Reactivity of Low-Grade Chromite Concentrates towards Chlorinating Atmospheres
Abstract
1. Introduction
2. Materials and Methods
3. Results
3.1. Physico-Chemical Characterization of Chromite Concentrate Samples
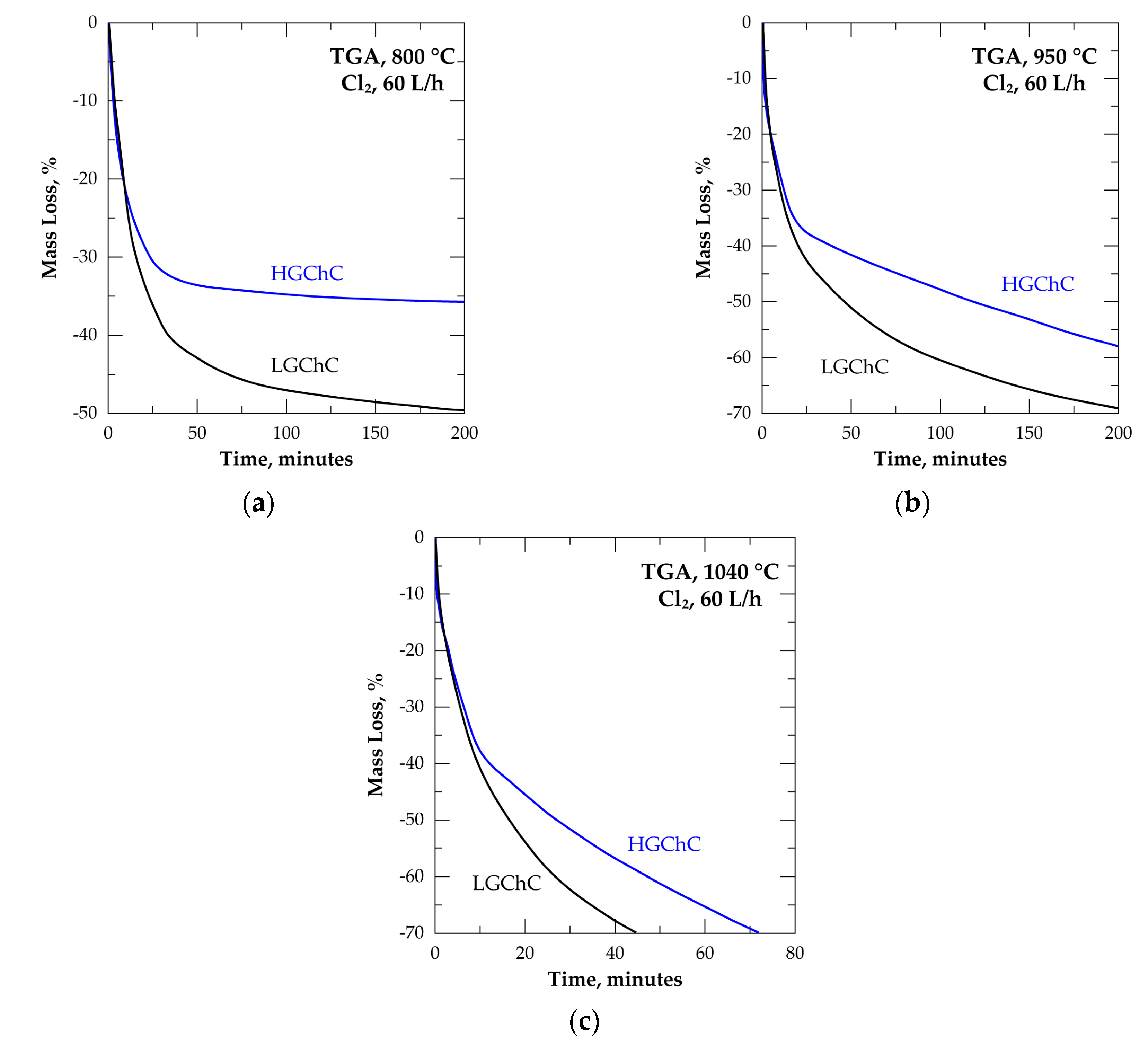
3.2. Behavior of Chromite under Chlorine Atmosphere
| ΔrG° (900 °C), kJ/mol Cl2 | ||
| 2/9 Fe3O4(s) + Cl2(g) → 2/3 FeCl3(g) + 4/9 O2(g) | 11.54 | (1) |
| 2/9 FeCr2O4(s) + Cl2(g) → 2/9 FeCl3(g) + 4/9 CrCl3(s) + 4/9 O2(g) | 54.03 | (2) |
| 1/4 MgCr2O4(s) + Cl2(g) → 1/4 MgCl2(l) + 1/2 CrCl3(s) + 1/2 O2(g) | 71.09 | (3) |
| 1/4 MgAl2O4(s) + Cl2(g) → 1/4 MgCl2(l) + 1/2 AlCl3(g) + 1/2 O2(g) | 78.47 | (4) |
| 2/3 FeO(s) + Cl2(g) → 2/3 FeCl3(g) + 1/3 O2(g) | −27.93 | (5) |
| 1/3 Fe2O3(s) + Cl2(g) → 2/3 FeCl3(g) + 1/2 O2(g) | 19.53 | (6) |
| 1/3 Cr2O3(s) + Cl2(g) → 2/3 CrCl3(s) + 1/2 O2(g) | 80.33 | (7) |
| MgO(s) + Cl2(g) → MgCl2(l) + 1/2 O2(g) | 9.57 | (8) |
| 1/3 Al2O3(s) + Cl2(g) → 2/3 AlCl3(g) + 1/2 O2(g) | 85.93 | (9) |
3.3. Reactions of Chromite with Chlorine in Presence of Oxygen
| ΔrG° (900 °C), kJ/mol Cl2 | ||
| 1/2 FeCr2O4(s) + Cl2(g) + 3/8 O2(g) → 1/4 Fe2O3(s) + CrO2Cl2(g) | 5.89 | (12) |
| 1/2 MgCr2O4(s) + Cl2(g) + 1/4 O2(g) → 1/2 MgO(s) + CrO2Cl2(g) | 36.37 | (13) |
| 1/2 Cr2O3(s) + Cl2(g) + 1/4 O2(g) → CrO2Cl2(g) | 19.47 | (14) |
