Designing for Shape Memory in Additive Manufacturing of Cu–Al–Ni Shape Memory Alloy Processed by Laser Powder Bed Fusion
Abstract
:1. Introduction
2. Materials and Methods
2.1. Selected Alloy and Powder Preparation
2.2. LPBF Parameters and Scanning Strategy
2.3. Post–Processing Treatments
3. Results
3.1. As–LPBF Processed Samples
3.2. Post–Processing: Thermal Treatments
3.3. Post–Processing: HIP
4. Discussion
5. Conclusions
- Clean gas atomization is a primary key factor to obtain reliable powders with a minor deviation from the target chemical composition, particularly on the Al due to its extremely high influence on the martensitic transformation in these SMAs.
- The hot isostatic pressing (HIP) constitutes an excellent post–processing step to obtain the full compaction required for functional materials like the SMAs.
- After the LPBF processing, or after LPBF + HIP, some thermal treatments are required to functionalize the Cu–Al–Ni SMAs in order to restore the microstructure, avoiding the precipitation of the stable phases produced during the AM processing.
- The Cu–Al–Ni SMAs processed by LPBF and LPBF + HIP, thermally treated for functionalization, offer an excellent behavior regarding the thermoelastic martensitic transformation, exhibiting a low thermal hysteresis of about 16 °C.
- Reproducible and fully closed superelastic compression cycles up to 1.5% were obtained in the Cu–Al–Ni SMAs sample thermally treated after LPBF + HIP processing.
- A good shape memory effect by heating was obtained in Cu–Al–Ni SMAs processed by LPBF + HIP and thermally treated, paving the road for further studies.
Supplementary Materials
Author Contributions
Funding
Institutional Review Board Statement
Informed Consent Statement
Data Availability Statement
Conflicts of Interest
References
- Mitchell, A.; Lafont, U.; Lolynska, M.; Semprimosching, C. Additive manufacturing: A review of 4D printing and future applications. Addit. Manuf. 2018, 24, 606–626. [Google Scholar] [CrossRef]
- Elahinia, M.; Moghaddam, N.S.; Andani, M.T.; Amerinatanzi, A.; Bimber, B.A.; Hamilton, R.F. Fabrication of NiTi through additive manufacturing: A review. Prog. Mater. Sci. 2016, 83, 630–663. [Google Scholar] [CrossRef]
- Milewski, J.O. Additive Manufacturing of Metals: From Fundamental Technology to Rocket Nozzles, Medical Implants and Custom Jewelry; Springer: Berlin/Heidelberg, Germany, 2017. [Google Scholar]
- DebRoy, T.; Wei, H.L.; Zuback, J.S.; Mukherjee, T.; Elmer, J.W.; Milewski, J.O.; Beese, A.M.; Wilson–Heid, A.; De, A.; Zhang, W. Additive manufacturing of metallic components: Process, structure and properties. Prog. Mater. Sci. 2018, 92, 112–224. [Google Scholar] [CrossRef]
- Wang, H.; Zhu, Z.G.; Chen, H.; Wang, A.G.; Liu, J.Q.; Liu, H.W.; Zheng, R.K.; Nai, S.M.L.; Primig, S.; Babu, S.S.; et al. Effect of cyclic rapid thermal loadings on the microstructural evolution of a CrMnFeCoNi high–entropy alloy manufactured by selective laser melting. Acta Mater. 2020, 196, 609–625. [Google Scholar] [CrossRef]
