Mechanical Properties and Thermal Conductivity of Ytterbium-Silicate-Mullite Composites
Abstract
1. Introduction
2. Experimental and Characterization Methods
2.1. Specimen Preparation
2.2. Structure and Composition
2.3. Mechanical Properties
2.4. Thermal Conductivities
3. Results and Discussion
3.1. Microstructure Characterization
3.2. Mechanical Properties
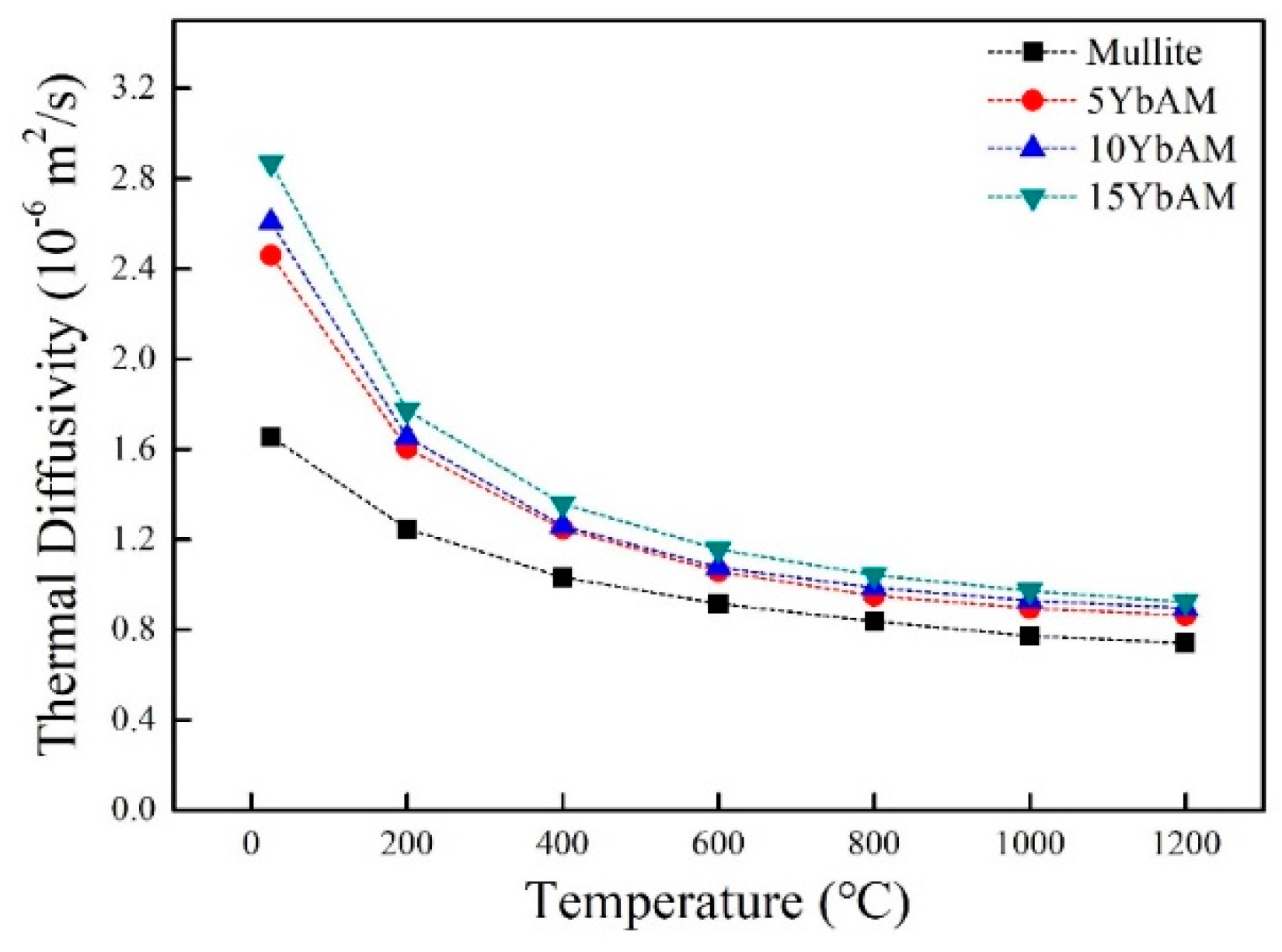
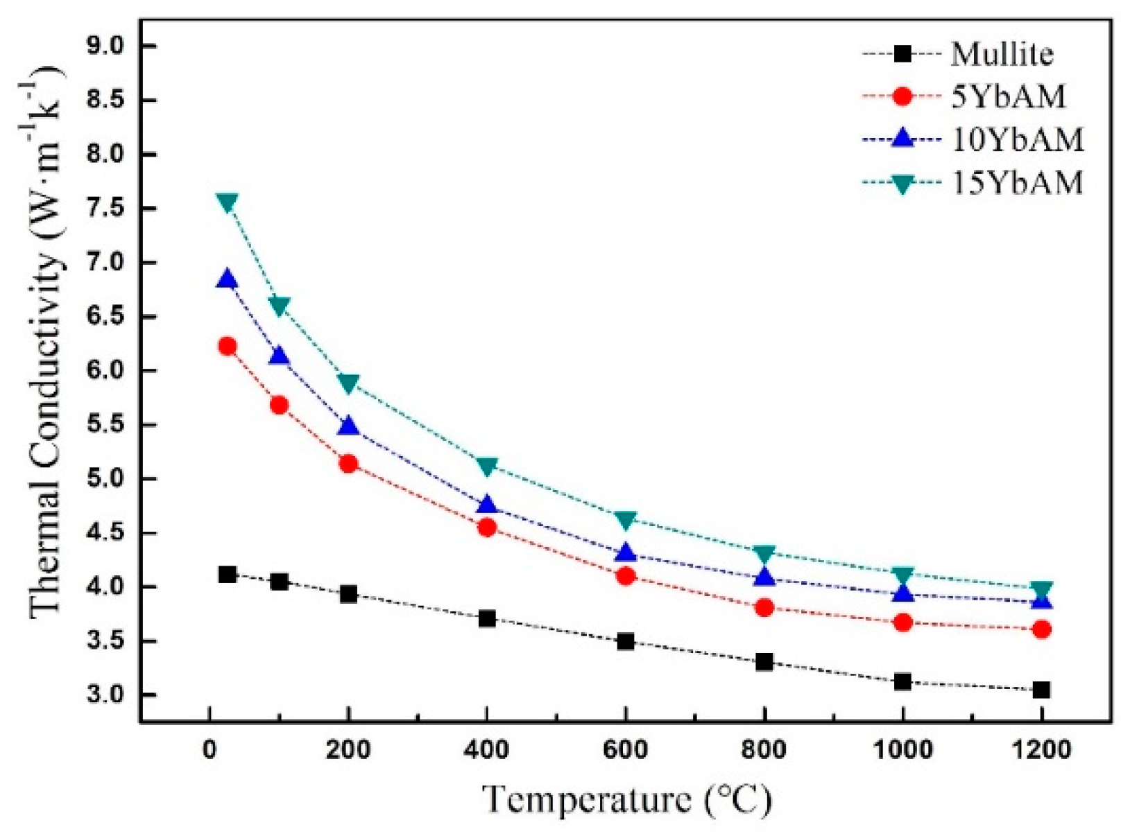
3.3. Thermal Conductivity
4. Conclusions
- With the addition of Yb2SiO5 to the mullite, Yb2Si2O7 and Al2O3 phases were formed in situ in the composites and distributed uniformly between the interspaces of mullite grains during the sintering of the composites at 1550 °C.
