Size Effect on Mechanical Properties and Deformation Behavior of Pure Copper Wires Considering Free Surface Grains
Abstract
1. Introduction
2. Experimental
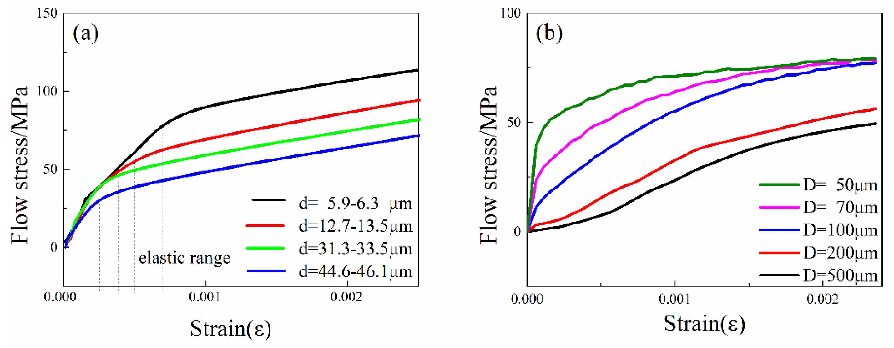
3. Results
4. Discussion
4.1. Classification of the Size Effects
4.2. Simulation of Flow Stress During Micro-Forming
4.2.1. In Single Crystal Model
4.2.2. In Polycrystal Model
4.2.3. Material Behavior Model in Micro-Scale
5. Conclusions
Author Contributions
Funding
Acknowledgments
Conflicts of Interest
References
- Amin, W.; Ali, M.A.; Vajragupta, N.; Hartmaier, A. Studying grain boundary strengthening by dislocation-based strain gradient crystal plasticity coupled with a multi-phase-field model. Materials 2019, 12, 2977. [Google Scholar] [CrossRef] [PubMed]
- Armstrong, R.W. On size effects in polycrystal plasticity. J. Mech. Phys. Solids 1961, 9, 196–199. [Google Scholar] [CrossRef]
- Ashby, M.F. The deformation of plastically non-homogeneous materials. Philos. Mag. 1970, 21, 399–424. [Google Scholar] [CrossRef]
- Balint, D.S.; Deshpande, V.S.; Needleman, A.; Van der Giessen, E. Discrete dislocation plasticity analysis of the grain size dependence of the flow strength of polycrystals. Int. J. Plast. 2008, 24, 2149–2172. [Google Scholar] [CrossRef]
- Kiener, D.; Fritz, R.; Alfreider, M.; Leitner, A. Rate limiting deformation mechanisms of Bcc metals in confined volumes. Acta Mater. 2019, 166, 687–701. [Google Scholar] [CrossRef]
- Dillamore, I.L. Plasticity of crystals with special reference to metals. Phys. Bull. 1969, 20, 107. [Google Scholar] [CrossRef]
- Engel, U.; Eckstein, R. Microforming—From basic research to its realization. J. Mater. Process. Tech. 2002, 125, 35–44. [Google Scholar] [CrossRef]
- Espinosa, H.D.; Prorok, B.C.; Peng, B. Plasticity size effects in free-standing submicron polycrystalline FCC films subjected to pure tension. J. Mech. Phys. Solids 2004, 52, 667–689. [Google Scholar] [CrossRef]
- Gau, J.T.; Principe, C.; Wang, J. An experimental study on size effects on flow stress and formability of aluminm and brass for microforming. J. Mater. Process. Tech. 2007, 184, 42–46. [Google Scholar] [CrossRef]
- Geers, M.G.D.; Brekelmans, W.A.M.; Janssen, P.J.M. Size effects in miniaturized polycrystalline FCC samples: Strengthening versus weakening. Int. J. Solids Struct. 2006, 43, 7304–7321. [Google Scholar] [CrossRef]
- Geiger, M.; Vollertsen, F.; Kals, R. Fundamentals on the manufacturing of sheet metal microparts. CIRP Ann. Manuf. Technol. 1996, 45, 277–282. [Google Scholar] [CrossRef]
- Hall, E.O. The deformation and ageing of mild steel: III discussion of results. Proc. Phys. Soc. Sec. B 1951, 64, 747–753. [Google Scholar] [CrossRef]
- Jian, H.G.; Du, M.X.; Jiang, F.; Yin, Z.M. Fatigue characteristic of aluminum alloy plates with different thickness. Appl. Mech. Mater. 2013, 477, 1284–1287. [Google Scholar] [CrossRef]
- Kals, T.A.; Eckstein, R. Miniaturization in sheet metal working. J. Mater. Process. Tech. 2000, 103, 95–101. [Google Scholar] [CrossRef]
- Keller, C.; Hug, E.; Feaugas, X. Microstructural size effects on mechanical properties of high purity nickel. Int. J. Plasticity 2011, 27, 635–654. [Google Scholar] [CrossRef]
- Kim, G.Y.; Koc, M.; Ni, J. Modeling of the size effects on the behavior of metals in microscale deformation processes. J. Manuf. Sci. Eng. 2007, 129, 470–476. [Google Scholar] [CrossRef]
