Biological Inspirations: Iron Complexes Mimicking the Catechol Dioxygenases
Abstract
1. Introduction
2. Mechanism of Catechol Oxidative Cleavage
2.1. Intradiol Dioxygenase
2.2. Extradiol Dioxygenase
3. Iron Complexes Mimicking Catechol Dioxygenases
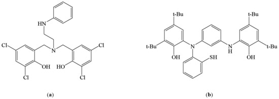
3.1. Small Molecular Complexes Mimicking Catechol Dioxygenases
3.1.1. Tetradentate Ligands
3.1.2. Tridentate Ligands
3.1.3. Pentadentate Ligand
3.1.4. Influence of Solvent Properties on the Regioselectivity of Catechol Conversion
4. Conclusions
Author Contributions
Funding
Institutional Review Board Statement
Informed Consent Statement
Data Availability Statement
Acknowledgments
Conflicts of Interest
References
- Krüger, H.-J. Iron-Containing Models of Catechol Dioxygenases. In Biomimetic Oxidations Catalyzed by Transition Metal Complexes; Imperial College Press: London, UK; World Scientific Publishing Co.: Singapore, 2000; pp. 363–413. [Google Scholar]
- Bugg, T.D.H.; Winfield, C.J. Enzymatic cleavage of aromatic rings: Mechanistic aspects of the catechol dioxygenases and later enzymes of bacterial oxidative cleavage pathways. Nat. Prod. Rep. 1998, 15, 513. [Google Scholar] [CrossRef]
- Roy Barman, T.; Sutradhar, M.; Alegria, E.C.B.A.; Guedes da Silva, M.d.F.C.; Pombeiro, A.J.L. Fe(III) Complexes in Cyclohexane Oxidation: Comparison of Catalytic Activities under Different Energy Stimuli. Catalysts 2020, 10, 1175. [Google Scholar] [CrossRef]
- Milunovic, M.N.M.; Martins, L.M.D.R.S.; Alegria, E.C.B.A.; Pombeiro, A.J.L.; Krachler, R.; Trettenhahn, G.; Turta, C.; Shova, S.; Arion, V.B. Hexanuclear and undecanuclear iron(III) carboxylates as catalyst precursors for cyclohexane oxidation. Dalton Trans. 2013, 42, 14388–14401. [Google Scholar] [CrossRef][Green Version]
- Yalymov, A.; Bilyachenko, A.; Levitsky, M.; Korlyukov, A.; Khrustalev, V.; Shul’pina, L.; Dorovatovskii, P.; Es’kova, M.; Lamaty, F.; Bantreil, X.; et al. High Catalytic Activity of Heterometallic (Fe6Na7 and Fe6Na6) Cage Silsesquioxanes in Oxidations with Peroxides. Catalysts 2017, 7, 101. [Google Scholar] [CrossRef]
- Bilyachenko, A.N.; Levitsky, M.M.; Yalymov, A.I.; Korlyukov, A.A.; Khrustalev, V.N.; Vologzhanina, A.V.; Shul’pina, L.S.; Ikonnikov, N.S.; Trigub, A.E.; Dorovatovskii, P.V.; et al. Cage-like Fe,Na-Germsesquioxanes: Structure, Magnetism, and Catalytic Activity. Angew. Chem. Int. Ed. 2016, 55, 15360–15363. [Google Scholar] [CrossRef] [PubMed]
- Wang, P.; Killian, M.M.; Saber, M.R.; Qiu, T.; Yap, G.P.A.; Popescu, C.V.; Rosenthal, J.; Dunbar, K.R.; Brunold, T.C.; Riordan, C.G. Electronic, Magnetic, and Redox Properties and O2 Reactivity of Iron(II) and Nickel(II) o -Semiquinonate Complexes of a Tris(thioether) Ligand: Uncovering the Intradiol Cleaving Reactivity of an Iron(II) o -Semiquinonate Complex. Inorg. Chem. 2017, 56, 10481–10495. [Google Scholar] [CrossRef] [PubMed]
