Abstract
Single crystals of Ce-doped (La,Pr)OBiS2 superconductors, the multinary rare-earth elements substituted ROBiS2, were successfully grown. The grown crystals typically had a size of 1–2 mm and a plate-like shape with a well-developed c-plane. The c-axis lattice constants of the obtained (La,Ce,Pr)OBiS2 single crystals were approximately 13.6–13.7 Å, and the superconducting transition temperature was 1.23–2.18 K. Valence fluctuations of Ce and Pr were detected through X-ray absorption spectroscopy analysis. In contrast to (Ce,Pr)OBiS2 and (La,Ce)OBiS2, the superconducting transition temperature of (La,Ce,Pr)OBiS2 increased with the increasing concentrations of the tetravalent state at the R-site.
1. Introduction
Layered superconductors, such as cuprate [1,2,3] and iron-based superconductors [4,5], often exhibit high superconducting transition temperatures. Research on layered superconductors is important in order to understand materials that have high superconducting transition temperatures. R(O,F)BiS2 (R: rare-earth elements) compounds are layered superconductors and BiS2-based superconductors, and their superconductivity is triggered by substituting F at the O site [6,7,8,9,10,11]. A similar superconducting analogy is found in iron-based superconductors [5]. On the other hand, one of the BiS2-based superconductors, CeOBiS2, exhibits superconductivity without F substitution owing to the valence fluctuation between Ce3+ and Ce4+ [12,13]. Thus, F-free ROBiS2 compounds with partial Ce substitution at the R-site also become superconductors in the form of the (La,Ce)OBiS2 [14], (Ce,Pr)OBiS2 [15,16], (Ce,Nd)OBiS2 [17], and (La,Ce,Pr,Nd,Sm)OBiS2 [18] compounds. Moreover, R-site elements affect the superconducting transition temperature. Knowledge of the superconductivity of F-free ROBiS2 compounds is important for understanding BiS2-based superconductors. F-free ROBiS2 compounds with R = La, Ce, Pr have been obtained [12,13,19,20], but those of R = Nd, Sm have never been synthesized. Therefore, we focused on (La,Ce,Pr)OBiS2 single crystals.
In this paper, we successfully grew F-free (La,Ce,Pr)OBiS2 and (La,Pr)OBiS2 single crystals using a CsCl and a KCl flux, respectively. Hereafter, we denote binary and ternary ROBiS2 by the number of R elements: binary—(La,Ce)ObiS2, (Ce,Pr)ObiS2, and (La,Pr)OBiS2; ternary—(La,Ce,Pr)OBiS2. The obtained ternary single crystals of (La,Ce,Pr)OBiS2 were characterized by X-ray absorption fine structure (XAFS) spectroscopy for the Ce and Pr valence and the electrical transport properties down to approximately 0.2 K. The properties of the ternary (La,Ce,Pr)OBiS2 were investigated in comparison with those of binary ROBiS2 systems—namely, (La,Ce)OBiS2, (Ce,Pr)OBiS2, and (La,Pr)OBiS2. The relationship between the R-site valence state and the superconducting transition temperature (Tc) for (La,Ce,Pr)OBiS2 was observed using the single crystals obtained.
2. Experimental
(La,Ce,Pr)OBiS2 and (La,Pr)OBiS2 single crystals were grown through a high-temperature flux method [12,20,21,22]. The raw materials—La2S3 (99.9 wt%), Ce2S3 (99.9 wt%), Pr2S3 (99.9 wt%), Bi2O3 (99.9 wt%), and Bi2S3 (99.9 wt%)—were weighed for a nominal composition of LaaCebPrcOBiS2 (a + b + c = 1.0). The mixture of the raw materials (0.8 g) and alkali metal chloride flux (5.0 g) was ground using a mortar and then sealed into an evacuated quartz tube (~10 Pa). The alkali metal chloride fluxes for the single crystal growths of (La,Ce,Pr)OBiS2 and (La,Pr)OBiS2 were CsCl (99.8 wt%) and KCl (99.5 wt%), respectively. The quartz tube was heated at Tmax °C for 10 h, followed by a cooling to Tend °C at a rate of 1 °C/h. The Tmax values for (La,Ce,Pr)OBiS2 and (La,Pr)OBiS2 were 950 °C and 1050 °C, respectively. The value of Tend depends on the melting temperature of the flux. In consequence, we adopted 650 °C and 750 °C for (La,Ce,Pr)OBiS2 and (La,Pr)OBiS2, respectively. The samples were then furnace-cooled to room temperature. The resulting quartz tube was opened in an air atmosphere, and the obtained products were washed and filtered by distilled water to remove the alkali metal chloride flux.
