Next Article in Journal
Upcycling of Pharmaceutical Glass into Highly Porous Ceramics: From Foams to Membranes
Next Article in Special Issue
Ferromagnetic Fluctuations in the Heavily Overdoped Regime of Single-Layer High-Tc Cuprate Superconductors
Previous Article in Journal
Macroencapsulation of Paraffin in a Polymer–Gypsum Composite Using Granulation Technique
Previous Article in Special Issue
Investigation of Superconductivity in Ce-Doped (La,Pr)OBiS2 Single Crystals
 
 
Font Type:
Arial Georgia Verdana
Font Size:
Aa Aa Aa
Line Spacing:
Column Width:
Background:
Article

Observation of the Specific Heat Jump in the Se-Substituted MoTe2 Single Crystals

College of Science and Technology, Nihon University, Chiyoda-ku, Tokyo 101-8308, Japan
*
Author to whom correspondence should be addressed.
Materials 2022, 15(11), 3782; https://doi.org/10.3390/ma15113782
Submission received: 8 March 2022 / Revised: 2 May 2022 / Accepted: 7 May 2022 / Published: 25 May 2022

Abstract

:
1T’-MoTe2 has gained considerable attention owing to its topological character. This material undergoes spatial inversion symmetry at 300 K. A structural transition to the Td phase, which is represented by a kink in the resistivity, was observed below 250 K without inversion symmetry along the c-axis, while superconductivity was observed at 0.1 K. Substitution of Se into this material suppressed the appearance of the kink structure and increased the superconducting transition temperature to 2 K, which is consistent with previously reported results on polycrystalline samples. However, a specific heat jump was observed in the obtained single crystals, which did not exhibit kink structures in their resistivity. The results suggest that the Td structure was not suppressed entirely after Se substitution and that superconductivity was achieved without inversion symmetry.

1. Introduction

Transition metal chalcogenides have been extensively studied owing to their unique properties. The properties of such compounds depend on crystal polymorphism. MoTe2, which is a chalcogenide, may undergo different crystal polymorphisms: 2 H, 1T’, and Td types [1,2,3,4]. The 2 H type represents a semiconducting electronic structure, whereas the 1T’ type implies a semimetallic state. The 1T’ type changes to the Td type at temperatures below 250 K. The crystal structure of the Td type does not have spatial inversion symmetry along the c-axis [1]. Owing to symmetry breaking, the Td type has been predicted to be type-II Weyl semimetals [5]. Furthermore, the Td type exhibits superconductivity at 0.1 K [6]. Therefore, 1T’- and Td- type MoTe2 are useful for topological physics research to determine the relationship between the topological character and superconductivity [7]. Superconductivity is enhanced via the application of pressure and element substitution [6,8,9,10,11]. However, avoiding a transition to the Td type is also necessary. Because Td-type suppression results in the recovery of inversion symmetry, the relationship between the enhancement and the topological state remain unclear. To resolve this issue, it is useful to confirm whether the structural phase-transition is suppressed in the bulk.
In this study, we performed specific heat measurements in Se-substituted MoTe2-xSex single crystals. The Se concentration was finely tuned in these crystals, which were prepared using the chemical vapor transport method. The kink in the resistivity curve related to the structural transition was observed at approximately 290 K for x = 0.0–0.12, and it was suppressed for x > 0.12. The onset of the superconducting transition temperature increased to approximately 3 K for x = 0.13–0.28. These results are similar to those previously reported for polycrystalline Se-substituted MoTe2 [10]. Moreover, a specific heat jump for all samples was observed at approximately 290 K. This observation is similar to the observed kink for the x = 0.0–0.07 samples. These results indicate that the structural transition is not entirely suppressed. Therefore, the superconductivity is enhanced by maintaining the Td-type structure possibility.

2. Experimental Details

Single crystals of MoTe2-xSex were prepared by chemical vapor transport. Mo (purity 99.9%), Te (purity 99.9%), and Se (99.9%) powders were used as raw materials. The aforementioned powders was used following the stoichiometric ratio of MoTe2-xSex. The weight of these powders is 1 g. I2 (5 g/ml) was used as the transport material. Owing to the volatility of I2, it was weighed immediately before proceeding to the evacuation process. The raw materials and I2 were sealed in an evacuated quartz tube (4.0 × 10−3 Pa). A three-zone horizontal electric furnace (ARF3-600, Asahi-rika Co., Chiba, Japan) was used to sinter the evacuated quartz tube. The thermal preparation process is illustrated in Figure 1a. The dimensions of the prepared samples were 2 × 3–5 mm2, as depicted in Figure 1b. These crystals contained metallic silver, similar to the 1T’-MoTe2 crystals previously reported. Additionally, these crystals easily glowed along the b-axis [4]. Therefore, the longitudinal direction corresponded to the b-axis, as shown in Figure 1b.
X-ray diffraction (XRD, Ultima IV, Rigaku, Tokyo, Japan) measurements used by a Cu-Kα radiation (λ = 1.54056 Å) were performed for single and powdered samples, wherein the single crystals were ground. Simulation peaks were calculated using VESTA (version 3.4.4, Japan) [12]. Crystal structure data for 1T’-MoTe2 were obtained from AtomWorks (http://crystdb.nims.go.jp/, accessed on 8 August 2019) [13]. Electron scanning microscopy (SEM, Hitachi High-Tech Fielding Corporation, Tokyo, Japan) and energy dispersive X-ray analysis (EDX, HORIBA, Tokyo, Japan) were conducted to investigate the compositions of the samples. The composition ratios of Mo, Te, and Se were determined, and the composition of Mo was normalized to 1. Electrical resistivity and specific heat were measured using a Physical Property Measurement System (PPMS, Quantum Design, Takamatsu, Japan). Because the resistivity values for the MoTe2 samples are relatively low, a four-terminal method was adopted. The temperature range was set to 2–300 K. A heat relaxation method was used for specific heat measurements in the range of 3–300 K.