- Guzik, U.; Greń, I.; Wojcieszyńska, D.; Łabuzek, S. Dioksygenazy—Główne enzymy degradacji zwia̧zków aromatycznych. Biotechnologia 2008, 3, 71–88. [Google Scholar]
- Lipscomb, J.D. Mechanism of extradiol aromatic ring-cleaving dioxygenases. Curr. Opin. Struct. Biol. 2008, 18, 644–649. [Google Scholar] [CrossRef]
- Siegbahn, P.E.M.; Haeffner, F. Mechanism for Catechol Ring-Cleavage by Non-Heme Iron Extradiol Dioxygenases. J. Am. Chem. Soc. 2004, 126, 8919–8932. [Google Scholar] [CrossRef]
- Nazmi, A.R.; Muthu, M.; Lloyd-Jones, G. Manipulating intradiol dioxygenases by C-terminus truncation. Enzym. Microb. Technol. 2019, 125, 21–28. [Google Scholar] [CrossRef]
- Hitomi, Y.; Yoshida, M.; Higuchi, M.; Minami, H.; Tanaka, T.; Funabiki, T. A linear correlation between energy of LMCT band and oxygenation reaction rate of a series of catecholatoiron(III) complexes: Initial oxygen binding during intradiol catechol oxygenation. J. Inorg. Biochem. 2005, 99, 755–763. [Google Scholar] [CrossRef]
- Guzik, U.; Hupert-Kocurek, K.; Sitnik, M.; Wojcieszyńska, D. High activity catechol 1,2-dioxygenase from Stenotrophomonas maltophilia strain KB2 as a useful tool in cis,cis-muconic acid production. Antonie Van Leeuwenhoek 2013, 103, 1297–1307. [Google Scholar] [CrossRef]
- Micalella, C.; Martignon, S.; Bruno, S.; Pioselli, B.; Caglio, R.; Valetti, F.; Pessione, E.; Giunta, C.; Rizzi, M. X-ray crystallography, mass spectrometry and single crystal microspectrophotometry: A multidisciplinary characterization of catechol 1,2 dioxygenase. Biochim. Biophys. Acta Proteins Proteom. 2011, 1814, 817–823. [Google Scholar] [CrossRef]
- Matera, I.; Ferraroni, M.; Kolomytseva, M.; Golovleva, L.; Scozzafava, A.; Briganti, F. Catechol 1,2-dioxygenase from the Gram-positive Rhodococcus opacus 1CP: Quantitative structure/activity relationship and the crystal structures of native enzyme and catechols adducts. J. Struct. Biol. 2010, 170, 548–564. [Google Scholar] [CrossRef]
- Ferraroni, M.; Kolomytseva, M.P.; Solyanikova, I.P.; Scozzafava, A.; Golovleva, L.A.; Briganti, F. Crystal Structure of 3-Chlorocatechol 1,2-dioxygenase Key Enzyme of a New Modified Ortho-pathway from the Gram-positive Rhodococcus opacus 1CP Grown on 2-chlorophenol. J. Mol. Biol. 2006, 360, 788–799. [Google Scholar] [CrossRef]
- Costas, M.; Mehn, M.P.; Jensen, M.P.; Que, L. Dioxygen Activation at Mononuclear Nonheme Iron Active Sites: Enzymes, Models, and Intermediates. Chem. Rev. 2004, 104, 939–986. [Google Scholar] [CrossRef]
- Wang, P.; Yap, G.P.A.; Riordan, C.G. Five-coordinate M II -semiquinonate (M = Fe, Mn, Co) complexes: Reactivity models of the catechol dioxygenases. Chem. Commun. 2014, 50, 5871–5873. [Google Scholar] [CrossRef]
- Morris, A.M.; Pierpont, C.G.; Finke, R.G. Dioxygenase catalysis by d0 metal–catecholate complexes containing vanadium and molybdenum with H2(3,5-DTBC) and H2(3,6-DTBC) substrates. J. Mol. Catal. A Chem. 2009, 309, 137–145. [Google Scholar] [CrossRef]
