Study of Drilling Process by Cooling Compressed Air in Reinforced Polyether-Ether-Ketone
Abstract
1. Introduction
2. Materials and Methods
2.1. Experimental Procedure
2.2. Statistical Procedure
3. Results and Discussion
3.1. Analysis of Experimental Results
3.1.1. Thrust Forces
3.1.2. Energy
3.1.3. Material Removed Rate
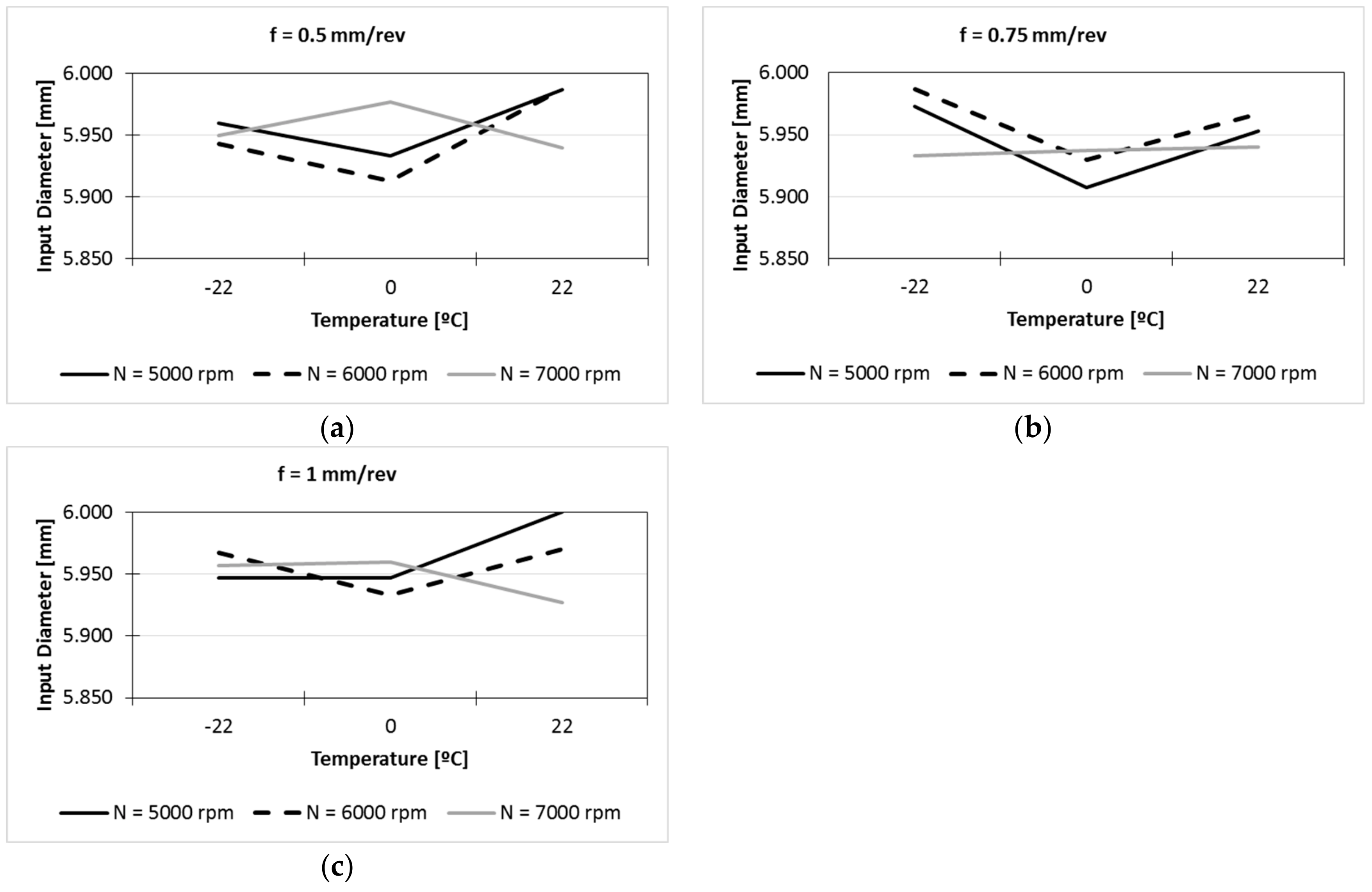
3.1.4. Input Diameter
3.2. Response Surface
3.3. Multiple Response Surface Optimization
4. Conclusions
- The environmental temperature (in first, second degree) and its interaction with spindle speed is a significant factor for thrust forces and for energy (in first degree).