3. Result and Discussion

XRD measurements were performed on MoTe2-xSex single crystals and powders. The results for both set of samples are presented in Figure 2. The observed peaks were indexed via comparison with the 1T’-type structure simulation. Consequently, the results confirmed that 1T’-MoTe2-xSex single crystals were successfully obtained.
The dependence of the lattice constant on the Se concentration (x) along the c-axis is depicted in Figure 3. Lattice constants were determined for the (00l) (red open circles) and (008) (blue open circles) peaks. The (008) peaks contribute less to the error resulting from the difference in the sample shape, such as the height or roughness of the surface. When Se ions were substituted, the lattice constant along the c-axis expects to decrease because the ionic radius of Se is smaller than that of Te. However, the lattice constant was almost constant for all the samples; hence, the lattice constant was not Se-concentration dependent. These results are similar to those reported for S-substituted single crystals and Se-substituted polycrystals [8,10].
The dependence of the electrical resistivity on temperature for the single crystal samples is illustrated in Figure 4. For Se concentration (x) between 0–0.12 (Figure 4a), a kink and hysteresis related to the structural phase transition to the Td type can be observed during the thermal cycle at approximately 250 K at x = 0–0.04. This kink was suppressed gradually at x = 0.07 and 0.12. In addition, the temperature at which the kink was observed (Ts) differed according to the substitution of Se ions. Samples demonstrating a curve kink (x = 0–0.04) did not exhibit a superconducting transition, as shown in Figure 4b. The rest of the samples exhibited the onset of Tc at approximately 3 K. Moreover, the resistivity drop was small (~10% from the normal state), indicating the emergence of superconductivity below 2 K. As the Se concentration increased (x > 0.12), the kink in the curve was entirely suppressed (Figure 4c). Furthermore, samples with x = 0.13–0.28 exhibited superconductivity at approximately 3 K, as depicted in Figure 4d. These results indicate that Se substitution suppressed the kink gradually and induced an increase in Tc. Furthermore, Se substitution in polycrystalline MoTe2 has been reported to suppress the structural phase transition at approximately 250 K; moreover, it has been reported to result in an increase in the onset of Tc to 3 K [10]. These results are similar to the results presented herein.
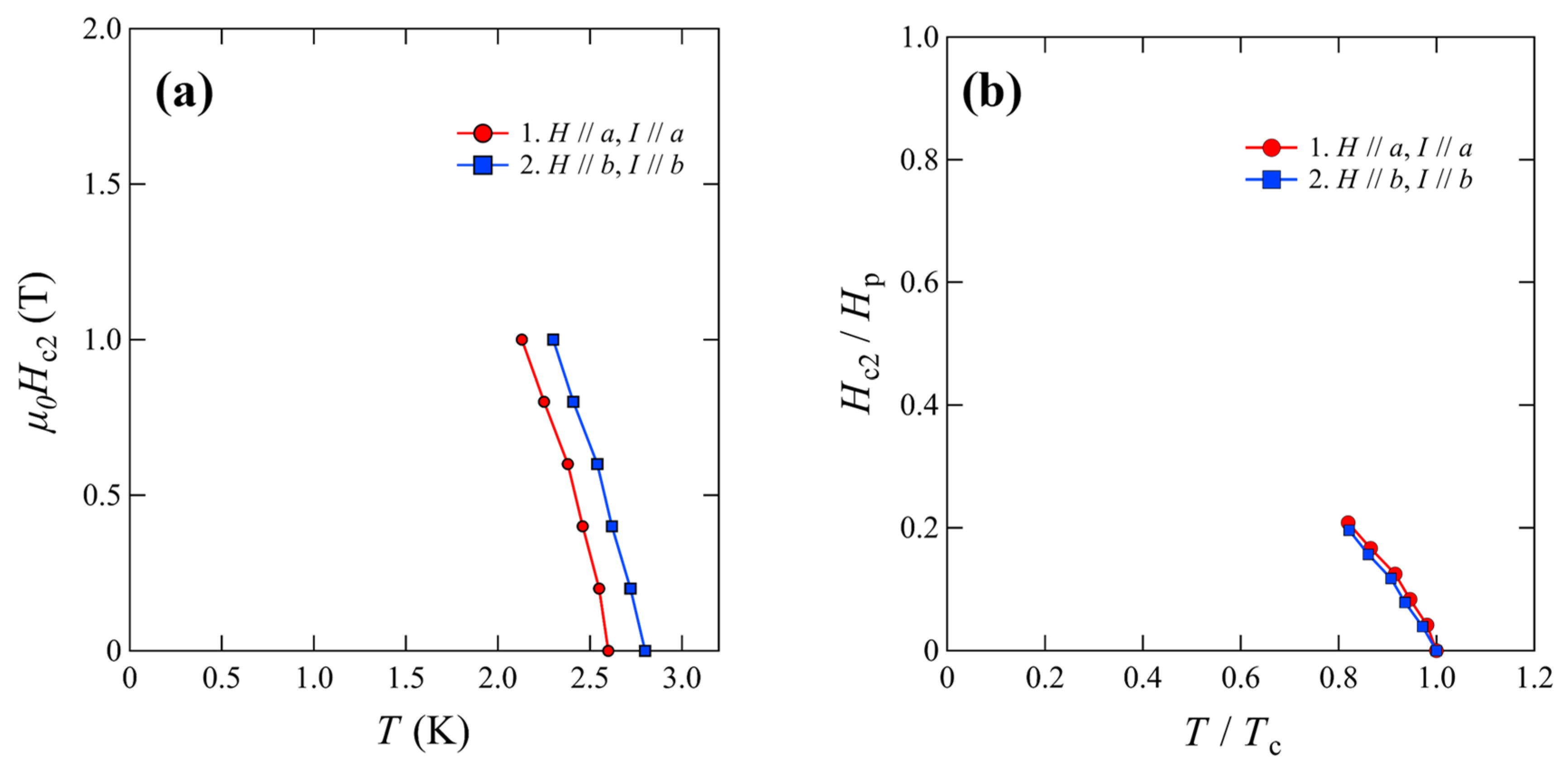