- Yin, C.-X.; Finke, R.G. Vanadium-Based, Extended Catalytic Lifetime Catechol Dioxygenases: Evidence for a Common Catalyst. J. Am. Chem. Soc. 2005, 127, 9003–9013. [Google Scholar] [CrossRef]
- Chen, Z.-F.; Liao, Z.-R.; Li, D.-F.; Li, W.-K.; Meng, X.-G. Crystal structure and catecholase-like activity of a mononuclear complex [Cu(EDTB)]2+ (EDTB=N,N,N′,N′-tetrakis(2′-benzimidazolyl methyl)-1,2-ethanediamine). J. Inorg. Biochem. 2004, 98, 1315–1318. [Google Scholar] [CrossRef]
- Safaei, E.; Heidari, S.; Wojtczak, A.; Cotič, P.; Kozakiewicz, A. 4-Nitrocatecholato iron(III) complexes of 2-aminomethyl pyridine-based bis(phenol) amine as structural models for catechol-bound 3,4-PCD. J. Mol. Struct. 2016, 1106, 30–36. [Google Scholar] [CrossRef]
- Garai, M.; Dey, D.; Yadav, H.R.; Choudhury, A.R.; Kole, N.; Biswas, B. Catalytic aspects of a nickel(II)–bipyridine complex towards phosphatase and catechol dioxygenase activity. Polyhedron 2017, 129, 114–122. [Google Scholar] [CrossRef]
- Sankaralingam, M.; Saravanan, N.; Anitha, N.; Suresh, E.; Palaniandavar, M. Biomimetic iron(III) complexes of facially and meridionally coordinating tridentate 3N ligands: Tuning of regioselective extradiol dioxygenase activity in organized assemblies. Dalton Trans. 2014, 43, 6828–6841. [Google Scholar] [CrossRef]
- Anitha, N.; Palaniandavar, M. Selective extradiol cleavage of catechol achieved in organized assemblies using [Fe(BPA)Cl3] (BPA = bis(pyridylmethyl)amine). Dalton Trans. 2010, 39, 1195–1197. [Google Scholar] [CrossRef]
- Anitha, N.; Palaniandavar, M. Mononuclear iron(III) complexes of 3N ligands in organized assemblies: Spectral and redox properties and attainment of regioselective extradiol dioxygenase activity. Dalton Trans. 2011, 40, 1888–1901. [Google Scholar] [CrossRef]
- Cox, D.D.; Que, L. Functional models for catechol 1,2-dioxygenase. The role of the iron(III) center. J. Am. Chem. Soc. 1988, 110, 8085–8092. [Google Scholar] [CrossRef]
- Jo, D.-H.; Que, L., Jr. Tuning the Regiospecificity of Cleavage in FeIII Catecholate Complexes: Tridentate Facial versus Meridional Ligands. Angew. Chem. 2000, 39, 4284–4287. [Google Scholar] [CrossRef]
- Funabiki, T.; Sakamoto, H.; Yoshida, S.; Tarma, K. Oxidative aromatic ring cleavage of 3,5-di-t-butylcatechol, with total insertion of molecular oxygen, catalysed by 2,2′-bipyridine–iron(II) complex. J. Chem. Soc. Chem. Commun. 1979, 754–755. [Google Scholar] [CrossRef]
- Funabiki, T.; Mizoguchi, A.; Sugimoto, T.; Tada, S.; Mitsuji, T.; Sakamoto, H.; Yoshida, S. Oxygenase model reactions. 1. Intra- and extradiol oxygenations of 3,5-di-tert-butylcatechol catalyzed by (bipyridine)(pyridine)iron(III) complex. J. Am. Chem. Soc. 1986, 108, 2921–2932. [Google Scholar] [CrossRef]
- Funabiki, T.; Mizoguchi, A.; Sugimoto, T.; Yoshida, S. Intra- And Extradiol Oxygenations of 3,5-Di-Tert-Butylcatechol Catalyzed By Bipyridinepyridineiron(III) Complex. Chem. Lett. 1983, 12, 917–920. [Google Scholar] [CrossRef]
