Electric-Field Control of Spin Diffusion Length and Electric-Assisted D’yakonov–Perel’ Mechanism in Ultrathin Heavy Metal and Ferromagnetic Insulator Heterostructure
Abstract
:1. Introduction
2. Experiments
2.1. Materials Preparation
2.2. Sample Measurement and Ionic Liquid Voltage Control
3. Results and Discussion
3.1. Non-Volatile Electric Field Control
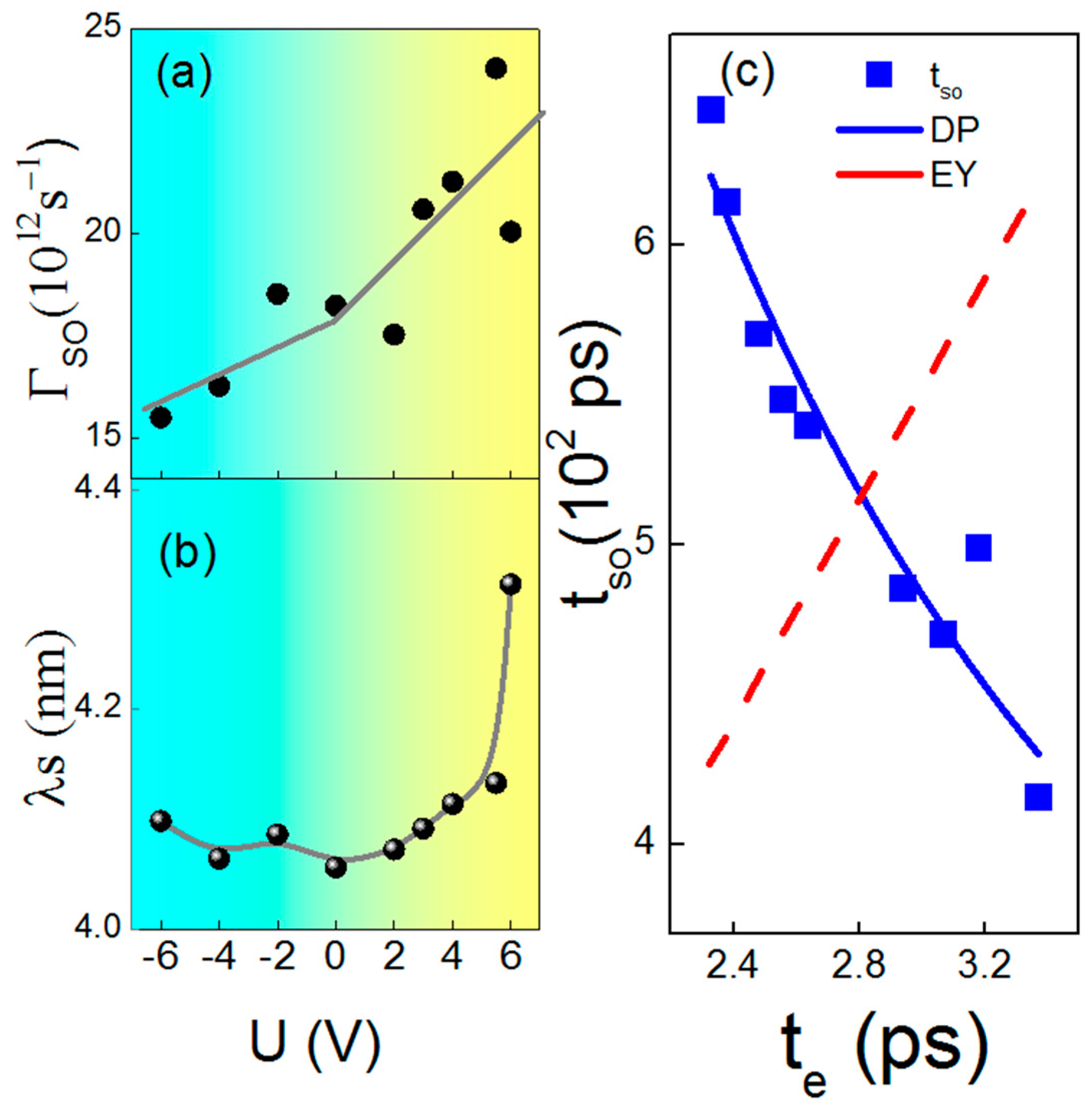
3.2. Electric-Field Control Spin Relaxtion
4. Conclusions
4.1. Electric-Field Control of Spin Diffusion Length and Electric-Assisted D’yakonov–Perel’ Mechanism in YIG/Pt
4.2. Spin Diffusion Length for Different Metals
4.3. Summary
Author Contributions
Funding
Institutional Review Board Statement
Informed Consent statement
Data Availability Statement
Acknowledgments
Conflicts of Interest
References
- Gariglio, S. Electric control of a spin current has potential for low-power computing. Nature 2020, 580, 458–459. [Google Scholar] [CrossRef] [PubMed]
- Noël, P.; Trier, F.; Arche, L.M.V.; Bréhin, J.; Vaz, D.C.; Garcia, V.; Fusil, S.; Barthélémy, A.; Vila, L.; Bibes, M.; et al. Non-volatile electric control of spin–charge conversion in a SrTiO3 Rashba system. Nature 2020, 580, 483–486. [Google Scholar] [CrossRef] [PubMed]
- Liu, T.; Vignale, G. Electric control of spin currents and spin-wave logic. Phys. Rev. Lett. 2011, 106, 247203. [Google Scholar] [CrossRef] [PubMed]
- Demidov, V.E.; Urazhdin, S.; Ulrichs, H.; Tiberkevich, V.; Slavin, A.; Baither, D.; Schmitz, G.; Demokritov, S.O. Magnetic nano-oscillator driven by pure spin current. Nat. Mater. 2012, 11, 1028–1031. [Google Scholar] [CrossRef]
- Liu, R.H.; Chen, L.; Urazhdin, S.; Du, Y.W. Controlling the spectral characteristics of a spin-current auto-oscillator with an electric field. Phys. Rev. Appl. 2017, 8, 021001. [Google Scholar] [CrossRef]
- Kajiwara, Y.; Harii, K.; Takahashi, S.; Ohe, J.I.; Uchida, K.; Mizuguchi, M.; Umezawa, H.; Kawai, H.; Ando, K.; Takanashi, K.; et al. Transmission of electrical signals by spin-wave interconversion in a magnetic insulator. Nature 2010, 464, 262. [Google Scholar] [CrossRef]
- Lebrun, R.; Ross, A.; Bender, S.A.; Qaiumzadeh, A.; Baldrati, L.; Cramer, J.; Brataas, A.; Duine, R.A.; Kläui, M. Tunable long-distance spin transport in a crystalline antiferromagnetic iron oxide. Nature 2018, 561, 222–225. [Google Scholar] [CrossRef]