- The maximum desirability function was found at highest cutting conditions (7000 rpm and 1 mm/rev) and at −22 °C. The implementation of compressed cooling air provides a balance between the optimal conditions for the analyzed variables.
- Cooling compressed air can be an environmentally friendly procedure that reduces the energy consumption, and besides, it can be compatible with high cutting conditions, which facilitates the high performance of machining processes.
- Finally, oversized holes can be avoided at the conditions used in this study.
Author Contributions
Funding
Acknowledgments
Conflicts of Interest
References
- Aguado, S.; Alvarez, R.; Domingo, R. Model of efficient and sustainable improvements in a lean production system through processes of environmental innovation. J. Clean. Prod. 2013, 47, 141–148. [Google Scholar] [CrossRef]
- Calvo, L.M.; Domingo, R. Influence of process operating parameters on CO2 emissions in continuous industrial plants. J. Clean. Prod. 2015, 96, 253–262. [Google Scholar] [CrossRef]
- Groover, M.P. Fundamentals of Modern Manufacturing: Materials, Processes, and Systems, 7th ed.; John Wiley & Sons, Inc.: Hoboken, NJ, USA, 2019. [Google Scholar]
- Krolczyk, G.M.; Maruda, R.W.; Krolczyk, J.B.; Wojciechowski, S.; Mia, M.; Nieslony, P.; Budzik, G. Ecological trends in machining as a key factor in sustainable production—A review. J. Clean. Prod. 2019, 218, 601–615. [Google Scholar] [CrossRef]
- Sen, B.; Mia, M.; Krolczyk, G.M.; Mandal, U.K.; Mondal, S.P. Eco-Friendly Cutting Fluids in Minimum Quantity Lubrication Assisted Machining: A Review on the Perception of Sustainable Manufacturing. Int. J. Precis. Eng. Manuf. GT 2019. [Google Scholar] [CrossRef]
- Alvarez, R.; Domingo, R.; Sebastian, M.A. The formation of saw toothed chip in a titanium alloy: Influence of constitutive models. Strojniški Vestnik J. Mech. Eng. 2011, 57, 739–749. [Google Scholar] [CrossRef]
- Liu, C.; Goel, S.; Llavori, I.; Stolf, P.; Giusca, C.L.; Zabala, A.; Kohlscheen, J.; Paiva, J.M.; Endrino, J.L.; Veldhuis, S.C.; et al. Benchmarking of several material constitutive models for tribology, wear, and other mechanical deformation simulations of Ti6Al4V. J. Mech. Behav. Biomed. 2019, 97, 126–137. [Google Scholar] [CrossRef]
- Wu, Z.; Yang, Y.; Su, C.; Cai, X.; Luo, C. Development and prospect of cooling technology for dry cutting tools. Int. J. Adv. Manuf. Technol. 2017, 88, 1567–1577. [Google Scholar] [CrossRef]
- Goindi, G.S.; Sarkar, P. Dry machining: A step towards sustainable machining—Challenges and future directions. J. Clean. Prod. 2017, 165, 1557–1571. [Google Scholar] [CrossRef]
- Jozić, S.; Bajić, D.; Celent, L. Application of compressed cold air cooling: Achieving multiple performance characteristics in end milling process. J. Clean. Prod. 2015, 100, 325–332. [Google Scholar] [CrossRef]
- Perri, G.M.; Bräunig, M.; di Gironimo, G.; Putz, M.; Tarallo, A.; Wittstock, V. Numerical modelling and analysis of the influence of an air cooling system on a milling machine in virtual environment. Int. J. Adv. Manuf. Technol. 2016, 86, 1853–1864. [Google Scholar] [CrossRef]
- Nor Khairusshima, M.K.; Che Hassan, C.H.; Jaharah, A.G.; Amin, A.K.M.; Md Idriss, A.N. Effect of chilled air on tool wear and workpiece quality during milling of carbon fibre-reinforced plastic. Wear 2013, 302, 1113–1123. [Google Scholar] [CrossRef]
