Effects of Mono-Vacancies and Co-Vacancies of Nitrogen and Boron on the Energetics and Electronic Properties of Heterobilayer h-BN/graphene
Abstract
1. Introduction
2. Computational Method
3. Results and Discussions
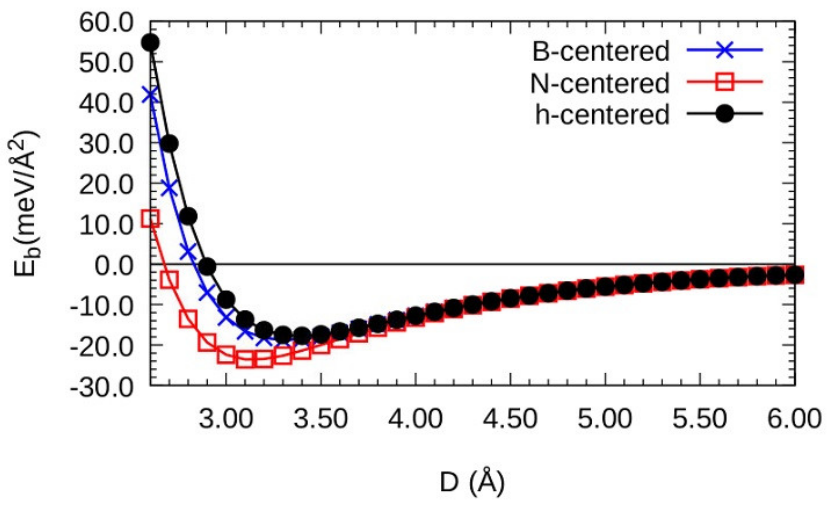
3.1. Strucural Parameters
3.2. Electronic Properties
4. Conclusions
Author Contributions
Funding
Institutional Review Board Statement
Informed Consent Statement
Data Availability Statement
Acknowledgments
Conflicts of Interest
References
- Novoselov, K.S.; Geim, A.K.; Morozov, S.V.; Jiang, D.; Zhang, Y.; Dubonos, S.V.; Grigorieva, I.V.; Firsov, A.A. Electric Field Effect in Atomically Thin Carbon Films. Science 2004, 306, 666–669. [Google Scholar] [CrossRef] [PubMed]
- Jiao, L.; Zhang, L.; Wang, X.; Diankov, G.; Dai, H. Narrow graphene nanoribbons from carbon nanotubes. Nature 2009, 458, 877–880. [Google Scholar] [CrossRef] [PubMed]
- Han, M.Y.; Özyilmaz, B.; Zhang, Y.; Kim, P. Energy band-gap engineering of graphene nanoribbons. Phys. Rev. Lett. 2007, 98, 206805. [Google Scholar] [CrossRef] [PubMed]
- Son, Y.W.; Cohen, M.L.; Louie, S.G. Energy Gaps in Graphene Nanoribbons. Phys. Rev. Lett. 2006, 97, 216803. [Google Scholar] [CrossRef] [PubMed]
- Park, C.-H.; Louie, S.G. Tunable Excitons in Biased Bilayer Graphen. Nano Lett. 2010, 10, 426–431. [Google Scholar] [CrossRef]
- Guo, H.; Zhang, R.; Li, H.; Wang, X.; Lu, H.; Qian, K.; Li, G.; Huang, L.; Lin, X.; Zhang, Y.-Y.; et al. Sizable Band Gap in Epitaxial Bilayer Graphene Induced by Silicene Intercalation. Nano Lett. 2020, 20, 2674–2680. [Google Scholar] [CrossRef]
- Li, G.; Luican, A.; Lopes dos Santos, J.M.B.; Castro Neto, A.H.; Reina, A.; Kong, J.; Andrei, E.Y. Observation of Van Hove singularities in twisted graphene layers. Nat. Phys. 2010, 6, 109–113. [Google Scholar] [CrossRef]
- Lu, Y.; Chen, W.; Feng, Y.; He, P. Tuning the electronic structure of graphene by an organic molecule. J. Phys. Chem. B 2009, 113, 2–5. [Google Scholar] [CrossRef]
- Sun, M.; Tang, W.; Ren, Q.; Zhao, Y.; Wang, S.; Yu, J.; Du, Y.; Hao, Y. Electronic and magnetic behaviors of graphene with 5d series transition metal atom substitutions: A first-principles study. Physica E 2016, 80, 142–148. [Google Scholar] [CrossRef]
- Sun, M.; Ren, Q.; Zhao, Y.; Chou, J.P.; Yu, J.; Tang, W. Electronic and magnetic properties of 4d series transition metal substituted graphene: A first-principles study. Carbon 2017, 120, 265–273. [Google Scholar] [CrossRef]
- McChesney, J.L.; Bostwick, A.; Ohta, T.; Seyller, T.; Horn, K.; González, J.; Rotenberg, E. Extended van hove singularity and superconducting instability in doped graphene. Phys. Rev. Lett. 2010, 104, 136803. [Google Scholar] [CrossRef] [PubMed]
- Gui, G.; Li, J.; Zhong, J. Band structure engineering of graphene by strain: First principles calculations. Phys. Rev. B 2008, 78, 075435. [Google Scholar] [CrossRef]
- Balog, R.; Jørgensen, B.; Nilsson, L.; Andersen, M.; Rienks, E.; Bianchi, M.; Fanetti, M.; Lægsgaard, E.; Baraldi, A.; Lizzit, S.; et al. Bandgap opening in graphene induced by patterned hydrogen adsorption. Nat. Mater. 2010, 9, 315–319. [Google Scholar] [CrossRef]
- Shemella, P.; Nayak, S.K. Electronic structure and band-gap modulation of graphene via substrate surface chemistry. Appl. Phys. Lett. 2009, 94, 032101. [Google Scholar] [CrossRef]