The superconducting state of the materials was investigated using resistivity measurements under magnetic fields. The sample prepared with x = 0.28 was selected for this purpose. Measurements were performed by applying magnetic fields and currents along each axis because the sample exhibited different in-plane axes. Therefore, two measurements were performed when the magnetic field and current were applied along the a-axis and b-axis. Because the transition was gradually suppressed when applying a magnetic field in both measurements, it could be concluded that this transition was related to superconductivity. The temperature dependence of µ0Hc2 for all measurements is summarized in Figure 5a,b. Tc at each magnetic field was defined as the temperature at which the resistivity reached 90% of the normal-state resistivity. This Tc was denoted as Tc90%. The estimated µ0Hc2 (0) values for all experimental conditions are summarized in Table 1. The value of µ0Hc2WHH, calculated from the Werthamer–Helfand–Hohenberg (WHH) model, was 2.4–3.8 T [15,16]. The Pauli limit, denoted as µ0HcPauli, was 4.8–5.4 T, which was calculated using Tc90%. Thus, µ0Hc2WHH was lower than µ0HcPauli for each condition. This tendency is consistent with that observed in previously reported high-pressure and element-substitution studies [6,10,11].
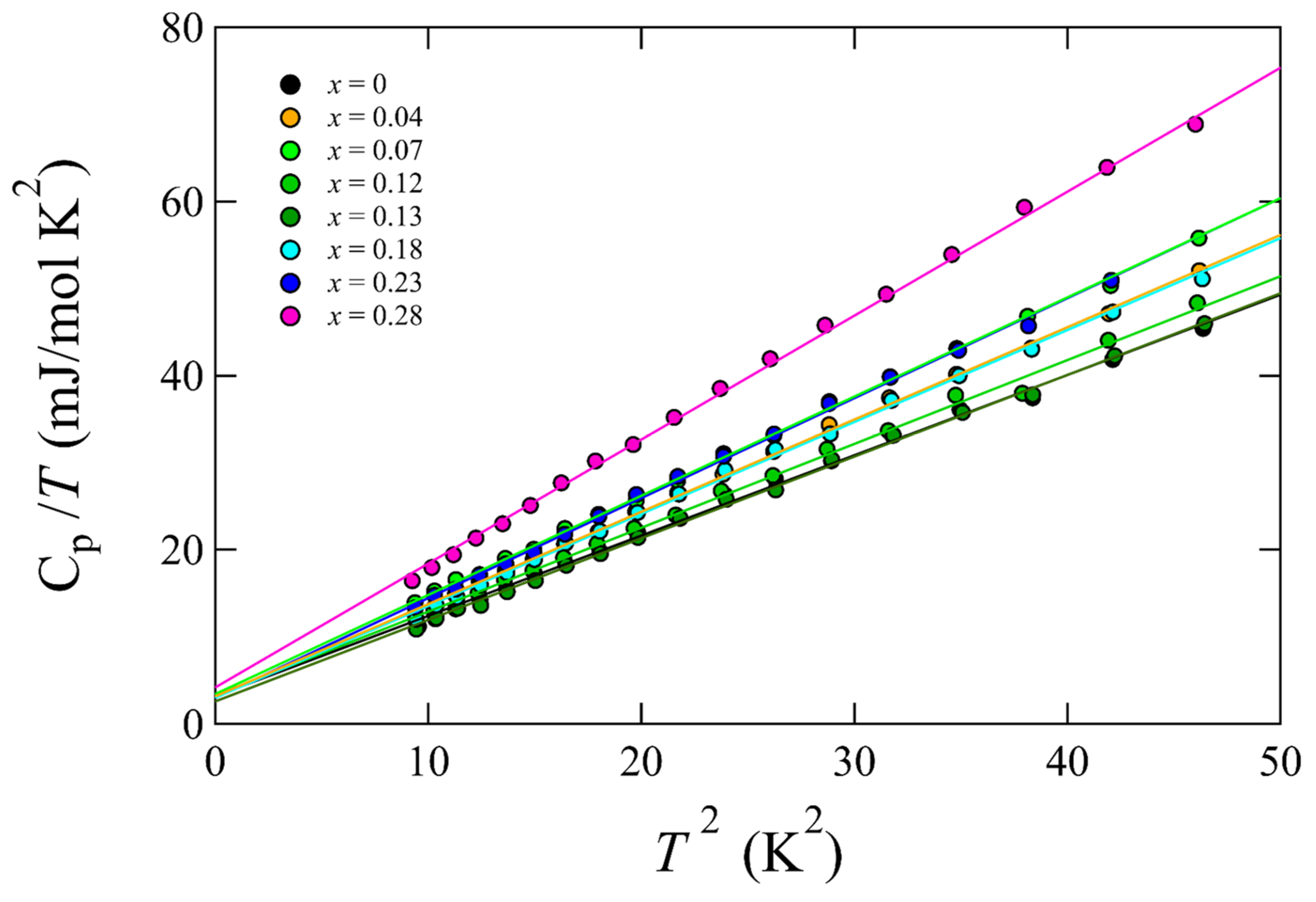
Specific heat measurements were performed on the Se-substituted samples to investigate structural changes and to obtain electronic structure information. The results for the low-temperature region (below 50 K) are presented in Figure 6. These data were fitted using Equation (1), which describes the temperature dependence of the metal:
C(T)/T = β + γT2
where β and γ denote fitting parameters. The parameters used are listed in Table 2. Neither parameter was dependent on the Se concentration except for x = 0.28. The samples with x = 0.28 exhibited slightly higher parameter values among all the other samples. However, this difference was insignificant and did not affect properties. Indeed, the metallic behavior and Tc values did not exhibit significant changes. Thus, it can be concluded that a significant change in the electronic structure does not occur due to Se substitution. This result indicates that the increase in Tc was not related to an increase in the density of states near the Fermi energy. This observation is qualitatively consistent with previously reported data for S-substituted single crystals and Se-substituted polycrystals [8,10].
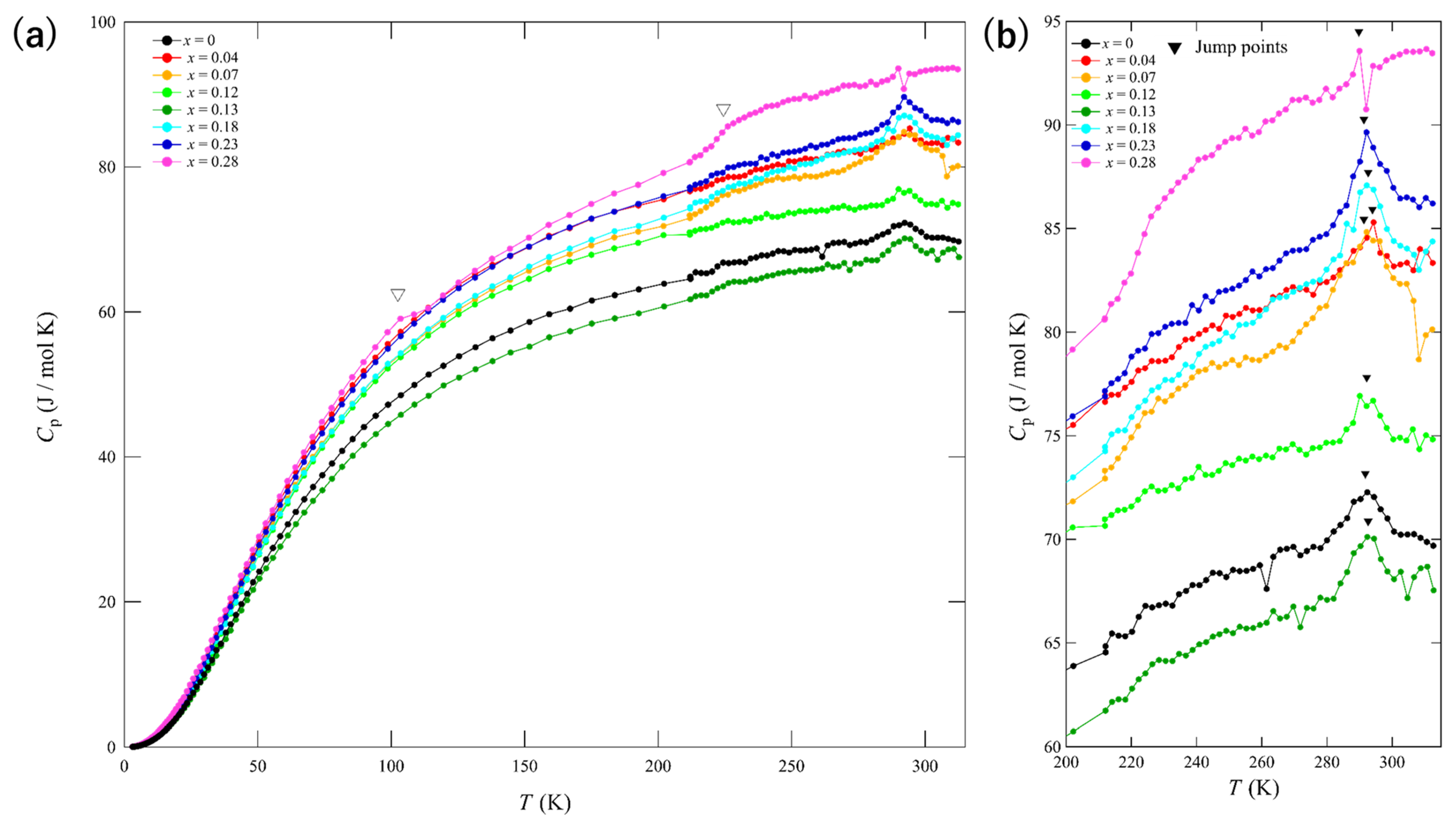