The compositional ratio of the single crystals was evaluated by energy-dispersive X-ray spectrometry (EDS) (Bruker; Quantax 70) associated with the observation of the microstructure using a scanning electron microscope (SEM) (Hitachi High-Technologies; TM3030). The obtained compositional values were normalized using La + Ce + Pr = 1.00, with the Bi and S values measured to a precision of two decimal places. The identification and evaluation of the orientation of the grown crystals were performed with X-ray diffraction (XRD) using Rigaku MultiFlex with Cu Kα radiation. The superconducting transition temperature (Tc) with zero resistivity was determined by the resistivity–temperature (ρ–T) characteristics. The ρ–T characteristics were measured using the standard four-probe method with a constant current density (J) mode and a physical property measurement system (Quantum Design; PPMS DynaCool). The electrical terminals were fabricated with Ag paste. The ρ–T characteristics in the temperature range 0.2–15 K were measured with an adiabatic demagnetization refrigerator (ADR) option for PPMS. The magnetic field for the operation of the ADR, 3 T at 1.9 K, was applied and subsequently removed. The temperature of the sample consequently decreased to approximately 0.2 K. The measurement of the ρ–T characteristics was begun at the lowest temperature (~0.2 K), which was spontaneously increased to 15 K. The valence state of the rare-earth elements (Ce, Pr) in the grown crystals was estimated using the X-ray absorption fine structure (XAFS) spectroscopy analysis with an Aichi XAS beamline and synchrotron X-ray radiation (BL5S1 and BL11S2). For the XAFS spectroscopy sample, the obtained single crystals were ground, mixed with boron nitride (BN) powder, and pressed into a pellet with a diameter of 4 or 10 mm.
3. Results and Discussion
Figure 1 shows a typical SEM image of the (La,Ce,Pr)OBiS2 single crystal. The obtained single crystals had plate-like shapes with sizes and thicknesses in the ranges of 1–2 mm and 100–400 μm, respectively. On the other hand, the obtained (La,Pr)OBiS2 single crystals exhibited plate-like shapes and were thin compared to the (La,Ce,Pr)OBiS2 single crystals. (La,Pr)OBiS2 single crystals became thick with increasing La contents. The ranges of their size and thickness were 0.5–1.0 mm and 10–200 μm, respectively.
Figure 1.
Typical SEM image of a (La,Ce,Pr)OBiS2 single crystal.
Figure 2 shows the typical XRD patterns of a well-developed plane in the (La,Ce,Pr)OBiS2 and (La,Pr)OBiS2 single crystals obtained. The presence of only the 00l diffraction peaks, similar to CeOBiS2 compound structures [12], indicated a well-developed c-plane. The c-axis lattice constants of (La,Ce,Pr)OBiS2 and (La,Pr)OBiS2 single crystals were in the ranges of 13.59–13.68 Å and 13.80–13.81 Å, respectively. The differences between the c-axis lattice constants in the grown (La,Pr)OBiS2 single crystals were small, even though the compositions of the crystals varied extensively. Those values and the defined sample names are shown in Table 1. The analyzed atomic ratios of rare-earth elements in the grown (La,Ce,Pr)OBiS2 and (La,Pr)OBiS2 single crystals did not correspond precisely to the nominal compositions. The nominal compositions and the analyzed averaging compositions of the rare-earth elements are shown in Table 1. The estimated atomic ratios of the Bi and S elements in the obtained single crystals were Bi:S = 1.01 ± 0.05:2.01 ± 0.04, which agrees with the nearly stoichiometric ratio. On the other hand, Cs, K, and Cl from the flux were not detected in the single crystals with a minimum sensitivity limit of approximately 1 wt%.
Figure 2.
Typical XRD pattern of a well-developed plane of (La,CePr)OBiS2 and (La,Pr)OBiS2 single crystals.
Table 1.
Nominal compositions and analyzed compositions at the R-site, and c-axis lattice constants in the grown single crystals.