- Zhou, S.Y.; Gweon, G.-H.; Fedorov, A.V.; First, P.N.; de Heer, W.A.; Lee, D.-H.; Guinea, F.; Castro Neto, A.H.; Lanzara, A. Substrate-induced bandgap opening in epitaxial graphene. Nat. Mater. 2007, 6, 770–775. [Google Scholar] [CrossRef]
- Espitia-Rico, M.; Rodríguez-Martínez, J.A.; Moreno-Armenta, M.G.; Takeichi, N. Graphene monolayers on GaN(0001). Appl. Surf. Sci. 2015, 326, 7–11. [Google Scholar] [CrossRef]
- Britnell, L.; Ribeiro, R.; Eckmann, A.; Jalil, R.; Belle, B.; Mishchenko, A.; Kim, Y.; Gorbachev, R.; Georgiou, T.; Morozov, S.; et al. Strong Light-Matter Interactions in Heterostructures of Atomically Thin Films. Science 2013, 340, 1311–1314. [Google Scholar] [CrossRef]
- Geim, A.K.; Grigorieva, I.V. Van der Waals Heterostructures. Nature 2013, 499, 419–425. [Google Scholar] [CrossRef]
- Gong, Y.; Lin, J.; Wang, X.; Shi, G.; Lei, S.; Lin, Z.; Zou, X.; Ye, G.; Vajtai, R.; Yakobson, B.I.; et al. Vertical and In-Plane Heterostructures from WS2/MoS2 Monolayers. Nat. Mater. 2014, 13, 1135–1142. [Google Scholar] [CrossRef]
- Bonaccorso, F.; Colombo, L.; Yu, G.; Stoller, M.; Tozzini, V.; Ferrari, A.C.; Ruoff, R.S.; Pellegrini, V. Graphene, Related Two-Dimensional Crystals, and Hybrid Systems for Energy Conversion and Storage. Science 2015, 347, 1246501. [Google Scholar] [CrossRef]
- Wang, X.; Xia, F. Stacked 2D Materials Shed Light. Nat. Mater. 2015, 14, 264–265. [Google Scholar] [CrossRef]
- He, J.; Kumar, N.; Bellus, M.; Chiu, H.; He, D.; Wang, Y.; Zhao, H. Electron Transfer and Coupling in Graphene-Tungsten Disulfide van der Waals Heterostructures. Nat. Commun. 2014, 5, 5622. [Google Scholar] [CrossRef]
- Tang, Q.; Zhou, Z.; Chen, Z. Graphene-Related Nanomaterials: Tuning Properties by Functionalization. Nanoscale 2013, 5, 4541–4583. [Google Scholar] [CrossRef] [PubMed]
- Xu, P.; Tang, Q.; Zhou, Z. Structural and Electronic Properties of Graphene−ZnO Interfaces: Dispersion-Corrected Density Functional Theory Investigations. Nanotechnology 2013, 24, 305401. [Google Scholar] [CrossRef] [PubMed]
- Padilha, J.; Fazzio, A.; da Silva, A. van der Waals Heterostructure of Phosphorene and Graphene: Tuning the Schottky Barrier and Doping by Electrostatic Gating. Phys. Rev. Lett. 2015, 114, 066803. [Google Scholar] [CrossRef] [PubMed]
- Huang, X.; Tan, C.; Yin, Z.; Zhang, H. 25th Anniversary Article: Hybrid Nanostructures Based on Two Dimensional Nanomaterials. Adv. Mater. 2014, 26, 2185–2204. [Google Scholar] [CrossRef]
- Zhang, H.; Du, X.; Ding, S.; Wang, Q.; Chang, L.; Ma, X.; Xiaogang, M.; Pen, C. DFT calculations of the synergistic effect of λ-MnO2/graphene composites for electrochemical adsorption of lithium ions. Phys. Chem. Chem. Phys. 2019, 21, 8133–8140. [Google Scholar] [CrossRef]
- Wu, S.; Fan, K.; Wu, M.; Yin, G. Two-dimensional MnO2/graphene hybrid nanostructures as anode for lithium ion batteries. Int. J. Mod. Phys. B 2016, 30, 1650208. [Google Scholar] [CrossRef]
- Casiano-Jiménez, G.; Ortega-López, C.; Rodríguez-Martínez, J.A.; Moreno-Armenta, M.G.; Espitia-Rico, M.J. Electronic Structure of Graphene on the Hexagonal Boron Nitride Surface: A Density Functional Theory Study. Coatings 2022, 12, 237. [Google Scholar] [CrossRef]
- Morinson-Negrete, J.D.; Ortega-López, C.; Espitia-Rico, M.J. Effects of Mono-Vacancies of Oxygen and Manganese on the Properties of the MnO2/Graphene Heterostructure. Materials 2022, 15, 2731. [Google Scholar] [CrossRef]