The temperature dependence of specific heat (Cp) is illustrated in Figure 7a. It can be observed that the behavior is metallic at T < 200 K. A Cp jump can be observed at approximately 290 K until x = 0.23, after which it is gradually suppressed at x = 0.28 (Figure 7b). This temperature is consistent with the temperature corresponding to the appearance of a kink structure in the resistivity measurements for the x = 0–0.12 samples. Although the kink was suppressed above x = 0.13 in the resistivity curve, a jump in the heat capacity was observed above x = 0.13. These results can be attributed to either of two possibilities: phase separation in the sample or remnant of the Td type. Although phase separation was not entirely excluded, composition analysis via EDX did not support this possibility. The composition of each sample (size 2–3 mm2) was determined based on an average of five different measurements. The measured values at each location were almost constant, which demonstrated that the substituted Se ions were uniformly distributed. It should be noted that the Td type was not completely suppressed by Se substitution. Therefore, it is possible that the superconductivity observed at x = 0.13–0.28 appeared in the Td type. The x = 0.28 sample exhibited a small jump at 290 K, whereas a kink and a slight jump were observed at approximately 230 K and 100 K, respectively (open triangles in Figure 7a). The sample with x = 0.07 also exhibited a slight kink, which indicates the appearance of new phases at this Se concentration. However, the underlying cause responsible for these phenomena requires further investigation.
The obtained results are summarized as a phase diagram in Figure 8 and in Table 3. Se substitution induced suppression of the kink observed in the resistivity for Se concentrations x > 0.12. After suppression, superconductivity at a higher Tc (approximately 3 K) occurred immediately. This result indicates that kink suppression is related to superconductivity enhancement. However, a heat capacity jump emerged, which was observed near the kink temperature at x = 0–0.12. This result demonstrated that phase transition to Td type was not entirely suppressed, and a higher Tc phase was observed in the Td type. Scanning tunneling microscopy measurements have recently been performed on Se-substituted MoTe2 single crystals [17]. Consequently, superconductivity was observed at Tconset ~ 3 K; however, a kink structure was not observed. In contrast, a topographic image of the Td type was observed at a cleaved surface. Raman measurements indicated the existence of the Td type at low temperatures. From these results, it can be concluded that the observed jump in the specific heat value is presumably related to the Td type transition in the bulk. Further investigations are, however, required for Se-substituted MoTe2 with regard to the observation of the crystal structure at low temperatures via XRD measurements or through electronic structures.