- Compared to the mullite sample, the Vickers hardness of the 5YbAM sample was increased by 30% to 9.0 ± 0.3 GPa. In particular, the fracture toughness of the 15YbAM was doubled to 2.7 ± 0.2 MPa·m1/2 due to the Al2O3 phase formed in situ.
- The samples with a higher content of Al2O3 phase revealed increased thermal conductivities. The thermal conductivity at 1200 °C increased from 3.6 W/(m·K) for the 5YbAM sample to 4.0 W/(m·K) for the 15YbAM sample.
Author Contributions
Funding
Conflicts of Interest
References
- Bansal, N.P.; Lamon, J. Ceramic Matrix Composites: Materials, Modeling and Technology; John Wiley & Sons: Hoboken, NJ, USA, 2014. [Google Scholar]
- More, K.L.; Tortorelli, P.F.; Ferber, M.K.; Walker, L.R.; Keiser, J.R.; Miriyala, N.; Brentnall, W.D.; Price, J.R. Exposure of ceramics and ceramic matrix composites in simulated and actual combustor environments. J. Eng. Gas Turbines Power 2000, 122, 212–218. [Google Scholar] [CrossRef]
- Feng, F.J.; Jang, B.K.; Park, J.Y.; Lee, K.S. Effect of Yb2SiO5 addition on the physical and mechanical properties of sintered mullite ceramic as an environmental barrier coating material. Ceram. Int. 2016, 42, 15203–15208. [Google Scholar] [CrossRef]
- Spitsberg, I.; Steibel, J. Thermal and environmental barrier coatings for SiC/SiC CMCs in aircraft engine applications. Int. J. Appl. Ceram. Technol. 2004, 1, 291–301. [Google Scholar] [CrossRef]
- Richards, B.T.; Wadley, H.N.G. Plasma spray deposition of tri-layer environmental barrier coatings. J. Eur. Ceram. Soc. 2014, 34, 3069–3083. [Google Scholar] [CrossRef]
- Chen, G.F.; Lee, K.N.; Tewari, S.N. Slurry development for the deposition of a GdSiO4+Mullite environmental barrier coating on silicon carbide. J. Ceram. Process. Res. 2007, 8, 142–144. [Google Scholar]
- Lee, K.N.; Fox, D.S.; Bansal, N.P. Rare earth silicate environmental barrier coatings for SiC/SiC composites and Si3N4 ceramics. J. Eur. Ceram. Soc. 2005, 25, 1705–1715. [Google Scholar] [CrossRef]
- Ueno, S.; Ohji, T.; Lin, H.T. Recession behavior of a silicon nitride with multi-layered environmental barrier coating system. Ceram. Int. 2007, 33, 859–862. [Google Scholar] [CrossRef]
- Fan, J.J.; Chang, Z.D.; Tao, C.H.; Wang, F.C. High temperature oxidation behavior of Si/mullite/Er2SiO5 environmental barrier coatings. J. Nonferrous Met. 2015, 25, 1553–1559. [Google Scholar]
- Fan, J.J.; He, S.M.; Chang, Z.D.; He, L.M.; Wang, F.C. Oxidation resistance and failure behaviour of environment barrier coatings for Cf/SiC ceramic. Mater. Res. Innov. 2014, 18, 1112–1114. [Google Scholar] [CrossRef]
- Liu, J.; Zhang, L.T.; Yang, J.; Cheng, L.F.; Wang, Y. Fabrication of SiCN-Sc2Si2O7 coatings on C/SiC composites at low temperatures. J. Eur. Ceram. Soc. 2012, 32, 705–710. [Google Scholar] [CrossRef]
- Richards, B.T.; Sehr, S.; de Franqueville, F.; Begley, M.R.; Wadley, H.N.G. Fracture mechanisms of ytterbium monosilicate environmental barrier coatings during cyclic thermal exposure. Acta Mater. 2016, 103, 448–460. [Google Scholar] [CrossRef]