- Withers, F.; Del Pozo-Zamudio, O.; Mishchenko, A.; Rooney, A.; Gholinia, A.; Watanabe, K.; Taniguchi, T.; Haigh, S.J.; Geim, A.K.; Tartakovskii, A.I.; et al. Light-Emitting Diodes by Band-Structure Engineering in van der Waals Heterostructures. Nat. Mater. 2015, 14, 301–306. [Google Scholar] [CrossRef] [PubMed]
- Deng, J.; Wang, X.; Duan, X.; Liu, P. Facile Preparation of MnO2/Graphene Nanocomposites with Spent Battery Powder for Electrochemical Energy Storage. ACS Sustain. Chem. Eng. 2015, 3, 1330–1338. [Google Scholar] [CrossRef]
- Peng, L.; Peng, X.; Liu, B.; Wu, C.; Xie, Y.; Yu, G. For high-performance, flexible planar supercapacitors. Nano Lett. 2013, 13, 2151–2157. [Google Scholar] [CrossRef] [PubMed]
- Nair, R.R.; Tsai, I.-L.; Sepioni, M.; Lehtinen, O.; Keinonen, J.; Krasheninnikov, A.V.; Castro Neto, A.H.; Katsnelson, M.I.; Geim, A.K.; Grigoriev, I.V. Dual origin of defect magnetism in graphene and its reversible switching by molecular doping. Nat. Commun. 2013, 4, 1–6. [Google Scholar] [CrossRef] [PubMed]
- Taychatanapat, T.; Wang, H.; Hsu, A.; Watanabe, K.; Taniguchi, T.; Jarillo-Herrero, P.; Palacio, T. BN/Graphene/BN Transistors for RF Applications. IEEE Electron Device Lett. 2011, 32, 1209–1211. [Google Scholar] [CrossRef]
- Sata, Y.; Moriya, R.; Morikawa, S.; Yabuki, N.; Masubuchi, S.; Machida, T. Electric field modulation of Schottky barrier height in graphene/MoSe2 van der Waals heterointerface. Appl. Phys. Lett. 2015, 107, 023109. [Google Scholar] [CrossRef]
- Xu, H.; Wu, J.; Feng, Q.; Mao, N.; Wang, C.; Zhang, J. High responsivity and gate tunable graphene-MoS2 hybrid phototransistor. Small 2014, 10, 2300–2306. [Google Scholar] [CrossRef]
- Liu, Y.; Zhang, X.; He, D.; Ma, F.; Fu, Q.; Hu, Y. An amperometric glucose biosensor based on a MnO2/graphene composite modified electrode. RSC Adv. 2016, 6, 18654. [Google Scholar] [CrossRef]
- Lu, R.; Liu, J.; Luo, H.; Chikan, V.; Wu, J.Z. Graphene/gase-nanosheet hybrid: Towards high gain and fast photoresponse. Sci. Rep. 2016, 6, 19161. [Google Scholar] [CrossRef]
- Nguyen, C.V.; Hieu, N.N.; Poklonski, N.A.; Ilyasov, V.V.; Dinh, L.; Phong, T.C.; Tung, L.V.; Phuc, H.V. Magneto-optical transport properties of monolayer MoS2 on polar substrates. Phys. Rev. B 2017, 96, 125411. [Google Scholar] [CrossRef]
- Kim, W.; Li, C.; Chaves, F.A.; Jiménez, D.; Rodriguez, R.D.; Susoma, J.; Fenner, M.A.; Lipsanen, H.; Riikonen, J. Tunable graphene-gase dual heterojunction device. Adv. Mater. 2016, 28, 1845–1852. [Google Scholar] [CrossRef] [PubMed]
- Xue, J.; Sanchez-Yamagishi, J.; Bulmash, D.; Jacquod, P.; Deshpande, A.; Watanabe, K.; Taniguchi, T.; Jarillo-Herrero, P.; LeRoy, B.J. Scanning tunnelling microscopy and spectroscopy of ultra-flat graphene on hexagonal boron nitride. Nat Mater. 2011, 10, 282–285. [Google Scholar] [CrossRef] [PubMed]
- Sun, M.; Chou, J.-P.; Ren, Q.; Zhao, Y.; Yu, J.; Tang, W. Tunable Schottky barrier in van der Waals heterostructures of graphene and g-GaN. Appl. Phys. Lett. 2017, 110, 173105. [Google Scholar] [CrossRef]
- Fan, Y.; Zhao, M.; Wang, Z.; Zhang, X.; Zhang, H. Tunable electronic structures of graphene/boron nitride heterobilayers. Appl. Phys. Lett. 2011, 98, 083103. [Google Scholar] [CrossRef]
- Kaloni, T.P.; Cheng, Y.C.; Schwingenschlögl, U. Electronic structure of superlattices of graphene and hexagonal boron nitride. J. Mater. Chem. 2012, 22, 919–922. [Google Scholar] [CrossRef]
