Dynamics and Diversity of Microbial Contamination in Poultry Bedding Materials Containing Parts of Medicinal Plants
Abstract
1. Introduction
2. Materials and Methods
2.1. Materials Production and Composition
2.2. Physico-Chemical and Microbiological Characterisation of Materials Prior to Their Exploitation
2.2.1. Essential Oil Content
2.2.2. Moisture Content
2.2.3. Water Absorption Capacity
2.2.4. pH Value
2.2.5. Total Count of Aerobic Mesophilic Bacteria
2.3. Testing the Bedding Materials in Operational Conditions Involving Animals—Experiment Design and Sample Collection
2.4. Physico-Chemical and Microbiological Characterisation of Materials during Their Exploitation
2.4.1. Moisture Content
2.4.2. pH Value
2.4.3. Total Count of Aerobic Mesophilic Bacteria, the Total Count of Yeasts and Moulds
2.4.4. Total Count of Staphylococcus sp., Escherichia sp., Listeria sp., Salmonella sp., and Candida sp.
2.5. Statistical Analysis
3. Results
3.1. Physicochemical and Microbiological Parameters of Materials before Exploitation
3.2. Physico-Chemical Characterisation of Materials during Their Exploitation
3.2.1. Moisture Content
3.2.2. pH Value
3.3. Total Count of Aerobic Mesophilic Bacteria, the Total Count of Yeasts and Moulds in Materials during Use under Operating Conditions
3.4. Count of Microorganisms in Bedding Materials during Use under Operating Conditions
3.4.1. Staphylococcus sp.
3.4.2. Escherichia sp.
3.4.3. Listeria sp.
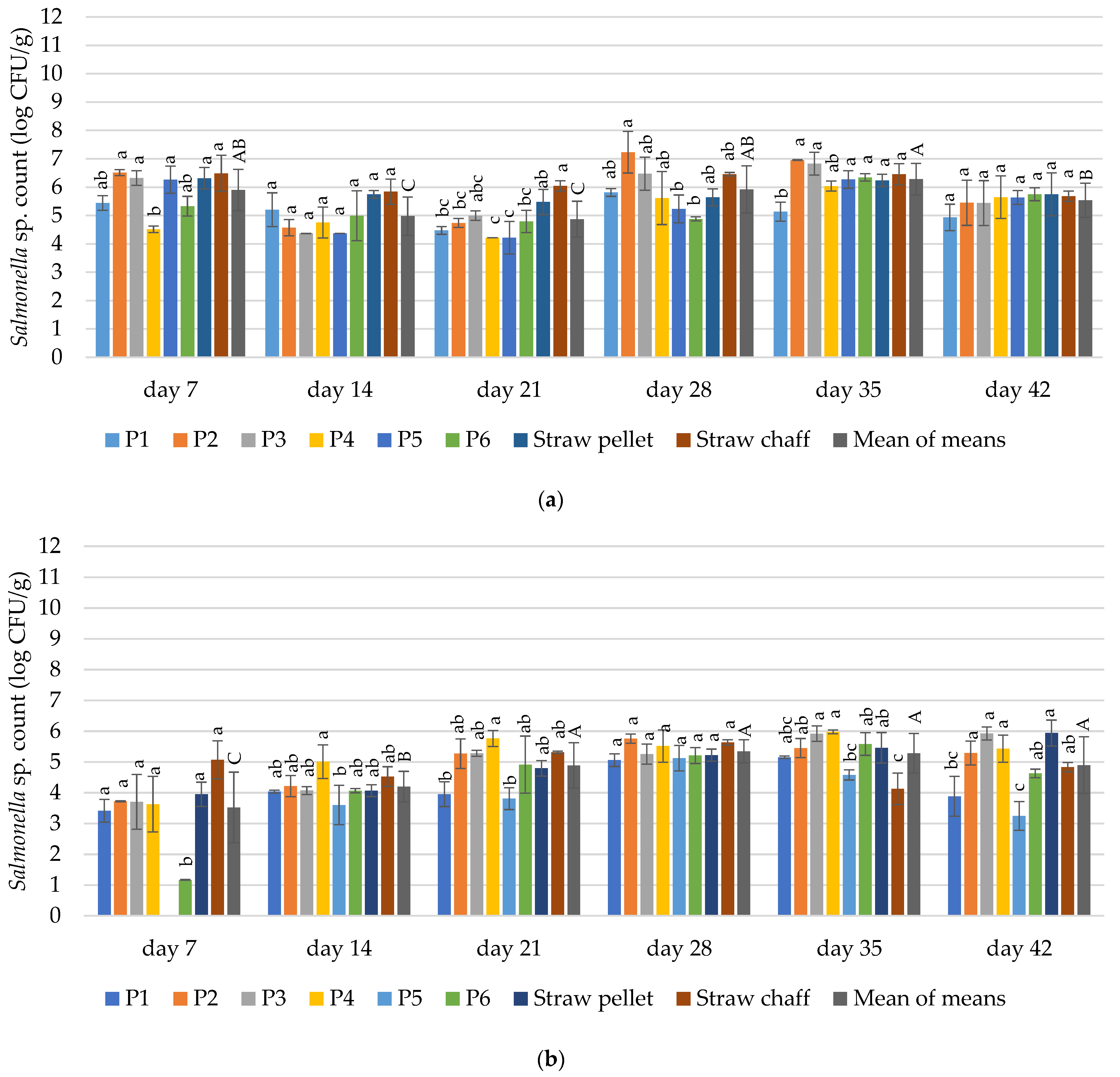
3.4.4. Salmonella sp.
3.4.5. Candida sp.
4. Discussion
4.1. Physicochemical Parameters of Bedding Materials Prior and during Their Exploitation
4.1.1. Water Absorption Capacity and Moisture Content
4.1.2. pH
4.1.3. Essential Oil Content
4.2. Total Count of Aerobic Mesophilic Bacteria in Materials Prior to Their Exploitation
4.3. Diversity and Dynamics of Microorganisms over the Exploitation Period
4.3.1. Total Count of Aerobic Bacteria and Total Count of Yeasts and Moulds in Materials
4.3.2. Staphylococcus sp.
4.3.3. Escherichia sp.
4.3.4. Listeria sp.
4.3.5. Salmonella sp.
4.3.6. Candida sp.
4.4. Limitations and Future Research
5. Conclusions
- a lower total count of mesophilic aerobic bacteria in poultry bedding,
- a lower total count of yeasts and moulds in poultry bedding,
- a lower presumptive count of Staphylococcus sp., Escherichia sp., Listeria sp., Salmonella sp., and Candida sp. in poultry bedding.