- Wang, C.; Chen, M.; Wang, H.J.; Fan, X.Y.; Xia, H.Y. Fabrication and thermal shock resistance of multilayer gamma-Y2Si2O7 environmental barrier coating on porous Si3N4 ceramic. J. Eur. Ceram. Soc. 2016, 36, 689–695. [Google Scholar] [CrossRef]
- Liu, J.; Zhang, L.T.; Liu, Q.M.; Cheng, L.F.; Wang, Y.G. Structure design and fabrication of environmental barrier coatings for crack resistance. J. Eur. Ceram. Soc. 2014, 34, 2005–2012. [Google Scholar] [CrossRef]
- Han, J.; Wang, Y.F.; Liu, R.J.; Cao, Y.B. Thermal shock behavior of mixed ytterbium disilicates and ytterbium monosilicates composite environmental barrier coatings. Surf. Coat. Technol. 2018, 352, 348–353. [Google Scholar] [CrossRef]
- Richards, B.T.; Young, K.A.; de Francqueville, F.; Sehr, S.; Begley, M.R.; Wadley, H.N.G. Response of ytterbium disilicate-silicon environmental barrier coatings to thermal cycling in water vapor. Acta Mater. 2016, 106, 1–14. [Google Scholar] [CrossRef]
- Richards, B.T.; Begley, M.R.; Wadley, H.N.G. Mechanisms of Ytterbium Monosilicate/Mullite/Silicon Coating Failure During Thermal Cycling in Water Vapor. J. Am. Ceram. Soc. 2015, 98, 4066–4075. [Google Scholar] [CrossRef]
- Garrido, L.B.; Aglietti, E.F.; Martorello, L.; Camerucci, M.A.; Cavalieri, A.L. Hardness and fracture toughness of mullite-zirconia composites obtained by slip casting. Mater. Sci. Eng. A Struct. Mater. Prop. Microstruct. Process. 2006, 419, 290–296. [Google Scholar] [CrossRef]
- Glymond, D.; Vick, M.J.; Giuliani, F.; Vandeperre, L.J. High-temperature fracture toughness of mullite with monoclinic zirconia. J. Am. Ceram. Soc. 2017, 100, 1570–1577. [Google Scholar] [CrossRef]
- Huang, J.F.; Zeng, X.R.; Li, H.J.; Xiong, X.B.; Huang, M. Mullite-Al2O3-SiC oxidation protective coating for carbon/carbon composites. Carbon 2003, 41, 2825–2829. [Google Scholar]
- Liu, H.T.; Ma, Q.S.; Liu, W.D. Mechanical and oxidation resistance properties of 3D carbon fiber-reinforced mullite matrix composites prepared by sol-gel process. Ceram. Int. 2014, 40, 7203–7212. [Google Scholar] [CrossRef]
- Meng, B.; Peng, J.H. Effects of in situ synthesized mullite whiskers on flexural strength and fracture toughness of corundum-mullite refractory materials. Ceram. Int. 2013, 39, 1525–1531. [Google Scholar] [CrossRef]
- Lu, M.H.; Xiang, H.M.; Feng, Z.H.; Wang, X.Y.; Zhou, Y.C. Mechanical and Thermal Properties of Yb2SiO5: A Promising Material for T/EBCs Applications. J. Am. Ceram. Soc. 2016, 99, 1404–1411. [Google Scholar] [CrossRef]
- Stolzenburg, F.; Kenesei, P.; Almer, J.; Lee, K.N.; Johnson, M.T.; Faber, K.T. The influence of calcium-magnesium-aluminosilicate deposits on internal stresses in Yb2Si2O7 multilayer environmental barrier coatings. Acta Mater. 2016, 105, 189–198. [Google Scholar] [CrossRef]