- Şahin, H.; Cahangirov, s.; Topsakal, M.; Bekaroglu, E.; Akturk, E.; Senger, R.T.; Ciraci, S. Monolayer honeycomb structures of group-IV elements and III-V binary compounds: First-principles calculations. Phys. Rev. B 2009, 80. [Google Scholar] [CrossRef]
- Wei, Z.-X.; Liu, G.-B. First-principles studies of graphene antidot lattices on monolayer h-BN substrate. Phys. Lett. A 2019, 383, 125944. [Google Scholar] [CrossRef]
- Peng, Q.; Zamiri, A.R.; Ji, W.; De, S. Elastic Properties of Hybrid Graphene/Boron Nitride Monolayer. Acta Mech. 2012, 223, 2591–2596. [Google Scholar] [CrossRef]
- Abergel, D.S.L.; Wallbank, J.R.; Chen, X.; Mucha-Kruczynski, M.; Fal’ko, V.I. Infrared absorption by graphene–hBN heterostructures. New J. Phys. 2013, 15, 123009. [Google Scholar] [CrossRef][Green Version]
- Ding, N.; Lei, Y.; Chen, X.; Deng, Z.; Ng, S.-P.; Wu, C.-M.L. Structures and electronic properties of vacancies at the interface of hybrid graphene/hexagonal boron nitride sheet. Comput. Mater. Sci. 2016, 117, 172–179. [Google Scholar] [CrossRef]
- Behera, H.; Mukhopadhyay, G. Strain-tunable band gap in graphene/h-BN hetero-bilayer. J. Phys. Chem. Solids. 2012, 73, 818–821. [Google Scholar] [CrossRef]
- Jung, J.; DaSilva, A.; MacDonald, A.S. Origin of band gaps in graphene on hexagonal boron nitride. Nat. Commun. 2015, 6, 6308. [Google Scholar] [CrossRef] [PubMed]
- Kharche, N.; Nayak, S.K. Quasiparticle Band Gap Engineering of Graphene and Graphone on Hexagonal Boron Nitride Substrate. Nano Lett. 2011, 11, 5274–5278. [Google Scholar] [CrossRef] [PubMed]
- Jung, S.; Park, M.; Park, J.; Jeong, T.-Y.; Kim, H.-J.; Watanabe, K.; Taniguchi, T.; Ha, D.H.; Hwang, C.; Kim, Y.-S. Vibrational Properties of h-BN and h-BN-Graphene Heterostructures Probed by Inelastic Electron Tunneling Spectroscopy. Sci. Rep. 2015, 5, 16642. [Google Scholar] [CrossRef]
- Wu, Q.; Wongwiriyapan, W.; Park, J.-H.; Park, S.; Jung, S.J.; Jeong, T.; Lee, S.; Lee, Y.H.; Song, Y.J. In situ chemical vapor deposition of graphene and hexagonal boron nitride heterostructures. Curr. Appl. Phys. 2016, 16, 1117–1191. [Google Scholar] [CrossRef]
- Lee, G.-H.; Yu, Y.-J.; Cui, X.; Petrone, N.; Lee, C.-H.; Choi, M.S.; Lee, D.-Y.; Lee, C.; Yoo, W.Y.; Watanabe, K.; et al. Flexible and Transparent MoS2 Field-Effect Transistors on Hexagonal Boron Nitride-Graphene Heterostructures. ACS Nano. 2013, 7, 7931–7936. [Google Scholar] [CrossRef]
- Kareekunnan, A.; Muruganathan, M.; Mizuta, H. Manipulating Berry curvature in hBN/bilayer graphene commensurate heterostructures. Phys. Rev. B 2020, 101, 195406. [Google Scholar] [CrossRef]
- Kuiri, M.; Srivastav, S.K.; Ray, S.; Watanabe, K.; Taniguchi, T.; Das, T.; Das, A. Enhanced electron-phonon coupling in doubly aligned hexagonal boron nitride bilayer graphene heterostructure. Phys. Rev. B 2021, 103, 115419. [Google Scholar] [CrossRef]
- Zhao, Y.; Wan, Z.; Xu, X.; Patil, S.R.; Hetmaniuk, U.; Anantram, M.P. Negative Differential Resistance in Boron Nitride Graphene Heterostructures: Physical Mechanisms and Size Scaling Analysis. Sci. Rep. 2015, 5, 10712. [Google Scholar] [CrossRef]
- Siegel, G.; Grzybowski, G.; Prusnick, T.; Snure, M. Single process CVD growth of hBN/Graphene heterostructures on copper thin films. J. Mater. Res. 2018, 33, 4233–4240. [Google Scholar] [CrossRef]