6. Patents
Author Contributions
Funding
Institutional Review Board Statement
Informed Consent Statement
Data Availability Statement
Acknowledgments
Conflicts of Interest
References
- Food and Agriculture Organization of the United Nations Gateway to Poultry Production and Products. Available online: https://www.fao.org/poultry-production-products/production/en/ (accessed on 6 December 2021).
- OECD-FAO Agricultural Outlook 2021–2030. Available online: https://www.fao.org/3/CB5332EN/Meat.pdf (accessed on 6 December 2021).
- European Commission European Citizens Initiative on “End the Cage Age”. Available online: https://ec.europa.eu/commission/presscorner/detail/en/QANDA_21_3298 (accessed on 6 December 2021).
- Chen, Z.; Jiang, X. Microbiological Safety of Chicken Litter or Chicken Litter-Based Organic Fertilizers: A Review. Agriculture 2014, 4, 1–29. [Google Scholar] [CrossRef]
- Al-Rubaye, A.A.K.; Couger, M.B.; Ojha, S.; Pummill, J.F.; Koon, J.A.; Wideman, R.F.; Rhoads, D.D. Genome Analysis of Staphylococcus Agnetis, an Agent of Lameness in Broiler Chickens. PLoS ONE 2015, 10, e0143336. [Google Scholar] [CrossRef] [PubMed]
- Stępień-Pyśniak, D.; Wilczyński, J.; Marek, A.; Śmiech, A.; Kosikowska, U.; Hauschild, T. Staphylococcus Simulans Associated with Endocarditis in Broiler Chickens. Avian. Pathol. 2017, 46, 44–51. [Google Scholar] [CrossRef] [PubMed]
- Collingwood, C.; Kemmett, K.; Williams, N.; Wigley, P. Is the Concept of Avian Pathogenic Escherichia coli as a Single Pathotype Fundamentally Flawed? Front. Vet. Sci. 2014, 1, 5. [Google Scholar] [CrossRef] [PubMed]
- Swelum, A.A.; Elbestawy, A.R.; El-Saadony, M.T.; Hussein, E.O.S.; Alhotan, R.; Suliman, G.M.; Taha, A.E.; Ba-Awadh, H.; El-Tarabily, K.A.; Abd El-Hack, M.E. Ways to Minimize Bacterial Infections, with Special Reference to Escherichia coli, to Cope with the First-Week Mortality in Chicks: An Updated Overview. Poult. Sci. 2021, 100, 425. [Google Scholar] [CrossRef] [PubMed]
- Zhang, X.; Wang, S.; Chen, X.; Qu, C. Review Controlling Listeria monocytogenes in Ready-to-Eat Meat and Poultry Products: An Overview of Outbreaks, Current Legislations, Challenges, and Future Prospects. Trends. Food Sci. Technol. 2021, 116, 24–35. [Google Scholar] [CrossRef]
- Gast, R.K.; Jones, D.R.; Guraya, R.; Anderson, K.E.; Karcher, D.M. Research Note: Horizontal Transmission and Internal Organ Colonization by Salmonella Enteritidis and Salmonella Kentucky in Experimentally Infected Laying Hens in Indoor Cage-Free Housing. Poult. Sci. 2020, 99, 6071–6074. [Google Scholar] [CrossRef] [PubMed]
- Arné, P.; Lee, M.D. Fungal Infections. In Diseases of Poultry; Swayne, D.E., Boulianne, M., Logue, C.M., McDougald, L.R., Nair, V., Suarez, D.L., de Wit, S., Grimes, T., Johnson, D., Kromm, M., et al., Eds.; Wiley: Oxford, UK, 2019; pp. 1111–1133. ISBN 9781119371199. [Google Scholar]
- Nandi, S.; Maurer, J.J.; Hofacre, C.; Summers, A.O. Gram-Positive Bacteria Are a Major Reservoir of Class 1 Antibiotic Resistance Integrons in Poultry Litter. Proc. Natl. Acad. Sci. USA 2004, 101, 7118–7122. [Google Scholar] [CrossRef] [PubMed]
- Kyakuwaire, O.; Amoding, N.K. How Safe Is Chicken Litter for Land Application as an Organic Fertilizer? A Review. Int. J. Environ. Res. Public Health 2019, 16, 3521. [Google Scholar] [CrossRef] [PubMed]
- Brochu, N.M.; Guerin, M.T.; Varga, C.; Lillie, B.N.; Brash, M.L.; Susta, L. Demographic Characteristics and Husbandry and Biosecurity Practices of Small Poultry Flocks in Ontario, Canada. Avian Dis. 2021, 65, 287–294. [Google Scholar] [CrossRef] [PubMed]
- Miles, D.M.; Brooks, J.P.; McLaughlin, M.R.; Rowe, D.E. Broiler Litter Ammonia Emissions near Sidewalls, Feeders, and Waterers. Poult. Sci. 2013, 92, 1693–1698. [Google Scholar] [CrossRef]
- Rigby, H.; Dowding, A.; Fernandes, A.; Humphries, D.; Jones, N.R.; Lake, I.; Petch, R.G.; Reynolds, C.K.; Rose, M.; Smith, S.R. Concentrations of Organic Contaminants in Industrial and Municipal Bioresources Recycled in Agriculture in the UK. Sci. Total Environ. 2021, 765, 142787. [Google Scholar] [CrossRef] [PubMed]
- Gerber, P.F.; Gould, N.; McGahan, E. Potential Contaminants and Hazards in Alternative Chicken Bedding Materials and Proposed Guidance Levels: A Review. Poult. Sci. 2020, 99, 6664–6684. [Google Scholar] [CrossRef] [PubMed]
- Sieńkowska, M.; Dzierżanowska-Góryń, D.; Albera-Łojek, A. The Customer’s Assessment of Beddings for Companion Animals (in Polish: Ocena Podłoży Dla Zwierząt Towarzyszących w Świetle Badań Ankietowych). Wiad. Zootech. 2019, 17, 112–128. [Google Scholar]
- González, J.A.; García-Barriuso, M.; Amich, F. Ethnoveterinary Medicine in the Arribes Del Duero, Western Spain. Vet. Res. Commun. 2011, 35, 283–310. [Google Scholar] [CrossRef] [PubMed]
- Seyedtaghiya, M.H.; Fasaei, B.N.; Peighambari, S.M. Antimicrobial and Antibiofilm Effects of Satureja Hortensis Essential Oil against Escherichia coli and Salmonella Isolated from Poultry. Iran. J. Microbiol. 2021, 13, 74. [Google Scholar] [CrossRef] [PubMed]