- Dovgyy, B.; Piglione, A.; Hooper, P.A.; Pham, M.S. Comprehensive assessment of the printability of CoNiCrFeMn in Laser Powder Bed Fusion. Mater. Des. 2020, 194, 108845. [Google Scholar] [CrossRef]
- Schimbäck, D.; Braun, J.; Leichtfried, G.; Clemens, H.; Mayer, S. Laser powder bed fusion of an engineering intermetallic TiAl alloy. Mater. Des. 2021, 201, 109506. [Google Scholar] [CrossRef]
- Otsuka, K.; Wayman, C.M. (Eds.) Shape Memory Materials; Cambridge Univ. Press: Cambridge, UK, 1998. [Google Scholar]
- Yamauchi, K.; Ohkata, I.; Tsuchiya, K.; Miyazaki, S. Shape Memory and Superelastic Alloys; Woodhead Publishing: Oxford, UK, 2011. [Google Scholar]
- Jani, J.M.; Leary, M.; Subic, A.; Gibson, M.A. A review of shape memory alloy research, applications and opportunities. Mater. Des. 2014, 56, 1078–1113. [Google Scholar] [CrossRef]
- Costanza, G.; Tata, M.E. Shape Memory Alloys for Aerospace, Recent Developments, and New Applications: A Short Review. Materials 2020, 13, 1856. [Google Scholar] [CrossRef]
- Wang, X.; Yu, J.; Liu, J.; Chen, L.; Yang, Q.; Wei, H.; Sun, J.; Wang, Z.; Zhang, Z.; Zhao, G.; et al. Effect of process parameters on the phase transformation behaviour and tensile properties of NiTi shape memory alloys fabricated by selective laser melting. Addit. Manuf. 2020, 36, 101545. [Google Scholar] [CrossRef]
- Chmielewska, M.; Wysocki, B.; Kwasniak, P.; Kruszewski, M.J.; Michalski, B.; Zielinska, A.; Adamczyk–Cieslak, B.; Krawczynska, A.; Buhagiar, J.; Swieszkowski, W. Heat Treatment of NiTi Alloys Fabricated Using Laser Powder Bed Fusion (LPBF) from Elementary Powders. Materials 2022, 15, 3304. [Google Scholar] [CrossRef]
- Carreira, P.; Gatoes, D.; Alves, N.; Ramos, A.S.; Vieira, M.T. Searching New Solutions for NiTi Sensors through Indirect Additive Manufacturing. Materials 2022, 15, 5007. [Google Scholar] [CrossRef] [PubMed]
- Khoo, Z.X.; Liu, Y.; An, J.; Chua, C.K.; Shen, Y.F.; Kuo, C.N. A review of selective laser melted NiTi shape memory alloy. Materials 2018, 11, 519. [Google Scholar] [CrossRef] [PubMed]
- Alagha, A.N.; Hussain, S.; Zaki, W. Additive manufacturing of shape memory alloys: A review with emphasis on powder bed systems. Mater. Des. 2021, 204, 109654. [Google Scholar] [CrossRef]
- Wen, S.; Gan, J.; Li, F.; Zhou, Y.; Yan, C.; Shi, Y. Research Status and Prospect of Additive Manufactured Nickel–Titanium Shape Memory Alloys. Materials 2021, 14, 4496. [Google Scholar] [CrossRef]
- Gustmann, T.; Neves, A.; Kühn, U.; Gargarella, P.; Kiminami, C.S.; Bolfarini, C.; Eckert, J.; Pauly, S. Influence of processing parameters on the fabrication of a Cu–Al–Ni–Mn shape–memory alloy by selective laser melting. Addit. Manuf. 2016, 11, 23–31. [Google Scholar] [CrossRef]