- Domingo, R.; de Agustina, B.; Marín, M.M. A multi-response optimization of thrust forces, torques, and the power of tapping operations by cooling air in reinforced and unreinforced polyamide PA66. Sustainability 2018, 10, 889. [Google Scholar] [CrossRef]
- Yang, X.; Wu, Y.; Wei, K.; Fang, W.; Sun, H. Non-Isothermal Crystallization Kinetics of Short Glass Fiber Reinforced Poly (Ether Ether Ketone) Composites. Materials 2018, 11, 2094. [Google Scholar] [CrossRef] [PubMed]
- Davim, J.P.; Reis, P. Machinability study on composite (polyetheretherketone reinforced with 30% glass fibre–PEEK GF 30) using polycrystalline diamond (PCD) and cemented carbide (K20) tools. Int. J. Adv. Manuf. Technol. 2013, 23, 412–418. [Google Scholar] [CrossRef]
- Domingo, R.; García, M.; Sánchez, A.; Gómez, R. A sustainable evaluation of drilling parameters for PEEK-GF30. Materials 2013, 6, 5907–5922. [Google Scholar] [CrossRef]
- Giasin, K.; Gorey, G.; Byrne, C.; Sinke, J.; Brousseau, E. Effect of machining parameters and cutting tool coating on hole quality in dry drilling of fibre metal laminates. Compos. Struct. 2019, 212, 159–174. [Google Scholar] [CrossRef]
- Abdulgadir, M.M.; Demir, B.; Turan, M.E. Hybrid Reinforced Magnesium Matrix Composites (Mg/Sic/GNPs): Drilling Investigation. Metals 2018, 8, 215. [Google Scholar] [CrossRef]
- Szwajka, K.; Zielińska-Szwajka, J.; Trzepiecinski, T. Experimental Study on Drilling MDF with Tools Coated with TiAlN and ZrN. Materials 2019, 12, 386. [Google Scholar] [CrossRef]
- Davim, J.P.; Reis, P. Damage and dimensional precision on milling carbon fiber-reinforced plastics using design experiments. J. Mater. Process. Technol. 2005, 160, 160–167. [Google Scholar] [CrossRef]
- Shyha, I.S.; Soo, S.L.; Aspinwall, D.K.; Bradley, S.; Perry, R.; Harden, P.; Dawson, S. Hole quality assessment following drilling of metallic-composite stacks. Int. J. Mach. Tools Manuf. 2011, 51, 569–578. [Google Scholar] [CrossRef]
- Köklü, U.; Demir, O.; Avcı, A.; Etyemez, A. Drilling performance of functionally graded composite: Comparison with glass and carbon/epoxy composites. J. Mech. Sci. Technol. 2017, 31, 4703–4709. [Google Scholar] [CrossRef]
- Xia, T.; Kaynak, Y.; Arvin, C.; Jawahir, I.S. Cryogenic cooling-induced process performance and surface integrity in drilling CFRP composite material. Int. J. Adv. Manuf. Technol. 2016, 82, 605–616. [Google Scholar] [CrossRef]
- Domingo, R.; Marín, M.M.; Claver, J.; Calvo, R. Selection of cutting inserts in dry machining for reducing energy consumption and CO2 emissions. Energies 2015, 18, 13081–13095. [Google Scholar] [CrossRef]
- Schulz, H.; Dörr, J.; Rass, I.J.; Schulze, M.; Leyendecker, T.; Erkens, G. Performance of oxide PVD-coatings in dry cutting operations. Surf. Coat. Technol. 2001, 146–147, 480–485. [Google Scholar] [CrossRef]
- Pinar, A.M.; Uluer, O.; Kırmaci, V. Optimization of counter flow Ranque–Hilsch vortex tube performance using Taguchi method. Int. J. Refrig. 2009, 32, 1487–1494. [Google Scholar] [CrossRef]
- Singh, G.R.; Sharma, V.S. Analyzing machining parameters for commercially puretitanium (Grade 2), cooled using minimum quantity lubrication assisted by a Ranque-Hilsch vortex tube. Int. J. Adv. Manuf. Technol. 2017, 88, 2921–2928. [Google Scholar] [CrossRef]
- Mia, M.; Singh, G.R.; Gupta, K.M.; Sharma, V.S. Influence of Ranque-Hilsch vortex tube and nitrogen gas assisted MQL in precision turning of Al 6061-T6. Precis. Eng. 2018, 53, 289–299. [Google Scholar] [CrossRef]
- Measurement Computing. Available online: www.mccdaq.com/products/DASYLab.aspx (accessed on 20 September 2019).