- the first compounds to be reacted are iron oxides of Fe3O4, the value of Ea obtained for Fe2O3 reaction are close to that obtained for the beginning of the chromite reaction with Cl2+O2,
- the reaction of chromite with Cl2+O2, for 0.15 ≤ α ≤ 0.50, is controlled by the reaction rate of Cr2O3 (contained in FeCr2O4) being the slowest step of the overall reaction rate. The lower value of Ea seems another argument for Cr2O3 impact on the overall reaction of chromite,
- the rest of the chromite reaction with Cl2+O2 (α > 0.50) is affected by the reaction of MgO (MgCr2O4) which is characterized by a low reaction rate and a high Ea value.
4. Conclusions
Author Contributions
Funding
Conflicts of Interest
References
- Critical Raw Materials—European Commission—Europa. Available online: https://ec.europa.eu/growth/sectors/raw-materials/specific-interest/critical_en (accessed on 29 March 2019).
- Kanari, N. Extraction des Métaux de Valeur des Concentrés de Chalcopyrite et de Chromite par Chloruration. Ph.D. Thesis, Institut National Polytechnique de Lorraine, Vandœuvre-lès-Nancy, France, 7 November 1995; p. 209. [Google Scholar]
- Kanari, N.; Gaballah, I.; Allain, E. A study of chromite carbochlorination kinetics. Metall. Mat. Trans. B 1999, 30, 577–587. [Google Scholar] [CrossRef]
- Chromium Chapter—Handbook of Chemical Economics, Inorganic. Available online: https://pubs.usgs.gov/of/2001/0381/report.pdf (accessed on 27 July 2020).
