Adoption of the Wet Surface Treatment Technique for the Improvement of Device Performance of Enhancement-Mode AlGaN/GaN MOSHEMTs for Millimeter-Wave Applications
Abstract
:1. Introduction
2. Materials and Methods
3. Results and Discussion
3.1. X-ray Photoelectron Spectroscopy (XPS) Measurement
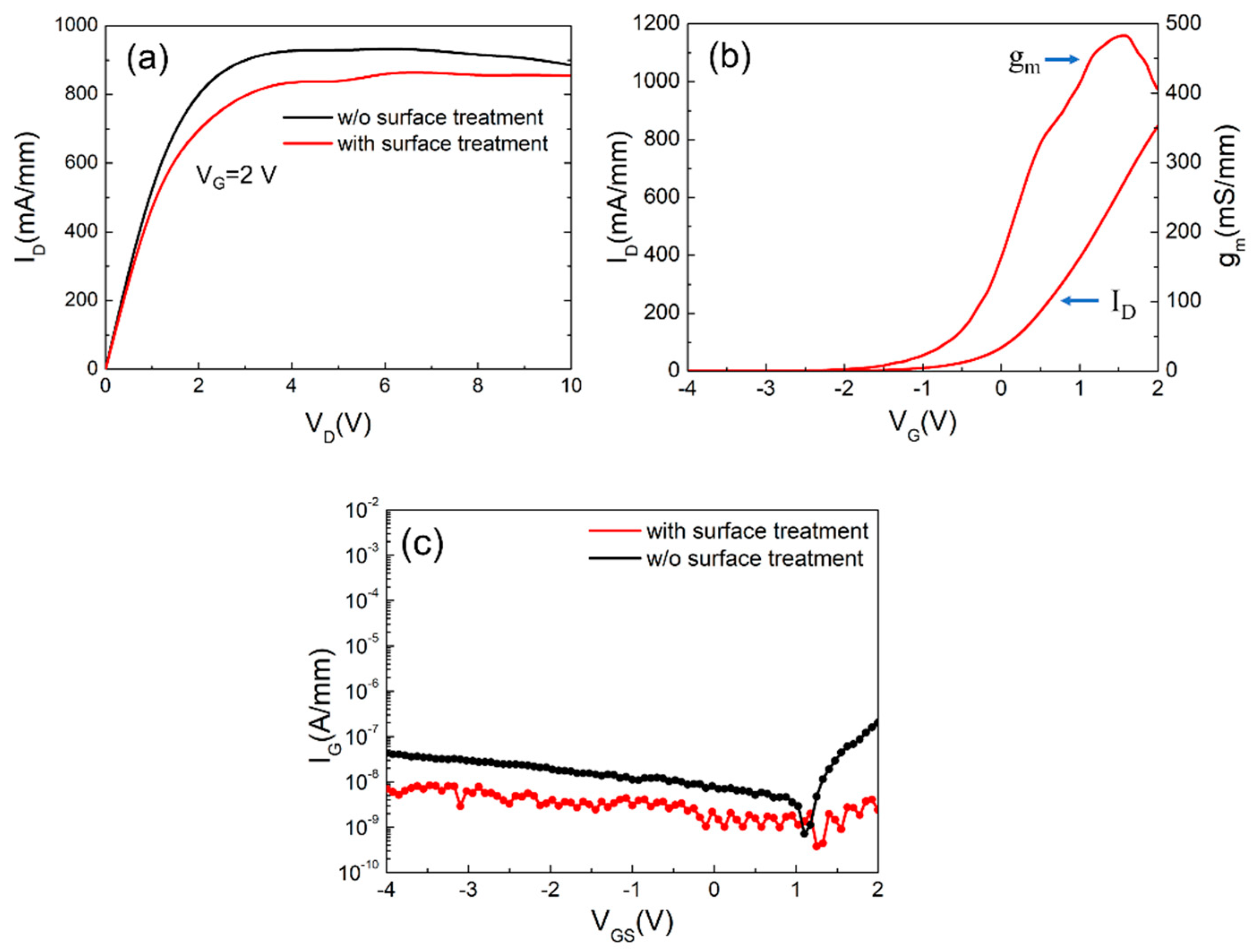
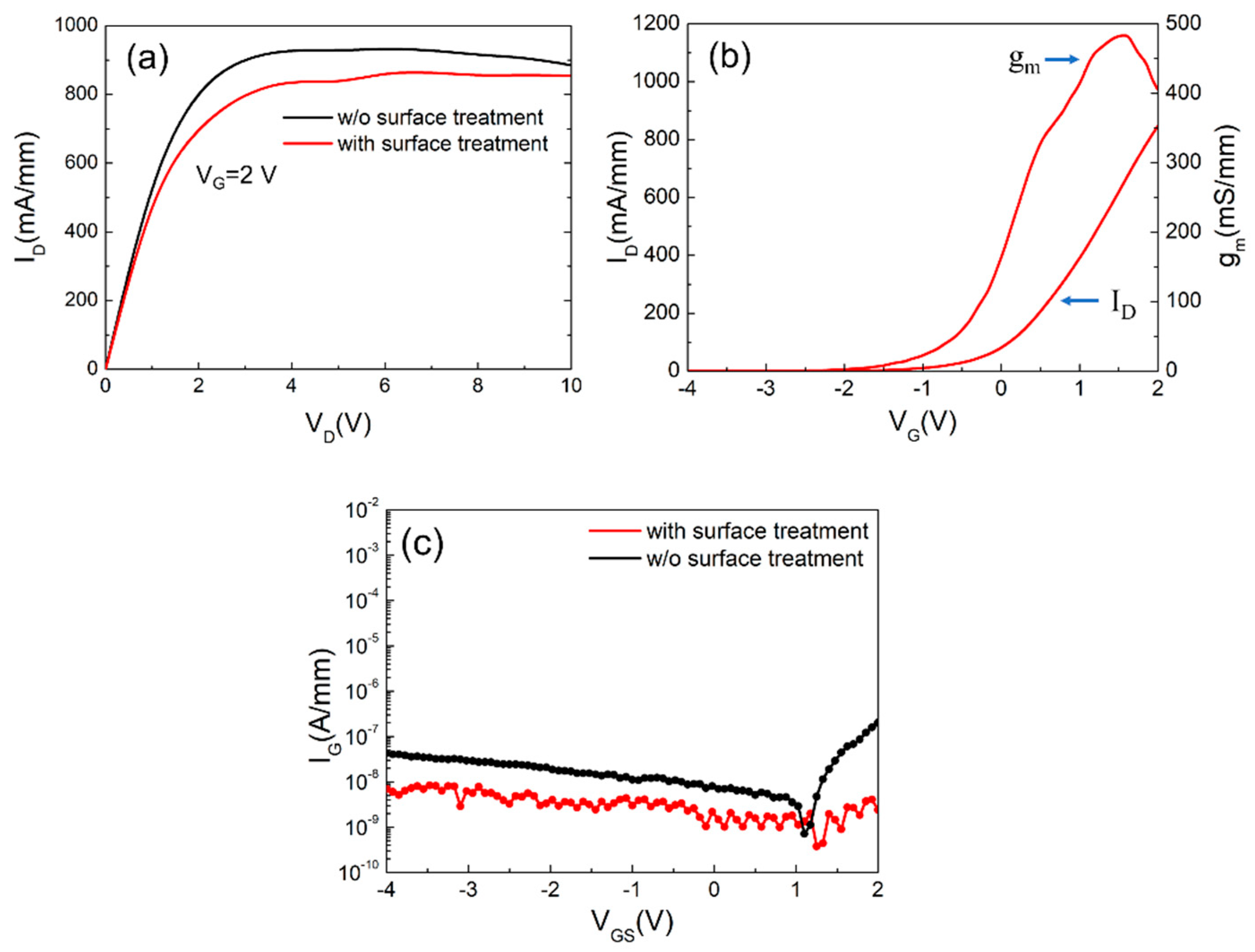
3.2. Direct Current (DC) and Pulsed Current–Voltage (I–V) Characteristics
3.3. Small-Signal Characteristics Comparison
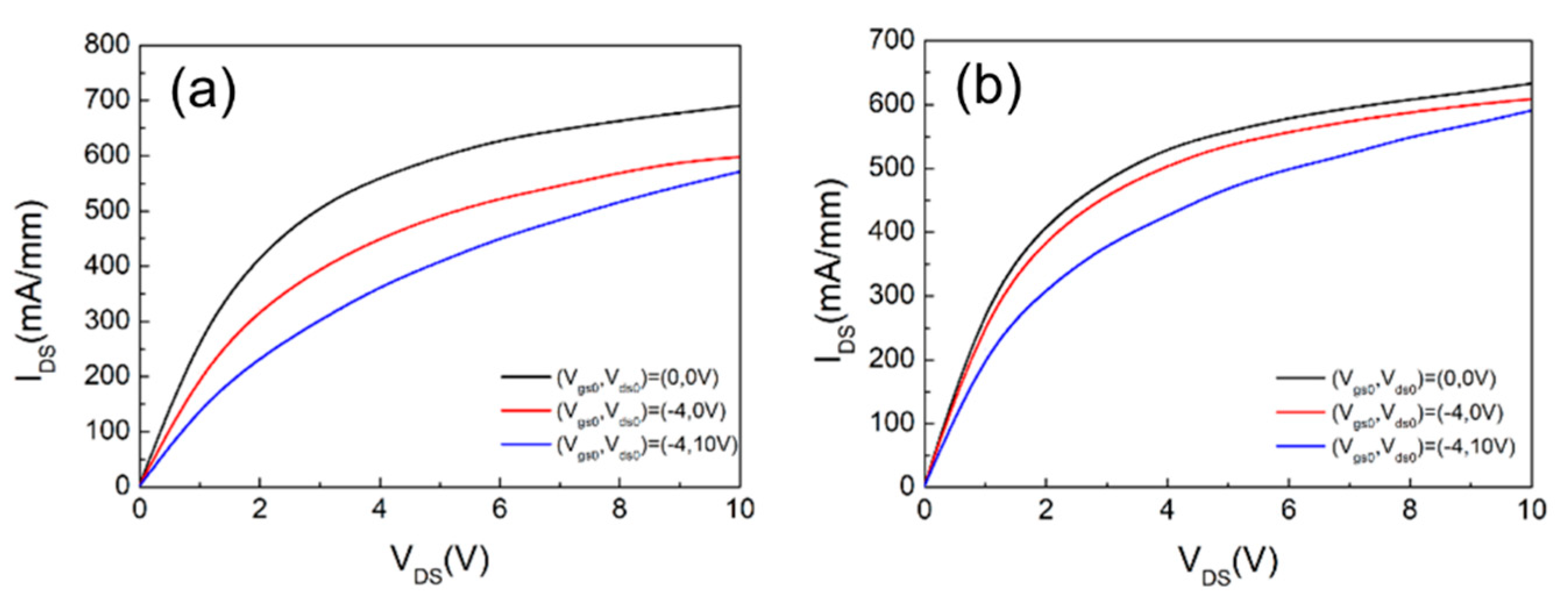
3.4. Large-Signal Performance
4. Conclusions
Author Contributions
Funding
Institutional Review Board Statement
Informed Consent Statement
Data Availability Statement
Conflicts of Interest
References
- Palacios, T.; Chakraborty, A.; Rajan, S.; Poblenz, C.; Keller, S.; DenBaars, S.P.; Speck, J.S.; Mishra, U.K. High-power AlGaN/GaN HEMTs for Ka-band applications. IEEE Electron Device Lett. 2005, 26, 781–783. [Google Scholar] [CrossRef] [Green Version]
- Harrouche, K.; Kabouche, R.; Okada, E.; Medjdoub, F. High Performance and Highly Robust AlN/GaN HEMTs for Millimeter-Wave Operation. IEEE J. Electron Devices Soc. 2019, 7, 1145–1150. [Google Scholar] [CrossRef]
- Aubry, R.; Jacquet, J.C.; Oualli, M.; Patard, O.; Piotrowicz, S.; Chartier, E.; Michel, N.; Xuan, L.T.; Lancereau, D.; Potier, C.; et al. ICP-CVD SiN Passivation for High-Power RF InAlGaN/GaN/SiC HEMT. IEEE Electron Device Lett. 2016, 37, 629–632. [Google Scholar] [CrossRef]