- Li, R.; Hegde, P.; Shih, A.J. High-trroughput drilling of titanium alloys. Int. J. Mach. Tools Manuf. 2007, 47, 63–74. [Google Scholar] [CrossRef]
- Kalpakjian, S.; Schmid, S. Manufacturing Engineering and Technology, 7th ed.; Pearson: Hoboken, NJ, USA, 2014. [Google Scholar]
- Ameur, M.F.; Habak, M.; Kenane, M.; Aouici, H.; Cheikh, M. Machinability analysis of dry drilling of carbon/epoxy composites: Cases of exit delamination and cylindricity error. Int. J. Adv. Manuf. Technol. 2017, 88, 2557–2571. [Google Scholar] [CrossRef]
- ISO 4291. Methods for the Assessment of Departure from Roundness. Measurement of Variations in Radius; International Organization for Standardization: Geneva, Switzerland, 1985. [Google Scholar]
- Statgraphics. Available online: Statgraphics.net (accessed on 20 June 2019).
- Montgomery, D.C. Design and Analysis of Experiments, 8th ed.; John Wiley & Sons Inc.: New York, NY, USA, 2012. [Google Scholar]
- Kutner, M.H.; Natchtsheim, C.J.; Neter, J.; Li, W. Applied Linear Statistical Models, 5th ed.; McGraw-Hill Irwin: New York, NY, USA, 2005. [Google Scholar]
- Derringer, G.; Suich, R. Simultaneous optimization of several response variables. J. Qual. Technol. 1980, 12, 214–219. [Google Scholar] [CrossRef]
- Kumar, P.; Chauhan, S.R.; Pruncu, C.I.; Gupta, M.K.; Pimenov, D.Y.; Mia, M.; Gill, H.S. Influence of Different Grades of CBN Inserts on Cutting Force and Surface Roughness of AISI H13 Die Tool Steel during Hard Turning Operation. Materials 2019, 12, 177. [Google Scholar] [CrossRef] [PubMed]








| Material | Coating | Point Angle | Flute Helix Angle | Number of Cutting Edges | Nominal Tolerance | |
|---|---|---|---|---|---|---|
| Drill bit | Solid carbide | Zirconium oxide | 140° | 15° | 2 | h7 |
| No. Test | T (°C) | N (rpm) | f (mm/rev) | Ft (N) | E (J) | MRR (mm3/s) | Di (mm) |
|---|---|---|---|---|---|---|---|
| 1 | −22 | 5000 | 0.5 | 47.12 | 10.67 | 1178.10 | 5.960 |
| 2 | 0 | 5000 | 0.5 | 81.32 | 12.83 | 1178.10 | 5.933 |
| 3 | 22 | 5000 | 0.5 | 59.15 | 16.28 | 1178.10 | 5.987 |
| 4 | −22 | 6000 | 0.5 | 38.68 | 15.47 | 1413.72 | 5.943 |
| 5 | 0 | 6000 | 0.5 | 85.27 | 19.54 | 1413.72 | 5.913 |
| 6 | 22 | 6000 | 0.5 | 57.05 | 12.66 | 1413.72 | 5.987 |
| 7 | −22 | 7000 | 0.5 | 31.05 | 7.54 | 1649.34 | 5.950 |
| 8 | 0 | 7000 | 0.5 | 49.26 | 8.56 | 1649.34 | 5.977 |
| 9 | 22 | 7000 | 0.5 | 75.16 | 19.93 | 1649.34 | 5.940 |
| 10 | −22 | 5000 | 0.75 | 47.72 | 9.08 | 1767.15 | 5.973 |
