Modeling Tensile Damage and Fracture Behavior of Fiber-Reinforced Ceramic-Matrix Minicomposites
Abstract
1. Introduction
2. Theoretical Analysis
- (1)
- Domain I, the linear domain.
- (2)
- Domain II, the nonlinear domain due to microdamages of matrix fragmentation.
- (3)
- Domain III, the secondary linear and final fracture domain due to gradual fibers fracture and pullout.
2.1. Domain I
2.2. Domain II
2.3. Domain III
3. Experimental Comparison
3.1. SiC/SiC Minicomposite
- (1)
- Domain I, the linear domain. The domain starts from the initial loading to the first matrix fragmentation stress σmc = 200 MPa, and the first fragmentation density of the matrix is approximately λmc = 0.02/mm, and the corresponding composite tensile strain is approximately εc = 0.06%.
- (2)
- Domain II, the nonlinear region due to matrix fragmentation. The domain starts from σmc = 200 MPa to the saturation matrix fragmentation stress σsat = 560 MPa, and the saturation fragmentation density of the matrix is approximately λsat = 1.76/mm, and the composite tensile strain is approximately εc = 0.34%.
- (3)
- Domain III, the secondary linear and final fracture domain. The domain starts from σsat = 560 MPa to composite tensile strength σuts = 644 MPa.
- (1)
- Domain I, the linear domain. The domain starts from initial loading to σmc = 200 MPa with λmc = 0.05/mm and εc = 0.08%.
- (2)
- Domain II, the nonlinear region due to matrix fragmentation. The domain starts from σmc = 200 MPa to σsat = 470 MPa with λsat = 1.49/mm and εc = 0.3%.
- (3)
- Domain III, the secondary linear and final fracture region. The domain starts from σsat = 470 MPa to σuts = 488 MPa.
- (1)
- Domain I, the linear region. The domain starts from initial loading to σmc = 150 MPa with λmc = 0.01/mm and εc = 0.05%.
- (2)
- Domain II, the nonlinear region due to matrix fragmentation. The domain starts from σmc = 150 MPa to σsat = 350 MPa with λmc = 1.49/mm and εc = 0.198%.
- (3)
- Domain III, the secondary linear and final fracture region. The domain starts from σsat = 350 MPa to σuts = 498 MPa.
- (1)
- Domain I, the linear region. The domain starts from initial loading to σmc = 35 MPa with λmc = 0.04/mm and εc = 0.013%.
- (2)
- Domain II, the nonlinear region. The domain starts from the σmc = 35 MPa to σsat = 340 MPa with λsat = 1.27/mm and εc = 0.6%.
- (3)
- Domain III, the secondary linear and final fracture domain. The domain starts from σsat = 340 MPa to σuts = 399 MPa.
- (1)
- Domain I, the linear region. The domain starts from initial loading to σmc = 50 MPa with λmc = 0.02/mm and εc = 0.012%.
- (2)
- Domain II, the nonlinear region due to matrix fragmentation. The domain starts from σmc = 50 MPa to σsat = 210 MPa with λsat = 0.28/mm and εc = 0.13%.
- (3)
- Domain III, the secondary linear and final fracture region. The domain starts from σsat = 210 MPa to σuts = 362 MPa.
- (1)
- Domain I, the linear region. The domain starts from initial loading to σmc = 50 MPa with λmc = 0.005/mm and εc = 0.017%.
- (2)
- Domain II, the nonlinear region. The domain starts from σmc = 50 MPa to σsat = 220 MPa with λsat = 0.58/mm and εc = 0.39%.
- (3)
- Domain III, the secondary linear and final fracture domain. The domain starts from σsat = 220 MPa to σuts = 246 MPa.
3.2. C/SiC Minicomposite
- (1)
- Domain I, the linear region. The domain starts from initial loading to σmc = 130 MPa.
- (2)
- Domain II, the nonlinear region. The domain starts from σmc = 130 MPa to σsat = 250 MPa.