- De Marques, J.L.; Volcão, L.M.; Funck, G.D.; Kroning, I.S.; da Silva, W.P.; Fiorentini, Â.M.; Ribeiro, G.A. Antimicrobial Activity of Essential Oils of Origanum vulgare L. and Origanum majorana L. against Staphylococcus Aureus Isolated from Poultry Meat. Ind. Crops Prod. 2015, 77, 444–450. [Google Scholar] [CrossRef]
- Pourghanbari, G.; Nili, H.; Moattari, A.; Mohammadi, A.; Iraji, A. Antiviral Activity of the Oseltamivir and Melissa Officinalis L. Essential Oil against Avian Influenza A Virus (H9N2). Virusdisease 2016, 27, 170. [Google Scholar] [CrossRef]
- Petrová, J.; Pavelková, A.; Hleba, L.; Pochop, J.; Rovná, K.; Kačániová, M. Antimicrobial Effect of Salvia Officinalis L. against Selected Group of Bacteria Isolated from Chickens Meat. Anim. Sci. Biotechnol. 2013, 46, 123–127. [Google Scholar]
- Dehghani, N.; Afsharmanesh, M.; Salarmoini, M.; Ebrahimnejad, H. In Vitro and in Vivo Evaluation of Thyme (Thymus Vulgaris) Essential Oil as an Alternative for Antibiotic in Quail Diet. J. Anim. Sci. 2019, 97, 2901–2913. [Google Scholar] [CrossRef] [PubMed]
- Abiala, M.; Olayiwola, J.; Babatunde, O.; Aiyelaagbe, O.; Akinyemi, S. Evaluation of Therapeutic Potentials of Plant Extracts against Poultry Bacteria Threatening Public Health. BMC Complem. Altern. Med. 2016, 16, 1–8. [Google Scholar] [CrossRef] [PubMed]
- Milanov, D.; Knezevic, S.; Vidakovic, S.; Pajic, M.; Zivkov-Balos, M.; Aleksic, N. Microbial Contamination of Poultry Litter during Fattening Period. Biotechnol. Anim. Husb. 2019, 35, 253–265. [Google Scholar] [CrossRef]
- Stuper-Szablewska, K.; Szablewski, T.; Cegielska-Radziejewska, R.; Ostrowska, A.; Matysiak, A.; Perkowski, J. Contamination of Different Kind of Litter by Microscopic Fungi from Hen House (in Polish: Zanieczyszczenie Grzybami Mikroskopowymi Różnych Rodzajów Ściółki Stosowanej w Kurnikach). Aparat. Bad. Dyd. 2014, 19, 199–204. [Google Scholar]
- Lovanh, N.; Cook, K.L.; Rothrock, M.J.; Miles, D.M.; Sistani, K. Spatial Shifts in Microbial Population Structure Within Poultry Litter Associated with Physicochemical Properties. Poult. Sci. 2007, 86, 1840–1849. [Google Scholar] [CrossRef]
- Viegas, C.; Carolino, E.; Malta-Vacas, J.; Sabino, R.; Viegas, S.; Veríssimo, C. Fungal Contamination of Poultry Litter: A Public Health Problem. J. Toxicol. Environ. Health Part A 2012, 75, 1341–1350. [Google Scholar] [CrossRef]
- Tan, R.M.T.S.L.; Bautista, D.A.; Phillips, K.; Tablante, N.L. Descriptive Study of the Microbial Profile of Poultry Litter from Broiler Farms with and without a History of Gangrenous Dermatitis and Litter from an Experimental Poultry House. J. Appl. Poult. Res. 2013, 22, 344–350. [Google Scholar] [CrossRef][Green Version]
- Winkler, S.; Coufal, C.; Harmel, D.; Martin, E.; Brooks, J.P.; Popham, S.; Gentry, T.J. Within-House Spatial Distribution of Fecal Indicator Bacteria in Poultry Litter. J. Environ. Qual. 2017, 46, 1003–1009. [Google Scholar] [CrossRef]
- Mituniewicz, T.; Piotrowska, J.; Sowińska, J.; Mituniewicz, E.; Iwańczuk-Czernik, K.; Wójcik, A. Effect of Calcium Peroxide (CaO2) Addition to Poultry Litter on the Parameters of Its Physicochemical, Microbiological and Fertilising Quality. J. Elem. 2016, 21, 1327–1341. [Google Scholar] [CrossRef]
- Barker, K.J.; Purswell, J.L.; Davis, J.D.; Parker, H.M.; Kidd, M.T.; McDaniel, C.D.; Kiess, A.S. Distribution of Bacteria at Different Poultry Litter Depths. Int. J. Poult. Sci. 2009, 9, 10–13. [Google Scholar] [CrossRef][Green Version]
- Moffo, F.; Mouiche, M.M.M.; Djomgang, H.K.; Tombe, P.; Wade, A.; Kochivi, F.L.; Dongmo, J.B.; Mbah, C.K.; Mapiefou, N.P.; Ngogang, M.P.; et al. Poultry Litter Contamination by Escherichia coli Resistant to Critically Important Antimicrobials for Human and Animal Use and Risk for Public Health in Cameroon. Antibiotics 2021, 10, 402. [Google Scholar] [CrossRef]
- Bindari, Y.R.; Moore, R.J.; Van, T.T.H.; Hilliar, M.; Wu, S.B.; Walkden-Brown, S.W.; Gerber, P.F. Microbial Communities of Poultry House Dust, Excreta and Litter Are Partially Representative of Microbiota of Chicken Caecum and Ileum. PLoS ONE 2021, 16, e255633. [Google Scholar] [CrossRef] [PubMed]
- O’Kelly, B.C.; Sivakumar, V. Water Content Determinations for Peat and Other Organic Soils Using the Oven-Drying Method. Dry Technol. 2014, 32, 631–643. [Google Scholar] [CrossRef]
- Ministry of Agriculture and Rural Development of the Republic of Poland. Regulation of February 15, 2010, on the Requirements and Procedures for the Maintenance of Farm Animal Species for Which Protection Standards Have Been Defined in the Regulations of the European Union. J. Laws 2010, 56, 344. [Google Scholar]
- Sejm of the Republic of Poland. Act on the Protection of Animals Used for Scientific or Educational Purposes, Adopted in Poland on January 15th, 2015. J. Laws 2015, 15, 266. [Google Scholar]
- CHROMagar Microbiology Food&Water Q.C. Available online: http://www.chromagar.com/produit.php?PARAM_NAVIGATION=industrial#.YazcYS-2xhF (accessed on 5 December 2021).