4. Conclusions

In this study, Se-substituted MoTe2 single crystals were successfully prepared and evaluated. Resistivity measurements confirmed that Se substitution suppressed the appearance of the kink and induced a relatively higher Tc (approximately 3 K). The results were analogous to those previously reported for polycrystalline structures. However, a jump in the specific heat capacity was observed at approximately 250–290 K, which was independent of the Se concentration in the crystal. In resistivity measurements, the temperature was similar to that resulting in a kink for the MoTe2-xSex sample (x = 0–0.12). This result demonstrated that the Td type without spatial inversion symmetry along the c-axis was not completely suppressed, and a high Tc was obtained in the Td type. We believe that this study may be significant for investigations on the topological physics of Weyl semimetals.

Author Contributions

Conceptualization, A.K., Y.T. and S.D; methodology, S.D.; validation, A.K., Y.T. and S.D.; resources, Y.T. and S.D; writing—review and editing, Y.T. and S.D.; visualization, A.K. and S.D.; funding acquisition, Y.T. and S.D.; Data curation, A.K.; Formal analysis, A.K.; Investigation, A.K. and S.D.; Project administration, S.D.; Supervision, Y.T.; Writing–original draft, S.D. All authors have read and agreed to the published version of the manuscript.

Funding

This work was partly supported by a Grant-in-Aid for Young Scientists (JP18K13505) in a Grant-in-Aid for Scientific Research (KAKENHI) from the Japan Society for the Promotion of Science (JSPS). This work was partly supported by a grant for research from Nihon University (College of Science and Technology) and a grant for special research from the President of Nihon University.

Conflicts of Interest

The authors declare no conflict of interest.