- Feng, Z.H.; Zhou, R.; Xie, S.Y.; Yin, J.Y.; Fang, J.X.; Liu, B.; Zhou, W.; Chen, K.J.; Cai, S.J. 18-GHz 3.65-W/mm Enhancement-Mode AlGaN/GaN HFET Using Fluorine Plasma Ion Implantation. IEEE Electron Device Lett. 2010, 31, 1386–1388. [Google Scholar] [CrossRef]
- Yu, C.J.; Hsu, C.W.; Wu, M.C.; Hsu, W.C.; Chuang, C.Y.; Liu, J.Z. Improved DC and RF Performance of Novel MIS p-GaN-Gated HEMTs by Gate-All-Around Structure. IEEE Electron Device Lett. 2020, 41, 673–676. [Google Scholar] [CrossRef]
- Moon, J.; Wu, S.; Wong, D.; Milosavljevic, I.; Conway, A.; Hashimoto, P.; Hu, M.; Antcliffe, M.; Micovic, M. Gate-Recessed AlGaN–GaN HEMTs for High-Performance Millimeter-Wave Applications. IEEE Electron Device Lett. 2005, 26, 348–350. [Google Scholar] [CrossRef]
- Maroldt, S.; Haupt, C.; Pletschen, W.; Müller, S.; Quay, R.; Ambacher, O.; Schippel, C.; Schwierz, F. Gate-Recessed AlGaN/GaN Based Enhancement-Mode High Electron Mobility Transistors for High Frequency Operation. Jpn. J. Appl. Phys. 2009, 48, 04C083. [Google Scholar] [CrossRef]
- Schuette, M.L.; Ketterson, A.; Song, B.; Beam, E.; Chou, T.M.; Pilla, M.; Tserng, H.Q.; Gao, X.; Guo, S.; Fay, P.J.; et al. Gate-Recessed Integrated E/D GaN HEMT Technology With fT / fmax >300 GHz. IEEE Electron Device Lett. 2013, 34, 741–743. [Google Scholar] [CrossRef]
- Makiyama, K.; Ozaki, S.; Ohki, T.; Okamoto, N.; Minoura, Y.; Niida, Y.; Kamada, Y.; Joshin, K.; Watanabe, K.; Miyamoto, Y. Collapse-free high power InAlGaN/GaN-HEMT with 3 W/mm at 96 GHz. In Proceedings of the International Electron Devices Meeting (IEDM), Washington, DC, USA, 7–9 December 2015; pp. 9.1.1–9.1.4. [Google Scholar]