- Pennachio, D.; Ornelas-Skarin, C.C.; Wilson, N.S.; Rosenberg, S.G.; Daniels, K.M.; Myers-Ward, R.L.; Gaskill, K.; Eddy Jr, C.R.; Palmstrøm, C.J. Tailoring commensurability of hBN/graphene heterostructures using substrate morphology and epitaxial growth conditions. J. Vac. Sci. Technol. A 2019, 37, 051503. [Google Scholar] [CrossRef]
- Phama, K.D.; Nguyen, C.V. First principles calculations of the geometric structures and electronic properties of van der Waals heterostructure based on graphene, hexagonal boron nitride and molybdenum diselenide. Diamond Relat. Mater. 2018, 88, 151–157. [Google Scholar] [CrossRef]
- Yankowitz, M.; Ma, Q.; Jarillo-Herrero, P.; LeRoy, B.J. van der Waals heterostructures combining graphene and hexagonal boron nitride. Nat. Rev. Phys. 2019, 1, 112–125. [Google Scholar] [CrossRef]
- Dean, C.R.; Young, A.F.; Meric, I.; Lee, C.; Wang, L.; Sorgenfrei, S.; Watanabe, K.; Taniguchi, T.; Kim, P.; Shepard, K.L.; et al. Boron nitride substrates for high-quality graphene electronics. Nature Nanotech. 2010, 5, 722–726. [Google Scholar] [CrossRef]
- Zomer, P.J.; Dash, S.P.; Tombros, N.; van Wees, B.J. A transfer technique for high mobility graphene devices on commercially available hexagonal boron nitride. Appl. Phys. Lett. 2011, 99, 232104. [Google Scholar] [CrossRef]
- Lee, K.H.; Shin, H.-J.; Lee, J.; Lee, I.-y.; Kim, G.-H.; Choi, J.-Y.; Kim, S.W. Large-Scale Synthesis of High Quality Hexagonal Boron Nitride Nanosheets for Large-Area Graphene Electronics. Nano Lett. 2012, 12, 714–718. [Google Scholar] [CrossRef] [PubMed]
- Lu, J.; Gomes, L.C.; Nunes, R.W.; Castro Neto, A.H.; Loh, K.P. Lattice Relaxation at the Interface of Two-Dimensional Crystals: Graphene and Hexagonal Boron-Nitride. Nano Lett. 2014, 14, 5133–5139. [Google Scholar] [CrossRef] [PubMed]
- Ferdous, N.; Islam, M.S.; Park, J.; Hashimoto, A. Tunable electronic properties in stanene and two dimensional siliconcarbide heterobilayer: A first principles investigation. AIP Adv. 2019, 9, 025120. [Google Scholar] [CrossRef]
- Hohenberg, P.; Kohn, W. Inhomogeneous Electron Gas. Phys. Rev. B 1964, 36, 864. [Google Scholar] [CrossRef]
- Kohn, W.; Sham, L. Self-Consistent Equations Including Exchange and Correlation Effects. Phys. Rev. A 1965, 140, 1133. [Google Scholar] [CrossRef]
- Giannozzi, P.; Baroni, S.; Bonini, N.; Calandra, M.; Car, R.; Cavazzoni, C.; Ceresoli, D.; Chiarotti, G.L.; Cococcioni, M.; Dabo, I.; et al. QUANTUM Espresso: A modular and open-source software project for quantum simulations of materials. J. Phys. Condens. Matter. 2009, 21, 395502. [Google Scholar] [CrossRef]
- Giannozzi, P.; Andreussi, O.; Brumme, T.; Bunau, O.; Nardelli, M.; Calandra, M.; Baroni, S. Advanced capabilities for materials modelling with Quantum ESPRESSO. J. Phys. Condens. Matter. 2017, 29, 465901. [Google Scholar] [CrossRef] [PubMed]
- Perdew, J.P.; Burke, K.; Ernzerhof, M. Generalized Gradient Approximation Made Simple. Phys. Rev. Lett. 1996, 77, 3865. [Google Scholar] [CrossRef] [PubMed]
- Grimme, S.; Antony, J.; Ehrlich, S.; Krieg, S. A consistent and accurate ab initio parametrization of density functional dispersion correction (DFT-D) for the 94 elements H-Pu. J. Chem. Phys. 2010, 132, 154104–154119. [Google Scholar] [CrossRef] [PubMed]
- Monkhorst, H.; Pack, J. Special points for Brillouin-zone integrations. Phys. Rev. B 1976, 13, 5188. [Google Scholar] [CrossRef]