- Shen, S.-B.; Bergeron, M.; Richer-Laflèche, M. Effect of sodium chloride on the selective removal of iron from chromite by carbochlorination. Int. J. Miner. Process. 2009, 91, 74–80. [Google Scholar] [CrossRef]
- Stainless Steel in Figures. 2019. Available online: https://www.worldstainless.org/Files/issf/non-image-files/PDF/ISSF_Stainless_Steel_in_Figures_2019_English_public_version.pdf (accessed on 28 July 2020).
- Rifai, M.; Yuasa, M.; Miyamoto, H. Enhanced corrosion resistance of ultrafine-grained Fe-Cr alloys with subcritical Cr contents for passivity. Metals 2018, 8, 149. [Google Scholar] [CrossRef]
- Chen, X.; Jiang, F.; Jiang, J.; Xu, P.; Tong, M.; Tang, Z. Precipitation, recrystallization, and evolution of annealing twins in a Cu-Cr-Zr alloy. Metals 2018, 8, 227. [Google Scholar] [CrossRef]
- Tsarkov, A.A.; Zadorozhnyy, V.Y.; Solonin, A.N.; Louzguine-Luzgin, D.V. Effect of aluminum, iron and chromium alloying on the structure and mechanical properties of (Ti-Ni)-(Cu-Zr) crystalline/amorphous composite materials. Metals 2020, 10, 874. [Google Scholar] [CrossRef]
- Di Schino, A.; Gaggiotti, M.; Testani, C. Heat Treatment Effect on Microstructure Evolution in a 7% Cr Steel for Forging. Metals 2020, 10, 808. [Google Scholar] [CrossRef]
- Mishnev, R.; Dudova, N.; Kaibyshev, R.; Belyakov, A. On the fracture behavior of a creep resistant 10% Cr steel with high boron and low nitrogen contents at low temperatures. Materials 2020, 13, 3. [Google Scholar] [CrossRef] [PubMed]
- Hao, M.; Sun, B.; Wang, H. High-temperature oxidation behavior of Fe–1Cr–0.2Si Steel. Materials 2020, 13, 509. [Google Scholar] [CrossRef]
- Daniel, J.; Grossman, J.; Houdková, Š.; Bystrianský, M. Impact wear of the protective Cr3C2-based HVOF-sprayed coatings. Materials 2020, 13, 2132. [Google Scholar] [CrossRef]
- Nafziger, R.H. A review of the deposits and beneficiation of the low-grade chromite. J. S. Afr. Inst. Min. Metall. 1982, 8, 205–225. [Google Scholar]
- Zhao, Q.; Liu, C.J.; Zhang, B.; Jiang, M.; Qi, J.; Saxén, H.; Zevenhoven, R. Study on extraction of iron from chromite. Steel Res. Int. 2015, 86, 1541–1547. [Google Scholar] [CrossRef]
- Hussein, M.K.; El-Barawi, K. Study of the chlorination and beneficiation of Egyptian chromite ores. Trans.-Inst. Min. Metall. Sect. C 1971, 80, C7–C11. [Google Scholar]
- Hussein, M.K.; Winterhager, H.; Kammel, R.; El-Barawi, K. Chlorination behaviour of the main oxide components chromite ores. Trans.-Inst. Min. Metall. Sect. C 1974, 83, C154–C160. [Google Scholar]
- Robinson, M.; Crosby, A.D. Production of Metal Chlorides. Europe Patent Application EP, No 0 096 241, 21 December 1983. [Google Scholar]
- Martirosyan, V.A. Thermodynamics of the chlorination of individual oxides in chromium ores with hydrogen chloride. Arm. Khim. Zh. 1978, 31, 93–99. [Google Scholar]
- Martirosyan, V.A. Thermodynamics of the chlorination of complex oxides in chromium ores with hydrogen chloride. Arm. Khim. Zh. 1978, 31, 100–106. [Google Scholar]
- Vil’nyanskii, Y.E.; Martirossyan, V.A. Kinetics of selective chlorination of chromite ores by hydrogen chloride. Arm. Khim. Zh. 1973, 26, 881–888. [Google Scholar]