- Deininger, A.; Tamm, M.; Krause, R.; Sonnenberg, H. Penetration Resistance and Water-Holding Capacity of Differently Conditioned Straw for Deep Litter Housing Systems. J. Agric. Eng. Res. 2000, 77, 335–342. [Google Scholar] [CrossRef]
- Dunlop, M.W.; McAuley, J.; Blackall, P.J.; Stuetz, R.M. Water Activity of Poultry Litter: Relationship to Moisture Content during a Grow-Out. J. Environ. M. 2016, 172, 201–206. [Google Scholar] [CrossRef]
- Borhan, M.D.S.; Rahman, S.; Hammer, C. Water Absorption Capacity of Flax and Pine Horse Beddings and Gaseous Concentrations in Bedded Stalls. J. Equine Vet. Sci. 2014, 34, 611–618. [Google Scholar] [CrossRef]
- Bouasker, M.; Belayachi, N.; Hoxha, D.; Al-Mukhtar, M. Physical Characterization of Natural Straw Fibers as Aggregates for Construction Materials Applications. Materials 2014, 7, 3034–3048. [Google Scholar] [CrossRef]
- Fleming, K.; Hessel, E.F.; van den Weghe, H.F.A. Evaluation of Factors Influencing the Generation of Ammonia in Different Bedding Materials Used for Horse Keeping. J. Equine Vet. Sci. 2008, 28, 223–231. [Google Scholar] [CrossRef]
- Ahna, G.C.; Jang, S.S.; Kwak, H.J.; Lee, S.R.; Oh, Y.K.; Park, K.K. Characteristics of Rice Hulls, Sawdust, Wood Shavings and Mixture of Sawdust and Wood Shavings, and Their Usefulness According to the Pen Location for Hanwoo Cattle. Asian-Australas J. Anim. Sci. 2016, 29, 599–605. [Google Scholar] [CrossRef]
- Pallas, B.D.; Keys, D.M.; Bradley, M.P.; Vernasco-Price, E.J.; Sanders, J.D.; Allen, P.S.; Freeman, Z.T. Compressed Paper as an Alternative to Corn Cob Bedding in Mouse (Mus musculus) Cages. J. Am. Assoc. Lab. Anim. Sci. 2020, 59, 496–502. [Google Scholar] [CrossRef]
- Cabrera, M.L.; Chiang, S.C. Water Content Effect on Denitrification and Ammonia Volatilization in Poultry Litter. Soil. Sci. Soc. Am. J. 1994, 58, 811–816. [Google Scholar] [CrossRef]
- Lips, S.J.J.; Iñiguez de Heredia, G.M.; Op den Kamp, R.G.M.; van Dam, J.E.G. Water Absorption Characteristics of Kenaf Core to Use as Animal Bedding Material. Ind. Crops Prod. 2009, 29, 73–79. [Google Scholar] [CrossRef]
- Fairchild, B.; Czarick, M. Monitoring Litter Moisture. Poult. Hous. Tips 2011, 23, 119. [Google Scholar]
- White, D. The Physiology and Biochemistry of Prokaryotes, 2nd ed.; Oxford University Press: New York, NY, USA, 2000. [Google Scholar]
- Wilkinson, K.G.; Tee, E.; Tomkins, R.B.; Hepworth, G.; Premier, R. Effect of Heating and Aging of Poultry Litter on the Persistence of Enteric Bacteria. Poult. Sci. 2011, 90, 10–18. [Google Scholar] [CrossRef]
- Alimi, D.; Hajri, A.; Jallouli, S.; Sebai, H. In Vitro Acaricidal Activity of Essential Oil and Crude Extracts of Laurus Nobilis, (Lauraceae) Grown in Tunisia, against Arthropod Ectoparasites of Livestock and Poultry: Hyalomma Scupense and Dermanyssus Gallinae. Vet. Parasitol. 2021, 298, 109507. [Google Scholar] [CrossRef]
- Kürekci, C.; Özsoy, B.; Hassan, E.; Özkan, H.; Gundoğdu, A.; Özsoy, Ş.Y.; Yakan, A. Effect of Essential Oil Supplementation to Diet on Meat Quality, Fatty Acid Composition, Performance Parameters and Intestinal Microbiota of Japanese Quails. J. Anim. Physiol. Anim. Nutr. 2021, 105, 927–937. [Google Scholar] [CrossRef]
- Ghasemi, R.; Ghasemi, H.A.; Hajkhodadadi, I.; Khodaei-Motlagh, M. Efficacy of a Phytonutrient Supplement at Different Dietary Protein Contents on Growth Performance, Gut Morphology, Digestive Enzymes Activities and Stress Indicators of Broilers Subjected to Circular Heat Stress. Anim. Prod. Sci. 2021, 61, 1659–1671. [Google Scholar] [CrossRef]
- Witkowska, D.; Sowińska, J. The Effectiveness of Peppermint and Thyme Essential Oil Mist in Reducing Bacterial Contamination in Broiler Houses. Poult. Sci. 2013, 92, 2834–2843. [Google Scholar] [CrossRef]
- Arabhosseini, A.; Padhye, S.; van Beek, T.A.; van Boxtel, A.J.; Huisman, W.; Posthumus, M.A.; Müller, J. Loss of Essential Oil of Tarragon (Artemisia Dracunculus L.) Due to Drying. J. Sci. Food Agric. 2006, 86, 2543–2550. [Google Scholar] [CrossRef]
- Tedone, L.; Staskova, L.; Yan, D.D.; Whittock, S.; Shellie, R.; Koutoulis, A. Hop (Humulus lupulus L.) Volatiles Variation During Storage. J. Am. Soc. Brew. Chem. 2020, 78, 114–125. [Google Scholar] [CrossRef]
- Karpiński, T.M. Essential Oils of Lamiaceae Family Plants as Antifungals. Biomolecules 2020, 10, 103. [Google Scholar] [CrossRef]
- Yosr, Z.; Hnia, C.; Rim, T.; Mohamed, B. Changes in Essential Oil Composition and Phenolic Fraction in Rosmarinus Officinalis L. Var. Typicus Batt. Organs during Growth and Incidence on the Antioxidant Activity. Ind. Crops Prod. 2013, 43, 412–419. [Google Scholar] [CrossRef]
- Bączek, K.; Pióro-Jabrucka, E.; Kosakowska, O.; Węglarz, Z. Intraspecific Variability of Wild Thyme (Thymus serpyllum L.) Occurring in Poland. J. Appl. Res. Med. Aromat. Plants 2019, 12, 30–35. [Google Scholar] [CrossRef]
- Estaji, A.; Roosta, H.R.; Rezaei, S.A.; Hosseini, S.S.; Niknam, F. Morphological, Physiological and Phytochemical Response of Different Satureja hortensis L. Accessions to Salinity in a Greenhouse Experiment. J. Appl. Res. Med. Aromat. Plants 2018, 10, 25–33. [Google Scholar] [CrossRef]