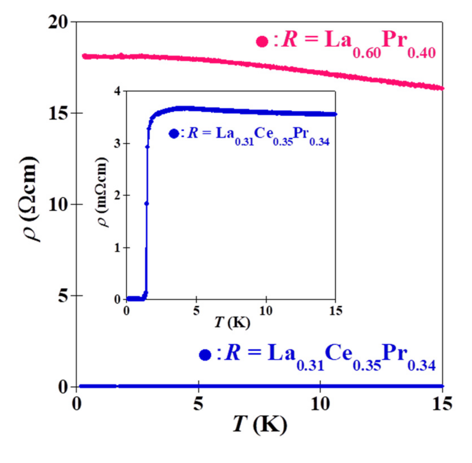
Figure 3 shows the ρ–T characteristics parallel to the c-plane in the temperature range 0.2–15 K for the La0.31Ce0.35Pr0.34OBiS2 and La0.60Pr0.40OBiS2 single crystals, which were typical (La,Ce,Pr)OBiS2 and (La,Pr)OBiS2 single crystals, respectively. La0.31Ce0.35Pr0.34OBiS2 single crystals exhibited superconductivity, but no superconducting transition was observed down to 0.2 K in La0.60Pr0.40OBiS2 single crystals. The electrical resistivity slightly increased with the decreasing temperature, indicating a semiconducting behavior in the normal state. The resistivity of (La,Ce,Pr)OBiS2 single crystals in a normal state was far lower than that of (La,Pr)OBiS2. For this reason, we assumed that the carrier was induced because of the Ce valence fluctuation. The Ce valence state will be exhibited in Figure 5. The other obtained (La,Ce,Pr)OBiS2 and (La,Pr)OBiS2 single crystals also demonstrated similar behavior, except for the Tc. Figure 4 shows the relationship between the superconducting transition temperature (Tc) and the compositions of the rare-earth elements (La, Ce, Pr) analyzed for the binary and ternary ROBiS2 single crystals plotted on the ternary diagrams. The Tc values of (La,Ce)OBiS2 and (Ce,Pr)OBiS2 from previous reports are also shown in Figure 4 [12,13,14,15,16,19,20]. Superconductivity was not observed down to 0.2 K for the grown Ce-free ROBiS2 single crystals, which were (La,Pr)OBiS2 single crystals. On the other hand, the obtained (La,Ce,Pr)OBiS2 single crystals exhibited Tc values of 1.23–2.18 K. In the rare-earth element composition, Tc disappeared near the region with higher La contents. On the other hand, Tc was increased by increasing the Pr content. When the composition of the R-site became Ce0.1Pr0.9, Tc exhibited its maximum value. However, no superconductivity was observed in the end-component PrOBiS2 [20]. Furthermore, these results indicate that Ce substitution is required for superconductivity in binary and ternary ROBiS2. The CeOBiS2 superconductor was induced into superconductivity by a Ce valence fluctuation caused by a mixture state of trivalent (Ce3+) and tetravalent (Ce4+) electronic configurations [13]. Thus, we focused on the valence state of rare-earth elements in (La,Ce,Pr)OBiS2 single crystals.
Figure 3.
ρ–T characteristics parallel to the c-plane in the temperature range 0.2–15 K for the La0.31Ce0.35Pr0.34OBiS2 and La0.60Pr0.40OBiS2 single crystals. The inset is an enlargement of the lower-resistivity region.
Figure 4.
Relationship between the superconducting transition temperature (Tc) and the compositions of the rare-earth elements (La,Ce,Pr) analyzed. The values in the ternary diagram are Tczero, in kelvin (K).