- Funabiki, T.; Nagai, Y.; Kojima, H.; Tanaka, T.; Yoshida, S.; Masuda, H. X-ray crystallographic and absorption spectroscopic analyses of structures of catecholato (pyridine)iron chloride complexes in relevance to functional model complexes for catechol 1,2-dioxygenases. Inorg. Chim. Acta 1998, 275–276, 222–229. [Google Scholar] [CrossRef]
- Funabiki, T.; Konishi, T.; Kobayashi, S.; Mizoguchi, A.; Takano, M.; Yoshida, S. Intradiol Oxygenation of 3,5-Di-t-butylcatechol Catalyzed by Iron(HI) Salts. Chem. Lett. 1987, 16, 719–722. [Google Scholar] [CrossRef]
- Funabiki, T.; Tada, S.; Yoshioka, T.; Takano, M.; Yoshida, S. Spectroscopic evidence for the formation of catecholato-Fe III and semiquinonato-Fe II pyridine complexes in the oxygenation of catechol by a pyridineiron(III) complex. J. Chem. Soc. Chem. Commun. 1986, 1699. [Google Scholar] [CrossRef]
- Weller, M.G.; Weser, U. Ferric nitrilotriacetate: An active-center analog of pyrocatechase. J. Am. Chem. Soc. 1982, 104, 3752–3754. [Google Scholar] [CrossRef]
- White, L.S.; Nilsson, P.V.; Pignolet, L.H.; Que, L. Iron(III)-catalyzed oxygenation of catechols. Structure of (nitrilotriacetato)(3,5-di-tert-butylcatecholato)ferrate(III) dianion. J. Am. Chem. Soc. 1984, 106, 8312–8313. [Google Scholar] [CrossRef]
- Que, L.; Kolanczyk, R.C.; White, L.S. Functional models for catechol 1,2-dioxygenase. Structure, reactivity, and mechanism. J. Am. Chem. Soc. 1987, 109, 5373–5380. [Google Scholar] [CrossRef]
- Jang, H.G.; Cox, D.D.; Que, L. A highly reactive functional model for the catechol dioxygenases. Structure and properties of [Fe(TPA)DBC]BPh4. J. Am. Chem. Soc. 1991, 113, 9200–9204. [Google Scholar] [CrossRef]
- Cox, D.D.; Benkovic, S.J.; Bloom, L.M.; Bradley, F.C.; Nelson, M.J.; Que, L.; Wallick, D.E. Catecholate LMCT bands as probes for the active sites of non-heme iron oxygenases. J. Am. Chem. Soc. 1988, 110, 2026–2032. [Google Scholar] [CrossRef]
- Jastrzebski, R.; Quesne, M.G.; Weckhuysen, B.M.; de Visser, S.P.; Bruijnincx, P.C.A. Experimental and Computational Evidence for the Mechanism of Intradiol Catechol Dioxygenation by Non-Heme Iron(III) Complexes. Chem. Eur. J. 2014, 20, 15686–15691. [Google Scholar] [CrossRef]
- Jastrzebski, R.; Van Den Berg, E.J.; Weckhuysen, B.M.; Bruijnincx, P.C.A. Sustainable production of dimethyl adipate by non-heme iron(III) catalysed oxidative cleavage of catechol. Catal. Sci. Technol. 2015, 5. [Google Scholar] [CrossRef]
- Viswanathan, R.; Palaniandavar, M.; Balasubramanian, T.; Muthiah, T.P. Functional Models for Catechol 1,2-Dioxygenase. Synthesis, Structure, Spectra, and Catalytic Activity of Certain Tripodal Iron(III) Complexes. Inorg. Chem. 1998, 37, 2943–2951. [Google Scholar] [CrossRef]
- Velusamy, M.; Palaniandavar, M.; Gopalan, R.S.; Kulkarni, G.U. Novel Iron(III) Complexes of Tripodal and Linear Tetradentate Bis(phenolate) Ligands: Close Relevance to Intradiol-Cleaving Catechol Dioxygenases. Inorg. Chem. 2003, 42, 8283–8293. [Google Scholar] [CrossRef] [PubMed]