- Skubij, N.; Dzida, K. Essential Oil Composition of Summer Savory (Satureja hortensis L.) Cv. Saturn Depending on Nitrogen Nutrition and Plant Development Phases in Raw Material Cultivated for Industrial Use. Ind. Crops Prod. 2019, 135, 260–270. [Google Scholar] [CrossRef]
- Mohtashami, S.; Rowshan, V.; Tabrizi, L.; Babalar, M.; Ghani, A. Summer Savory (Satureja Hortensis L.) Essential Oil Constituent Oscillation at Different Storage Conditions. Ind. Crops Prod. 2018, 111, 226–231. [Google Scholar] [CrossRef]
- Chambre, D.R.; Moisa, C.; Lupitu, A.; Copolovici, L.; Pop, G.; Copolovici, D.-M. Chemical Composition, Antioxidant Capacity, and Thermal Behavior of Satureja hortensis Essential Oil. Sci. Rep. 2020, 10, 21322. [Google Scholar] [CrossRef]
- Garbowska, M.; Berthold-Pluta, A.; Stasiak-Różańska, L. Microbiological Quality of Selected Spices and Herbs Including the Presence of Cronobacter spp. Food Microbiol. 2015, 49, 1–5. [Google Scholar] [CrossRef]
- Whittaker, C.; Shield, I. Factors Affecting Wood, Energy Grass and Straw Pellet Durability—A Review. Renew. Sustain. Energy Rev. 2017, 71, 1–11. [Google Scholar] [CrossRef]
- Lopes, M.; Roll, V.F.B.; Leite, F.L.; Dai Prá, M.A.; Xavier, E.G.; Heres, T.; Valente, B.S. Quicklime Treatment and Stirring of Different Poultry Litter Substrates for Reducing Pathogenic Bacteria Counts. Poult. Sci. 2013, 92, 638–644. [Google Scholar] [CrossRef]
- Azizi, A.; Yan, F.; Honermeier, B. Herbage Yield, Essential Oil Content and Composition of Three Oregano (Origanum vulgare L.) Populations as Affected by Soil Moisture Regimes and Nitrogen Supply. Ind. Crops Prod. 2009, 29, 554–561. [Google Scholar] [CrossRef]
- D’Antuono, L. Variability of Essential Oil Content and Composition of Origanum vulgare L. Populations from a North Mediterranean Area (Liguria Region, Northern Italy). Ann. Bot. 2000, 86, 471–478. [Google Scholar] [CrossRef]
- Hamidpour, R.; Hamidpour, S.; Hamidpour, M.; Shahlari, M.; Sohraby, M. Summer Savory: From the Selection of Traditional Applications to the Novel Effect in Relief, Prevention, and Treatment of a Number of Serious Illnesses Such as Diabetes, Cardiovascular Disease, Alzheimer’s Disease, and Cancer. J. Tradit. Complement. Med. 2014, 4, 140–144. [Google Scholar] [CrossRef]
- de Falco, E.; Mancini, E.; Roscigno, G.; Mignola, E.; Taglialatela-Scafati, O.; Senatore, F. Chemical Composition and Biological Activity of Essential Oils of Origanum vulgare L. Subsp. Vulgare L. under Different Growth Conditions. Molecules 2013, 18, 14948–14960. [Google Scholar] [CrossRef]
- ben Arfa, A.; Combes, S.; Preziosi-Belloy, L.; Gontard, N.; Chalier, P. Antimicrobial Activity of Carvacrol Related to Its Chemical Structure. Lett. Appl. Microbiol. 2006, 43, 149–154. [Google Scholar] [CrossRef]
- Wang, H.; Chen, Z.; Dharmasena, M.; Greene, A.K.; Gardener, B.M.; Holden, B.; Jiang, X. Plant-Scale Validation of Physical Heat Treatment of Poultry Litter Composts Using Surrogate and Indicator Microorganisms for Salmonella. Appl. Environ. Microbiol. 2021, 87, 20. [Google Scholar] [CrossRef]
- Guevara, L.; Antolinos, V.; Palop, A.; Periago, P.M. Impact of Moderate Heat, Carvacrol, and Thymol Treatments on the Viability, Injury, and Stress Response of Listeria monocytogenes. Biomed. Res. Int. 2015, 2015, 1–10. [Google Scholar] [CrossRef]
- Brooks, J.P.; McLaughlin, M.R.; Scheffler, B.; Miles, D.M. Microbial and Antibiotic Resistant Constituents Associated with Biological Aerosols and Poultry Litter within a Commercial Poultry House. Sci. Total Environ. 2010, 408, 4770–4777. [Google Scholar] [CrossRef]
- McGimpsey, J.A.; Douglas, M.H.; van Klink, J.W.; Beauregard, D.A.; Perry, N.B. Seasonal Variation in Essential Oil Yield and Composition from Naturalized Thymus vulgaris L. in New Zealand. Flavour. Fragr. J. 1994, 9, 347–352. [Google Scholar] [CrossRef]
- Semeniuc, C.A.; Pop, C.R.; Rotar, A.M. Antibacterial Activity and Interactions of Plant Essential Oil Combinations against Gram-Positive and Gram-Negative Bacteria. J. Food Drug Anal. 2017, 25, 403–408. [Google Scholar] [CrossRef] [PubMed]
- Rothrock, M.J.; Cook, K.L.; Warren, J.G.; Sistani, K. The Effect of Alum Addition on Microbial Communities in Poultry Litter. Poult. Sci. 2008, 87, 1493–1503. [Google Scholar] [CrossRef] [PubMed]
- Biswas, S.; Nazmi, A.; Pitesky, M.; Gallardo, R.; Pandey, P. Thermal Inactivation of Escherichia coli and Salmonella typhimurium in Poultry Carcass and Litter at Thermophilic Temperatures. J. Appl. Poult. Res. 2019, 28, 307–317. [Google Scholar] [CrossRef]
- Rothrock, M.J.; Davis, M.L.; Locatelli, A.; Bodie, A.; McIntosh, T.G.; Donaldson, J.R.; Ricke, S.C. Listeria Occurrence in Poultry Flocks: Detection and Potential Implications. Front. Vet. Sci. 2017, 4, 125. [Google Scholar] [CrossRef]
- Rørvik, L.M.; Aase, B.; Alvestad, T.; Caugant, D.A. Molecular Epidemiological Survey of Listeria monocytogenes in Broilers and Poultry Products. J. Appl. Microbiol. 2003, 94, 633–640. [Google Scholar] [CrossRef]
- Rasmussen, D.D. A Multi-State Molecular Epidemiological Survey of 16 Beef, Dairy, Poultry and Swine Farms to Facilitate Risk Assessment of Listeria monocytogenes. 2004. Available online: https://trace.tennessee.edu/utk_graddiss/2212 (accessed on 6 December 2021).