- Gustmann, T.; dos Santos, J.M.; Gargarella, P.; Kühn, U.; Van Humbeeck, J. Properties of Cu–Based Shape–Memory Alloys Prepared by Selective Laser Melting. Shap. Mem. Superelasticity 2017, 3, 24–36. [Google Scholar] [CrossRef]
- Gustmann, T.; Schwab, H.; Kühn, U.; Pauly, S. Selective laser remelting of an additively manufactured Cu–Al–Ni–Mn shape–memory alloy. Mater. Des. 2018, 153, 129–138. [Google Scholar] [CrossRef]
- Tian, J.; Zhu, W.; Wei, Q.; Wen, S.; Li, S.; Song, B.; Shi, Y. Process optimization, microstructures and mechanical peroperties of a Cu–Based shape memory alloy fabricated by selective laser melting. J. Alloys Comp. 2019, 785, 754–764. [Google Scholar] [CrossRef]
- Caputo, M.P.; Berkowitz, A.E.; Armstrong, A.; Mullner, P.; Solomon, C.V. 4D printing of net shape parts made from Ni–Mn–Ga magnetic shape–memory alloys. Addit. Manuf. 2018, 21, 579–588. [Google Scholar] [CrossRef]
- Laitinen, V.; Sozinov, A.; Saremn, A.; Salminen, A.; Ullakko, K. Laser powder bed fusion of Ni–Mn–Ga magnetic shape memory alloy. Addit. Manuf. 2019, 30, 100891. [Google Scholar] [CrossRef]
- López–Ferreño, I.; Gómez–Cortés, J.F.; Breczewski, T.; Ruiz–Larrea, I.; Nó, M.L.; San Juan, J.M. High–temperature shape memory alloys based on the Cu–Al–Ni system: Design and thermomechanical characterization. J. Mater. Res. Technol. 2020, 9, 9972–9984. [Google Scholar] [CrossRef]
- San Juan, J.; Nó, M.L.; Schuh, C.A. Thermomechanical behavior at the nanoscale and size effects in shape memory alloys. J. Mater. Res. 2011, 26, 2461–2469. [Google Scholar] [CrossRef]
- Tran, T.Q.; Chinnappan, A.; Lee, J.K.Y.; Loc, N.H.; Tran, L.T.; Wang, G.; Kumar, V.V.; Jayathilaka, W.A.D.M.; Ji, D.; Doddamani, M.; et al. 3D Printing of Highly Pure Copper. Metals 2019, 9, 756. [Google Scholar] [CrossRef]
- Pérez–Sáez, R.B.; Recarte, V.; Nó, M.L.; Ruano, O.A.; San Juan, J. Advanced Shape Memory Alloys Processed by Powder Metallurgy. Adv. Eng. Mater. 2000, 2, 49–53. [Google Scholar] [CrossRef]
- Ibarra, A.; Rodríguez, P.P.; Recarte, V.; Pérez–Landazabal, J.I.; Nó, M.L.; San Juan, J. Internal friction behaviour during martensitic transformation in shape memory alloys processed by powder metallurgy. Mater. Sci. Eng. A 2004, 370, 492–496. [Google Scholar] [CrossRef]
- Ibarra, A.; San Juan, J.; Bocanegra, E.H.; Nó, M.L. Thermo–mechanical characterization of Cu–Al–Ni shape memory alloys elaborated by powder metallurgy. Mater. Sci. Eng. A 2006, 438–440, 782–786. [Google Scholar] [CrossRef]
- Straumal, B.B.; Kilmametov, A.R.; López, G.A.; López–Ferreño, I.; Nó, M.L.; San Juan, J.; Hahn, H.; Baretzky, B. High–pressure torsion driven phase transformations in Cu–Al–Ni shape memory alloys. Acta Mater. 2017, 125, 274–285. [Google Scholar] [CrossRef]
- Babacan, N.; Pauly, S.; Gustmann, T. Laser powder bed fusion of a superelastic Cu–Al–Mn shape memory alloy. Mater. Des. 2021, 203, 109625. [Google Scholar] [CrossRef]
- Lawley, A. Atomization: The Production of Metal Powders; MPIF: Princeton, NJ, USA, 1992. [Google Scholar]