- Kanari, N.; Gaballah, I.; Allain, E. Use of chlorination for chromite upgrading. Thermochim. Acta 2000, 351, 109–117. [Google Scholar] [CrossRef]
- Kanari, N.; Gaballah, I.; Allain, E. Kinetics of oxychlorination of chromite Part, I. Effect of temperature. Thermochim. Acta 2001, 371, 143–154. [Google Scholar] [CrossRef]
- Kanari, N.; Gaballah, I.; Allain, E. Kinetics of oxychlorination of chromite part II. Effect of reactive gases. Thermochim. Acta 2001, 371, 75–86. [Google Scholar] [CrossRef]
- Allain, E. Recyclage des Pentoxydes de Tantale et Niobium Contenus dans les Scories de Four à étain par un Traitement Hydro-Pyrométallurgique. Ph.D. Thesis, Université de Nancy I, Nancy, France, June 1993; p. 136. [Google Scholar]
- Kanari, N.; Allain, E.; Shallari, S.; Diot, F.; Diliberto, S.; Patisson, F.; Yvon, J. Thermochemical route for extraction and recycling of critical, strategic and high value elements from by-products and end-of-life materials, Part I: Treatment of a copper by-product in air atmosphere. Materials 2019, 12, 1625. [Google Scholar] [CrossRef]
- Roine, A. Outokumpu HSC Chemistry for Windows, Version 3.0; Outokumpu Research: Pori, Finland, 1997. [Google Scholar]
- Anonymous. Handbook of Chemistry and Physics, 66th ed.; Weast, R.C., Astle, M.J., Beyer, W.H., Eds.; CRC Press: Boca Raton, FL, USA, 1986; pp. D193–D194. [Google Scholar]
- Pascal, P. Nouveau Traité de Chimie Minérale; Tome XIV, Masson et Compagnie: Paris, France, 1959; p. 135. [Google Scholar]
- Fedunik-Hofman, L.; Bayon, A.; Donne, S.W. Kinetics of solid-gas reactions and their application to carbonate looping systems. Energies 2019, 12, 2981. [Google Scholar] [CrossRef]
- Gaballah, I.; Ivanaj, S.; Kanari, N. Kinetics of chlorination and oxychlorination of chromium (III) oxide. Metall. Mat. Trans. A 1998, 29, 1299–1308. [Google Scholar] [CrossRef][Green Version]
- Kanari, N.; Allain, E.; Gaballah, I. Reactions of wüstite and hematite with different chlorinating agents. Thermochim. Acta 1999, 335, 79–86. [Google Scholar] [CrossRef][Green Version]
- Kanari, N.; Mishra, D.; Filippov, L.; Diot, F.; Mochón, J.; Allain, E. Kinetics of hematite chlorination with Cl2 and Cl2+O2: Part, I. Chlorination with Cl2. Thermochim. Acta 2010, 497, 52–59. [Google Scholar] [CrossRef]
- Kanari, N.; Mishra, D.; Filippov, L.; Diot, F.; Mochón, J.; Allain, E. Kinetics of hematite chlorination with Cl2 and Cl2+O2. Part II. Chlorination with Cl2+O2. Thermochim. Acta 2010, 506, 34–40. [Google Scholar] [CrossRef]
- Saeki, Y.; Matsuzaki, R.; Morita, H. Chlorination of chromic oxide. Kogyo Kagaku Zasshi 1971, 74, 344–348. [Google Scholar] [CrossRef][Green Version]
- Sano, N.; Belton, G.R. The thermodynamics of volatilization of chromic oxide: Part II. The species CrO2Cl2. Met. Trans. 1974, 5, 2151–2154. [Google Scholar] [CrossRef]
- Kuffa, T.; Ponevsky, N.; Skrobian, M. The chlorination kinetics of the chromic oxide. Thermochim. Acta 1985, 92, 201–204. [Google Scholar] [CrossRef]
- Jacobson, N.S.; McNallan, M.J.; Lee, Y.Y. Mass spectrometric observations of metal oxychlorides produced by oxidation-chlorination reactions. Metall. Trans. A 1989, 20, 1566–1568. [Google Scholar] [CrossRef]