- (3)
- Domain III, the secondary linear and final fracture domain. The domain starts from σsat = 250 MPa to σuts = 348 MPa. The interface debonding fraction increases to 2ld/lc = 0.78 at tensile strength σuts = 348 MPa.
4. Discussion
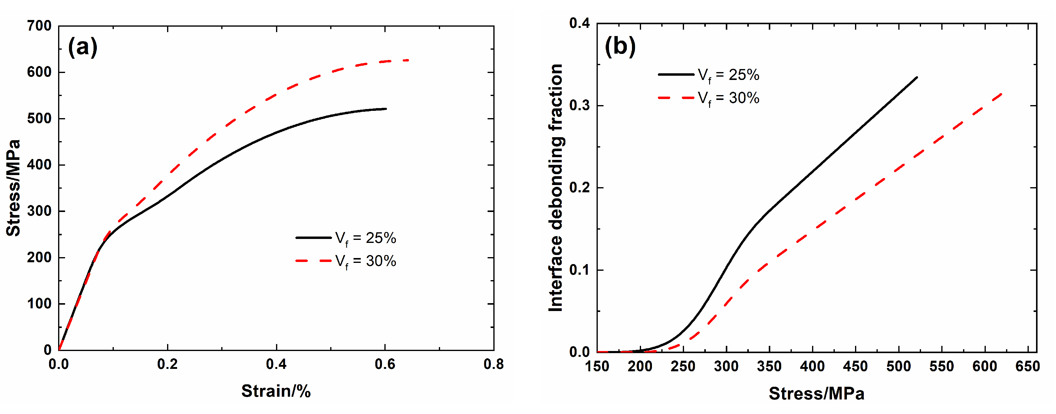
4.1. Effect of Fiber Volume
4.2. Effect of Interface Properties
5. Conclusions
- (1)
- Predicted tensile nonlinear curves and matrix fragmentation density evolution curves agree with experimental data, and the matrix fragmentation approaches saturation before tensile fracture, and the interface partial debonding remains till tensile fracture.
- (2)
- Microdamage parameters of first matrix fragmentation stress, saturation matrix fragmentation stress and density, composite tensile strength and failure strain are obtained from tensile stress–strain curves and can be used to characterize tensile nonlinear behavior of mini-CMCs.
- (3)
- At higher fiber volume, the debonding fraction at the same applied stress decreases, and the composite strain at nonlinear Domain II decreases, and the composite tensile strength and failure strain increase.
- (4)
- At higher interface shear stress and interface debonding energy, the debonding fraction at the same applied stress decreases, and the composite strain at nonlinear Domain II decreases, and the failure strain of the composite decreases.
Author Contributions
Funding
Acknowledgments
Conflicts of Interest
References
- Padture, N.P.; Gell, M.; Jordan, E.H. Thermal barrier coatings for gas-turbine engine applications. Science 2002, 296, 280–284. [Google Scholar] [CrossRef] [PubMed]
- Naslain, R.R. SiC-matrix composites: Nonbrittle ceramics for thermo-structural application. Int. J. Appl. Ceram. Technol. 2005, 2, 75–84. [Google Scholar] [CrossRef]
- Zok, F.W. Ceramic-matrix composites enable revolutionary gains in turbine efficiency. Am. Ceram. Soc. Bull. 2016, 95, 22–28. [Google Scholar]
- Li, L.B. Damage, Fracture and Fatigue of Ceramic-Matrix Composites; Springer Nature Singapore Pte Ltd.: Singapore, 2018. [Google Scholar]
- Morscher, G.N.; Martinez-Fernandez, J. Determination of interfacial properties using a single-fiber microcomposite test. J. Am. Ceram. Soc. 1996, 79, 1083–1091. [Google Scholar] [CrossRef]
- Li, H.; Morscher, G.; Lee, J.; Lee, W. Tensile and stress-rupture behavior of SiC/SiC minicomposite containing chemically vapor deposited zirconia interphase. J. Am. Ceram. Soc. 2004, 87, 1726–1733. [Google Scholar] [CrossRef]
- Yu, H.; Zhou, X.; Zhang, W.; Peng, H.; Zhang, C. Mechanical behavior of SiCf/SiC composites with alternating PyC/SiC multilayer interphases. Mater. Des. 2013, 44, 320–324. [Google Scholar] [CrossRef]
