Tribological Aspects, Optimization and Analysis of Cu-B-CrC Composites Fabricated by Powder Metallurgy
Abstract
:1. Introduction
2. Materials and Methods
2.1. Composite Materials Production Process
2.2. Microstructural Evaluation
2.3. Density and Hardness Measurements
2.4. Taguchi-Based Experimental Design and Optimization with Signal-to-Noise Ratios
2.5. Wear Analysis
3. Results and Discussion
3.1. SEM-EDX Analysis
3.2. Density and Hardness Analysis
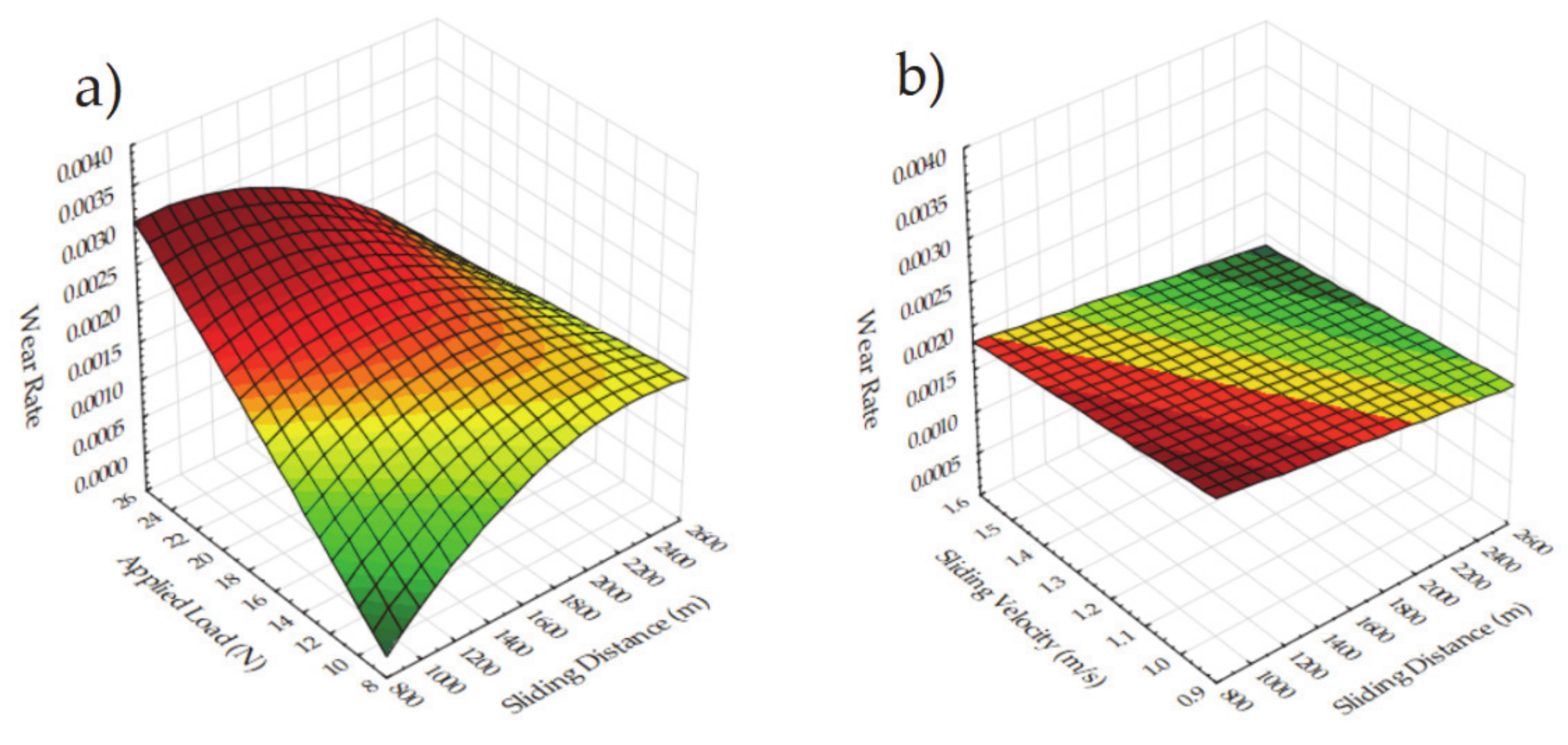
3.3. Optimization and Graphical Analysis for Wear Rate
3.4. Optimization and Graphical Analysis for Weight Loss
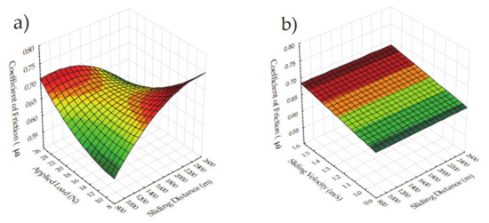
3.5. Optimization and Graphical Analysis for Coefficient of Friction
3.6. ANOVA Results for Wear Rate, Weight Loss and Coefficient of Friction
4. Conclusions
- As a result of the density and hardness tests of the composites sintered at different times and temperatures, the highest relative density value was determined as 93.4%. The increase in sintering time and temperature caused an increase in its density. The highest hardness value was determined as 67.48 HB in the 7.5 wt.% reinforced sample (at 1050 °C for 1 h). It was observed that the increase in reinforcement ratios affected the hardness positively. In addition, the lowest hardness value was observed in the pure Cu sample with approximately 45.5 HB.