- Palaniandavar, M.; Velusamy, M.; Mayilmurugan, R. Iron(III) complexes of certain tetradentate phenolate ligands as functional models for catechol dioxygenases. J. Chem. Sci. 2006, 118, 601–610. [Google Scholar] [CrossRef]
- Velusamy, M.; Mayilmurugan, R.; Palaniandavar, M. Iron(III) Complexes of Sterically Hindered Tetradentate Monophenolate Ligands as Functional Models for Catechol 1,2-Dioxygenases: The Role of Ligand Stereoelectronic Properties. Inorg. Chem. 2004, 43, 6284–6293. [Google Scholar] [CrossRef] [PubMed]
- Mayilmurugan, R.; Suresh, E.; Palaniandavar, M. A New Tripodal Iron(III) Monophenolate Complex: Effects of Ligand Basicity, Steric Hindrance, and Solvent on Regioselective Extradiol Cleavage. Inorg. Chem. 2007, 46, 6038–6049. [Google Scholar] [CrossRef]
- Mayilmurugan, R.; Visvaganesan, K.; Suresh, E.; Palaniandavar, M. Iron(III) Complexes of Tripodal Monophenolate Ligands as Models for Non-Heme Catechol Dioxygenase Enzymes: Correlation of Dioxygenase Activity with Ligand Stereoelectronic Properties. Inorg. Chem. 2009, 48, 8771–8783. [Google Scholar] [CrossRef]
- Sundaravel, K.; Sankaralingam, M.; Suresh, E.; Palaniandavar, M. Biomimetic iron(III) complexes of N3O and N3O2 donor ligands: Protonation of coordinated ethanolate donor enhances dioxygenase activity. Dalton Trans. 2011, 40, 8444–8458. [Google Scholar] [CrossRef]
- Li, F.; Wang, M.; Li, P.; Zhang, T.; Sun, L. Iron(III) Complexes with a Tripodal N3O Ligand Containing an Internal Base as a Model for Catechol Intradiol-Cleaving Dioxygenases. Inorg. Chem. 2007, 46, 9364–9371. [Google Scholar] [CrossRef]
- Balamurugan, M.; Vadivelu, P.; Palaniandavar, M. Iron(III) complexes of tripodal tetradentate 4N ligands as functional models for catechol dioxygenases: The electronic vs. steric effect on extradiol cleavage. Dalton Trans. 2014, 43, 14653–14668. [Google Scholar] [CrossRef]
- Merkel, M.; Schnieders, D.; Baldeau, S.M.; Krebs, B. Structural Snapshots of a Dynamic Coordination Sphere in Model Complexes for Catechol 1,2-Dioxygenases. Eur. J. Inorg. Chem. 2004, 2004, 783–790. [Google Scholar] [CrossRef]
- Merkel, M.; Pascaly, M.; Krebs, B.; Astner, J.; Foxon, S.P.; Schindler, S. Chelate Ring Size Variations and Their Effects on Coordination Chemistry and Catechol Dioxygenase Reactivity of Iron(III) Complexes †. Inorg. Chem. 2005, 44, 7582–7589. [Google Scholar] [CrossRef] [PubMed]
- Xu, J.-Y.; Astner, J.; Walter, O.; Heinemann, F.W.; Schindler, S.; Merkel, M.; Krebs, B. Iron(III) Complexes with the LigandN′,N′-Bis[(2-pyridyl)methyl]ethylenediamine (uns-penp) and Its Amide DerivativeN-Acetyl-N′,N′-bis[(2-pyridyl)methyl]ethylenediamine (acetyl-uns-penp). Eur. J. Inorg. Chem. 2006, 2006, 1601–1610. [Google Scholar] [CrossRef]