- Yule, A.J.; Dunkley, J.J. Atomisation of Melts for Powder Production and Spray Deposition; Oxford University Press: Oxford, UK, 1994. [Google Scholar]
- German, R.M. Powder Metallurgy and Particulate Materials Processing; MPIF: Princeton, NJ, USA, 2005. [Google Scholar]
- Urionabarrenechea, E. Estudio Experimental y Simulación del Proceso de Producción de Polvosmetálicosmedianteatomización con Gas. Ph.D. Thesis, Universidad de Navarra, Donostia-San Sebastian, Spain, 2015. [Google Scholar]
- Recarte, V.; Pérez–Saez, R.B.; Bocanegra, E.H.; Nó, M.L.; San Juan, J.M. Dependence of the martensitic transformation characteristics on concentration in Cu–Al–Ni shape memory alloys. Mater. Sci. Eng. A 1999, 273–275, 380–384. [Google Scholar] [CrossRef]
- Frenzel, J.; George, E.P.; Dlouhy, A.; Somsen, C.; Wagner, M.F.X.; Eggeler, G. Inluence of Ni on martensitic transformations in NiTi shape memory alloys. Acta Mater. 2010, 58, 3444–3458. [Google Scholar] [CrossRef]
- Recarte, V.; Pérez–Saez, R.B.; Bocanegra, E.H.; Nó, M.L.; San Juan, J.M. Influence of Al and Ni concentration on the Martensitic Transformation in Cu–Al–Ni Shape–Memory Alloys. Metall. Mater. Trans. A 2002, 33, 2581–2591. [Google Scholar] [CrossRef]
- Meier, H.; Haberland, C. Experimental studies on selective laser melting of metallic parts. Mat.–Wiss. Wekstofftech 2008, 39, 665–670. [Google Scholar] [CrossRef]
- Recarte, V.; Hurtado, I.; Herreros, J.; Nó, M.L.; San Juan, J. Precipitation of the stable phases in Cu–Al–Ni shape memory alloys. Scr. Mater. 1996, 34, 255–260. [Google Scholar] [CrossRef]
- Sakamoto, H.; Shimizu, H. Effect of heat treatments on thermally formed martensite phases in monocrystalline Cu–Al–Ni shape memory alloys. ISIJ Int. 1989, 29, 395–404. [Google Scholar] [CrossRef]
- Pérez–Landazabal, J.I.; Recarte, V.; Pérez–Sáez, R.B.; Nó, M.L.; Campo, J.; San Juan, J. Determination of the next–nearest neighbor order in b phase in Cu–Al–Ni shape memory alloys. Appl. Phys. Lett. 2002, 81, 1794–1796. [Google Scholar] [CrossRef]
- Van Humbeeck, J.; Chandrasekaran, M.; Delaey, L. Influence of post quench ageing in beta–phase on the transformation characteristics and the physical and mechanical properties of martensite in Cu–Al–Ni shape memory alloy. ISIJ Int. 1989, 29, 388–394. [Google Scholar] [CrossRef]
- Recarte, V.; Pérez–Sáez, R.B.; Nó, M.L.; San Juan, J. Evolution of martensitic transformation in Cu–Al–Ni shape memory alloys during low–temperature aging. J. Mater. Res. 1999, 14, 2806–2813. [Google Scholar] [CrossRef]
- Mukunthan, K.; Brown, L.C. Preparation and properties of fine grain b–CuAlNi strain memory alloys. Metall. Trans. A 1988, 19, 2921–2929. [Google Scholar] [CrossRef]
- Otsuka, K.; Sakamoto, H.; Shimizu, K. Successive stress–induced martensitic transformations and associated transformation pseudoelasticity in Cu–Al–Ni alloys. Acta Metall. 1979, 27, 585–601. [Google Scholar] [CrossRef]