- Methfessel, M.; Paxton, A.T. High-precision sampling for Brillouin-zone integration in metals. Phys. Rev. B 1989, 40, 3616. [Google Scholar] [CrossRef]
- Peng, Q.; Wang, Z.; Sa, B.; Wu, B.; Sun, Z. Electronic structures and enhanced optical properties of blue phosphorene/transition metal dichalcogenides van der Waals heterostructures. Sci. Rep. 2016, 6, 31994. [Google Scholar] [CrossRef]
- Neupane, H.K.; Adhikari, N.P. Effect of vacancy defects in 2D vdW graphene/h-BN heterostructure: First-principles study. Advances 2021, 11, 085218. [Google Scholar] [CrossRef]
- Björkman, T.; Gulans, A.; Krasheninnikov, A.V.; Rieminen, R.M. van derWaals Bonding in Layered Compounds from Advanced Density-Functional. Phys. Rev. Lett. 2012, 108, 235502. [Google Scholar] [CrossRef]
- Humanez-Tobar, Á; Murillo, J.F.; Ortega-López, C.; Rodríguez-Mateínez, J.A.; Espitia-Rico, M.J. Study of the structural and electronic properties of three- and two-dimensional transition-metal dioxides using first-principles calculations. Comput. Condens. Matter. 2020, 25, e00498. [Google Scholar] [CrossRef]
- Fujimoto, Y.; Koretsune, T.; Saito, S. Electronic structures of hexagonal boron-nitride monolayer: Strain-induced effects. J. Ceram. Soc. Jpn. 2014, 122, 346–348. [Google Scholar] [CrossRef][Green Version]
- Chigo-Anota, E.; Escobedo-Morales, A.; Salazar-Villanueva, M.; Vázquez-Cuchillo, o.; Rubio-Rosas, E. On the influence of point defects on the structural and electronic properties of graphene-like sheets: A molecular simulation study. J. Mol. Model. 2013, 19, 839–846. [Google Scholar] [CrossRef] [PubMed]
- Jin, C.; Lin, F.; Suenaga, K.; Iijima, S. Fabrication of a Freestanding Boron Nitride Single Layer and Its Defect Assignments. Phys. Rev. Lett. 2009, 102, 195505. [Google Scholar] [CrossRef] [PubMed]
- Caldwell, J.D.; Aharonovich, I.; Cassabois, G.; Basov, D.N. Photonics with hexagonal boron nitride. Nat. Rev. Mater. 2019, 4, 552–567. [Google Scholar] [CrossRef]
- Slotman, G.J.; de-Wijs, G.A.; Fasolino, A.; Katsnelson, M.I. Phonons and electron-phonon coupling in graphene-h-BN heterostructures. Ann. Phys. 2014, 526, 381–386. [Google Scholar] [CrossRef]
- Giovannetti, G.; Khomyakov, P.A.; Brocks, G.; Kelly, P.J.; van-den Brink, J. Substrate-induced band gap in graphene on hexagonal boron nitride: Ab initio density functional calculations. Phys. Rev. B 2007, 76, 073103. [Google Scholar] [CrossRef]
- Sachs, B.; Wehling, T.O.; Katsnelson, M.I.; Lichtenstein, A.I. Adhesion and electronic structure of graphene on hexagonal boron nitride substrates. Phys. Rev. B 2011, 84, 195414. [Google Scholar] [CrossRef]
- Huang, B.; Lee, H. Defect and impurity properties of hexagonal boron nitride: A first-principles calculation. Phys. Rev. B 2012, 86, 245406. [Google Scholar] [CrossRef]
- Berrio, G.; Murillo, J.F.; Ortega, C.; Rodriguez, J.A.; Espitia, M.J. Adsorption effect of a chromium atom on the structure and electronic, properties of a single ZnO monolayer. Physica B Condens. Matter. 2019, 565, 44–47. [Google Scholar] [CrossRef]
- Fan, Y.; Ma, X.; Liu, X.; Wang, J.; Ai, H.; Zhao, M. Theoretical Design of an InSe/GaTe vdW Heterobilayer: A Potential Visible-Light Photocatalyst for Water Splitting. J. Phys. Chem. C 2018, 122, 27803–27810. [Google Scholar] [CrossRef]