- As a result of the SEM analysis, it was observed that the pores decreased with the reinforcement particles and the density increased accordingly. In addition, it was observed in SEM analysis that the added B-CrC reinforcement elements were homogeneously distributed.
- According to signal-to-noise ratios, at conditions of 2500 m, 10 N, 1.5 m/s, 2 h, 1050 °C and 0 wt.%, the minimum wear rate can be obtained. Similarly, at 1000 m, 10 N, 1.5 m/s, 2 h, 1050 °C and 2.5 wt.% and 1000 m, 15 N, 1 m/s, 1 h, 1000 °C and 0 wt.% conditions are recommended for minimal weight loss and a reduced coefficient of friction.
- From ANOVA results, it is understood that among the input parameters, the reinforcement ratio has considerable influence on the wear rate (51.6%), weight loss (27.25%) and coefficient of friction (79.9%). The applied load is one of the important parameters that affect the wear rate (30.07%) and weight loss (24.5%), respectively. It should be noted that sliding distance is the most effective parameter on weight loss (36.7%). In addition, other parameters except the mentioned ones have a small effect that can be ignored.
- R-square values of the statistical analysis demonstrate that the effective parameters have been successfully detected for each result (wear rate—95.56%, weight loss—96.85% and coefficient of friction—91.7%). It is important since, from the design stage of the composite material, influential factors can be determined. This provides a tool which assists in the production of durable materials for specific applications.
Author Contributions
Funding
Institutional Review Board Statement
Informed Consent Statement
Data Availability Statement
Conflicts of Interest
References
- Satishkumar, P.; Mahesh, G.; Meenakshi, R.; Vijayan, S.N. Tribological characteristics of powder metallurgy processed Cu- WC/SiC metal matrix composites. Mater. Today Proc. 2020, 37, 459–465. [Google Scholar] [CrossRef]
- Molina, A.; Torres-Islas, A.; Serna, S.; Acosta-Flores, M.; Rodriguez-Diaz, R.A.; Colin, J. Corrosion, Electrical and Mechanical Performance of Copper Matrix Composites Produced by Mechanical Alloying and Consolidation. Int. J. Electrochem. Sci. 2015, 10, 1728–1741. [Google Scholar]
- Aslan, A.; Salur, E.; Güneş, A.; Şahin, Ö.S.; Karadağ, H.B.; Akdemir, A. The Effect of Ultrasonic Cleaning Upon Mechanical Properties of Metal Matrix Composites. Trans. Indian Inst. Met. 2021, 74, 107–118. [Google Scholar] [CrossRef]
- Uzun, M.; Usca, U.A. Effect of Cr particulate reinforcements in different ratios on wear performance and mechanical properties of Cu matrix composites. J. Braz. Soc. Mech. Sci. Eng. 2018, 40, 197. [Google Scholar] [CrossRef]
- Aslan, A.; Salur, E.; Gunes, A.; Sahin, O.S.; Karadag, H.B.; Akdemir, A. The mechanical properties of composite materials recycled from waste metallic chips under different pressures. Int. J. Environ. Sci. Technol. 2019, 16, 5259–5266. [Google Scholar] [CrossRef]
- Sahin, O.S.; Gunes, A.; Aslan, A.; Salur, E.; Karadag, H.B.; Akdemir, A. Low-Velocity Impact Behavior of Porous Metal Matrix Composites Produced by Recycling of Bronze and Iron Chips. Iran. J. Sci. Technol. Trans. Mech. Eng. 2019, 43, 53–60. [Google Scholar] [CrossRef]
- Şap, E. Microstructure and Hardness Properties of Reinforced Copper-Based Composite Materials. J. Inst. Sci. Technol. 2021, 11, 086505. [Google Scholar]