References

  1. Clarke, R.; Marseglia, E.; Hughes, H.P. A low-temperature structural phase transition in β-MoTe2. Philos. Mag. B 1978, 38, 121–126. [Google Scholar] [CrossRef]
  2. Puotinen, D.; Newnham, R.E. The crystal structure of MoTe2. Acta Cryst. 1961, 14, 691–692. [Google Scholar] [CrossRef] [Green Version]
  3. Zandt, T.; Dwelk, H.; Janowitz, C.; Manzke, R. Quadratic temperature dependence up to 50 K of the resistivity of metallic MoTe2. J. Alloys Compd. 2007, 442, 216–218. [Google Scholar] [CrossRef]
  4. Yan, X.J.; Lv, Y.Y.; Li, L.; Li, X.; Yao, S.H.; Chen, Y.B.; Liu, X.P.; Lu, H.; Lu, M.H.; Chen, Y.F. Investigation on the phase-transition-induced hysteresis in the thermal transport along the c-axis of MoTe2. NPJ Quantum Mater. 2017, 2, 31. [Google Scholar] [CrossRef]
  5. Sun, Y.; Wu, S.C.; Ali, M.N.; Felser, C.; Yan, B. Prediction of Weyl semimetal in orthorhombic MoTe 2. Phys. Rev. B 2015, 92, 161107. [Google Scholar] [CrossRef] [Green Version]
  6. Qi, Y.; Naumov, P.G.; Ali, M.N.; Rajamathi, C.R.; Schnelle, W.; Barkalov, O.; Hanfland, M.; Wu, S.C.; Shekhar, C.; Sun, Y.; et al. Superconductivity in Weyl semimetal candidate MoTe2. Nat. Commun. 2016, 7, 11038. [Google Scholar] [CrossRef] [PubMed] [Green Version]
  7. Luo, X.; Chen, F.C.; Zhang, J.L.; Pei, Q.L.; Lin, G.T.; Lu, W.J.; Han, Y.Y.; Xi, C.Y.; Song, W.H.; Sun, Y.P. Td-MoTe2: A possible topological superconductor. Appl. Phys. Lett. 2016, 109, 102601. [Google Scholar] [CrossRef] [Green Version]
  8. Chen, F.C.; Luo, X.; Xiao, R.C.; Lu, W.J.; Zhang, B.; Yang, H.X.; Li, J.Q.; Pei, Q.L.; Shao, D.F.; Zhang, R.R.; et al. Superconductivity enhancement in the S-doped Weyl semimetal candidate MoTe2. Appl. Phys. Lett. 2016, 108, 162601. [Google Scholar] [CrossRef] [Green Version]
  9. Guguchia, Z.; von Rohr, F.; Shermadini, Z.; Lee, A.T.; Banerjee, S.; Wieteska, A.R.; Marianetti, C.A.; Frandsen, B.A.; Luetkens, H.; Gong, Z.; et al. Signatures of the topological s +- superconducting order parameter in the type-II Weyl semimetal T d-MoTe 2. Nat. Commun. 2017, 8, 1082. [Google Scholar] [CrossRef] [PubMed] [Green Version]
  10. Takahashi, H.; Akiba, T.; Imura, K.; Shiino, T.; Deguchi, K.; Sato, N.K.; Sakai, H.; Bahramy, M.S.; Ishiwata, S. Anticorrelation between polar lattice instability and superconductivity in the Weyl semimetal candidate MoTe 2. Phys. Rev. B 2017, 95, 100501. [Google Scholar] [CrossRef] [Green Version]
  11. Mandal, M.; Marik, S.; Sajilesh, K.P.; Arushi; Singh, D.; Chakraborty, J.; Ganguli, N.; Singh, R.P. Enhancement of the superconducting transition temperature by Re doping in Weyl semimetal MoTe 2. Phys. Rev. Mater. 2018, 2, 094201. [Google Scholar] [CrossRef] [Green Version]
  12. Momma, K.; Izumi, F. VESTA 3 for three-dimensional visualization of crystal, volumetric and morphology data. J. Appl. Crystallogr. 2011, 44, 1272–1276. [Google Scholar] [CrossRef]
  13. Xu, Y.; Yamazaki, M.; Villars, P. Inorganic materials database for exploring the nature of material. Jpn. J. Appl. Phys. 2011, 50, 11RH02. [Google Scholar] [CrossRef]
  14. Brown, B.E. The crystal structures of WTe2 and high-temperature MoTe2. Acta Cryst. 1966, 20, 268. [Google Scholar] [CrossRef]
  15. Maki, K. Effect of Pauli paramagnetism on magnetic properties of high-field superconductors. Phys. Rev. 1966, 148, 362. [Google Scholar] [CrossRef]
  16. Helfand, E.; Werthamer, N.R. Temperature and purity dependence of the superconducting critical field, H c 2. II. Phys. Rev. 1966, 147, 288. [Google Scholar] [CrossRef]
  17. Wang, Z.; Olivares, J.; Namiki, H.; Pareek, V.; Dani, K.; Sasagawa, T.; Madhavan, V.; Okada, Y. Visualizing superconductivity in a doped Weyl semimetal with broken inversion symmetry. Phys. Rev. B 2021, 104, 115102. [Google Scholar] [CrossRef]
