurai, K.; Oono-Hori, N.; Goto, Y.; Miura, O.; Mizuguchi, Y. Anomalous broadening of specific heat jump at Tc in high-entropy-alloy-type superconductor TrZr2. Supercond. Sci. Technol. 2021, 34, 125001. [Google Scholar] [CrossRef]
- Ying, T.; Yu, T.; Shiah, Y.-S.; Li, C.; Li, J.; Qi, Y.; Hosono, H. High-Entropy van der Waals Materials Formed from Mixed Metal Dichalcogenides, Halides, and Phosphorus Trisulfides. J. Am. Chem. Soc. 2021, 143, 7042–7049. [Google Scholar] [CrossRef]
- Mizuguchi, Y. Superconductivity in High-Entropy-Alloy Telluride AgInSnPbBiTe5. J. Phys. Soc. Jpn. 2019, 88, 124708. [Google Scholar] [CrossRef] [Green Version]
- Kasem, M.R.; Hoshi, K.; Jha, R.; Katsuno, M.; Yamashita, A.; Goto, Y.; Matsuda, T.D.; Aoki, Y.; Mizuguchi, Y. Supercon-ducting properties of high-entropy-alloy tellurides M-Te (M: Ag, In, Cd, Sn, Sb, Pb, Bi) with a NaCl-type structure. Appl. Phys. Express 2020, 13, 033001. [Google Scholar] [CrossRef]
- Yamashita, A.; Jha, R.; Goto, Y.; Matsuda, T.D.; Aoki, Y.; Mizuguchi, Y. An efficient way of increasing the total entropy of mixing in high-entropy-alloy compounds: A case of NaCl-type (Ag,In,Pb,Bi)Te1−xSex (x = 0.0, 0.25, 0.5) superconductors. Dalton Trans. 2020, 49, 9118–9122. [Google Scholar] [CrossRef] [PubMed]
- Yamashita, A.; Matsuda, T.D.; Mizuguchi, Y. Synthesis of new high-entropy alloy-type Nb3(Al, Sn, Ge, Ga, Si) superconduc-tors. J. Alloy Compd. 2021, 868, 159233. [Google Scholar] [CrossRef]
- Nakahira, Y.; Kiyama, R.; Yamashita, A.; Itou, H.; Miura, A.; Moriyoshi, C.; Goto, Y.; Mizuguchi, Y. Improvement of upper critical field by the compositionally-complex-alloy concept in A15 superconductor V3X (X: Al, Si, Ga, Ge, Sn). arXiv 2021, arXiv:2111.12391. [Google Scholar] [CrossRef]
- Md. Kasem, R.; Nakahira, Y.; Yamaoka, H.; Matsumoto, R.; Yamashita, A.; Ishii, H.; Hiraoka, N.; Takano, Y.; Goto, Y.; Mi-zuguchi, Y. Robustness of superconductivity to external pressure in high-entropy-alloy-type metal telluride AgInSnPbBiTe5. arXiv 2021, arXiv:2112.06461. [Google Scholar] [CrossRef]
- Guo, J.; Wang, H.; von Rohr, F.; Wang, Z.; Cai, S.; Zhou, Y.; Yang, K.; Li, A.; Jiang, S.; Wu, Q.; et al. Robust zero resistance in a superconducting high-entropy alloy at pressures up to 190 GPa. Proc. Natl. Acad. Sci. USA 2017, 114, 13144–13147. [Google Scholar] [CrossRef] [Green Version]
- Jiang, B.; Yu, Y.; Cui, J.; Liu, X.; Xie, L.; Liao, J.; Zhang, Q.; Huang, Y.; Ning, S.; Jia, B.; et al. High-entropy-stabilized chalcogenides with high thermoelectric performance. Science 2021, 371, 6531. [Google Scholar] [CrossRef]
- Yamashita, A.; Goto, Y.; Miura, A.; Moriyoshi, C.; Kuroiwa, Y.; Mizuguchi, Y. n-Type thermoelectric metal chalcogenide (Ag,Pb,Bi)(S,Se,Te) designed by multi-site-type high-entropy alloying. Mater. Res. Lett. 2021, 9, 366. [Google Scholar] [CrossRef]