- Sap, E. Microstructural and Mechanical Properties of Cu-Based Co-Mo-Reinforced Composites Produced by the Powder Metallurgy Method. J. Mater. Eng. Perform. 2020, 29, 8461–8472. [Google Scholar] [CrossRef]
- Sharma, S.; Singh, J.; Gupta, M.K.; Mia, M.; Dwivedi, S.P.; Saxena, A.; Chattopadhyaya, S.; Singh, R.; Pimenov, D.Y.; Korkmaz, M.E. Investigation on mechanical, tribological and microstructural properties of Al–Mg–Si–T6/SiC/muscovite-hybrid metal-matrix composites for high strength applications. J. Mater. Res. Technol. 2021, 12, 1564–1581. [Google Scholar] [CrossRef]
- Kumar, J.; Singh, D.; Kalsi, N.S.; Sharma, S.; Pruncu, C.I.; Pimenov, D.Y.; Rao, K.V.; Kapłonek, W. Comparative study on the mechanical, tribological, morphological and structural properties of vortex casting processed, Al–SiC–Cr hybrid metal matrix composites for high strength wear-resistant applications: Fabrication and characterizations. J. Mater. Res. Technol. 2020, 9, 13607–13615. [Google Scholar] [CrossRef]
- Kumar, S.; Yadav, A.; Patel, V.; Nahak, B.; Kumar, A. Mechanical behaviour of SiC particulate reinforced Cu alloy based metal matrix composite. Mater. Today Proc. 2020, 41, 186–190. [Google Scholar] [CrossRef]
- Matuszewski, M.; Mikolajczyk, T.; Pimenov, D.Y.; Styp-Rekowski, M. Influence of structure isotropy of machined surface on the wear process. Int. J. Adv. Manuf. Technol. 2017, 88, 2477–2483. [Google Scholar] [CrossRef]
- Schwartz, M.M. Composite Materials: Processing, Fabrication, and Applications; Prentice Hall PTR: Hoboken, NJ, USA, 1997; Volume 2. [Google Scholar]
- Şap, E. Investigation of mechanical properties of Cu/Mo-SiCp composites produced with P/M, and their wear behaviour with the Taguchi method. Ceram. Int. 2021, 1–11. [Google Scholar]
- Hussain, M.Z.; Khan, S.; Sarmah, P. Optimization of powder metallurgy processing parameters of Al2O3/Cu composite through Taguchi method with Grey relational analysis. J. King Saud Univ. Eng. Sci. 2020, 32, 274–286. [Google Scholar] [CrossRef]
- Sap, E.; Usca, U.A.; Gupta, M.K.; Kuntoglu, M.; Sarikaya, M.; Pimenov, D.Y.; Mia, M. Parametric Optimization for Improving the Machining Process of Cu/Mo-SiCP Composites Produced by Powder Metallurgy. Materials 2021, 14, 1921. [Google Scholar] [CrossRef] [PubMed]
- Konakov, V.G.; Kurapova, O.Y.; Archakov, I.Y. Improvement of Copper-Graphene Composites Properties due to the Lubricating Effect of Graphene in the Powder Metallurgy Fabrication Process. Met. Mater. Int. 2020, 26, 1899–1907. [Google Scholar] [CrossRef]
- Kumar, N.; Manoj, M.K. Influence of B4C on Dry Sliding Wear Behavior of B4C/Al-Mg-Si Composites Synthesized via Powder Metallurgy Route. Met. Mater. Int. 2020, 1–12. [Google Scholar]
- Mertdinc, S.; Agaogullari, D.; Tekoglu, E.; Ovecoglu, M.L. Characterization Investigations of 2 wt% LaB6 Particulate-Reinforced Al-7 wt% Si Matrix Composites Fabricated by Powder Metallurgy Methods. Met. Mater. Int. 2020, 26, 827–843. [Google Scholar] [CrossRef]
- Veerappan, G.; Ravichandran, M.; Meignanamoorthy, M.; Mohanavel, V. Characterization and Properties of Silicon Carbide Reinforced Ni-10Co-5Cr (Superalloy) Matrix Composite Produced Via Powder Metallurgy Route. Silicon 2021, 13, 973–984. [Google Scholar] [CrossRef]
- Wasik, A.; Leszczynska-Madej, B.; Madej, M.; Goly, M. Effect of Heat Treatment on Microstructure of Al4Cu-SiC Composites Consolidated by Powder Metallurgy Technique. J. Mater. Eng. Perform. 2020, 29, 1841–1848. [Google Scholar] [CrossRef] [Green Version]