- Oussalah, M.; Phane, S.; Lacroix, M. Mechanism of Action of Spanish Oregano, Chinese Cinnamon, and Savory Essential Oils against Cell Membranes and Walls of Escherichia coli O157:H7 and Listeria monocytogenes. J. Food Prot. 2006, 69, 1046–1055. [Google Scholar] [CrossRef]
- Dargatz, D.A.; Fedorka-Cray, P.J.; Ladely, S.R.; Kopral, C.A.; Ferris, K.E.; Headrick, M.L. Prevalence and Antimicrobial Susceptibility of Salmonella Spp. Isolates from US Cattle in Feedlots in 1999 and 2000. J. Appl. Microbiol. 2003, 95, 753–761. [Google Scholar] [CrossRef] [PubMed]
- Bennett, D.D.; Higgins, S.E.; Moore, R.W.; Beltran, R.; Caldwell, D.J.; Byrd, J.A.; Hargis, B.M. Effects of Lime on Salmonella enteritidis Survival In Vitro. J. Appl. Poult. Res. 2003, 12, 65–68. [Google Scholar] [CrossRef]










| Material Type | Material Composition | |||||
|---|---|---|---|---|---|---|
| Ingredient 1 (I1) | I1 % (w/w) | Ingredient 2 (I2) | I2 % (w/w) | Ingredient 3 (I3) | I3 % (w/w) | |
| P1 | triticale straw | 70 | Origanum vulgare herb | 24 | Satureja hortensis herb | 6 |
| P2 | triticale straw | 70 | Satureja hortensis herb | 18 | Origanum vulgare stems | 12 |
| P3 | triticale straw | 70 | Satureja hortensis herb | 18 | Melissa officinalis stems | 12 |
| P4 | triticale straw | 70 | Satureja hortensis herb | 18 | Salvia officinalis stems | 12 |
| P5 | triticale straw | 70 | Satureja hortensis herb | 18 | Thymus vulgaris stems | 12 |
| P6 | triticale straw | 70 | Origanum vulgare herb | 24 | Thymus vulgaris leaves | 6 |
| Straw pellet | triticale straw | 100 | - | - | - | - |
| Straw chaff | triticale straw | 100 | - | - | - | - |
| Bedding Material | Moisture Content | Essential Oil Content in Input Ingredients before Processing [mL/100 g a.d.m.] | Essential Oil Content in Material [mL/100 g a.d.m.] | Water Absorption Capacity [%] | pH [–] | Total Count of Aerobic Mesophilic Bacteria [log CFU/g] |
|---|---|---|---|---|---|---|
| P1 | 12.41 ± 0.06 d | 0.27 ± 0.01 c | 0.09 ± 0.01 d | 377.83 ± 10.12 a | 6.28 ± 0.02 d | 5.88 ± 0.20 b |
| P2 | 14.37 ± 0.02 b | 0.71 ± 0.02 a | 0.30 ± 0.01 b | 242.43 ± 13.20 d | 6.46 ± 0.02 c | 5.13 ± 0.12 bc |
| P3 | 14.54 ± 0.02 b | 0.71 ± 0.02 a | 0.34 ± 0.04 ab | 346.43 ± 11.25 b | 6.44 ± 0.01 c | 5.30 ± 0.27 bc |
| P4 | 12.96 ± 0.02 c | 0.72 ± 0.02 a | 0.35 ± 0.02 a | 375.28 ± 10.10 a | 6.50 ± 0.01 b | 5.36 ± 0.55 bc |
| P5 | 12.04 ± 0.08 d | 0.53 ± 0.01 b | 0.23 ± 0.01 c | 392.27 ± 12.30 a | 6.55 ± 0.02 a | 7.20 ± 0.01 a |
| P6 | 11.51 ± 0.09 e | 0.19 ± 0.02 d | 0.09 ± 0.01 d | 390.55 ± 11.60 a | 6.44 ± 0.02 c | 5.00 ± 0.04 c |
| Straw pellet | 12.99 ± 0.11 c | - | - | 300.58 ± 10.30 c | 6.51 ± 0.03 b | 5.51 ± 0.35 bc |
| Straw chaff | 16.87 ± 0.09 a | - | - | 277.97 ± 16.02 c | 6.20 ± 0.03 e | 7.01 ± 0.08 a |
| Bedding Material | pH after a Given Period of Use under Operational Conditions | |||||
|---|---|---|---|---|---|---|
| Day 7 | Day 14 | Day 21 | Day 28 | Day 35 | Day 42 | |
| P1 | 6.33 ± 0.00 bc | 6.40 ± 0.04 ab | 7.02 ± 0.05 a | 7.48 ± 0.05 a | 7.19 ± 0.11 a | 6.95 ± 0.24 a |
| P2 | 6.47 ± 0.01 a | 6.30 ± 0.13 b | 7.07 ± 0.01 a | 7.34 ± 0.05 a | 7.19 ± 0.07 a | 6.96 ± 0.15 a |
| P3 | 6.44 ± 0.03 ab | 6.33 ± 0.11 ab | 7.04 ± 0.08 a | 7.13 ± 0.08 a | 7.31 ± 0.06 a | 6.93 ± 0.09 a |
| P4 | 6.41 ± 0.01 ab | 6.30 ± 0.18 b | 6.83 ± 0.01 a | 7.24 ± 0.24 a | 7.38 ± 0.08 a | 6.72 ± 0.28 a |
| P5 | 6.39 ± 0.04 abc | 6.36 ± 0.04 ab | 7.01 ± 0.05 a | 7.34 ± 0.11 a | 7.25 ± 0.14 a | 7.06 ± 0.10 a |
| P6 | 6.49 ± 0.03 a | 6.42 ± 0.04 ab | 6.93 ± 0.07 a | 7.44 ± 0.04 a | 7.17 ± 0.02 a | 6.86 ± 0.07 a |
| Straw pellet | 6.48 ± 0.09 a | 6.65 ± 0.03 a | 7.04 ± 0.02 a | 7.32 ± 0.10 a | 7.40 ± 0.03 a | 6.87 ± 0.04 a |
| Straw chaff | 6.26 ± 0.03 c | 6.54 ± 0.10 ab | 6.98 ± 0.20 a | 7.22 ± 0.17 a | 7.19 ± 0.00 a | 7.00 ± 0.07 a |