- Luo, Y.; Hao, S.; Cai, S.; Slade, T.J.; Luo, Z.Z.; Dravid, V.P.; Wolverton, C.; Yan, Q.; Kanatzidis, M.G. High Thermoelectric Performance in the New Cubic Semiconductor AgSnSbSe3 by High-Entropy Engineering. J. Am. Chem. Soc. 2020, 142, 15187–15198. [Google Scholar] [CrossRef]
- Jiang, B.; Yu, Y.; Chen, H.; Cui, J.; Liu, X.; Xie, L.; He, J. Entropy engineering promotes thermoelectric performance in p-type chalcogenides. Nat. Commun. 2021, 12, 3234. [Google Scholar] [CrossRef]
- Chen, K.; Zhang, R.; Bos, J.W.G.; Reece, M.J. Synthesis and thermoelectric properties of high-entropy half-Heusler MFe1−xCoxSb (M = equimolar Ti, Zr, Hf, V, Nb, Ta). J. Alloy. Compd. 2022, 892, 162045. [Google Scholar] [CrossRef]
- Matsumoto, R.; Hou, Z.; Nagao, M.; Adachi, S.; Hara, H.; Tanaka, H.; Nakamura, K.; Murakami, R.; Yamamoto, S.; Takeya, H.; et al. Data-driven exploration of new pressure-induced superconductivity in PbBi2Te4. Sci. Technol. Adv. Mater. 2018, 19, 909–916. [Google Scholar] [CrossRef] [PubMed] [Green Version]
- Kawaguchi, S.; Takemoto, M.; Osaka, K.; Nishibori, E.; Moriyoshi, C.; Kubota, Y.; Kuroiwa, Y.; Sugimoto, K. High-throughput powder diffraction measurement system consisting of multiple MYTHEN detectors at beamline BL02B2 of SPring-8. Rev. Sci. Instrum. 2017, 88, 085111. [Google Scholar] [CrossRef] [PubMed]
- Petříček, V.; Dušek, M.; Palatinus, L. Crystallographic Computing System JANA2006: General features. Z. Krist. 2014, 229, 345–352. [Google Scholar] [CrossRef]
- Momma, K.; Izumi, F. VESTA: A three-dimensional visualization system for electronic and structural analysis. J. Appl. Crystallogr. 2008, 41, 653–658. [Google Scholar] [CrossRef]
- Otto, F.; Yang, Y.; Bei, H.; George, E. Relative effects of enthalpy and entropy on the phase stability of equiatomic high-entropy alloys. Acta Mater. 2013, 61, 2628–2638. [Google Scholar] [CrossRef] [Green Version]
- Mal, P.; Bera, G.; Turpu, G.R.; Srivastava, S.K.; Gangan, A.; Chakraborty, B.; Das, B.; Das, P. Vibrational spectra of Pb2Bi2Te3, PbBi2Te4, and PbBi4Te7 topological insulators: Temperature-dependent Raman and theoretical insights from DFT simulations. Phys. Chem. Chem. Phys. 2019, 21, 15030–15039. [Google Scholar] [CrossRef] [Green Version]
- Abbas, F.I.; Nakahira, Y.; Yamashita, A.; Md. Kasem, R.; Yoshida, M.; Goto, Y.; Miura, A.; Terashima, K.; Matsumoto, R.; Takano, Y.; et al. Estimation of Grüneisen parameter of high-entropy-alloy-type functional materials. arXiv 2022, arXiv:2202.12516. [Google Scholar] [CrossRef]




| Nominal Composition | Occupancy of Atom in M-Site | ||||
|---|---|---|---|---|---|
| Ag | In | Sn | Pb | Bi | |
| PbBi2Te4 | – | – | – | 0.7(2) | 0.3(1) |
| (Ag1/3Pb1/3Bi1/3)Bi2Te4 | 0.18(3) | – | – | 0.32(2) | 0.50(3) |
| (Ag1/5In1/5Sn1/5Pb1/5Bi1/5)Bi2Te4 | 0.14(3) | 0.15(3) | 0.25(3) | 0.14(3) | 0.32(2) |
| (a) Structure parameters of PbBi2Te4. Space group Rm; Z = 3; a = 4.43910(8) Å, c = 41.6331(12) Å; wRp = 0.082; RB = 0.116, RF = 0.082, goodness-of-fit = 10.67. | |||||||