- Zhang, Z.G.; Lu, X.T.; Xu, J.R.; Luo, H.J. Characterization and Tribological Properties of Graphene/Copper Composites Fabricated by Electroless Plating and Powder Metallurgy. Acta Metall. Sin. Engl. Lett. 2020, 33, 903–912. [Google Scholar] [CrossRef]
- Ma, L.; Gong, Y.; Chen, X. Study on surface roughness model and surface forming mechanism of ceramics in quick point grinding. Int. J. Mach. Tools Manuf. 2014, 77, 82–92. [Google Scholar] [CrossRef]
- Ma, L.; Sun, Z.; Zhang, L.; Deng, H.; Tan, Y.; Kong, Z.; Wei, Z. Study on mechanism and theoretical model of tool wear in fluorophlogopite glass-ceramics turning. J. Mater. Process. Technol. 2020, 275, 116284. [Google Scholar] [CrossRef]
- Thankachan, T.; Prakash, K.S. Microstructural, mechanical and tribological behavior of aluminum nitride reinforced copper surface composites fabricated through friction stir processing route. Mater. Sci. Eng. A 2017, 688, 301–308. [Google Scholar] [CrossRef]
- Uzun, M.; Çetin, M.S. Investigation of characteristics of Cu based, Co-CrC reinforced composites produced by powder metallurgy method. Adv. Powder Technol. 2021, 32, 1991–2003. [Google Scholar] [CrossRef]
- Mohanavel, V.; Ravichandran, M.; Kumar, S.S. Tribological and mechanical properties of Zirconium Di-boride (ZrB2) particles reinforced aluminium matrix composites. Mater. Today Proc. 2020, 21, 862–864. [Google Scholar] [CrossRef]
- Zhang, X.; Li, W.; Hong, C.; Han, W. Microstructure and Mechanical Properties of ZrB2-Based Composites Reinforced and Toughened by Zirconia. Int. J. Appl. Ceram. Technol. 2008, 5, 499–504. [Google Scholar] [CrossRef]
- Gautam, G.; Mohan, A. Effect of ZrB2 particles on the microstructure and mechanical properties of hybrid (ZrB2+ Al3Zr)/AA5052 insitu composites. J. Alloys Compd. 2015, 649, 174–183. [Google Scholar] [CrossRef]
- Bedir, F. Characteristic properties of Al–Cu–SiCp and Al–Cu–B4Cp composites produced by hot pressing method under nitrogen atmosphere. Mater. Des. 2007, 28, 1238–1244. [Google Scholar] [CrossRef]
- Gao, X.; Yue, H.; Guo, E.; Zhang, S.; Yao, L.; Lin, X.; Wang, B.; Guan, E. Tribological properties of copper matrix composites reinforced with homogeneously dispersed graphene nanosheets. J. Mater. Sci. Technol. 2018, 34, 1925–1931. [Google Scholar] [CrossRef]
- Young, R.J.; Kinloch, I.A.; Gong, L.; Novoselov, K.S. The mechanics of graphene nanocomposites: A review. Compos. Sci. Technol. 2012, 72, 1459–1476. [Google Scholar] [CrossRef]
- Novoselov, K.S.; Geim, A.K.; Morozov, S.V.; Jiang, D.; Zhang, Y.; Dubonos, S.V.; Grigorieva, I.V.; Firsov, A.A. Electric field effect in atomically thin carbon films. Science 2004, 306, 666–669. [Google Scholar] [CrossRef] [PubMed] [Green Version]
- Cao, H.; Qian, Z.; Zhang, L.; Xiao, J.; Zhou, K. Tribological behavior of Cu matrix composites containing graphite and tungsten disulfide. Tribol. Trans. 2014, 57, 1037–1043. [Google Scholar] [CrossRef]
- Ma, W.; Lu, J. Effect of sliding speed on surface modification and tribological behavior of copper–graphite composite. Tribol. Lett. 2011, 41, 363–370. [Google Scholar] [CrossRef]
- Mai, Y.; Chen, F.; Lian, W.; Zhang, L.; Liu, C.; Jie, X. Preparation and tribological behavior of copper matrix composites reinforced with nickel nanoparticles anchored graphene nanosheets. J. Alloys Compd. 2018, 756, 1–7. [Google Scholar] [CrossRef]