- Saberikia, I.; Safaei, E.; Kowsari, M.H.; Lee, Y.-I.; Cotic, P.; Bruno, G.; Rudbari, H.A. A new iron(III) complex of glycine derivative of amine-chloro substituted phenol ligand: Synthesis, characterization and catechol dioxygenase activity. J. Mol. Struct. 2012, 1029, 60–67. [Google Scholar] [CrossRef]
- Lauffer, R.B.; Heistand, R.H.; Que, L. Dioxygenase models. Crystal structures of the 2,4-pentanedionato, phenanthrenesemiquinone, and catecholato complexes of N,N’-ethylenebis(salicylideneaminato)iron(III). Inorg. Chem. 1983, 22, 50–55. [Google Scholar] [CrossRef]
- Safaei, E.; Naghdi, N.; Jagličić, Z.; Pevec, A.; Lee, Y.-I. Synthesis and characterization of an iron(III) complex of an ethylenediamine derivative of an aminophenol ligand in relevance to catechol dioxygenase active site. Polyhedron 2017, 122, 116–123. [Google Scholar] [CrossRef]
- Mayilmurugan, R.; Stoeckli-Evans, H.; Palaniandavar, M. Novel Iron(III) Complexes of Sterically Hindered 4N Ligands: Regioselectivity in Biomimetic Extradiol Cleavage of Catechols. Inorg. Chem. 2008, 47, 6645–6658. [Google Scholar] [CrossRef]
- Wang, C.-H.; Lu, J.-W.; Wei, H.-H.; Takeda, M. Functional model for intradiol-cleaving catechol 1,2-dioxygenase: Synthesis, structure, spectra, and catalytic activity of iron(III) complexes with substituted salicylaldimine ligands. Inorg. Chim. Acta 2007, 360, 2944–2952. [Google Scholar] [CrossRef]
- Dei, A.; Gatteschi, D.; Pardi, L. Synthesis, characterization, and reactivity of catecholato adducts of iron(III) triaza- and tetraazamacrocyclic complexes: Chemical evidence of the role of the metal ion in the oxidative cleavage. Inorg. Chem. 1993, 32, 1389–1395. [Google Scholar] [CrossRef]
- Koch, W.O.; Krüger, H.-J. A Highly Reactive and Catalytically Active Model System for Intradiol-Cleaving Catechol Dioxygenases: Structure and Reactivity of Iron(III) Catecholate Complexes of N,N′-Dimethyl-2,11-diaza[3.3](2,6)pyridinophane. Angew. Chem. Int. Ed. Engl. 1996, 34, 2671–2674. [Google Scholar] [CrossRef]
- Raffard, N.; Carina, R.; Simaan, A.J.; Sainton, J.; Rivière, E.; Tchertanov, L.; Bourcier, S.; Bouchoux, G.; Delroisse, M.; Banse, F.; et al. Biomimetic Catalysis of Catechol Cleavage by O2 in Organic Solvents—Role of Accessibility of O2 to FeIII in 2,11-Diaza[3](2,6)pyridinophane-Type Catalysts. Eur. J. Inorg. Chem. 2001, 2001, 2249–2254. [Google Scholar] [CrossRef]
- Stepanović, S.; Angelone, D.; Gruden, M.; Swart, M. The role of spin states in the catalytic mechanism of the intra- and extradiol cleavage of catechols by O2. Org. Biomol. Chem. 2017, 15, 7860–7868. [Google Scholar] [CrossRef]
- Poureskandari, M.; Safaei, E.; Maryam Sajjadi, S.; Karimpour, T.; Jaglicic, Z.; Lee, Y.-I. Iron(III) complex of N-phenylethylenediamine derivative of amine bis(phenol) ligand as model for catechol dioxygenase: Synthesis, characterization and complexation studies. J. Mol. Struct. 2015, 1094, 130–136. [Google Scholar] [CrossRef]