Figure 5 shows (a) the Ce L3-edge and (b) the Pr L3-edge absorption spectra of the grown (La,Ce,Pr)OBiS2 single crystals and standard samples for each valence state using XAFS spectroscopy analysis at room temperature. The Ce L3-edge of the grown (La,Ce,Pr)OBiS2 single crystals demonstrated a peak at around 5725 eV and was assigned to trivalent electronic configuration (Ce3+) [23]. Moreover, the peaks around 5730 eV and 5737 eV were assigned to tetravalent electronic configuration (Ce4+) [24]. All grown (La,Ce,Pr)OBiS2 single crystals exhibited a Ce valence fluctuation caused by a mixture state of Ce3+ and Ce4+. The Ce valence states in the grown (La,Ce,Pr)OBiS2 single crystals were analyzed using linear combination fitting of Ce2S3 (Ce3+) and CeO2 (Ce4+) through XAFS spectroscopy spectra. In the tetravalent electronic configuration (Ce4+) peak, samples #2 and #3 demonstrated values around 5737 eV, which were low compared to those of other samples. The values of the Ce4+ concentrations at the R-site for these samples were close to those for samples #1 and #4, but the Ce element concentrations at the R-site were higher than those for samples #1 and #4 (See Table 2). In consequence, the Ce4+/Ce3+ ratios of samples #2 and #3 were smaller than those of samples #1 and #4. Therefore, the Ce4+ peaks became lower relative to those of samples #1 and #4. On the other hand, the Pr L3-edge of those single crystals exhibited a peak at approximately 5966 eV, which was assigned to the trivalent electronic configuration (Pr3+) [25,26]. Moreover, the tetravalent electronic configuration (Pr4+) demonstrated a peak at approximately 5978 eV in Pr6O11 [25,27]. The Pr valence states were also analyzed using a linear combination fitting of Pr2S3 (Pr3+) and Pr6O11 (one-third Pr3+ and two-thirds Pr4+). In consequence, the trivalent electronic structure was dominant, but a low concentration of the tetravalent electronic configuration was found. In a similar fashion, the Pr valence states in the grown (La,Pr)OBiS2 single crystals were analyzed. The tetravalent electronic structure (Pr4+) concentrations were low, as shown in Figure 6. The tetravalent electronic configuration (R4+) concentrations and the mean R-site ionic radius considering the valence state (R3+ and R4+) for the grown single crystals are summarized in Table 2. Exceptionally, the concentrations of Pr4+ in sample #1 (R = La0.13Ce0.20Pr0.67) and sample #5 (R = La0.28Pr0.72) were high, with both at approximately 10% at the R-site. The Tc of sample #1 exhibited comparatively high, but sample #5 did not exhibit superconductivity. Even though this observation still requires clarification, it provides important information on the superconducting mechanism of BiS2-based materials.
Figure 5.
(a) Ce L3-edge and (b) Pr L3-edge absorption spectra using XAFS spectroscopy at room temperature for the grown (La,Ce,Pr)OBiS2 single crystals and standard samples for each valence state (Ce3+: Ce2S3; Ce4+: CeO2; and Pr3+: Pr2S3; Pr4+: Pr6O11).
Table 2.
Tetravalent electronic configuration (R4+) concentrations at the R-site, and mean R-site ionic radius considering the valence state (R3+ and R4+) for the grown single crystals.
Figure 6.
Pr L3-edge absorption spectra using XAFS spectroscopy at room temperature for the grown (La,Pr)OBiS2 single crystals, Pr2S3 and Pr6O11.
Herein, we discuss the effect of valence states and ionic radius on binary and ternary ROBiS2. Figure 7 shows the dependence of the tetravalent electronic configuration (R4+) concentrations on Tc for the binary and ternary ROBiS2 single crystals. While binary ROBiS2 exhibits little correlation between the ratio of tetravalent ions and Tc, ternary ROBiS2 demonstrates a clear correlation between them; an increased ratio of tetravalent ions increased Tc. This result indicates that the electronic state of ternary ROBiS2 is different from that of binary ROBiS2. Figure 8 shows the relationship between the mean R-site ionic radius [28] considering the valence state (R3+ and R4+) and the Tc for binary and ternary ROBiS2 single crystals. The Tc decreased with an increase in the mean R-site ionic radius. Although some anomalous data have been noted, this trend was consistent with the chemical pressure effect at the R-site [29]. There was no significant difference in terms of ionic radius between binary and ternary ROBiS2. Thus, ternary ROBiS2 is more sensitive to the electronic configuration, while both binary and ternary ROBiS2 have similar trends in their ionic radius. Additionally, these results reveal that Ce-substitution at the R-site is required for superconductivity.
Figure 7.
Dependence of the tetravalent electronic configuration (R4+) concentrations on Tc for the binary and ternary ROBiS2 single crystals.
Figure 8.
Relationship between the mean R-site ionic radius considering the valence state (R3+ and R4+) and the Tc for the binary and ternary ROBiS2 single crystals.