- Lai, X.; Peng, L.; Hu, P.; Lan, S.; Ni, J. Material behavior modelling in micro/meso-scale forming process with considering size/scale effects. Comp. Mater. Sci. 2008, 43, 1003–1009. [Google Scholar] [CrossRef]
- Li, H.; Dong, X.; Shen, Y.; Diehl, A.; Hagenah, H.; Engel, U.; Merklein, M. Size effect on springback behavior due to plastic strain gradient hardening in microbending process of pure aluminum foils. Mater. Sci. Eng. A 2010, 527, 4497–4504. [Google Scholar] [CrossRef]
- Li, H.Z.; Dong, X.H.; Shen, Y.; Zhou, R.; Diehl, A.; Hagenah, H.; Engel, U.; Merklein, M.; Cao, J. Analysis of microbending of CuZn37 brass foils based on strain gradient hardening models. J. Mater. Process. Tech. 2012, 212, 653–661. [Google Scholar] [CrossRef]
- Li, Y.; Song, A.; Qiu, W.; Gong, S.; Wu, D.; Xiao, Z.; Jiang, Y.; Zhu, Z. Electrical characterization of flexible CNT/polydimethylsiloxane composite films with finite thickness. Carbon 2019, 154, 439–447. [Google Scholar] [CrossRef]
- Liu, W.; Liu, Y.; Cheng, Y.; Chen, L.; Duan, H. Unified model for size-dependent to size-independent transition in yield strength of crystalline metallic materials. Phys. Rev. Lett. 2020, 124. [Google Scholar] [CrossRef] [PubMed]
- Mayeur, J.R.; Mcdowell, D.L. Bending of single crystal thin films modeled with micropolar crystal plasticity. Int. J. Eng. Sci. 2011, 49, 1357–1366. [Google Scholar] [CrossRef]
- Mecking, H.; Kocks, U.F. Kinetics of flow and strain-hardening. Acta Metall. 1981, 29, 1865–1875. [Google Scholar] [CrossRef]
- Michel, J.F.; Picart, P. Size effects on the constitutive behaviour for brass in sheet metal forming. J. Mater. Process. Tech. 2003, 141, 439–446. [Google Scholar] [CrossRef]
- Moghaddam, M.G.; Achuthan, A.; Bednarcyk, B.A.; Arnold, S.M.; Pineda, E.J. Grain size-dependent crystal plasticity constitutive model for polycrystal materials. Mater. Sci. Eng. A 2017, 703, 521–532. [Google Scholar] [CrossRef] [PubMed]
- Nix, W.D.; Gao, H. Indentation size effects in crystalline materials: A law for strain gradient plasticity. J. Mech. Phys. Solids 1998, 46, 411–425. [Google Scholar] [CrossRef]
- Peng, L.; Lai, X.; Lee, H.J.; Song, J.H.; Ni, J. Analysis of micro/mesoscale sheet forming process with uniform size dependent material constitutive model. Mater. Sci. Eng. A 2009, 526, 93–99. [Google Scholar] [CrossRef]
- Stölken, J.S.; Evans, A.G. A Microbend test method for measuring the plasticity length scale. Acta Metall. 1998, 46, 5109–5115. [Google Scholar] [CrossRef]
- Telesman, J.; Ghosn, L.J. The unusual near-threshold FCG behavior of a single crystal superalloy and the resolved shear stress as the crack driving force. Eng. Fract. Mech. 1989, 34, 1183–1196. [Google Scholar] [CrossRef]
- Velayarce, J.R.; Zamanzade, M.; Abad, O.T.; Motz, C. Influence of single and multiple slip conditions and temperature on the size effect in micro bending. Acta Mater. 2018, 154. [Google Scholar] [CrossRef]
- Wang, Y.; Fu, R.; Lei, J.; Li, Y.; Sang, D. Grain refinement and nanostructure formation in pure copper during cryogenic friction stir processing. Mater. Sci. Eng. A 2017, 703, 470–476. [Google Scholar] [CrossRef]
- Xiao, X.; Song, D.; Xue, J.; Chu, H.; Duan, H. A size-dependent tensorial plasticity model for FCC single crystal with irradiation. Int. J. Plast. 2015, 65, 152–167. [Google Scholar] [CrossRef]
- Yu, H.; Lu, C.; Tieu, A.K.; Li, H.; Godbole, A.; Kong, C. Nanoporous Al sandwich foils using size effect of Al layer thickness during Cu/Al/Cu laminate rolling. Philos. Mag. 2018, 98, 1–13. [Google Scholar] [CrossRef]