Figure 1. (a) Thermal conditions to obtain 1T’-MoTe2. (1–3) indicate the stabilizing furnace, preparation slope, and temperature stability processes, respectively. At first, the furnace was heated up to 1050 °C for 15.5 h and maintained for 2 h for temperature stabilization (1). Next, the high and low-temperature ends were set to 1050 °C and 950 °C for 2 h, respectively (2). The temperature condition was maintained for 200 h (3). Thereafter, quartz tubes were immersed in water to avoid 2 H structure formation (hexagonal crystal), which is known to be stable at approximately 800 °C. (b) Image of the 1T’-MoTe2 single crystal sample prepared by chemical vapor deposition.
Figure 1. (a) Thermal conditions to obtain 1T’-MoTe2. (1–3) indicate the stabilizing furnace, preparation slope, and temperature stability processes, respectively. At first, the furnace was heated up to 1050 °C for 15.5 h and maintained for 2 h for temperature stabilization (1). Next, the high and low-temperature ends were set to 1050 °C and 950 °C for 2 h, respectively (2). The temperature condition was maintained for 200 h (3). Thereafter, quartz tubes were immersed in water to avoid 2 H structure formation (hexagonal crystal), which is known to be stable at approximately 800 °C. (b) Image of the 1T’-MoTe2 single crystal sample prepared by chemical vapor deposition.
Materials 15 03782 g001
Figure 2. Results of XRD measurements of MoTe2-xSex samples with (a) single crystals and (b) powders. Simulation peaks were calculated using VESTA (version 3.4.4, Japan) [12] and crystal data were obtained from AtomWorks (http://crystdb.nims.go.jp/, accessed on 8 August 2019) [13]. The Se concentration (x) was obtained by EDX.
Figure 2. Results of XRD measurements of MoTe2-xSex samples with (a) single crystals and (b) powders. Simulation peaks were calculated using VESTA (version 3.4.4, Japan) [12] and crystal data were obtained from AtomWorks (http://crystdb.nims.go.jp/, accessed on 8 August 2019) [13]. The Se concentration (x) was obtained by EDX.
Materials 15 03782 g002
Figure 3. Lattice constants along the c-axis calculated through XRD patterns of the (00l) plane for single crystals. Error bars were calculated using five samples from the same batch. The reference value curve corresponds to previously reported results [14].
Figure 3. Lattice constants along the c-axis calculated through XRD patterns of the (00l) plane for single crystals. Error bars were calculated using five samples from the same batch. The reference value curve corresponds to previously reported results [14].
Materials 15 03782 g003
Figure 4. Temperature dependence of electrical resistivity for MoTe2-xSex single crystals. The results for x = 0–0.12 and x = 0.13–0.28 have been reported. (a,c) depict results in the entire temperature range. The solid and dotted lines correspond to the cooling and heating processes, respectively. Arrows indicate the temperature at which the kink appears (Ts). Filled and open arrows in (a) indicate Ts for the heating and cooling processes, respectively. (b,d) illustrate the region below 8 K, normalized by the resistivity at 8 K. The inset of (b) represents the magnified image (b) near the superconducting transition.
Figure 4. Temperature dependence of electrical resistivity for MoTe2-xSex single crystals. The results for x = 0–0.12 and x = 0.13–0.28 have been reported. (a,c) depict results in the entire temperature range. The solid and dotted lines correspond to the cooling and heating processes, respectively. Arrows indicate the temperature at which the kink appears (Ts). Filled and open arrows in (a) indicate Ts for the heating and cooling processes, respectively. (b,d) illustrate the region below 8 K, normalized by the resistivity at 8 K. The inset of (b) represents the magnified image (b) near the superconducting transition.
Materials 15 03782 g004
Figure 5. (a) Temperature dependence of the upper critical magnetic field. (b) illustrates (a) using normalized axes. Vertical and horizontal axes were normalized using Pauli’s limit Hp and Tc, respectively.
Figure 5. (a) Temperature dependence of the upper critical magnetic field. (b) illustrates (a) using normalized axes. Vertical and horizontal axes were normalized using Pauli’s limit Hp and Tc, respectively.