- Shi, Z.; Shao, W.; Hu, T.; Zhao, C.; Xing, X.; Zhou, Y.; Yang, Q. Adhesive sliding and interfacial property of YAlO3/TiC interface: A first principles investigation. J. Alloys Compd. 2019, 805, 1052–1059. [Google Scholar] [CrossRef]
- Wang, C.; Wang, C.-Y. Ni/Ni3Al interface: A density functional theory study. Appl. Surf. Sci. 2009, 255, 3669–3675. [Google Scholar] [CrossRef]
- Mao, Y.; Xie, Z.; Yuan, J.; Li, S.; Wei, Z.; Zhong, J. Structure and electronic properties of Au intercalated hexagonal, boron-nitride/graphene bilayer. Phys. E Low-Dimens. Syst. Nanostruct. 2013, 49, 111–116. [Google Scholar] [CrossRef]
- Zhong, X.; Yap, Y.K.; Pandey, R.; Karna, S.P. First-principles study of strain-induced modulation of energy gaps of graphene/BN and BN bilayers. Phys. Rev. B 2011, 83, 193403. [Google Scholar] [CrossRef]
- Park, S.; Park, C.; Kim, G. Interlayer coupling enhancement in graphene/hexagonal boron nitride heterostructures by intercalated defects or vacancies. J. Chem. Phys. 2014, 140, 134706. [Google Scholar] [CrossRef]





| a (Å) | lB-N (Å) | lC-C (Å) | |
|---|---|---|---|
| h-BN in heterobilayer | 2.4871 | 1.4357 | - |
| Graphene in heterobilayer | 2.4870 | - | 1.4359 |
| Isolated h-BN | 2.5150 | 1.4521 | - |
| Isolated graphene | 2.4630 | - | 1.4200 |
| Heterostructure VB | (Å) | (Å) | (Å) | (Å) | (Å) | D (Å) | |
| Heterostructure VN | (Å) | (Å) | (Å) | (Å) | (Å) | (Å) | D (Å) |
| Heterostructure VBN | (Å) | (Å) | (Å) | (Å) | (Å) | D (Å) | |
| Neighbors a VB | |||||||
| (Å) | (Å) | (Å) | (Å) | (Å) | (Å) | D (Å) | |
| Neighbors a VN |
| Energetics | Ef | Wsep | |
|---|---|---|---|
| Heterobilayer FD | |||
| Heterobilayer VB | |||
| Heterobilayer VN | |||
| Heterobilayer VBN |
| Atoms | Without Vacancy | 1 VB | 1 VN | VNB | ||||||||
|---|---|---|---|---|---|---|---|---|---|---|---|---|
| Qt | Qs | Qp | Qt | Qs | Qp | Qt | Qs | Qp | Qt | Qs | ΔQp | |
| B1 | 2.524 | 0.611 | 1.913 | 2.536 | 0.613 | 1.923 | 2.516 | 0.602 | 1.914 | 2.541 | 0.612 | 1.929 |
| B2 | 2.524 | 0.611 | 1.913 | 2.553 | 0.609 | 1.944 | 2.650 | 0.694 | 1.956 | 2.518 | 0.614 | 1.904 |
| B3 | 2.524 | 0.611 | 1.913 | 2.553 | 0.609 | 1.944 | 2.516 | 0.603 | 1.913 | 2.542 | 0.607 | 1.935 |
| B4 | 2.524 | 0.611 | 1.913 | 2.536 | 0.613 | 1.923 | 2.516 | 0.606 | 1.910 | ---- | ---- | ---- |
| B5 | 2.524 | 0.611 | 1.913 | 2.533 | 0.613 | 1.920 | 2.509 | 0.612 | 1.897 | 2.545 | 0.602 | 1.943 |
| B6 | 2.524 | 0.611 | 1.913 | 2.553 | 0.609 | 1.944 | 2.649 | 0.694 | 1.955 | 2.630 | 0.698 | 1.932 |
| B7 | 2.524 | 0.611 | 1.913 | ---- | ---- | ---- | 2.650 | 0.694 | 1.956 | 2.519 | 0.603 | 1.916 |
| B8 | 2.524 | 0.611 | 1.913 | 2.553 | 0.609 | 1.944 | 2.509 | 0.612 | 1.897 | 2.542 | 0.607 | 1.935 |
| B9 | 2.524 | 0.611 | 1.913 | 2.533 | 0.609 | 1.924 | 2.508 | 0.609 | 1.899 | 2.517 | 0.614 | 1.903 |
| B10 | 2.524 | 0.611 | 1.913 | 2.533 | 0.609 | 1.924 | 2.509 | 0.612 | 1.897 | 2.623 | 0.698 | 1.925 |
| B11 | 2.524 | 0.611 | 1.913 | 2.553 | 0.609 | 1.944 | 2.516 | 0.603 | 1.913 | 2.630 | 0.698 | 1.932 |
| B12 | 2.524 | 0.611 | 1.913 | 2.553 | 0.609 | 1.944 | 2.509 | 0.612 | 1.897 | 2.518 | 0.614 | 1.904 |
| B13 | 2.524 | 0.611 | 1.913 | 2.533 | 0.613 | 1.920 | 2.509 | 0.612 | 1.897 | 2.518 | 0.611 | 1.907 |
| B14 | 2.524 | 0.611 | 1.913 | 2.533 | 0.609 | 1.924 | 2.509 | 0.612 | 1.897 | 2.517 | 0.614 | 1.903 |
| B15 | 2.524 | 0.611 | 1.913 | 2.533 | 0.613 | 1.920 | 2.516 | 0.606 | 1.910 | 2.545 | 0.602 | 1.943 |