- Yuan, J.; Gong, L.; Zhang, W.; Zhang, B.; Wei, H.; Xiao, X.; Wang, H.; Yang, B. Work softening behavior of Cu–Cr–Ti–Si alloy during cold deformation. J. Mater. Res. Technol. 2019, 8. [Google Scholar] [CrossRef]
- Zajkani, A.; Darvishvand, A. Nonlinear plastic buckling analysis of micro–scale thin plates established on higher order mechanism-based strain gradient plasticity framework. Eur. J. Mech. A Solids 2019, 77. [Google Scholar] [CrossRef]
- Zhai, T.; Martin, J.W.; Briggs, G.A.D. Fatigue damage at room temperature in aluminium single crystals--III lattice rotation. Acta Mater. 1996, 44, 3477–3488. [Google Scholar] [CrossRef]
- Idrissi, H.; Ghidelli, M.; Armand, B.; Turner, S.; Pardoen, T. Atomic-scale viscoplasticity mechanisms revealed in high ductility metallic glass films. Sci. Rep. 2019, 9, 1–11. [Google Scholar] [CrossRef]
- Kuzmin, O.V.; Chen, Y.T.; Hosson, C.Q. Intrinsic and extrinsic size effects in the deformation of metallic glass nanopillars. Acta Mater. 2012, 60, 889–898. [Google Scholar] [CrossRef]
- Ruitang, L.; Jinyun, L. Metal Material Mechanics Performance; Harbin Institute of Technology: Harbin, China, 2015; p. 26. ISBN 978-7-5603-4985-5. [Google Scholar]
Publisher’s Note: MDPI stays neutral with regard to jurisdictional claims in published maps and institutional affiliations. |







| Annealing Temperature/°C | Wire Diameter, D/μm | |||||
|---|---|---|---|---|---|---|
| 50 μm | 70 μm | 100 μm | 200 μm | 300 μm | 500 μm | |
| 400 | 5.4 ± 1.9 | 5.0 ± 1.4 | 4.6 ± 1.3 | 6.4 ± 2.1 | 7.1 ± 2.2 | 7.3 ± 2.4 |
| 500 | 10.1 ± 2.7 | 10.6 ± 2.9 | 12.9± 3.1 | 13.2 ± 3.3 | 15.8 ± 3.3 | 16.7 ± 3.9 |
| 600 | 19.7 ± 3.7 | 20.4 ± 3.2 | 39.1 ± 5.5 | 32.4 ± 3.7 | 35.1 ± 4.5 | 33.7 ± 4.0 |
| 650 | 43.1 ± 6.8 | 46.4 ± 7.5 | 50.8 ± 7.2 | 46.1 ± 6.9 | 52.3 ± 7.3 | 55.0 ± 7.2 |
| D/μm | 50 | 70 | 100 | 200 | 300 | 500 |
|---|---|---|---|---|---|---|
| K/MPa | 725.6 | 757.5 | 765.1 | 788.4 | 753.7 | 707.0 |
| n | 0.506 | 0.532 | 0.541 | 0.534 | 0.499 | 0.500 |
© 2020 by the authors. Licensee MDPI, Basel, Switzerland. This article is an open access article distributed under the terms and conditions of the Creative Commons Attribution (CC BY) license (http://creativecommons.org/licenses/by/4.0/).
Share and Cite
Hou, Y.; Mi, X.; Xie, H.; Zhang, W.; Huang, G.; Peng, L.; Feng, X.; Yang, Z. Size Effect on Mechanical Properties and Deformation Behavior of Pure Copper Wires Considering Free Surface Grains. Materials 2020, 13, 4563. https://doi.org/10.3390/ma13204563
Hou Y, Mi X, Xie H, Zhang W, Huang G, Peng L, Feng X, Yang Z. Size Effect on Mechanical Properties and Deformation Behavior of Pure Copper Wires Considering Free Surface Grains. Materials. 2020; 13(20):4563. https://doi.org/10.3390/ma13204563
Chicago/Turabian StyleHou, Yu, Xujun Mi, Haofeng Xie, Wenjing Zhang, Guojie Huang, Lijun Peng, Xue Feng, and Zhen Yang. 2020. "Size Effect on Mechanical Properties and Deformation Behavior of Pure Copper Wires Considering Free Surface Grains" Materials 13, no. 20: 4563. https://doi.org/10.3390/ma13204563
APA StyleHou, Y., Mi, X., Xie, H., Zhang, W., Huang, G., Peng, L., Feng, X., & Yang, Z. (2020). Size Effect on Mechanical Properties and Deformation Behavior of Pure Copper Wires Considering Free Surface Grains. Materials, 13(20), 4563. https://doi.org/10.3390/ma13204563