- Sundaravel, K.; Suresh, E.; Saminathan, K.; Palaniandavar, M. Iron(III) complexes of N2O and N3O donor ligands as functional models for catechol dioxygenase enzymes: Ether oxygen coordination tunes the regioselectivity and reactivity. Dalton Trans. 2011, 40, 8092–8107. [Google Scholar] [CrossRef]
- Lin, G.; Reid, G.; Bugg, T.D.H. Extradiol Oxidative Cleavage of Catechols by Ferrous and Ferric Complexes of 1,4,7-Triazacyclononane: Insight into the Mechanism of the Extradiol Catechol Dioxygenases. J. Am. Chem. Soc. 2001, 123, 5030–5039. [Google Scholar] [CrossRef]
- Ito, M.; Que, L. Biomimetic Extradiol Cleavage of Catechols: Insights into the Enzyme Mechanism. Angew. Chem. Int. Ed. Engl. 1997, 36, 1342–1344. [Google Scholar] [CrossRef]
- Bruijnincx, P.C.A.; Lutz, M.; Spek, A.L.; Hagen, W.R.; van Koten, G.; Klein Gebbink, R.J.M. Iron(III)−Catecholato Complexes as Structural and Functional Models of the Intradiol-Cleaving Catechol Dioxygenases. Inorg. Chem. 2007, 46, 8391–8402. [Google Scholar] [CrossRef]
- Wagner, M.; Limberg, C.; Tietz, T. A Novel Tripodal Ligand Containing Three Different N -Heterocyclic Donor Functions and Its Application in Catechol Dioxygenase Mimicking. Chem. Eur. J. 2009, 15, 5567–5576. [Google Scholar] [CrossRef]
- Ogihara, T.; Hikichi, S.; Akita, M.; Moro-oka, Y. Synthesis, Structural Characterization, and Extradiol Oxygenation of Iron−Catecholato Complexes with Hydrotris(pyrazolyl)borate Ligands. Inorg. Chem. 1998, 37, 2614–2615. [Google Scholar] [CrossRef]
- Yoon, S.; Lee, H.J.; Lee, K.B.; Jang, H.G. A novel iron(III) complex with a tridentate ligand as a functional model for catechol dioxygenases: Properties and reactivity of [Fe(BBA)DBC]ClO4. Bull. Korean Chem. Soc. 2000, 21, 923–928. [Google Scholar]
- Dhanalakshmi, T.; Bhuvaneshwari, M.; Palaniandavar, M. Iron(III) complexes of certain meridionally coordinating tridentate ligands as models for non-heme iron enzymes: The role of carboxylate coordination. J. Inorg. Biochem. 2006, 100, 1527–1534. [Google Scholar] [CrossRef]
- Visvaganesan, K.; Ramachitra, S.; Palaniandavar, M. Functional models for enzyme–substrate adducts of catechol dioxygenase enzymes: The Lewis basicity of facially coordinating tridentate phenolate ligands tunes the rate of dioxygenation and product selectivity. Inorg. Chim. Acta 2011, 378, 87–94. [Google Scholar] [CrossRef]
- Panda, M.K.; John, A.; Shaikh, M.M.; Ghosh, P. Mimicking the Intradiol Catechol Cleavage Activity of Catechol Dioxygenase by High-Spin Iron(III) Complexes of a New Class of a Facially Bound [N2O] Ligand. Inorg. Chem. 2008, 47, 11847–11856. [Google Scholar] [CrossRef]
- Váradi, T.; Pap, J.S.; Giorgi, M.; Párkányi, L.; Csay, T.; Speier, G.; Kaizer, J. Iron(III) Complexes with Meridional Ligands as Functional Models of Intradiol-Cleaving Catechol Dioxygenases. Inorg. Chem. 2013, 52, 1559–1569. [Google Scholar] [CrossRef]