Materials 15 03782 g005
Figure 6. Cp/T as a function of T2 for the single crystal samples. Each solid line indicates a fitting.
Figure 6. Cp/T as a function of T2 for the single crystal samples. Each solid line indicates a fitting.
Materials 15 03782 g006
Figure 7. Temperature dependence of the specific heat (Cp) for single crystals. (a) in the operating temperature range and (b) in the temperature range of 200–310 K. Open triangles indicate unknown small jumps. Solid triangles in (b) indicate Cp jumps related to structural transitions.
Figure 7. Temperature dependence of the specific heat (Cp) for single crystals. (a) in the operating temperature range and (b) in the temperature range of 200–310 K. Open triangles indicate unknown small jumps. Solid triangles in (b) indicate Cp jumps related to structural transitions.
Materials 15 03782 g007
Figure 8. Phase diagram of the kink and superconductivity of the MoTe2-xSex single crystal. Ts denotes the temperature that corresponds to the kink in the resistivity curve. The bars represent the temperature corresponding to the kink, which is estimated in the heating and cooling processes. T jump denotes the temperature attributed to the jump in specific heat. Red cross marks (×) indicate no superconductivity until 2 K.
Figure 8. Phase diagram of the kink and superconductivity of the MoTe2-xSex single crystal. Ts denotes the temperature that corresponds to the kink in the resistivity curve. The bars represent the temperature corresponding to the kink, which is estimated in the heating and cooling processes. T jump denotes the temperature attributed to the jump in specific heat. Red cross marks (×) indicate no superconductivity until 2 K.
Materials 15 03782 g008
Table 1. Tc and Hc2 values estimated by the WHH model and the Pauli limit.
Table 1. Tc and Hc2 values estimated by the WHH model and the Pauli limit.
Tc90% (K)-dHc2/dTµ0Hc2WHH (T)µ0Hc2Pauli (T)
2.91.22.45.3
2.62.13.74.8
3.01.22.45.4
2.82.03.85.1
Table 2. Fitting parameters used in Figure 6.
Table 2. Fitting parameters used in Figure 6.
Se Concentration (%)β (mJ/mol K4)γ (mJ/mol K2)
03.2(3)0.92(1)
0.043.2(2)1.06(1)
0.073.4(2)1.14(1)
0.123.3(4)0.97(1)
0.132.6(2)0.94(1)
0.183.0(3)1.06(1)
0.233.0(3)1.15(1)
0.284.2(4)1.42(1)
Table 3. Tconset, Tcjump, and Ts values used in Figure 8. Hyphen (-) indicates that no transition was observed. N.D. implies that no measurement was performed.
Table 3. Tconset, Tcjump, and Ts values used in Figure 8. Hyphen (-) indicates that no transition was observed. N.D. implies that no measurement was performed.
Se Concentration (%)Tconset (K)Tjump (K)Ts (K)
CoolingHeatingAve.
0-295247257252
0.03-N. D.257292275
0.04-295272305289
0.07-295262292277
0.12 290253318285
0.133.4293---
0.183.4292---
0.233.2293---
0.283.3292---
Publisher’s Note: MDPI stays neutral with regard to jurisdictional claims in published maps and institutional affiliations.

Share and Cite

MDPI and ACS Style

Kobayashi, A.; Takano, Y.; Demura, S. Observation of the Specific Heat Jump in the Se-Substituted MoTe2 Single Crystals. Materials 2022, 15, 3782. https://doi.org/10.3390/ma15113782

AMA Style

Kobayashi A, Takano Y, Demura S. Observation of the Specific Heat Jump in the Se-Substituted MoTe2 Single Crystals. Materials. 2022; 15(11):3782. https://doi.org/10.3390/ma15113782

Chicago/Turabian Style

Kobayashi, Aoi, Yoshiki Takano, and Satoshi Demura. 2022. "Observation of the Specific Heat Jump in the Se-Substituted MoTe2 Single Crystals" Materials 15, no. 11: 3782. https://doi.org/10.3390/ma15113782

APA Style

Kobayashi, A., Takano, Y., & Demura, S. (2022). Observation of the Specific Heat Jump in the Se-Substituted MoTe2 Single Crystals. Materials, 15(11), 3782. https://doi.org/10.3390/ma15113782

Note that from the first issue of 2016, this journal uses article numbers instead of page numbers. See further details here.

Article Metrics

Back to TopTop