| Mean | 6.41 ± 0.01 C | 6.41 ± 0.01 C | 6.99 ± 0.04 B | 7.32 ± 0.01 A | 7.26 ± 0.04 A | 6.92 ± 0.05 B |
| Bedding Material | pH after a Given Period of Use under Operational Conditions | |||||
|---|---|---|---|---|---|---|
| Day 7 | Day 14 | Day 21 | Day 28 | Day 35 | Day 42 | |
| P1 | 6.34 ± 0.02 ab | 6.28 ± 0.00 b | 6.65 ± 0.09 a | 7.56 ± 0.04 a | 7.57 ± 0.09 a | 7.49 ± 0.10 a |
| P2 | 6.43 ± 0.00 a | 6.40 ± 0.04 ab | 6.77 ± 0.06 a | 7.59 ± 0.07 a | 7.45 ± 0.07 a | 7.43 ± 0.05 a |
| P3 | 6.35 ± 0.03 ab | 6.28 ± 0.03 b | 6.51 ± 0.01 a | 7.42 ± 0.02 a | 7.45 ± 0.08 a | 7.47 ± 0.10 a |
| P4 | 6.35 ± 0.04 ab | 6.36 ± 0.05 ab | 6.69 ± 0.04 a | 7.60 ± 0.14 a | 7.21 ± 0.11 a | 7.15 ± 0.16 a |
| P5 | 6.35 ± 0.05 ab | 6.17 ± 0.12 b | 6.58 ± 0.07 a | 7.59 ± 0.25 a | 7.37 ± 0.18 a | 7.56 ± 0.33 a |
| P6 | 6.36 ± 0.01 ab | 6.36 ± 0.05 ab | 6.64 ± 0.02 a | 7.62 ± 0.06 a | 7.22 ± 0.29 a | 7.45 ± 0.07 a |
| Straw pellet | 6.45 ± 0.06 a | 6.35 ± 0.03 ab | 6.70 ± 0.12 a | 7.61 ± 0.07 a | 7.31 ± 0.09 a | 7.50 ± 0.12 a |
| Straw chaff | 6.21 ± 0.11 b | 6.55 ± 0.13 a | 6.67 ± 0.16 a | 7.30 ± 0.28 a | 7.12 ± 0.20 a | 7.47 ± 0.18 a |
| Mean | 6.35 ± 0.01 D | 6.35 ± 0.01 D | 6.65 ± 0.02 C | 7.54 ± 0.09 A | 7.34 ± 0.02 B | 7.44 ± 0.04 AB |
| Bedding Material | Log CFU/g after a Given Period of Use under Operational Conditions | |||||
|---|---|---|---|---|---|---|
| Day 7 | Day 14 | Day 21 | Day 28 | Day 35 | Day 42 | |
| P1 | 8.22 ± 0.07 c | 9.32 ± 0.21 bc | 11.11 ± 0.64 a | 15.44 ± 0.15 a | 15.62 ± 0.04 a | 15.68 ± 0.32 a |
| P2 | 8.49 ± 0.10 bc | 9.61 ± 0.04 abc | 11.20 ± 0.23 a | 15.57 ± 0.30 a | 15.53 ± 0.11 a | 15.00 ± 0.06 a |
| P3 | 9.38 ± 0.22 a | 9.21 ± 0.08 c | 11.09 ± 0.12 a | 15.71 ± 0.04 a | 15.69 ± 0.12 a | 15.50 ± 0.47 a |
| P4 | 8.64 ± 0.22 bc | 9.33 ± 0.24 bc | 10.83 ± 0.16 a | 15.48 ± 0.23 a | 15.91 ± 0.24 a | 14.95 ± 0.43 a |
| P5 | 8.99 ± 0.44 ab | 9.40 ± 0.14 bc | 11.07 ± 0.59 a | 15.74 ± 0.34 a | 15.75 ± 0.26 a | 15.31 ± 0.27 a |
| P6 | 9.04 ± 0.13 ab | 9.61 ± 0.15 abc | 11.18 ± 0.36 a | 15.54 ± 0.33 a | 15.64 ± 0.10 a | 15.23 ± 0.28 a |
| Straw pellet | 9.63 ± 0.06 a | 9.95 ± 0.05 a | 11.47 ± 0.23 a | 15.39 ± 0.09 a | 15.50 ± 0.44 a | 15.08 ± 0.25 a |
| Straw chaff | 9.43 ± 0.13 a | 9.78 ± 0.12 ab | 12.05 ± 0.11 a | 15.47 ± 0.33 a | 15.40 ± 0.38 a | 14.99 ± 0.38 a |
| Mean | 8.98 ± 0.02 E | 9.53 ± 0.06 D | 11.25 ± 0.13 C | 15.54 ± 0.05 A | 15.63 ± 0.06 A | 15.22 ± 0.17 B |
| Bedding Material | Log CFU/g after a Given Period of Use under Operational Conditions | |||||
|---|---|---|---|---|---|---|
| Day 7 | Day 14 | Day 21 | Day 28 | Day 35 | Day 42 | |
| P1 | 7.73 ± 0.56 b | 9.47 ± 0.13 c | 10.01 ± 0.09 b | 11.01 ± 0.46 a | 14.36 ± 0.09 a | 12.75 ± 0.14 b |
| P2 | 8.87 ± 0.02 a | 10.18 ± 0.13 ab | 10.39 ± 0.10 ab | 11.40 ± 0.34 a | 14.21 ± 0.50 a | 12.92 ± 0.32 b |
| P3 | 8.77 ± 0.42 ab | 9.51 ± 0.15 c | 10.17 ± 0.05 ab | 10.79 ± 0.36 a | 11.86 ± 0.11 d | 12.78 ± 0.45 b |
| P4 | 8.34 ± 0.44 ab | 9.94 ± 0.30 abc | 10.51 ± 0.12 ab | 11.46 ± 0.54 a | 12.28 ± 0.54 cd | 10.95 ± 0.02 c |
| P5 | 7.94 ± 0.12 ab | 9.79 ± 0.13 bc | 10.42 ± 0.24 ab | 11.44 ± 0.21 a | 12.04 ± 0.30 cd | 13.36 ± 0.52 ab |
| P6 | 8.61 ± 0.20 ab | 9.61 ± 0.23 bc | 10.55 ± 0.16 a | 10.75 ± 0.25 a | 12.29 ± 0.24 cd | 13.10 ± 0.44 ab |
| Straw pellet | 8.77 ± 0.25 ab | 10.03 ± 0.17 abc | 10.19 ± 0.25 ab | 11.25 ± 0.35 a | 13.02 ± 0.17 bc | 14.12 ± 0.25 a |
| Straw chaff | 8.99 ± 0.16 a | 10.46 ± 0.04 a | 10.29 ± 0.10 ab | 11.66 ± 0.07 a | 13.78 ± 0.15 ab | 13.19 ± 0.34 ab |
| Mean | 8.50 ± 0.17 F | 9.87 ± 0.08 E | 10.32 ± 0.03 D | 11.22 ± 0.11 C | 12.98 ± 0.11 A | 12.27 ± 0.09 B |
| Bedding Material | Log CFU/g after a Given Period of Use under Operational Conditions | |||||
|---|---|---|---|---|---|---|