- Ueno, S.; Ohji, T.; Lin, H.T. Recession behavior of Yb2Si2O7 phase under high speed steam jet at high temperatures. Corros. Sci. 2008, 50, 178–182. [Google Scholar] [CrossRef]
- Zhou, Y.C.; Zhao, C.; Wang, F.; Sun, Y.J.; Zheng, L.Y.; Wang, X.H. Theoretical Prediction and Experimental Investigation on the Thermal and Mechanical Properties of Bulk beta-Yb2Si2O7. J. Am. Ceram. Soc. 2013, 96, 3891–3900. [Google Scholar] [CrossRef]
- Murakami, Y.; Yamamoto, H. Phase Equilibria and Properties of Glasses in the Al2O3-Yb2O3-SiO2 System. J. Ceram. Soc. Jpn. 1993, 101, 1101–1106. [Google Scholar] [CrossRef]
- Ma, D.; Zhang, Q.C. Acoustic measurement of elastic constant for ceramic materials. J. Inorg. Mater. 1989, 4, 362–367. [Google Scholar]
- Chen, H.L.R.; Zhang, B.; Alvin, M.A.; Lin, Y. Ultrasonic Detection of Delamination and Material Characterization of Thermal Barrier Coatings. J. Therm. Spray Technol. 2012, 21, 1184–1194. [Google Scholar] [CrossRef]
- Klemens, P.G. Thermal conductivity of inhomogeneous media. High Temp. High Press. 1991, 23, 241–248. [Google Scholar]
- Anstis, G.R.; Chantikul, P.; Lawn, B.R.; Marshall, D.B. A Critical Evaluation of Indentation Techniques for Measuring Fracture Toughness: I, Direct Crack Measurements. J. Am. Ceram. Soc. 1981, 64, 533–538. [Google Scholar] [CrossRef]
- Liang, Y.; Che, Y.; Liu, X.; Li, N. Manual of Practical Inorganic Matter Thermodynamics; Northeastern University Press: Shenyang, China, 1993. [Google Scholar]
- Yang, J.; Wan, C.; Zhao, M.; Shahid, M.; Pan, W. Effective blocking of radiative thermal conductivity in La2Zr2O7/LaPO4 composites for high temperature thermal insulation applications. J. Eur. Ceram. Soc. 2016, 36, 3809–3814. [Google Scholar] [CrossRef]
- Schlichting, K.W.; Padture, N.P.; Klemens, P.G. Thermal conductivity of dense and porous yttria-stabilized zirconia. J. Mater. Sci. 2001, 36, 3003–3010. [Google Scholar] [CrossRef]
- Hou, P.; Basu, S.N.; Sarin, V.K. Structure and high-temperature stability of compositionally graded CVD mullite coatings. Int. J. Refract. Met. Hard Mater. 2001, 19, 467–477. [Google Scholar] [CrossRef]
- Auger, M.L.; Sarin, V.K. The development of CVD mullite coatings for high temperature corrosive applications. Surf. Coat. Technol. 1997, 94, 46–52. [Google Scholar] [CrossRef]
- Basu, S.N.; Hou, P.; Sarin, V.K. Formation of mullite coatings on silicon-based ceramics by chemical vapor deposition. Int. J. Refract. Met. Hard Mater. 1998, 16, 343–352. [Google Scholar] [CrossRef]
- Hildmann, B.; Ledbetter, H.; Kim, S.; Schneider, H. Structural control of elastic constants of mullite in comparison to sillimanite. J. Am. Ceram. Soc. 2001, 84, 2409–2414. [Google Scholar] [CrossRef]
- Morales–Rodríguez, A.; Gallardo–López, A.; Fernández–Serrano, A.; Poyato, R.; Muñoz, A. Improvement of Vickers hardness measurement on SWNT/Al2O3 composites consolidated by spark plasma sintering. J. Eur. Ceram. Soc. 2014, 34, 3801–3809. [Google Scholar] [CrossRef]