- Xiao, J.-K.; Zhang, W.; Liu, L.-M.; Zhang, L.; Zhang, C. Tribological behavior of copper-molybdenum disulfide composites. Wear 2017, 384, 61–71. [Google Scholar] [CrossRef]
- Wu, J.; Zhou, Y.; Wang, J. Tribological behavior of Ti2SnC particulate reinforced copper matrix composites. Mater. Sci. Eng. A 2006, 422, 266–271. [Google Scholar] [CrossRef]
- Rajkumar, K.; Aravindan, S. Tribological behavior of microwave processed copper–nanographite composites. Tribol. Int. 2013, 57, 282–296. [Google Scholar] [CrossRef]
- Su, L.; Gao, F.; Han, X.; Fu, R.; Zhang, E. Tribological behavior of copper–graphite powder third body on copper-based friction materials. Tribol. Lett. 2015, 60, 30. [Google Scholar] [CrossRef]
- Xiao, Y.; Yao, P.; Zhou, H.; Zhang, Z.; Gong, T.; Zhao, L.; Zuo, X.; Deng, M.; Jin, Z. Friction and wear behavior of copper matrix composite for spacecraft rendezvous and docking under different conditions. Wear 2014, 320, 127–134. [Google Scholar] [CrossRef]
- Tang, Y.; Liu, H.; Zhao, H.; Liu, L.; Wu, Y. Friction and wear properties of copper matrix composites reinforced with short carbon fibers. Mater. Des. 2008, 29, 257–261. [Google Scholar] [CrossRef]
- Senthil Kumar, P.; Manisekar, K.; Vettivel, S. Effect of extrusion on the microstructure and tribological behavior of copper–tin composites containing MoS2. Tribol. Trans. 2016, 59, 1016–1030. [Google Scholar] [CrossRef]
- Zhao, L.; Yao, P.; Gong, T.; Zhou, H.; Deng, M.; Wang, Z.; Zhang, Z.; Xiao, Y.; Luo, F. Effect of Adding Tungsten Disulfide to a Copper Matrix on the Formation of Tribo-Film and on the Tribological Behavior of Copper/Tungsten Disulfide Composites. Tribol. Lett. 2019, 67, 98. [Google Scholar] [CrossRef]
- Huang, Z.; Zheng, Z.; Zhao, S.; Dong, S.; Luo, P.; Chen, L. Copper matrix composites reinforced by aligned carbon nanotubes: Mechanical and tribological properties. Mater. Des. 2017, 133, 570–578. [Google Scholar] [CrossRef]
- Zou, H.; Ran, X.; Zhu, W.; Wang, Y.; Zhan, S.; Hao, Z. Tribological behavior of copper–graphite composites reinforced with Cu-coated or uncoated SiO2 particles. Materials 2018, 11, 2414. [Google Scholar] [CrossRef] [Green Version]
- Rajkumar, K.; Aravindan, S. Tribological performance of microwave sintered copper–TiC–graphite hybrid composites. Tribol. Int. 2011, 44, 347–358. [Google Scholar] [CrossRef]
- Zhan, Y.; Zhang, G. Friction and wear behavior of copper matrix composites reinforced with SiC and graphite particles. Tribol. Lett. 2004, 17, 91–98. [Google Scholar] [CrossRef]
- Rajkovic, V.; Bozic, D.; Jovanovic, M.T. Properties of copper matrix reinforced with various size and amount of Al2O3 particles. J. Mater. Process. Technol. 2008, 200, 106–114. [Google Scholar] [CrossRef]
- Hwang, S.J.; Wexler, D.; Calka, A. Mechanochemical synthesis of nanocrystalline Al 2 O 3 dispersed copper. J. Mater. Sci. 2004, 39, 4659–4662. [Google Scholar] [CrossRef]
- Triantou, K.I.; Pantelis, D.I.; Guipont, V.; Jeandin, M. Microstructure and tribological behavior of copper and composite copper+ alumina cold sprayed coatings for various alumina contents. Wear 2015, 336, 96–107. [Google Scholar] [CrossRef]
- Sap, E. Microstructure and Mechanical Effects of Co–Ti Powder Particles on Cu Matrix Composites. Russ. J. Non-Ferr. Met. 2021, 62, 107–118. [Google Scholar]