- Kim, D.; Kumar, V.; Lee, J.; Yan, M.; Dabiran, A.M.; Wowchak, A.M.; Chow, P.P.; Adesida, I. Recessed 70-nm gate-length AlGaN/GaN HEMTs fabricated using an Al2O3/SiNx dielectric layer. IEEE Electron Device Lett. 2009, 30, 913–915. [Google Scholar]
- Huang, S.; Liu, X.; Zhang, J.; Wei, K.; Liu, G.; Wang, X.; Zheng, Y.; Liu, H.; Jin, Z.; Zhao, C.; et al. High RF performance enhancement-mode Al2O3/AlGaN/GaN MIS-HEMTs fabricated with high-temperature gate-recess technique. IEEE Electron Device Lett. 2015, 36, 754–756. [Google Scholar] [CrossRef]
- Lin, Y.-K.; Noda, S.; Huang, C.-C.; Lo, H.-C.; Wu, C.-H.; Luc, Q.H.; Chang, P.-C.; Hsu, H.-T.; Samukawa, S.; Chang, E.Y. High-performance GaN MOSHEMTs fabricated with ALD Al2O3 Dielectric and NBE gate recess technology for high frequency power applications. IEEE Electron Device Lett. 2017, 38, 771–774. [Google Scholar] [CrossRef]
- Zhang, Y.; Huang, S.; Wei, K.; Zhang, S.; Wang, X.; Zheng, Y.; Liu, G.; Chen, X.; Li, Y.; Liu, X. Millimeter-wave AlGaN/GaN HEMTs with 43.6% power-added-efficiency at 40 GHz fabricated by atomic layer etching gate recess. IEEE Electron Device Lett. 2010, 41, 701–704. [Google Scholar] [CrossRef]
- Mi, M.; Ma, X.-H.; Yang, L.; Lu, Y.; Hou, B.; Zhu, J.; Zhang, M.; Zhang, H.-S.; Zhu, Q.; Yang, L.-A.; et al. Millimeter-wave power AlGaN/GaN HEMT using surface plasma treatment of access region. IEEE Trans. Electron Devices 2017, 64, 4875–4881. [Google Scholar] [CrossRef]