- Leighton, C. Electrolyte-based ionic control of functional oxides. Nat. Mater. 2019, 18, 13–18. [Google Scholar] [CrossRef]
- Xu, S.J.; Fan, X.; Zhou, S.M.; Qiu, X.; Shi, Z. Gate voltage tuning of spin current in Pt/yttrium iron garnet heterostructure. J. Phys. D Appl. Phys. 2019, 52, 175304. [Google Scholar] [CrossRef]
- Dushenko, S.; Hokazono, M.; Nakamura, K.; Ando, Y.; Shinjo, T.; Shiraishi, M. Tunable inverse spin Hall effect in nanometer-thick platinum films by ionic gating. Nat. Commun. 2018, 9, 3118. [Google Scholar] [CrossRef]
- Guan, M.; Wang, L.; Zhao, S.; Zhou, Z.; Dong, G.; Su, W.; Min, T.; Ma, J.; Hu, Z.; Ren, W.; et al. Ionic Modulation of the Interfacial Magnetism in a Bilayer System Comprising a Heavy Metal and a Magnetic Insulator for Voltage-Tunable Spintronic Devices. Adv. Mater. 2018, 30, 1802902. [Google Scholar] [CrossRef] [PubMed]
- Shimizu, S.; Takahashi, K.S.; Hatano, T.; Kawasaki, M.; Tokura, Y.; Iwasa, Y. Electrically tunable anomalous Hall effect in Pt thin films. Phys. Rev. Lett. 2013, 111, 216803. [Google Scholar] [CrossRef] [PubMed]
- Saito, Y.; Nojima, T.; Iwasa, Y. Highly crystalline 2D superconductors. Nat. Rev. Mater. 2016, 2, 16094. [Google Scholar] [CrossRef]
- Sun, Y.; Chang, H.; Kabatek, M.; Song, Y.Y.; Wang, Z.; Jantz, M.; Schneider, W.; Wu, M.; Montoya, E.; Kardasz, B.; et al. Damping in yttrium iron garnet nanoscale films capped by platinum. Phys. Rev. Lett. 2013, 111, 106601. [Google Scholar] [CrossRef] [PubMed]
- Dai, Y.; Xu, S.J.; Chen, S.W.; Fan, X.L.; Yang, D.Z.; Xue, D.S.; Song, D.S.; Zhu, J.; Zhou, S.M.; Qiu, X. Observation of giant interfacial spin Hall angle in Y3Fe5O12/Pt heterostructures. Phys. Rev. B 2019, 100, 064404. [Google Scholar] [CrossRef]
- Liu, L.; Moriyama, T.; Ralph, D.C.; Buhrman, R.A. Spin-torque ferromagnetic resonance induced by the spin Hall effect. Phys. Rev. Lett. 2011, 106, 036601. [Google Scholar] [CrossRef]
- Mosendz, O.; Pearson, J.E.; Fradin, F.Y.; Bauer, G.E.W.; Bader, S.D.; Hoffmann, A. Quantifying spin Hall angles from spin pumping: Experiments and theory. Phys. Rev. Lett. 2010, 104, 046601. [Google Scholar] [CrossRef]
- Nakayama, H.; Althammer, M.; Chen, Y.T.; Uchida, K.I.; Kajiwara, Y.; Kikuchi, D.; Ohtani, T.; Geprägs, S.; Opel, M.; Takahashi, S.; et al. Spin Hall magnetoresistance induced by a nonequilibrium proximity effect. Phys. Rev. Lett. 2013, 110, 206601. [Google Scholar] [CrossRef]