- Krishnan, S.; Vijay, V.; Siva, S.; Painuly, A.; Naithani, N.; Devasia, R. A comparative study on Cf/PyC/SiC minicomposites prepared via CVI process for hypersonic engine application. Int. J. Appl. Ceram. Technol. 2018, 15, 1110–1123. [Google Scholar] [CrossRef]
- Mamiya, T.; Kagawa, Y. Tensile fracture behavior and strength of surface-modified SiTiCO fiber SiC-matrix minicomposites fabricated by the PIP process. J. Am. Ceram. Soc. 2000, 83, 433–435. [Google Scholar] [CrossRef]
- Martinez-Fernandez, J.; Morscher, G.N. Room and elevated temperature tensile properties of single tow Hi-Nicalon, carbon interphase, CVI SiC matrix minicomposites. J. Eur. Ceram. Soc. 2000, 20, 2627–2636. [Google Scholar] [CrossRef]
- Chateau, C.; Gelebart, L.; Bornert, M.; Crepin, J.; Boller, E.; Sauder, C.; Ludwig, W. In situ X-ray microtomography characterization of damage in SiC/SiC minicomposites. Compos. Sci. Technol. 2011, 71, 916–924. [Google Scholar] [CrossRef]
- Maillet, E.; Godin, N.; R’Mili, M.; Reynaud, P.; Fantozzi, G.; Lamon, J. Damage monitoring and identification in SiC/SiC minicomposites using combined acousto-ultrasonics and acoustic emission. Compos. Part A 2014, 57, 8–15. [Google Scholar] [CrossRef]
- Almansour, A.S. Use of Single-Tow Ceramic Matrix Minicomposites to Determine Fundamental Room and Elevated Temperature Properties. Ph.D. Thesis, University of Akron, Akron, OH, USA, 2017. [Google Scholar]
- Wang, Y.; Cheng, L.; Zhang, L. Prediction of the mechanical behavior of a minicomposite based on grey Verhulst models. Ceram. Silik. 2017, 61, 372–377. [Google Scholar] [CrossRef][Green Version]
- Zhang, S.; Gao, X.; Chen, J.; Dong, H.; Song, Y. Strength model of the matrix element in SiC/SiC composites. Mater. Des. 2016, 101, 66–71. [Google Scholar] [CrossRef]
- Zhang, S.; Gao, X.; Chen, J.; Dong, H.; Song, Y.; Zhang, H. Effect of micro-damage on the nonlinear constitutive behavior of SiC/SiC minicomposites. J. Ceram. Sci. Technol. 2016, 7, 341–348. [Google Scholar]
- Ochiai, S.; Kimura, S.; Tanaka, H.; Tanaka, M.; Hojo, M.; Morishita, K.; Okuda, H.; Nakayama, H.; Tamura, M.; Shibata, K.; et al. Residual strength of PIP-processed SiC/SiC single-tow minicomposite exposed at high temperatures in air as a function of exposure temperature and time. Compos. Part A 2004, 35, 41–50. [Google Scholar] [CrossRef]
- Han, X.; Gao, X.; Song, Y. Effect of heat treatment on the microstructure and mechanical behavior of SiC/SiC mini-composites. Mater. Sci. Eng. A 2019, 746, 94–104. [Google Scholar] [CrossRef]
- Guo, S.; Kagawa, Y. Tensile fracture behavior of continuous SiC fiber-reinforced SiC matrix composites at elevated temperatures and correlation to in situ constituent properties. J. Eur. Ceram. Soc. 2002, 22, 2349–2356. [Google Scholar] [CrossRef]