- Mi, M.-H.; Ma, X.-H.; Yang, L.; Hou, B.-; Zhu, J.-J.; He, Y.-L.; Zhang, M.; Wu, S.; Hao, Y. 90 nm gate length enhancement-mode AlGaN/GaN HEMTs with plasma oxidation technology for high-frequency application. Appl. Phys. Lett. 2017, 111, 173502. [Google Scholar] [CrossRef]
- Tingting, Y.; Xinyu, L.; Yingkui, Z.; Chengzhan, L.; Ke, W.; Guoguo, L. Impact of UV/ozone surface treatment on AlGaN/GaN HEMTs. J. Semicond. 2009, 30, 124001. [Google Scholar] [CrossRef]
- Do, J.-W.; Jung, H.-W.; Shin, M.J.; Ahn, H.-K.; Kim, H.; Kim, R.-H.; Cho, K.J.; Chang, S.-J.; Min, B.-G.; Yoon, H.S.; et al. The effects of tetramethylammonium hydroxide treatment on the performance of recessed-gate AlGaN/GaN high electron mobility transistors. Thin Solid Films 2017, 628, 31–35. [Google Scholar] [CrossRef]
- Lee, N.-H.; Lee, M.; Choi, W.; Kim, D.; Jeon, N.; Choi, S.; Seo, K.-S. Effects of various surface treatments on gate leakage, subthreshold slope, and current collapse in AlGaN/GaN high-electron-mobility transistors. Jpn. J. Appl. Phys. 2014, 53, 04EF10. [Google Scholar] [CrossRef] [Green Version]
- Bardwell, J.; Haffouz, S.; McKinnon, R.; Storey, C.; Tang, H.; Sproule, G.I.; Roth, D.; Wang, R. The effect of surface cleaning on current collapse in AlGaN/GaN HEMTs. Electrochem. Solid-State Lett. 2007, 10, H46–H49. [Google Scholar] [CrossRef]
- Wang, L.; Bu, Y.; Ao, J.-P. Effect of oxygen plasma treatment on the performance of AlGaN/GaN ion-sensitive field-effect transistors. Diam. Relat. Mater. 2017, 73, 1–6. [Google Scholar] [CrossRef]
- Liu, S.C.; Chen, B.Y.; Lin, Y.C.; Hsieh, T.E.; Wang, H.C.; Chang, E.Y. GaN MIS-HEMTs with nitrogen passivation for power device application. IEEE Electron Device Lett. 2014, 35, 1001–1003. [Google Scholar]