- Shinozaki, K.; Ishikura, Y.; Uematsu, K.; Mizutani, N.; Kato, M. Vickers micro-hardness of solid solution in the system Cr2O3-Al2O3. J. Mater. Sci. 1980, 15, 1314–1316. [Google Scholar] [CrossRef]
- Wong, C.P.; Bollampally, R.S. Thermal conductivity, elastic modulus, and coefficient of thermal expansion of polymer composites filled with ceramic particles for electronic packaging. J. Appl. Polym. Sci. 1999, 74, 3396–3403. [Google Scholar] [CrossRef]
- Chung, D.H. The voigt-reuss-hill (vrh) approximation and the elastic moduli of polycrystalline ZnO, TiO2 (rutile), and α-Al2O3. J. Appl. Phys. 1968, 39, 2777–2782. [Google Scholar] [CrossRef]
- Cape, J.A.; Lehman, G.W. Temperature and Finite Pulse-Time Effects in the Flash Method for Measuring Thermal Diffusivity. J. Appl. Phys. 1963, 34, 1909–1913. [Google Scholar] [CrossRef]
- Kingery, W.D.; Bowen, H.K.; Uhlmann, D.R. Introduction to Ceramics; Wiley: New York, NY, USA, 1976. [Google Scholar]
- Hildmann, B.; Hartmut, S. Thermal Conductivity of 2/1-Mullite Single Crystals. J. Am. Ceram. Soc. 2005, 88, 2879–2882. [Google Scholar] [CrossRef]
- Barea, R.; Belmonte, M.; Osendi, M.A.I.; Miranzo, P. Thermal conductivity of Al2O3/SiC platelet composites. J. Eur. Ceram. Soc. 2003, 23, 1773–1778. [Google Scholar] [CrossRef]








| Samples | Mullite | Yb2Si2O7 | Al2O3 | SiO2 |
|---|---|---|---|---|
| Mullite | 81.61 | - | 13.88 | 4.51 |
| 5YbAM | 72.33 | 6.77 | 20.91 | - |
| 10YbAM | 60.49 | 11.75 | 27.76 | - |
| 15YbAM | 52.29 | 14.96 | 34.74 | - |
| Samples | ρ (g/cm3) | Vt (m/s) | Vl (m/s) | Porosity (%) | E0 (GPa) | υ | GIC (J∙m−2) |
|---|---|---|---|---|---|---|---|
| Mullite | 2.91 | 4893 | 8505 | 8 | 224 | 0.25 | ~10 |
| 5YbAM | 3.21 | 5149 | 8846 | 4.5 | 249 | 0.24 | ~18 |
| 10YbAM | 3.24 | 5000 | 8625 | 8.3 | 261 | 0.25 | ~26 |
| 15YbAM | 3.22 | 4781 | 8349 | 11.1 | 254 | 0.26 | ~38 |
© 2020 by the authors. Licensee MDPI, Basel, Switzerland. This article is an open access article distributed under the terms and conditions of the Creative Commons Attribution (CC BY) license (http://creativecommons.org/licenses/by/4.0/).
Share and Cite
Xiao, J.; Chen, W.; Wei, L.; He, W.; Guo, H. Mechanical Properties and Thermal Conductivity of Ytterbium-Silicate-Mullite Composites. Materials 2020, 13, 671. https://doi.org/10.3390/ma13030671
Xiao J, Chen W, Wei L, He W, Guo H. Mechanical Properties and Thermal Conductivity of Ytterbium-Silicate-Mullite Composites. Materials. 2020; 13(3):671. https://doi.org/10.3390/ma13030671
Chicago/Turabian StyleXiao, Jie, Wenbo Chen, Liangliang Wei, Wenting He, and Hongbo Guo. 2020. "Mechanical Properties and Thermal Conductivity of Ytterbium-Silicate-Mullite Composites" Materials 13, no. 3: 671. https://doi.org/10.3390/ma13030671
APA StyleXiao, J., Chen, W., Wei, L., He, W., & Guo, H. (2020). Mechanical Properties and Thermal Conductivity of Ytterbium-Silicate-Mullite Composites. Materials, 13(3), 671. https://doi.org/10.3390/ma13030671