| Atom | Site | Symmetry | g | x | y | z | Uiso (Å2) |
| Pb | 3a | m | 1 | 0 | 0 | 0 | 0.032(1) |
| Bi | 6c | 3m | 1 | 0 | 0 | 0.42913(11) | 0.0296(12) |
| Te | 6c | 3m | 1 | 0 | 0 | 0.13669(10) | 0.0127(7) |
| Te2 | 6c | 3m | 1 | 0 | 0 | 0.2878(2) | = Uiso (Te) |
| (b) Structure parameters of MEA. Space group Rm; Z = 3; a = 4.42165(11) (8) Å, c = 41.331(2) Å; wRp = 0.054; RB = 0.076, RF = 0.059, goodness-of-fit = 6.32. | |||||||
| Atom | Site | Symmetry | g | x | y | z | Uiso (Å2) |
| Ag | 3a | m | 1/3 | 0 | 0 | 0 | 0.015(2) |
| Pb | 3a | m | 1/3 | 0 | 0 | 0 | = Uiso (Ag) |
| Bi | 3a | m | 1/3 | 0 | 0 | 0 | = Uiso (Ag) |
| Bi2 | 6c | 3m | 1 | 0 | 0 | 0.42750(7) | 0.0325(8) |
| Te | 6c | 3m | 1 | 0 | 0 | 0.13618(9) | 0.0100(6) |
| Te2 | 6c | 3m | 1 | 0 | 0 | 0.28980(12) | = Uiso (Te) |
| (c) Structure parameters of HEA. Space group Rm; Z = 3; a = 4.40848(9) Å, c = 41.2768(15) Å; wRp = 0.063; RB = 0.101, RF = 0.076, goodness-of-fit = 8.84. | |||||||
| Atom | Site | Symmetry | g | x | y | z | Uiso (Å2) |
| Ag | 3a | m | 1/5 | 0 | 0 | 0 | 0.007110(15) |
| In | 3a | m | 1/5 | 0 | 0 | 0 | = Uiso (Ag) |
| Sn | 3a | m | 1/5 | 0 | 0 | 0 | = Uiso (Ag) |
| Pb | 3a | m | 1/5 | 0 | 0 | 0 | = Uiso (Ag) |
| Bi | 3a | m | 1/5 | 0 | 0 | 0 | = Uiso (Ag) |
| Bi2 | 6c | 3m | 1 | 0 | 0 | 0.42785(7) | 0.0333(8) |
| Te | 6c | 3m | 1 | 0 | 0 | 0.13631(8) | 0.0143(9) |
| Te2 | 6c | 3m | 1 | 0 | 0 | 0.29037(9) | = Uiso (Te) |
Publisher’s Note: MDPI stays neutral with regard to jurisdictional claims in published maps and institutional affiliations. |
© 2022 by the authors. Licensee MDPI, Basel, Switzerland. This article is an open access article distributed under the terms and conditions of the Creative Commons Attribution (CC BY) license (https://creativecommons.org/licenses/by/4.0/).
Share and Cite
Nakahira, Y.; Shimono, S.; Goto, Y.; Miura, A.; Moriyoshi, C.; Mizuguchi, Y. Synthesis and Characterization of High-Entropy-Alloy-Type Layered Telluride MBi2Te4 (M = Ag, In, Sn, Pb, Bi). Materials 2022, 15, 2614. https://doi.org/10.3390/ma15072614
Nakahira Y, Shimono S, Goto Y, Miura A, Moriyoshi C, Mizuguchi Y. Synthesis and Characterization of High-Entropy-Alloy-Type Layered Telluride MBi2Te4 (M = Ag, In, Sn, Pb, Bi). Materials. 2022; 15(7):2614. https://doi.org/10.3390/ma15072614
Chicago/Turabian StyleNakahira, Yuki, Seiya Shimono, Yosuke Goto, Akira Miura, Chikako Moriyoshi, and Yoshikazu Mizuguchi. 2022. "Synthesis and Characterization of High-Entropy-Alloy-Type Layered Telluride MBi2Te4 (M = Ag, In, Sn, Pb, Bi)" Materials 15, no. 7: 2614. https://doi.org/10.3390/ma15072614
APA StyleNakahira, Y., Shimono, S., Goto, Y., Miura, A., Moriyoshi, C., & Mizuguchi, Y. (2022). Synthesis and Characterization of High-Entropy-Alloy-Type Layered Telluride MBi2Te4 (M = Ag, In, Sn, Pb, Bi). Materials, 15(7), 2614. https://doi.org/10.3390/ma15072614