- Gong, T.; Yao, P.; Xiong, X.; Zhou, H.; Zhang, Z.; Xiao, Y.; Zhao, L.; Deng, M. Microstructure and tribological behavior of interfaces in Cu-SiO2 and Cu-Cr metal matrix composites. J. Alloys Compd. 2019, 786, 975–985. [Google Scholar] [CrossRef]
- Uzun, M.; Münis, M.M.; Usca, Ü.A. Farklı oranlarda CrC partikül takviyesi kullanılarak toz metalürjisi yöntemiyle üretilmiş Cu matrisli kompozit malzemelerin mikroyapı ve mekanik özelliklerinin incelenmesi. Sak. Univ. J. Sci. 2018, 22, 495–501. [Google Scholar]
- Uzun, M.; Munis, M.M.; Usca, U. Different ratios CrC particle-reinforced Cu matrix composite materials and investigation of wear performance. J. Eng. Res. Appl. 2018, 8, 1–7. [Google Scholar]
- Gautam, R.; Ray, S.; Jain, S.; Sharma, S.C. Tribological behavior of Cu–Cr–SiCp in situ composite. Wear 2008, 265, 902–912. [Google Scholar] [CrossRef]
- Aslan, A.; Güneş, A.; Salur, E.; Şahin, Ö.S.; Karadağ, H.B.; Akdemir, A. Mechanical properties and microstructure of composites produced by recycling metal chips. Int. J. Miner. Metall. Mater. 2018, 25, 1070–1079. [Google Scholar] [CrossRef]
- Barbato, G.; Desogus, S. Problems in the measurement of Vickers and Brinell indentations. Measurement 1986, 4, 137–147. [Google Scholar] [CrossRef]
- Kuntoğlu, M.; Sağlam, H. Investigation of progressive tool wear for determining of optimized machining parameters in turning. Measurement 2019, 140, 427–436. [Google Scholar] [CrossRef]
- Güneş, A.; Şahin, Ö.S.; Düzcükoğlu, H.; Salur, E.; Aslan, A.; Kuntoğlu, M.; Giasin, K.; Pimenov, D.Y. Optimization Study on Surface Roughness and Tribological Behavior of Recycled Cast Iron Reinforced Bronze MMCs Produced by Hot Pressing. Materials 2021, 14, 3364. [Google Scholar] [CrossRef] [PubMed]
- Veličković, S.; Stojanović, B.; Babić, M.; Bobić, I. Optimization of tribological properties of aluminum hybrid composites using Taguchi design. J. Compos. Mater. 2017, 51, 2505–2515. [Google Scholar] [CrossRef]
- Baskaran, S.; Anandakrishnan, V.A.; Duraiselvam, M. Investigations on dry sliding wear behavior of in situ casted AA7075–TiC metal matrix composites by using Taguchi technique. Mater. Des. 2014, 60, 184–192. [Google Scholar] [CrossRef]
- Şap, S.; Turgut, A.; Uzun, M. Investigation of microstructure and mechanical properties of Cu/Ti–B–SiCp hybrid composites. Ceram. Int. 2021, 1–11. [Google Scholar]
- Salur, E.; Acarer, M.; Şavkliyildiz, İ. Improving mechanical properties of nano-sized TiC particle reinforced AA7075 Al alloy composites produced by ball milling and hot pressing. Mater. Today Commun. 2021, 27, 102202. [Google Scholar] [CrossRef]
- Rao, R.; Das, S. Effect of sliding distance on the wear and friction behavior of as cast and heat-treated Al–SiCp composites. Mater. Des. 2011, 32, 3051–3058. [Google Scholar] [CrossRef]
- Sap, E.; Usca, U.A.; Gupta, M.; Kuntoğlu, M. Tool Wear and Machinability Investigations in Dry Turning of Cu/Mo-SiCp Hybrid Composites. Int. J. Adv. Manuf. Technol. 2021, 114, 379–396. [Google Scholar] [CrossRef]
- Omrani, E.; Rohatgi, P.K.; Menezes, P.L. Tribology and Applications of Self-Lubricating Materials; CRC Press: Boca Raton, FL, USA, 2017. [Google Scholar]
- Zhao, H.; Feng, Y.; Zhou, Z.; Qian, G.; Zhang, J.; Huang, X.; Zhang, X. Effect of electrical current density, apparent contact pressure, and sliding velocity on the electrical sliding wear behavior of Cu–Ti3AlC2 composites. Wear 2020, 444, 203156. [Google Scholar] [CrossRef]