| B16 | 2.524 | 0.611 | 1.913 | 2.536 | 0.613 | 1.923 | 2.516 | 0.606 | 1.910 | 2.541 | 0.612 | 1.929 |
| N1 | 5.421 | 1.194 | 4.227 | 5.410 | 1.204 | 4.206 | 5.397 | 1.197 | 4.200 | 5.408 | 1.199 | 4.209 |
| N2 | 5.421 | 1.194 | 4.227 | 5.418 | 1.195 | 4.223 | 5.398 | 1.197 | 4.201 | 5.415 | 1.202 | 4.213 |
| N3 | 5.421 | 1.194 | 4.227 | 5.410 | 1.204 | 4.206 | 5.415 | 1.189 | 4.226 | 5.332 | 1.299 | 4.033 |
| N4 | 5.421 | 1.194 | 4.227 | 5.410 | 1.199 | 4.211 | 5.415 | 1.189 | 4.226 | 5.326 | 1.304 | 4.022 |
| N5 | 5.421 | 1.194 | 4.227 | 5.410 | 1.204 | 4.206 | 5.398 | 1.197 | 4.200 | 5.403 | 1.201 | 4.202 |
| N6 | 5.421 | 1.194 | 4.227 | 5.304 | 1.310 | 3.994 | ---- | ---- | ---- | 5.405 | 1.197 | 4.208 |
| N7 | 5.421 | 1.194 | 4.227 | 5.295 | 1.310 | 3.985 | 5.398 | 1.198 | 4.200 | 5.421 | 1.192 | 4.229 |
| N8 | 5.421 | 1.194 | 4.227 | 5.410 | 1.204 | 4.206 | 5.414 | 1.194 | 4.220 | 5.332 | 1.299 | 4.032 |
| N9 | 5.421 | 1.194 | 4.227 | 5.417 | 1.195 | 4.222 | 5.408 | 1.191 | 4.217 | 5.399 | 1.205 | 4.194 |
| N10 | 5.421 | 1.194 | 4.227 | 5.418 | 1.195 | 4.223 | 5.397 | 1.197 | 4.200 | ---- | ---- | ---- |
| N11 | 5.421 | 1.194 | 4.227 | 5.297 | 1.310 | 3.987 | 5.397 | 1.197 | 4.200 | 5.405 | 1.197 | 4.208 |
| N12 | 5.421 | 1.194 | 4.227 | 5.418 | 1.195 | 4.222 | 5.408 | 1.191 | 4.217 | 5.415 | 1.202 | 4.213 |
| N13 | 5.421 | 1.194 | 4.227 | 5.418 | 1.195 | 4.223 | 5.408 | 1.191 | 4.217 | 5.410 | 1.194 | 4.216 |
| N14 | 5.421 | 1.194 | 4.227 | 5.417 | 1.195 | 4.222 | 5.414 | 1.194 | 4.220 | 5.399 | 1.205 | 4.194 |
| N15 | 5.421 | 1.194 | 4.227 | 5.410 | 1.204 | 4.206 | 5.415 | 1.189 | 4.226 | 5.403 | 1.201 | 4.202 |
| N16 | 5.421 | 1.194 | 4.227 | 5.410 | 1.204 | 4.206 | 5.414 | 1.194 | 4.220 | 5.408 | 1.199 | 4.209 |
Publisher’s Note: MDPI stays neutral with regard to jurisdictional claims in published maps and institutional affiliations. |
© 2022 by the authors. Licensee MDPI, Basel, Switzerland. This article is an open access article distributed under the terms and conditions of the Creative Commons Attribution (CC BY) license (https://creativecommons.org/licenses/by/4.0/).
Share and Cite
Jiménez, G.C.; Morinson-Negrete, J.D.; Blanquicett, F.P.; Ortega-López, C.; Espitia-Rico, M.J. Effects of Mono-Vacancies and Co-Vacancies of Nitrogen and Boron on the Energetics and Electronic Properties of Heterobilayer h-BN/graphene. Materials 2022, 15, 6369. https://doi.org/10.3390/ma15186369
Jiménez GC, Morinson-Negrete JD, Blanquicett FP, Ortega-López C, Espitia-Rico MJ. Effects of Mono-Vacancies and Co-Vacancies of Nitrogen and Boron on the Energetics and Electronic Properties of Heterobilayer h-BN/graphene. Materials. 2022; 15(18):6369. https://doi.org/10.3390/ma15186369
Chicago/Turabian StyleJiménez, Gladys Casiano, Juan David Morinson-Negrete, Franklin Peniche Blanquicett, César Ortega-López, and Miguel J. Espitia-Rico. 2022. "Effects of Mono-Vacancies and Co-Vacancies of Nitrogen and Boron on the Energetics and Electronic Properties of Heterobilayer h-BN/graphene" Materials 15, no. 18: 6369. https://doi.org/10.3390/ma15186369
APA StyleJiménez, G. C., Morinson-Negrete, J. D., Blanquicett, F. P., Ortega-López, C., & Espitia-Rico, M. J. (2022). Effects of Mono-Vacancies and Co-Vacancies of Nitrogen and Boron on the Energetics and Electronic Properties of Heterobilayer h-BN/graphene. Materials, 15(18), 6369. https://doi.org/10.3390/ma15186369