- Ibarra, A.; San Juan, J.; Bocanegra, E.H.; Caillard, D.; Nó, M.L. In situ and Post–mortem TEM study of the superelastic effect in Cu–Al–Ni shape memory alloys. Mater. Sci. Eng. A 2006, 438–440, 787–790. [Google Scholar] [CrossRef]
- Ye, J.; Tokonami, M.; Otsuka, K. Crystal structure analysis of γ’1 Cu–Al–Ni martensite using conventional X–rays and synchrotron radiations. Metall. Trans. A 1990, 21, 2669–2678. [Google Scholar] [CrossRef]
- Nó, M.L.; Ibarra, A.; Caillard, D.; San Juan, J. Quantitative analysis of stress–induced martensites by in situ transmission electron microscopy superelastic tests in Cu–Al–Ni shape memory alloys. Acta Mater. 2010, 58, 6181–6193. [Google Scholar] [CrossRef]
- Delaey, L.; Chandrasekaran, M. Comments on “New description of long period stacking order structures of martensites in β–Phase alloys”. Scr. Metall. Mater. 1994, 30, 1605–1610. [Google Scholar] [CrossRef]
- Friend, C.M. The effect of aluminium on the martensitic phase stabilities in metastable Cu–Al–Ni alloys. Scr. Metall. 1989, 23, 1817–1820. [Google Scholar] [CrossRef]
- Friend, C.M.; Ortín, J.; Planes, A.; Mañosa, L.; Yoshikawa, M. A calorimetric investigation of the β↔β’ and β↔γ’ martensitic transformation in Cu–Al–Ni single crystals. Scr. Metall. Mater. 1990, 24, 1641–1645. [Google Scholar] [CrossRef]
- Frenzel, J.; Wieczorek, A.; Opahle, I.; Maass, B.; Drautz, R.; Eggeler, G. On the effect of alloy composition on martensitic start temperatures and latent heats in Ni–Ti–based shape memory alloys. Acta Mater. 2015, 90, 213–231. [Google Scholar] [CrossRef]
- Rodríguez–Aseguinolaza, J.; Ruiz–Larrea, I.; Nó, M.L.; López–Echarri, A.; San Juan, J.M. Temperature memory effect in Cu–Al–Ni shape memory alloys studied by adiabatic calorimetry. Acta Mater. 2008, 56, 3711–3722. [Google Scholar] [CrossRef]
- Rodríguez–Aseguinolaza, J.; Ruiz–Larrea, I.; Nó, M.L.; López–Echarri, A.; San Juan, J.M. A new quantitative approach to the thermoelastic martensitic transformation: The density of elastic states. Acta Mater. 2008, 56, 6283–6290. [Google Scholar] [CrossRef]
- Ruiz–Larrea, I.; López–Echarri, A.; Gómez–Coertés, J.F.; Nó, M.L.; Brown, D.W.; Balogh, L.; Breczewski, T.; San Juan, J. Strain relaxation in Cu–Al–Ni shape memory alloys studied by in situ neutron diffraction experiments. J. Appl. Phys. 2019, 125, 082536. [Google Scholar] [CrossRef] [Green Version]















| Materials | Initial Weight (g) | <63 μm (g) | Cu (wt.%) | Al (wt.%) | Ni (wt.%) | O ppm | N ppm | C ppm | S ppm |
|---|---|---|---|---|---|---|---|---|---|
| Target | – | – | 82.5 | 13.5 | 4.0 | – | – | – | – |
| Atom 1 | 3000.5 | 2283.2 | 83.0 | 13.4 | 3.6 | 207 | 8 | 29 | 1 |
| Atom 2 | 3000.5 | 2104.1 | 82.8 | 13.4 | 3.8 | 156 | 4 | 24 | 1 |
| Sample Codes | First Laser Scan | Second Laser Scan | ||||||||
|---|---|---|---|---|---|---|---|---|---|---|