- Velusamy, M.; Mayilmurugan, R.; Palaniandavar, M. Functional models for catechol dioxygenases: Iron(III) complexes of cis-facially coordinating linear 3N ligands. J. Inorg. Biochem. 2005, 99, 1032–1042. [Google Scholar] [CrossRef]
- Sundaravel, K.; Dhanalakshmi, T.; Suresh, E.; Palaniandavar, M. Synthesis, structure, spectra and reactivity of iron(III) complexes of facially coordinating and sterically hindering 3N ligands as models for catechol dioxygenases. Dalton Trans. 2008, 7012–7025. [Google Scholar] [CrossRef]
- Paria, S.; Halder, P.; Paine, T.K. A Functional Model of Extradiol-Cleaving Catechol Dioxygenases: Mimicking the 2-His-1-Carboxylate Facial Triad. Inorg. Chem. 2010, 49, 4518–4523. [Google Scholar] [CrossRef]
- Visvaganesan, K.; Mayilmurugan, R.; Suresh, E.; Palaniandavar, M. Iron(III) Complexes of Tridentate 3N Ligands as Functional Models for Catechol Dioxygenases: The Role of Ligand N -alkyl Substitution and Solvent on Reaction Rate and Product Selectivity. Inorg. Chem. 2007, 46, 10294–10306. [Google Scholar] [CrossRef]
- Dhanalakshmi, T.; Suresh, E.; Palaniandavar, M. Synthesis, structure, spectra and reactivity of iron(III) complexes of imidazole and pyrazole containing ligands as functional models for catechol dioxygenases. Dalton Trans. 2009, 8317–8328. [Google Scholar] [CrossRef] [PubMed]
- Sundaravel, K.; Suresh, E.; Palaniandavar, M. Iron(III) complexes of tridentate N3 ligands as models for catechol dioxygenases: Stereoelectronic effects of pyrazole coordination. Inorg. Chim. Acta 2010, 363. [Google Scholar] [CrossRef]
- Metzinger, R.; Demeshko, S.; Limberg, C. A Novel Pentadentate Redox-Active Ligand and Its Iron(III) Complexes: Electronic Structures and O2 Reactivity. Chem. Eur. J. 2014, 20, 4721–4735. [Google Scholar] [CrossRef] [PubMed]













Publisher’s Note: MDPI stays neutral with regard to jurisdictional claims in published maps and institutional affiliations. |
© 2021 by the authors. Licensee MDPI, Basel, Switzerland. This article is an open access article distributed under the terms and conditions of the Creative Commons Attribution (CC BY) license (https://creativecommons.org/licenses/by/4.0/).
Share and Cite
Kałduńska, K.; Kozakiewicz, A.; Wujak, M.; Wojtczak, A. Biological Inspirations: Iron Complexes Mimicking the Catechol Dioxygenases. Materials 2021, 14, 3250. https://doi.org/10.3390/ma14123250
Kałduńska K, Kozakiewicz A, Wujak M, Wojtczak A. Biological Inspirations: Iron Complexes Mimicking the Catechol Dioxygenases. Materials. 2021; 14(12):3250. https://doi.org/10.3390/ma14123250
Chicago/Turabian StyleKałduńska, Karolina, Anna Kozakiewicz, Magdalena Wujak, and Andrzej Wojtczak. 2021. "Biological Inspirations: Iron Complexes Mimicking the Catechol Dioxygenases" Materials 14, no. 12: 3250. https://doi.org/10.3390/ma14123250
APA StyleKałduńska, K., Kozakiewicz, A., Wujak, M., & Wojtczak, A. (2021). Biological Inspirations: Iron Complexes Mimicking the Catechol Dioxygenases. Materials, 14(12), 3250. https://doi.org/10.3390/ma14123250