- Lu, Y.M.; Choi, Y.; Ortega, C.M.; Cheng, X.M.; Cai, J.W.; Huang, S.Y.; Sun, L.; Chien, C.L. Pt magnetic polarization on Y3Fe5O12 and magnetotransport characteristics. Phys. Rev. Lett. 2013, 110, 147207. [Google Scholar] [CrossRef]
- Shiomi, Y.; Ohtani, T.; Iguchi, S.; Sasaki, T.; Qiu, Z.; Nakayama, H.; Uchida, K.; Saitoh, E. Interface-dependent magnetotransport properties for thin Pt films on ferrimagnetic Y3Fe5O12. Appl. Phys. Lett. 2014, 104, 242406. [Google Scholar] [CrossRef] [Green Version]
- Shao, Q.; Liu, Y.; Yu, G.; Kim, S.K.; Che, X.; Tang, C.; He, Q.L.; Tserkovnyak, Y.; Shi, J.; Wang, K.L. Topological Hall effect at above room temperature in heterostructures composed of a magnetic insulator and a heavy metal. Nat. Electron. 2019, 2, 182–186. [Google Scholar] [CrossRef]
- Kimura, T.; Hamrle, J.; Otani, Y. Estimation of spin-diffusion length from the magnitude of spin-current absorption: Multiterminal ferromagnetic/nonferromagnetic hybrid structures. Phys. Rev. B 2005, 72, 014461. [Google Scholar] [CrossRef]
- Liu, M.; Zhang, J.; Chang, C.Z.; Zhang, Z.; Feng, X.; Li, K.; He, K.; Wang, L.L.; Chen, X.; Dai, X.; et al. Crossover between weak antilocalization and weak localization in a magnetically doped topological insulator. Phys. Rev. Lett. 2012, 108, 036805. [Google Scholar] [CrossRef] [PubMed]
- Niimi, Y.; Wei, D.; Idzuchi, H.; Wakamura, T.; Kato, T.; Otani, Y. Experimental verification of comparability between spin-orbit and spin-diffusion lengths. Phys. Rev. Lett. 2013, 110, 016805. [Google Scholar] [CrossRef]
- Ryu, J.; Kohda, M.; Nitta, J. Observation of the D’yakonov-Perel’ spin relaxation in single-crystalline Pt thin films. Phys. Rev. Lett. 2016, 116, 256802. [Google Scholar] [CrossRef]
- Zhao, W.; Chappert, C.; Javerliac, V.; Noziere, J.-P. High Speed, High Stability and Low Power Sensing Amplifier for MTJ/CMOS Hybrid Logic Circuits. IEEE Trans. Magn. 2009, 45, 3784–3787. [Google Scholar] [CrossRef]
- Vincent, A.F.; Larroque, J.; Locatelli, N.; Ben Romdhane, N.; Bichler, O.; Gamrat, C.; Zhao, W.S.; Klein, J.-O.; Galdin-Retailleau, S.; Querlioz, D. Spin-Transfer Torque Magnetic Memory as a Stochastic Memristive Synapse for Neuromorphic Systems. IEEE Trans. Biomed. Circuits Syst. 2015, 9, 166–174. [Google Scholar] [CrossRef]
- Guo, Z.; Yin, J.; Bai, Y.; Zhu, D.; Shi, K.; Wang, G.; Cao, K.; Zhao, W. Spintronics for Energy-Efficient Computing: An Overview and Outlook. Proc. IEEE 2021, 109, 1398–1417. [Google Scholar] [CrossRef]