- Rahimian, M.; Ehsani, N.; Parvin, N.; reza Baharvandi, H. The effect of particle size, sintering temperature and sintering time on the properties of Al–Al2O3 composites, made by powder metallurgy. J. Mater. Process. Technol. 2009, 209, 5387–5393. [Google Scholar] [CrossRef]
- Acilar, M.; Gul, F. Effect of the applied load, sliding distance and oxidation on the dry sliding wear behaviour of Al–10Si/SiCp composites produced by vacuum infiltration technique. Mater. Des. 2004, 25, 209–217. [Google Scholar] [CrossRef]
- Salur, E.; Aslan, A.; Kuntoglu, M.; Gunes, A.; Sahin, O.S. Experimental study and analysis of machinability characteristics of metal matrix composites during drilling. Compos. Part B Eng. 2019, 166, 401–413. [Google Scholar] [CrossRef]
- Li, J.; Zhang, X.; Geng, L. Effect of heat treatment on interfacial bonding and strengthening efficiency of graphene in GNP/Al composites. Compos. Part A Appl. Sci. Manuf. 2019, 121, 487–498. [Google Scholar] [CrossRef]
- Zhang, G.; Zhang, C.; Nardin, P.; Li, W.-Y.; Liao, H.; Coddet, C. Effects of sliding velocity and applied load on the tribological mechanism of amorphous poly-ether–ether–ketone (PEEK). Tribol. Int. 2008, 41, 79–86. [Google Scholar] [CrossRef]
- Xu, Z.; Shi, X.; Zhang, Q.; Zhai, W.; Li, X.; Yao, J.; Chen, L.; Zhu, Q.; Xiaov, Y. Effect of sliding speed and applied load on dry sliding tribological performance of TiAl matrix self-lubricating composites. Tribol. Lett. 2014, 55, 393–404. [Google Scholar] [CrossRef]
- Kuntoğlu, M.; Aslan, A.; Sağlam, H.; Pimenov, D.Y.; Giasin, K.; Mikolajczyk, T. Optimization and Analysis of Surface Roughness, Flank Wear and 5 Different Sensorial Data via Tool Condition Monitoring System in Turning of AISI 5140. Sensors 2020, 20, 4377. [Google Scholar] [CrossRef] [PubMed]
- Kuntoğlu, M.; Aslan, A.; Pimenov, D.Y.; Giasin, K.; Mikolajczyk, T.; Sharma, S. Modeling of cutting parameters and tool geometry for multi-criteria optimization of surface roughness and vibration via response surface methodology in turning of AISI 5140 steel. Materials 2020, 13, 4242. [Google Scholar] [CrossRef] [PubMed]
























| Samples | Cu Ratio (wt.%) | B Ratio (wt.%) | Cr3C2 Ratio (wt.%) | Number of Samples | New Representation |
|---|---|---|---|---|---|
| Pure Cu | 100 | – | – | 3 | Cu |
| Cu-B-Cr3C2 (2.5 wt.%) | 97.5 | 1 | 1.5 | 3 | Cu-B-1.5-Cr3C2 |
| Cu-B-Cr3C2 (5 wt.%) | 95 | 2 | 3 | 3 | Cu-2B-3Cr3C2 |
| Cu-B-Cr3C2 (7.5 wt.%) | 92.5 | 3 | 4.5 | 3 | Cu-3B-4.5 Cr3C2 |
| Exp. No | Reinforcement Ratio (wt.%) | Sliding Distance (m) | Applied Load (N) | Sliding Velocity (m/s) | Sintering Time (h) | Sintering Temperature (°C) | Weight Loss (g) | Wear Rate (×10−4 mm3/Nm) | Coefficient of Friction (µ) |
|---|---|---|---|---|---|---|---|---|---|
| 1 | 0 | 1000 | 10 | 1 | 1 | 1000 | 0.007600 | 9.49701 | 0.512543 |
| 2 | 0 | 1500 | 15 | 1 | 1 | 1050 | 0.016000 | 12.76947 | 0.553592 |
| 3 | 0 | 2000 | 20 | 1.5 | 2 | 1000 | 0.018100 | 10.90451 | 0.585360 |
| 4 | 0 | 2500 | 25 | 1.5 | 2 | 1050 | 0.023800 | 11.37495 | 0.557652 |
| 5 | 2.5 | 1000 | 15 | 1.5 | 2 | 1000 | 0.007200 | 9.47045 | 0.754312 |
| 6 | 2.5 | 1500 | 10 | 1.5 | 2 | 1050 | 0.006300 | 5.56853 | 0.749834 |
| 7 | 2.5 | 2000 | 25 | 1 | 1 | 1000 | 0.028700 | 18.96008 | 0.691095 |
| 8 | 2.5 | 2500 | 20 | 1 | 1 | 1050 | 0.029900 | 15.66025 | 0.708838 |
| 9 | 5 | 1000 | 20 | 1 | 2 | 1050 | 0.017900 | 26.81273 | 0.641499 |
| 10 | 5 | 1500 | 25 | 1 | 2 | 1000 | 0.038500 | 36.7995 | 0.707800 |