- Chen, J.C.; Wey, M.Y.; Chiang, B.C.; Hsieh, S.M. The simulation of hexavalent chromium formation under various incineration conditions. Chemosphere 1998, 36, 1553–1564. [Google Scholar] [CrossRef]
- Amrute, A.P.; Mondelli, C.; Pérez-Ramírez, J. Kinetic aspects and deactivation behaviour of chromia-based catalysts in hydrogen chloride oxidation. Catal. Sci. Technol. 2012, 2, 2057–2065. [Google Scholar] [CrossRef]
- Kanari, N.; Evrard, O.; Neveux, N.; Ninane, L. Recycling ferrous sulfate via super-oxidant synthesis. JOM 2001, 53, 32–33. [Google Scholar] [CrossRef]
- Kanari, N.; Ostrosi, E.; Ninane, L.; Neveux, N.; Evrard, O. Synthesizing alkali ferrates using a waste as a raw material. JOM 2005, 57, 39–42. [Google Scholar] [CrossRef]
- Ninane, L.; Kanari, N.; Criado, C.; Jeannot, C.; Evrard, O.; Neveux, N. New processes for alkali ferrate synthesis. In Ferrates: Synthesis, Properties and Applications in Water and Wastewater Treatment; Sharma, V.K., Ed.; American Chemical Society: Washington, DC, USA, 2008; pp. 102–111. [Google Scholar]
- Kanari, N.; Filippov, L.; Diot, F.; Mochón, J.; Ruiz-Bustinza, I.; Allain, E.; Yvon, J. Synthesis of potassium ferrate using residual ferrous sulfate as iron bearing material. J. Phys. Conf. Ser. 2013, 416, 012013. [Google Scholar] [CrossRef]
- Kanari, N.; Filippova, I.; Diot, F.; Mochón, J.; Ruiz-Bustinza, I.; Allain, E.; Yvon, J. Utilization of a waste from titanium oxide industry for the synthesis of sodium ferrate by gas-solid reactions. Thermochim. Acta 2014, 575, 219–225. [Google Scholar] [CrossRef]
- Kanari, N.; Ostrosi, E.; Diliberto, C.; Filippova, I.; Shallari, S.; Allain, E.; Diot, F.; Patisson, F.; Yvon, J. Green process for industrial waste transformation into super-oxidizing materials named alkali metal ferrates (VI). Materials 2019, 12, 1977. [Google Scholar] [CrossRef] [PubMed]


















© 2020 by the authors. Licensee MDPI, Basel, Switzerland. This article is an open access article distributed under the terms and conditions of the Creative Commons Attribution (CC BY) license (http://creativecommons.org/licenses/by/4.0/).
Share and Cite
Kanari, N.; Allain, E.; Filippov, L.; Shallari, S.; Diot, F.; Patisson, F. Reactivity of Low-Grade Chromite Concentrates towards Chlorinating Atmospheres. Materials 2020, 13, 4470. https://doi.org/10.3390/ma13204470
Kanari N, Allain E, Filippov L, Shallari S, Diot F, Patisson F. Reactivity of Low-Grade Chromite Concentrates towards Chlorinating Atmospheres. Materials. 2020; 13(20):4470. https://doi.org/10.3390/ma13204470
Chicago/Turabian StyleKanari, Ndue, Eric Allain, Lev Filippov, Seit Shallari, Frédéric Diot, and Fabrice Patisson. 2020. "Reactivity of Low-Grade Chromite Concentrates towards Chlorinating Atmospheres" Materials 13, no. 20: 4470. https://doi.org/10.3390/ma13204470
APA StyleKanari, N., Allain, E., Filippov, L., Shallari, S., Diot, F., & Patisson, F. (2020). Reactivity of Low-Grade Chromite Concentrates towards Chlorinating Atmospheres. Materials, 13(20), 4470. https://doi.org/10.3390/ma13204470