- Desmaris, V.; Rudzinski, M.; Rorsman, N.; Hageman, P.; Larsen, P.; Zirath, H.; Rodle, T.; Jos, H. Comparison of the DC and microwave performance of AlGaN/GaN HEMTs grown on SiC by MOCVD with Fe-doped or unintentionally doped GaN buffer layers. IEEE Trans. Electron Devices 2006, 53, 2413–2417. [Google Scholar] [CrossRef]
- Meneghini, M.; Rossetto, I.; Bisi, D.; Stocco, A.; Chini, A.; Pantellini, A.; Lanzieri, C.; Nanni, A.; Meneghesso, G.; Zanoni, E. Buffer traps in Fe-doped AlGaN/GaN HEMTs: Investigation of the physical properties based on pulsed and transient measurements. IEEE Trans. Electron Devices 2014, 61, 4070–4077. [Google Scholar] [CrossRef]
- Jarndal, A.; Kompa, G. A New Small-Signal Modeling Approach Applied to GaN Devices. IEEE Trans Microwave Theory Tech. 2005, 53, 3440–3448. [Google Scholar] [CrossRef]
- Lin, S.; Wang, M.; Xie, B.; Wen, C.P.; Yu, M.; Wang, J.; Hao, Y.; Wu, W.; Huang, S.; Chen, K.J.; et al. Reduction of current collapse in GaN high-electron mobility transistors using a repeated ozone oxidation and wet surface treatment. IEEE Electron Device Lett. 2015, 36, 757–759. [Google Scholar]
- Ohki, T.; Kikkawa, T.; Kanamura, M.; Imanishi, K.; Makiyama, K.; Okamoto, N.; Joshin, K.; Hara, N. An over 100 W AlGaN/GaN enhancement-mode HEMT power amplifier with piezoelectric-induced cap structure. Phys. Stat. Solidi (C) 2009, 6, 1365–1368. [Google Scholar] [CrossRef]












Publisher’s Note: MDPI stays neutral with regard to jurisdictional claims in published maps and institutional affiliations. |