- Yang, C.; Zhang, L.; Wang, B.; Huang, T.; Jiao, G. Tensile behavior of 2D-C/SiC composites at elevated temperatures: Experiment and modeling. J. Eur. Ceram. Soc. 2017, 37, 1281–1290. [Google Scholar] [CrossRef]
- Li, L.B. Modeling matrix multicracking development of fiber-reinforced ceramic-matrix composites considering fiber debonding. Int. J. Appl. Ceram. Technol. 2019, 16, 97–107. [Google Scholar] [CrossRef]
- Curtin, W.A. Multiple matrix cracking in brittle matrix composites. Acta Met. Mater. 1993, 41, 1369–1377. [Google Scholar] [CrossRef]
- Gao, Y.; Mai, Y.; Cotterell, B. Fracture of fiber-reinforced materials. J. Appl. Math. Phys. 1988, 39, 550–572. [Google Scholar] [CrossRef]
- Curtin, W.A. Theory of mechanical properties of ceramic-matrix composites. J. Am. Ceram. Soc. 1991, 74, 2837–2845. [Google Scholar] [CrossRef]










| Items | Hi-NicalonTM SiC/SiC [13] | Hi-NicalonTM Type S SiC/SiC [13] | TyrannoTM ZMI SiC/SiC [13] | SiC/SiC [18] | T300TM C/SiC [14] |
|---|---|---|---|---|---|
| rf/(μm) | 7 | 6 | 5.5 | 6.5 | 3.5 |
| Vf/(%) | 25.8 | 22.8 | 27.5 | 23 | 30 |
| Ef/(GPa) | 270 | 400 | 170 | 122 | 120 |
| Em/(GPa) | 350 | 350 | 350 | 303 | 150 |
| αf/(10−6/°C) | 3.5 | 4.5 | 4.0 | 3.1 | −0.38 |
| αm/(10−6/°C) | 4.6 | 4.6 | 4.6 | 4.6 | 2.8 |
| σR/(MPa) | 420 | 350 | 280 | 220 | 180 |
| m | 6 | 6 | 8 | 3 | 5 |
| lsat/(μm) | 564 | 667 | 667 | 780 | 400 |
| mf | 5 | 5 | 5 | 5 | 5 |
| σuts/(MPa) | 644 | 488 | 498 | 399 | 348 |
| εf/(%) | 0.45 | 0.31 | 0.36 | 0.88 | 0.67 |
© 2020 by the authors. Licensee MDPI, Basel, Switzerland. This article is an open access article distributed under the terms and conditions of the Creative Commons Attribution (CC BY) license (http://creativecommons.org/licenses/by/4.0/).
Share and Cite
Zhang, Z.; Liu, Y.; Li, L.; Fang, D. Modeling Tensile Damage and Fracture Behavior of Fiber-Reinforced Ceramic-Matrix Minicomposites. Materials 2020, 13, 4313. https://doi.org/10.3390/ma13194313
Zhang Z, Liu Y, Li L, Fang D. Modeling Tensile Damage and Fracture Behavior of Fiber-Reinforced Ceramic-Matrix Minicomposites. Materials. 2020; 13(19):4313. https://doi.org/10.3390/ma13194313
Chicago/Turabian StyleZhang, Zhongwei, Yufeng Liu, Longbiao Li, and Daining Fang. 2020. "Modeling Tensile Damage and Fracture Behavior of Fiber-Reinforced Ceramic-Matrix Minicomposites" Materials 13, no. 19: 4313. https://doi.org/10.3390/ma13194313
APA StyleZhang, Z., Liu, Y., Li, L., & Fang, D. (2020). Modeling Tensile Damage and Fracture Behavior of Fiber-Reinforced Ceramic-Matrix Minicomposites. Materials, 13(19), 4313. https://doi.org/10.3390/ma13194313