| Day 7 | Day 14 | Day 21 | Day 28 | Day 35 | Day 42 | |
| P1 | 5.97 ± 0.17 bcd | 7.93 ± 0.11 a | 8.25 ± 0.03 b | 7.69 ± 0.14 a | 6.64 ± 0.34 a | 6.29 ± 0.10 a |
| P2 | 6.56 ± 0.37 abc | 8.11 ± 0.09 a | 8.32 ± 0.14 ab | 7.72 ± 0.22 a | 6.39 ± 0.33 a | 6.24 ± 0.05 a |
| P3 | 6.96 ± 0.22 a | 7.23 ± 0.70 a | 8.43 ± 0.15 ab | 7.93 ± 0.24 a | 6.67 ± 0.11 a | 5.16 ± 0.38 b |
| P4 | 5.30 ± 0.23 d | 7.43 ± 0.52 a | 8.25 ± 0.17 a | 7.96 ± 0.14 a | 6.54 ± 0.17 a | 5.55 ± 0.46 ab |
| P5 | 7.08 ± 0.10 a | 8.00 ± 0.03 a | 8.18 ± 0.11 ab | 7.73 ± 0.20 a | 6.39 ± 0.19 a | 5.55 ± 0.04 ab |
| P6 | 5.78 ± 0.15 cd | 7.97 ± 0.11 a | 7.96 ± 0.19 ab | 7.77 ± 0.10 a | 6.46 ± 0.13 a | 5.84 ± 0.34 ab |
| Straw pellet | 6.50 ± 0.35 abc | 7.89 ± 0.14 a | 8.03 ± 0.02 ab | 6.98 ± 0.04 b | 6.44 ± 0.18 a | 5.91 ± 0.04 ab |
| Straw chaff | 6.87 ± 0.37 ab | 8.02 ± 0.12 a | 8.39 ± 0.07 ab | 7.40 ± 0.14 ab | 6.74 ± 0.07 a | 5.47 ± 0.35 ab |
| Mean | 6.38 ± 0.06 C | 7.82 ± 0.05 B | 8.23 ± 0.03 A | 7.65 ± 0.03 B | 6.54 ± 0.14 C | 5.75 ± 0.14 D |
| Bedding Material | Log CFU/g after a Given Period of Use under Operational Conditions | |||||
|---|---|---|---|---|---|---|
| Day 7 | Day 14 | Day 21 | Day 28 | Day 35 | Day 42 | |
| P1 | 6.40 ± 0.65 ab | 7.74 ± 0.15 b | 7.84 ± 0.08 abc | 6.38 ± 0.33 a | 6.23 ± 0.07 a | 6.41 ± 0.08 a |
| P2 | 7.62 ± 0.06 a | 7.72 ± 0.06 b | 7.60 ± 0.02 bc | 6.10 ± 0.23 a | 6.62 ± 0.40 a | 6.06 ± 0.20 ab |
| P3 | 7.05 ± 0.55 a | 7.54 ± 0.14 b | 7.55 ± 0.12 c | 6.27 ± 0.15 a | 6.02 ± 0.08 a | 5.95 ± 0.29 abc |
| P4 | 6.69 ± 0.03 ab | 7.60 ± 0.05 b | 7.96 ± 0.17 ab | 6.21 ± 0.16 a | 6.33 ± 0.03 a | 5.92 ± 0.18 abcd |
| P5 | 5.12 ± 0.51 b | 7.82 ± 0.11 b | 8.10 ± 0.13 a | 6.65 ± 0.40 a | 6.03 ± 0.17 a | 5.45 ± 0.21 cd |
| P6 | 7.36 ± 0.03 a | 7.69 ± 0.04 b | 7.92 ± 0.08 abc | 5.98 ± 0.01 a | 6.13 ± 0.21 a | 5.48 ± 0.07 bcd |
| Straw pellet | 6.26 ± 0.82 ab | 7.52 ± 0.14 b | 7.76 ± 0.11 abc | 5.73 ± 0.42 a | 6.06 ± 0.15 a | 6.21 ± 0.16 a |
| Straw chaff | 7.04 ± 0.16 a | 8.62 ± 0.07 a | 8.00 ± 0.09 a | 6.58 ± 0.17 a | 6.30 ± 0.18 a | 5.32 ± 0.08 d |
| Mean | 6.69 ± 0.02 B | 7.78 ± 0.03 A | 7.84 ± 0.04 A | 6.24 ± 0.09 C | 6.22 ± 0.04 C | 5.85 ± 0.11 D |
Publisher’s Note: MDPI stays neutral with regard to jurisdictional claims in published maps and institutional affiliations. |
© 2022 by the authors. Licensee MDPI, Basel, Switzerland. This article is an open access article distributed under the terms and conditions of the Creative Commons Attribution (CC BY) license (https://creativecommons.org/licenses/by/4.0/).
Share and Cite
Gontar, Ł.; Sitarek-Andrzejczyk, M.; Kochański, M.; Buła, M.; Drutowska, A.; Zych, D.; Markiewicz, J. Dynamics and Diversity of Microbial Contamination in Poultry Bedding Materials Containing Parts of Medicinal Plants. Materials 2022, 15, 1290. https://doi.org/10.3390/ma15041290
Gontar Ł, Sitarek-Andrzejczyk M, Kochański M, Buła M, Drutowska A, Zych D, Markiewicz J. Dynamics and Diversity of Microbial Contamination in Poultry Bedding Materials Containing Parts of Medicinal Plants. Materials. 2022; 15(4):1290. https://doi.org/10.3390/ma15041290
Chicago/Turabian StyleGontar, Łukasz, Monika Sitarek-Andrzejczyk, Maksymilian Kochański, Maria Buła, Andżelika Drutowska, Dariusz Zych, and Justyna Markiewicz. 2022. "Dynamics and Diversity of Microbial Contamination in Poultry Bedding Materials Containing Parts of Medicinal Plants" Materials 15, no. 4: 1290. https://doi.org/10.3390/ma15041290
APA StyleGontar, Ł., Sitarek-Andrzejczyk, M., Kochański, M., Buła, M., Drutowska, A., Zych, D., & Markiewicz, J. (2022). Dynamics and Diversity of Microbial Contamination in Poultry Bedding Materials Containing Parts of Medicinal Plants. Materials, 15(4), 1290. https://doi.org/10.3390/ma15041290