| 11 | 5 | 2000 | 10 | 1.5 | 1 | 1050 | 0.031300 | 23.43129 | 0.787704 |
| 12 | 5 | 2500 | 15 | 1.5 | 1 | 1000 | 0.033500 | 18.63495 | 0.64229 |
| 13 | 7.5 | 1000 | 25 | 1.5 | 1 | 1050 | 0.014400 | 21.53336 | 0.68217 |
| 14 | 7.5 | 1500 | 20 | 1.5 | 1 | 1000 | 0.028300 | 28.7164 | 0.667579 |
| 15 | 7.5 | 2000 | 15 | 1 | 2 | 1050 | 0.020200 | 15.21726 | 0.658962 |
| 16 | 7.5 | 2500 | 10 | 1 | 2 | 1000 | 0.016500 | 9.82809 | 0.671620 |
| Source | DOF | SS | MS | F Value | p-Value | PC (%) |
|---|---|---|---|---|---|---|
| Wear Rate | ||||||
| Sliding Distance | 3 | 8.659 | 2.886 | 0.34 | 0.801 | 3.04 |
| Applied Load | 3 | 85.649 | 28.550 | 3.34 | 0.137 | 30.07 |
| Sliding Velocity | 1 | 5.721 | 5.721 | 0.67 | 0.459 | 1.85 |
| Sintering Time | 1 | 25.156 | 25.156 | 2.94 | 0.162 | 8.83 |
| Sintering Temperature | 1 | 0.489 | 0.489 | 0.06 | 0.823 | 0.17 |
| Reinforcement | 3 | 146.476 | 48.8252 | 8.22 | 0.110 | 51.6 |
| Error | 3 | 12.687 | 4.2291 | - | - | 4.44 |
| Total | 15 | 284.837 | - | - | - | 100 |
| Weight Loss | ||||||
| Sliding Distance | 3 | 132.303 | 44.1011 | 4.70 | 0.085 | 36.7 |
| Applied Load | 3 | 88.347 | 29.4491 | 3.14 | 0.149 | 24.5 |
| Sliding Velocity | 1 | 5.243 | 5.2434 | 0.56 | 0.496 | 1.4 |
| Sintering Time | 1 | 24.858 | 24.8576 | 2.65 | 0.179 | 6.9 |
| Sintering Temperature | 1 | 0.686 | 0.6861 | 0.07 | 0.800 | 0.1 |
| Reinforcement | 3 | 97.947 | 32.6491 | 8.59 | 0.055 | 27.25 |
| Error | 3 | 11.397 | 3.7989 | - | - | 3.15 |
| Total | 15 | 360.782 | - | - | - | 100 |
| Coefficient of Friction | ||||||
| Sliding Distance | 3 | 0.6421 | 0.21403 | 0.07 | 0.971 | 3.9 |
| Applied Load | 3 | 0.2379 | 0.07929 | 0.03 | 0.993 | 1.4 |
| Sliding Velocity | 1 | 0.8345 | 0.83445 | 0.29 | 0.621 | 5 |
| Sintering Time | 1 | 0.1021 | 0.10208 | 0.03 | 0.861 | 0.8 |
| Sintering Temperature | 1 | 0.1151 | 0.11515 | 0.04 | 0.852 | 0.7 |
| Reinforcement | 3 | 13.1271 | 4.37570 | 9.58 | 0.048 | 79.9 |
| Error | 4 | 1.3703 | 0.45677 | - | - | 8.3 |
| Total | 15 | 16.4290 | - | - | - | 100 |
Publisher’s Note: MDPI stays neutral with regard to jurisdictional claims in published maps and institutional affiliations. |
© 2021 by the authors. Licensee MDPI, Basel, Switzerland. This article is an open access article distributed under the terms and conditions of the Creative Commons Attribution (CC BY) license (https://creativecommons.org/licenses/by/4.0/).
Share and Cite
Usca, Ü.A.; Uzun, M.; Kuntoğlu, M.; Şap, S.; Giasin, K.; Pimenov, D.Y. Tribological Aspects, Optimization and Analysis of Cu-B-CrC Composites Fabricated by Powder Metallurgy. Materials 2021, 14, 4217. https://doi.org/10.3390/ma14154217
Usca ÜA, Uzun M, Kuntoğlu M, Şap S, Giasin K, Pimenov DY. Tribological Aspects, Optimization and Analysis of Cu-B-CrC Composites Fabricated by Powder Metallurgy. Materials. 2021; 14(15):4217. https://doi.org/10.3390/ma14154217
Chicago/Turabian StyleUsca, Üsame Ali, Mahir Uzun, Mustafa Kuntoğlu, Serhat Şap, Khaled Giasin, and Danil Yurievich Pimenov. 2021. "Tribological Aspects, Optimization and Analysis of Cu-B-CrC Composites Fabricated by Powder Metallurgy" Materials 14, no. 15: 4217. https://doi.org/10.3390/ma14154217
APA StyleUsca, Ü. A., Uzun, M., Kuntoğlu, M., Şap, S., Giasin, K., & Pimenov, D. Y. (2021). Tribological Aspects, Optimization and Analysis of Cu-B-CrC Composites Fabricated by Powder Metallurgy. Materials, 14(15), 4217. https://doi.org/10.3390/ma14154217