4. Conclusions
(La,Ce,Pr)OBiS2 and (La,Pr)OBiS2 single crystals were successfully grown using a CsCl and a KCl flux, respectively. The superconducting transition temperature of the grown (La,Ce,Pr)OBiS2 single crystals was 1.23–2.18 K. (La,Pr)OBiS2 single crystals exhibited no superconductivity down to 0.2 K. The requirement of Ce substitution was revealed for the induction of superconductivity in binary and ternary ROBiS2. In the (La,Ce,Pr)OBiS2 and (La,Pr)OBiS2 single crystals, the Ce valence fluctuation was much larger than that of Pr, except for particular samples. For the ternary ROBiS2 (R = La + Ce + Pr) single crystals, the superconducting transition temperature increased with increasing concentrations of the tetravalent state (R4+) at the R-site, but the binary ROBiS2 (R = La + Ce, Ce + Pr, La + Pr) demonstrated no such correlation. According to the investigation of the mean R-site ionic radius, these superconducting transition temperature behaviors were found to be similar to the trend of the chemical pressure effect at the R-site. The superconducting transition temperature of ROBiS2 (R = La, Ce, Pr) did not demonstrate a simple dependence on the carrier concentration of the tetravalent state (R4+) at the R-site, but it may be easy to tune by varying the mean R-site ionic radius.
Author Contributions
Conceptualization, M.N.; Methodology, M.N.; Validation, M.N. and Y.H.; Formal analysis, M.N., Y.H. and A.M.; Investigation, M.N. and A.M.; Resources, Y.M., S.W., Y.T. and I.T.; Data curation, M.N. and Y.H.; Writing—original draft preparation, M.N.; Writing—review and editing, A.M., S.W., I.T.; Visualization, M.N.; Supervision, Y.M., S.W., Y.T. and I.T.; Project administration, M.N.; Funding acquisition, M.N., A.M. and I.T. All authors have read and agreed to the published version of the manuscript.
Funding
This work was partially supported by JSPS KAKENHI (Grant-in-Aid for Scientific Research (B) and (C)), Grant Number 21H02022 and 19K05248.
Institutional Review Board Statement
Not applicable.
Informed Consent Statement
Not applicable.
Acknowledgments
The XAFS spectroscopy experiments were conducted at the BL11S2 and BL5S1 of the Aichi Synchrotron Radiation Center, Aichi Science & Technology Foundation, Aichi, Japan (Experimental No. 201801025 and No. 202005002).
Conflicts of Interest
The authors declare no conflict of interest.
References
- Bednorz, J.G.; Müller, K.A. Possible highTc superconductivity in the Ba−La−Cu−O system. Phys. B Condens. Matter 1986, 64, 189–193. [Google Scholar] [CrossRef]
- Wu, M.K.; Ashburn, J.R.; Thorng, C.J.; Hor, P.H.; Meng, R.L.; Gao, L.; Huang, Z.J.; Wang, Y.Q.; Chu, C.W. Superconductivity at 93 K in a new mixed-phase Y-Ba-Cu-O compound system at ambient pressure. Phys. Rev. Lett. 1987, 58, 908. [Google Scholar] [CrossRef] [PubMed] [Green Version]
- Maeda, H.; Tanaka, Y.; Fukutomi, M.; Asano, T. A New High-Tc Oxide Superconductor without a Rare Earth Element. Jpn. J. Appl. Phys. 1988, 27, L209. [Google Scholar] [CrossRef] [Green Version]
- Kamihara, Y.; Hiramatsu, H.; Hirano, M.; Kawamura, R.; Yanagi, H.; Kamiya, T.; Hosono, H. Iron-Based Layered Superconductor: LaOFeP. J. Am. Chem. Soc. 2006, 128, 10012–10013. [Google Scholar] [CrossRef]