| 11 | 0 | 5000 | 0.75 | 129.24 | 13.7 | 1767.15 | 5.907 |
| 12 | 22 | 5000 | 0.75 | 58.31 | 7.82 | 1767.15 | 5.953 |
| 13 | −22 | 6000 | 0.75 | 51.52 | 7.25 | 2120.57 | 5.987 |
| 14 | 0 | 6000 | 0.75 | 96.75 | 9.8 | 2120.57 | 5.930 |
| 15 | 22 | 6000 | 0.75 | 80.4 | 8.83 | 2120.57 | 5.967 |
| 16 | −22 | 7000 | 0.75 | 26.57 | 4.85 | 2474.00 | 5.933 |
| 17 | 0 | 7000 | 0.75 | 30.70 | 14.6 | 2474.00 | 5.937 |
| 18 | 22 | 7000 | 0.75 | 71.81 | 10.65 | 2474.00 | 5.940 |
| 19 | −22 | 5000 | 1 | 45.70 | 5.90 | 2356.19 | 5.947 |
| 20 | 0 | 5000 | 1 | 156.66 | 9.50 | 2356.19 | 5.947 |
| 21 | 22 | 5000 | 1 | 70.15 | 2.91 | 2356.19 | 6.000 |
| 22 | −22 | 6000 | 1 | 47.58 | 2.67 | 2827.43 | 5.967 |
| 23 | 0 | 6000 | 1 | 103.32 | 8.39 | 2827.43 | 5.933 |
| 24 | 22 | 6000 | 1 | 110.36 | 9.46 | 2827.43 | 5.970 |
| 25 | −22 | 7000 | 1 | 27.69 | 6.26 | 3298.67 | 5.957 |
| 26 | 0 | 7000 | 1 | 56.65 | 7.69 | 3298.67 | 5.960 |
| 27 | 22 | 7000 | 1 | 78.68 | 7.92 | 3298.67 | 5.927 |
| Source | Sum of Squares | Df | Mean Square | F-Ratio | P-Value |
|---|---|---|---|---|---|
| T | 913.809 | 1 | 913.809 | 5.18 | 0.0461 |
| N | 6461.76 | 1 | 6461.76 | 36.63 | 0.0001 |
| f | 1524.32 | 1 | 1524.32 | 8.64 | 0.0148 |
| T2 | 5676.25 | 1 | 5676.25 | 32.18 | 0.0002 |
| T × N | 724.941 | 1 | 724.941 | 4.11 | 0.0701 |
| T × f | 338.247 | 1 | 338.247 | 1.92 | 0.1962 |
| N2 | 732.762 | 1 | 732.762 | 4.15 | 0.0689 |
| N × f | 498.843 | 1 | 498.843 | 2.83 | 0.1235 |
| f2 | 22.4396 | 1 | 22.4396 | 0.13 | 0.7287 |
| T2 × N | 5476.74 | 1 | 5476.74 | 31.05 | 0.0002 |
| T2 × f | 466.632 | 1 | 466.632 | 2.65 | 0.1349 |
| T × N2 | 29.6117 | 1 | 29.6117 | 0.17 | 0.6906 |
| T × N × f | 3.83645 | 1 | 3.83645 | 0.02 | 0.8857 |
| T × f2 | 52.1043 | 1 | 52.1043 | 0.30 | 0.5987 |
| N2 × f | 128.633 | 1 | 128.633 | 0.73 | 0.4131 |
| N × f2 | 139.122 | 1 | 139.122 | 0.79 | 0.3953 |
| Total residual | 1763.86 | 10 | 176.386 | ||
| Total | 26,038.0 | 26 |
| Source | Sum of Squares | Df | Mean Square | F-Ratio | P-Value |
|---|---|---|---|---|---|
| T | 5.15227 | 1 | 5.15227 | 0.53 | 0.4783 |
| N | 4.47207 | 1 | 4.47207 | 0.46 | 0.5084 |
| f | 46.5409 | 1 | 46.5409 | 4.78 | 0.0451 |
| T2 | 34.3523 | 1 | 34.3523 | 3.53 | 0.0800 |
| T × N | 28.49 | 1 | 28.49 | 2.92 | 0.1079 |
| T × f | 7.88941 | 1 | 7.88941 | 0.81 | 0.3825 |
| N × f | 4.45301 | 1 | 4.45301 | 0.46 | 0.5093 |
| T2 × N | 6.12562 | 1 | 6.12562 | 0.63 | 0.4402 |