| P [W] | dh [mm] | v [mm/s] | E [J/mm2] | Scanning Strategy | P [W] | dh [mm] | v [mm/s] | E [J/mm2] | Scanning Strategy | |
| SM–1 | 5 | 0.05 | 2500 | 0.04 | TF | 220 | 0.1 | 2000 | 1.1 | M |
| SM–2 | 220 | 0.1 | 2000 | 1.1 | M | 5 | 0.05 | 2500 | 0.04 | TF |
| DM–1 | 220 | 0.16 | 800 | 1.72 | M | 220 | 0.16 | 800 | 1.72 | TF |
| DM–2 | 220 | 0.04 | 3200 | 1.72 | M | 220 | 0.04 | 3200 | 1.72 | TF |
| DM–3 | 220 | 0.1 | 2000 | 1.1 | TF | 220 | 0.1 | 2000 | 1.1 | TF |
| DM–4 | 220 | 0.04 | 3200 | 1.72 | TF | 220 | 0.04 | 3200 | 1.72 | TF |
| HIP–1 | 250 | 0.04 | 800 | 7.81 | M | 5 | 0.05 | 2500 | 0.04 | TF |
| HIP–2 | 250 | 0.04 | 1200 | 5.21 | M | 5 | 0.05 | 2500 | 0.04 | TF |
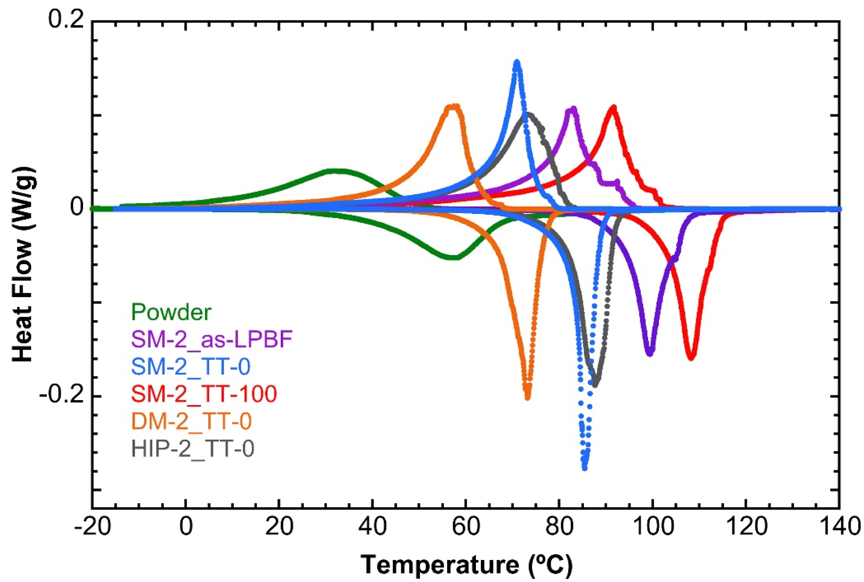
| CAN | °C | J/g | ||||
|---|---|---|---|---|---|---|
| Ms | Mf | As | Af | ΔT | ΔH | |
| Powder | 47.5 | −8.3 | 25.9 | 91.6 | 26.4 | 7.5 |
| SM–2 as–LPBF | 92.8 | 30.2 | 81.3 | 115.4 | 19.7 | 8.3 |
| SM–2 TT–0 | 76.4 | 23.5 | 65.2 | 90.7 | 17.2 | 8.4 |
| SM–2 TT–100 | 99.9 | 35.9 | 87.3 | 118.8 | 20.8 | 8.0 |
| DM–2 TT–0 | 69.5 | 12.8 | 49.6 | 84.2 | 17.9 | 8.5 |
| HIP–2 TT–0 | 79.9 | 28.1 | 68.4 | 92.6 | 16.7 | 8.9 |
Publisher’s Note: MDPI stays neutral with regard to jurisdictional claims in published maps and institutional affiliations. |
© 2022 by the authors. Licensee MDPI, Basel, Switzerland. This article is an open access article distributed under the terms and conditions of the Creative Commons Attribution (CC BY) license (https://creativecommons.org/licenses/by/4.0/).
Share and Cite
Pérez-Cerrato, M.; Fraile, I.; Gómez-Cortés, J.F.; Urionabarrenetxea, E.; Ruiz-Larrea, I.; González, I.; Nó, M.L.; Burgos, N.; San Juan, J.M. Designing for Shape Memory in Additive Manufacturing of Cu–Al–Ni Shape Memory Alloy Processed by Laser Powder Bed Fusion. Materials 2022, 15, 6284. https://doi.org/10.3390/ma15186284
Pérez-Cerrato M, Fraile I, Gómez-Cortés JF, Urionabarrenetxea E, Ruiz-Larrea I, González I, Nó ML, Burgos N, San Juan JM. Designing for Shape Memory in Additive Manufacturing of Cu–Al–Ni Shape Memory Alloy Processed by Laser Powder Bed Fusion. Materials. 2022; 15(18):6284. https://doi.org/10.3390/ma15186284
Chicago/Turabian StylePérez-Cerrato, Mikel, Itziar Fraile, José Fernando Gómez-Cortés, Ernesto Urionabarrenetxea, Isabel Ruiz-Larrea, Iban González, María Luisa Nó, Nerea Burgos, and Jose M. San Juan. 2022. "Designing for Shape Memory in Additive Manufacturing of Cu–Al–Ni Shape Memory Alloy Processed by Laser Powder Bed Fusion" Materials 15, no. 18: 6284. https://doi.org/10.3390/ma15186284
APA StylePérez-Cerrato, M., Fraile, I., Gómez-Cortés, J. F., Urionabarrenetxea, E., Ruiz-Larrea, I., González, I., Nó, M. L., Burgos, N., & San Juan, J. M. (2022). Designing for Shape Memory in Additive Manufacturing of Cu–Al–Ni Shape Memory Alloy Processed by Laser Powder Bed Fusion. Materials, 15(18), 6284. https://doi.org/10.3390/ma15186284