- Kamihara, Y.; Watanabe, T.; Hirano, M.; Hosono, H. Iron-based layered superconductor La[O(1−x)F(x)]FeAs (x = 0.05–0.12) with T(c) = 26 K. J. Am. Chem. Soc. 2008, 130, 3296–3297. [Google Scholar] [CrossRef]
- Mizuguchi, Y.; Demura, S.; Deguchi, K.; Takano, Y.; Fujihisa, H.; Gotoh, Y.; Izawa, H.; Miura, O. Superconductivity in novel BiS2-based layered superconductor LaO1−xFxBiS2. J. Phys. Soc. Jpn. 2012, 81, 114725. [Google Scholar] [CrossRef] [Green Version]
- Xing, J.; Li, S.; Ding, X.; Yang, H.; Wen, H.-H. Superconductivity appears in the vicinity of semiconducting-like behavior in CeO1−xFxBiS2. Phys. Rev. B 2012, 86, 214518. [Google Scholar] [CrossRef] [Green Version]
- Jha, R.; Kumar, A.; Singh, S.K.; Awana, V.P.S. Synthesis and Superconductivity of New BiS2 Based Superconductor PrO0.5F0.5BiS2. J. Supercond. Nov. Magn. 2013, 26, 499–502. [Google Scholar] [CrossRef]
- Demura, S.; Mizuguchi, Y.; Deguchi, K.; Okazaki, H.; Hara, H.; Watanabe, T.; Denholme, S.J.; Fujioka, M.; Ozaki, T.; Fujihisa, H.; et al. New Member of BiS2-Based Superconductor NdO1−xFxBiS2. J. Phys. Soc. Jpn. 2013, 82, 033708. [Google Scholar] [CrossRef]
- Yazici, D.; Huang, K.; White, B.D.; Chang, A.H.; Friedman, A.J.; Maple, M.B. Superconductivity of F-substituted LnOBiS2 (Ln = La, Ce, Pr, Nd, Yb) compounds. Philos. Mag. 2013, 93, 673. [Google Scholar] [CrossRef] [Green Version]
- Kinami, K.; Hanada, Y.; Nagao, M.; Miura, A.; Goto, Y.; Maruyama, Y.; Watauchi, S.; Takano, Y.; Tanaka, I. Growth of Superconducting Sm(O,F)BiS2 Single Crystals. Cryst. Growth Des. 2019, 19, 6136–6140. [Google Scholar] [CrossRef]
- Nagao, M.; Miura, A.; Ueta, I.; Watauchi, S.; Tanaka, I. Superconductivity in CeOBiS2 with cerium valence fluctuation. Solid State Commun. 2016, 245, 11–14. [Google Scholar] [CrossRef] [Green Version]
- Tanaka, M.; Nagao, M.; Matsumoto, R.; Kataoka, N.; Ueta, I.; Tanaka, H.; Watauchi, S.; Tanaka, I.; Takano, Y. Superconductivity and its enhancement under high pressure in “F-free” single crystals of CeOBiS2. J. Alloys Compd. 2017, 722, 467–473. [Google Scholar] [CrossRef] [Green Version]
- Hanada, Y.; Nagao, M.; Miura, A.; Maruyama, Y.; Watauchi, S.; Takano, Y.; Tanaka, I. Growth and characterization of (La,Ce)OBiS2 single crystals. Jpn. J. Appl. Phys. 2019, 58, 063001. [Google Scholar] [CrossRef]
- Miura, A.; Nagao, M.; Goto, Y.; Mizuguchi, Y.; Matsuda, T.D.; Aoki, Y.; Moriyoshi, C.; Kuroiwa, Y.; Takano, Y.; Watauchi, S.; et al. Crystal Structure and Superconductivity of Tetragonal and Monoclinic Ce1–xPrxOBiS2. Inorg. Chem. 2018, 57, 5364–5370. [Google Scholar] [CrossRef]
- Nagao, M.; Miura, A.; Urushihara, D.; Maruyama, Y.; Goto, Y.; Mizuguchi, Y.; Moriyoshi, C.; Kuroiwa, Y.; Wang, Y.; Watauchi, S.; et al. Flux Growth and Superconducting Properties of (Ce,Pr)OBiS2 Single Crystals. Front. Chem. 2020, 8, 44. [Google Scholar] [CrossRef] [Green Version]
- Kase, N.; Matsumoto, M.; Kondo, K.; Gouchi, J.; Uwatoko, Y.; Sakakibara, T.; Miyakawa, N. Superconductivity of Electron-Doped NdOBiS2 by Substitution of Mixed-Valence Ce Ions. J. Phys. Soc. Jpn. 2019, 88, 103703. [Google Scholar] [CrossRef] [Green Version]
- Fujita, Y.; Kinami, K.; Hanada, Y.; Nagao, M.; Miura, A.; Hirai, S.; Maruyama, Y.; Watauchi, S.; Takano, Y.; Tanaka, I. Growth and Characterization of ROBiS2 High-Entropy Superconducting Single Crystals. ACS Omega 2020, 5, 16819–16825. [Google Scholar] [CrossRef]