| T2 × f | 7.7748 | 1 | 7.7748 | 0.80 | 0.3858 |
| T × N2 | 2.828 | 1 | 2.828 | 0.29 | 0.5980 |
| N2 × f | 9.68247 | 1 | 9.68247 | 0.99 | 0.3347 |
| Total residual | 146.171 | 15 | 9.74475 | ||
| Total | 506.569 | 26 |
| Source | Sum of Squares | Df | Mean Square | F-Ratio | P-Value |
|---|---|---|---|---|---|
| T | 0.0 | 1 | 0.0 | 0.0 | 1.0000 |
| N | 449,686.0 | 1 | 449,686.0 | **** | 0.0000 |
| f | 1.79872 × 106 | 1 | 1.79872 × 106 | **** | 0.0000 |
| T2 | 0.0 | 1 | 0.0 | 0.0 | 1.0000 |
| T × N | 0.0 | 1 | 0.0 | 0.0 | 1.0000 |
| T × f | 0.0 | 1 | 0.0 | 0.0 | 1.0000 |
| N2 | 0.0 | 1 | 0.0 | 0.0 | 1.0000 |
| N × f | 166,550.0 | 1 | 166,550.0 | **** | 0.0000 |
| f2 | 0.00015 | 1 | 0.00015 | 39,607.88 | 0.0000 |
| T2 × N | 0.0 | 1 | 0.0 | 0.0 | 1.0000 |
| T2 × f | 0.0 | 1 | 0.0 | 0.0 | 1.0000 |
| T × N2 | 0.0 | 1 | 0.0 | 0.0 | 1.0000 |
| T × N × f | 0.0 | 1 | 0.0 | 0.0 | 1.0000 |
| T × f2 | 0.0 | 1 | 0.0 | 0.0 | 1.0000 |
| N2 × f | 0.0 | 1 | 0.0 | 0.0 | 1.0000 |
| N × f2 | 0.0 | 1 | 0.0 | 0.0 | 1.0000 |
| Total residual | 3.78713 × 10−8 | 10 | 3.78713 × 10−9 | ||
| Total | 1.14086 × 107 | 26 |
| Variable | Goal | Li | Ui | s | t | Impact |
|---|---|---|---|---|---|---|
| Ft [N] | Minimize | 26.57 | 156.66 | 1 | – | 3 |
| E [J] | Minimize | 2.67 | 19.93 | 1 | – | 3 |
| MRR [mm3/s] | Maximize | 1178.10 | 3298.67 | – | 1 | 3 |
© 2020 by the authors. Licensee MDPI, Basel, Switzerland. This article is an open access article distributed under the terms and conditions of the Creative Commons Attribution (CC BY) license (http://creativecommons.org/licenses/by/4.0/).
Share and Cite
Domingo, R.; de Agustina, B.; Marín, M.M. Study of Drilling Process by Cooling Compressed Air in Reinforced Polyether-Ether-Ketone. Materials 2020, 13, 1965. https://doi.org/10.3390/ma13081965
Domingo R, de Agustina B, Marín MM. Study of Drilling Process by Cooling Compressed Air in Reinforced Polyether-Ether-Ketone. Materials. 2020; 13(8):1965. https://doi.org/10.3390/ma13081965
Chicago/Turabian StyleDomingo, Rosario, Beatriz de Agustina, and Marta María Marín. 2020. "Study of Drilling Process by Cooling Compressed Air in Reinforced Polyether-Ether-Ketone" Materials 13, no. 8: 1965. https://doi.org/10.3390/ma13081965
APA StyleDomingo, R., de Agustina, B., & Marín, M. M. (2020). Study of Drilling Process by Cooling Compressed Air in Reinforced Polyether-Ether-Ketone. Materials, 13(8), 1965. https://doi.org/10.3390/ma13081965