© 2021 by the authors. Licensee MDPI, Basel, Switzerland. This article is an open access article distributed under the terms and conditions of the Creative Commons Attribution (CC BY) license (https://creativecommons.org/licenses/by/4.0/).
Share and Cite
Wang, C.; Chen, Y.-C.; Hsu, H.-T.; Tsao, Y.-F.; Lin, Y.-C.; Dee, C.-F.; Chang, E.-Y. Adoption of the Wet Surface Treatment Technique for the Improvement of Device Performance of Enhancement-Mode AlGaN/GaN MOSHEMTs for Millimeter-Wave Applications. Materials 2021, 14, 6558. https://doi.org/10.3390/ma14216558
Wang C, Chen Y-C, Hsu H-T, Tsao Y-F, Lin Y-C, Dee C-F, Chang E-Y. Adoption of the Wet Surface Treatment Technique for the Improvement of Device Performance of Enhancement-Mode AlGaN/GaN MOSHEMTs for Millimeter-Wave Applications. Materials. 2021; 14(21):6558. https://doi.org/10.3390/ma14216558
Chicago/Turabian StyleWang, Chun, Yu-Chiao Chen, Heng-Tung Hsu, Yi-Fan Tsao, Yueh-Chin Lin, Chang-Fu Dee, and Edward-Yi Chang. 2021. "Adoption of the Wet Surface Treatment Technique for the Improvement of Device Performance of Enhancement-Mode AlGaN/GaN MOSHEMTs for Millimeter-Wave Applications" Materials 14, no. 21: 6558. https://doi.org/10.3390/ma14216558
APA StyleWang, C., Chen, Y.-C., Hsu, H.-T., Tsao, Y.-F., Lin, Y.-C., Dee, C.-F., & Chang, E.-Y. (2021). Adoption of the Wet Surface Treatment Technique for the Improvement of Device Performance of Enhancement-Mode AlGaN/GaN MOSHEMTs for Millimeter-Wave Applications. Materials, 14(21), 6558. https://doi.org/10.3390/ma14216558