- Higashinaka, R.; Asano, T.; Nakashima, T.; Fushiya, K.; Mizuguchi, Y.; Miura, O.; Matsuda, T.D.; Aoki, Y. Pronounced −Log T Divergence in Specific Heat of Nonmetallic CeOBiS2: A Mother Phase of BiS2-Based Superconductor. J. Phys. Soc. Jpn. 2015, 84, 023702. [Google Scholar] [CrossRef] [Green Version]
- Nagao, M.; Miura, A.; Matsumoto, R.; Maruyama, Y.; Watauchi, S.; Takano, Y.; Tadanaga, K.; Tanaka, I. Growth and transport properties under high pressure of PrOBiS2 single crystals. Solid State Commun. 2019, 296, 17–20. [Google Scholar] [CrossRef] [Green Version]
- Nagao, M.; Demura, S.; Deguchi, K.; Miura, A.; Watauchi, S.; Takei, T.; Takano, Y.; Kumada, N.; Tanaka, I. Structural Analysis and Superconducting Properties of F-Substituted NdOBiS2 Single Crystals. J. Phys. Soc. Jpn. 2013, 82, 113701. [Google Scholar] [CrossRef] [Green Version]
- Nagao, M. Growth and characterization of R(O,F)BiS2 (R = La, Ce, Pr, Nd) superconducting single crystals. Nov. Supercond. Mater. 2015, 1, 64–74. [Google Scholar] [CrossRef]
- Yaroslavtsev, A.; Menushenkov, A.; Chernikov, R.; Clementyev, E.; Lazukov, V.; Zubavichus, Y.; Veligzhanin, A.; Efremova, N.; Gribanov, A.; Kuchin, A. Ce valence in intermetallic compounds by means of XANES spectroscopy. Z. Krist. Cryst. Mater. 2010, 225, 482. [Google Scholar] [CrossRef] [Green Version]
- Yamazaki, S.; Matsui, T.; Ohashi, T.; Arita, Y. Defect structures in doped CeO2 studied by using XAFS spectrometry. Solid State Ion. 2000, 136–137, 913–920. [Google Scholar] [CrossRef]
- Ku, H.C.; Lin, B.N.; Lin, Y.X.; Hsu, Y.Y. Effect of Pr–O hybridization on the anomalous magnetic properties of Pr1+xBa2−xCu3O7−y system. J. Appl. Phys. 2002, 91, 7128. [Google Scholar] [CrossRef] [Green Version]
- Lin, B.N.; Lin, Y.X.; Hsu, Y.Y.; Liao, J.D.; Cheng, W.H.; Lee, J.F.; Jang, L.Y.; Ku, H.C. Anomalous Pr Ordering, PrL3-Edge and Cu K-Edge XANES Studies for the Insulating PrBa2Cu3O7−y System. J. Low Temp. Phys. 2003, 131, 803. [Google Scholar] [CrossRef]
- Fujishiro, H.; Naito, T.; Ogawa, S.; Yoshida, N.; Nitta, K.; Hejtmánek, J.; Knížek, K.; Jirák, Z. Valence Shift of Pr Ion from 3+ to 4+ in (Pr1−yYy)0.7Ca0.3CoO3 Estimated by X-Ray Absorption Spectroscopy. J. Phys. Soc. Jpn. 2012, 81, 064709. [Google Scholar] [CrossRef]
- Shannon, R.D. Revised effective ionic radii and systematic studies of interatomic distances in halides and chalcogenides. Acta Crystallogr. Sect. A 1976, 32, 751–767. [Google Scholar] [CrossRef]
- Mizuguchi, Y.; Miura, A.; Kajitani, J.; Hiroi, T.; Miura, O.; Tadanaga, K.; Kumada, N.; Magome, E.; Moriyoshi, C.; Kuroiwa, Y. In-plane chemical pressure essential for superconductivity in BiCh2-based (Ch: S, Se) layered structure. Sci. Rep. 2015, 5, 14968. [Google Scholar] [CrossRef] [Green Version]
Publisher’s Note: MDPI stays neutral with regard to jurisdictional claims in published maps and institutional affiliations. |
© 2022 by the authors. Licensee MDPI, Basel, Switzerland. This article is an open access article distributed under the terms and conditions of the Creative Commons Attribution (CC BY) license (https://creativecommons.org/licenses/by/4.0/).