- Lin, X.; Yang, W.; Wang, K.L.; Zhao, W. Two-dimensional spintronics for low-power electronics. Nat. Electron. 2019, 2, 274–283. [Google Scholar] [CrossRef]
- Che, P.; Zhang, Y.; Liu, C.; Tu, S.; Liao, Z.; Yu, D.; Vetro, F.A.; Ansermet, J.P.; Zhao, W.; Bi, L.; et al. Short-wavelength spin waves in yttrium iron garnet micro-channels on silicon. IEEE Magn. Lett. 2016, 7, 3508404. [Google Scholar] [CrossRef] [Green Version]
- Son, J.; Banerjee, K.; Brahlek, M.; Koirala, N.; Lee, S.K.; Ahn, J.H.; Oh, S.; Yang, H. Conductance modulation in topological insulator Bi2Se3 thin films with ionic liquid gating. Appl. Phys. Lett. 2013, 103, 213114. [Google Scholar] [CrossRef]
- Wang, L.; Lu, Z.; Xue, J.; Shi, P.; Tian, Y.; Chen, Y.; Yan, S.; Bai, L.; Harder, M. Electrical control of spin-mixing conductance in a Y3Fe5O12/platinum bilayer. Phys. Rev. Appl. 2019, 11, 044060. [Google Scholar] [CrossRef]
- Ziman, J.M. Electrons and Phonons: The Theory of Transport Phenomena in Solids; Oxford University Press: Oxford, UK, 2001. [Google Scholar]
- McCann, E.; Kechedzhi, K.; Fal’ko, V.I.; Suzuura, H.; Ando, T.; Altshuler, B.L. Weak-localization magnetoresistance and valley symmetry in graphene. Phys. Rev. Lett. 2006, 97, 146805. [Google Scholar] [CrossRef]
- Tkachov, G.; Hankiewicz, E.M. Weak antilocalization in HgTe quantum wells and topological surface states: Massive versus massless Dirac fermions. Phys. Rev. B 2011, 84, 035444. [Google Scholar] [CrossRef]
- Bergmann, G. Weak localization in thin films: A time-of-flight experiment with conduction electrons. Phys. Rep. 1984, 107, 1–58. [Google Scholar] [CrossRef]
- Van’t Erve, O.M.J.; Friedman, A.L.; Li, C.H.; Robinson, J.T.; Connell, J.; Lauhon, L.J.; Jonker, B.T. Spin transport and Hanle effect in silicon nanowires using graphene tunnel barriers. Nat. Commun. 2015, 6, 7541. [Google Scholar] [CrossRef] [PubMed]
- Miller, J.B.; Zumbühl, D.M.; Marcus, C.M.; Lyanda-Geller, Y.B.; Goldhaber-Gordon, D.; Campman, K.; Gossard, A.C. Gate-controlled spin-orbit quantum interference effects in lateral transport. Phys. Rev. Lett. 2003, 90, 076807. [Google Scholar] [CrossRef]
- Isasa, M.; Villamor, E.; Hueso, L.E.; Gradhand, M.; Casanova, F. Temperature dependence of spin diffusion length and spin Hall angle in Au and Pt. Phys. Rev. B 2015, 91, 024402. [Google Scholar] [CrossRef]
- Zhang, W.; Vlaminck, V.; Pearson, J.; Divan, R.; Bader, S.D.; Hoffmann, A. Determination of the Pt spin diffusion length by spin-pumping and spin Hall effect. Appl. Phys. Lett. 2013, 103, 242414. [Google Scholar] [CrossRef]




| Materials | T (K) | λ (nm) | Method | Ref |
|---|---|---|---|---|
| YIG/Pt (0 V) | 5 K | 4.05 | WAL | This work |
| YIG/Pt (6 V) | 5 K | 4.31 | WAL | This work |
| FeNi/Cu/Pt | 300 K | 2 | Spin absorption | [39] |
| FeNi/Cu/Pt | 10 K | 3.4 | Spin absorption | [39] |
| FeNi/Pt | 300 K | 1.2 | Spin pumping | [40] |
| FeNi/Pt | 8 K | 1.6 | Spin pumping | [40] |
| FeNi/Cu/Au | 300 K | 32 | Spin absorption | [39] |
| FeNi/Cu/Au | 10 K | 53 | Spin absorption | [39] |
| FeNi/Au | 5 K | 35 | Spin pumping | [40] |
Publisher’s Note: MDPI stays neutral with regard to jurisdictional claims in published maps and institutional affiliations. |
© 2022 by the authors. Licensee MDPI, Basel, Switzerland. This article is an open access article distributed under the terms and conditions of the Creative Commons Attribution (CC BY) license (https://creativecommons.org/licenses/by/4.0/).
Share and Cite
Xu, S.; Dai, B.; Cheng, H.; Tai, L.; Lang, L.; Sun, Y.; Shi, Z.; Wang, K.L.; Zhao, W. Electric-Field Control of Spin Diffusion Length and Electric-Assisted D’yakonov–Perel’ Mechanism in Ultrathin Heavy Metal and Ferromagnetic Insulator Heterostructure. Materials 2022, 15, 6368. https://doi.org/10.3390/ma15186368
Xu S, Dai B, Cheng H, Tai L, Lang L, Sun Y, Shi Z, Wang KL, Zhao W. Electric-Field Control of Spin Diffusion Length and Electric-Assisted D’yakonov–Perel’ Mechanism in Ultrathin Heavy Metal and Ferromagnetic Insulator Heterostructure. Materials. 2022; 15(18):6368. https://doi.org/10.3390/ma15186368
Chicago/Turabian StyleXu, Shijie, Bingqian Dai, Houyi Cheng, Lixuan Tai, Lili Lang, Yadong Sun, Zhong Shi, Kang L. Wang, and Weisheng Zhao. 2022. "Electric-Field Control of Spin Diffusion Length and Electric-Assisted D’yakonov–Perel’ Mechanism in Ultrathin Heavy Metal and Ferromagnetic Insulator Heterostructure" Materials 15, no. 18: 6368. https://doi.org/10.3390/ma15186368
APA StyleXu, S., Dai, B., Cheng, H., Tai, L., Lang, L., Sun, Y., Shi, Z., Wang, K. L., & Zhao, W. (2022). Electric-Field Control of Spin Diffusion Length and Electric-Assisted D’yakonov–Perel’ Mechanism in Ultrathin Heavy Metal and Ferromagnetic Insulator Heterostructure. Materials, 15(18), 6368. https://doi.org/10.3390/ma15186368

