Enhanced Thermoelectric Properties of Ca3−xAgxCo4O9 by the Sol–Gel Method with Spontaneous Combustion and Cold Isostatic Pressing
Abstract
:1. Introduction
2. Experiment
2.1. Synthesis of Ca3−xAgxCo4O9
2.2. Characterization and Measurements
3. Results and Discussion
3.1. Analysis of XRD Patterns of Ca3−xAgxCo4O9
3.2. Analysis of Cell Parameters
3.3. SEM Analysis
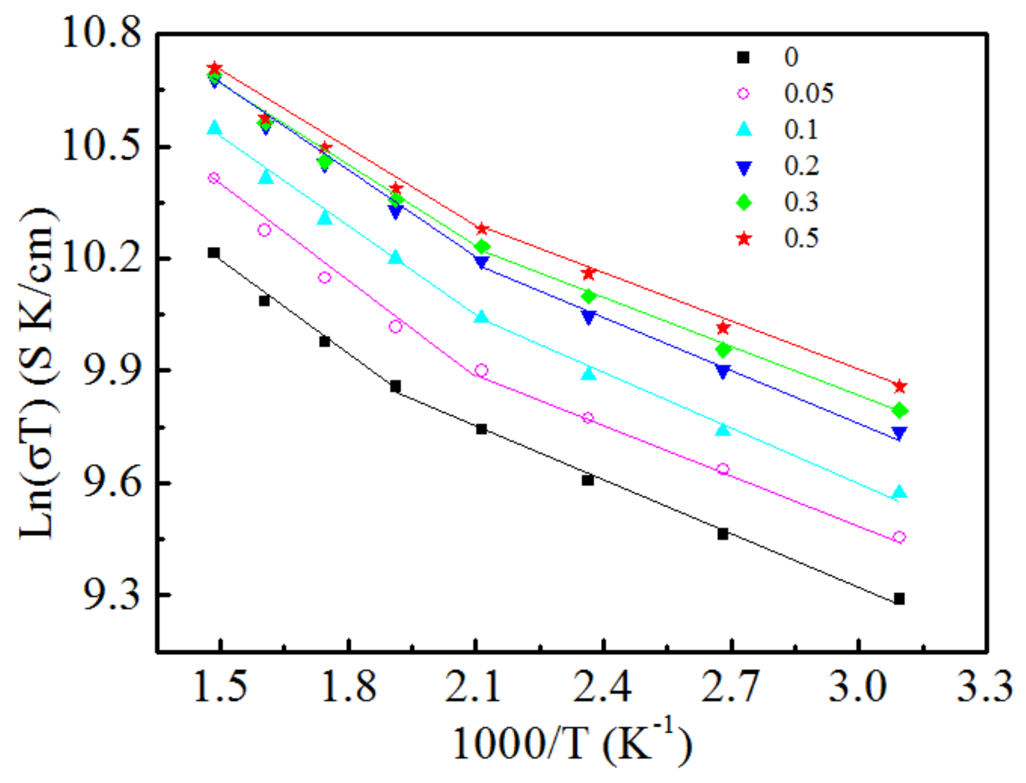
3.4. Electrical Conductivity
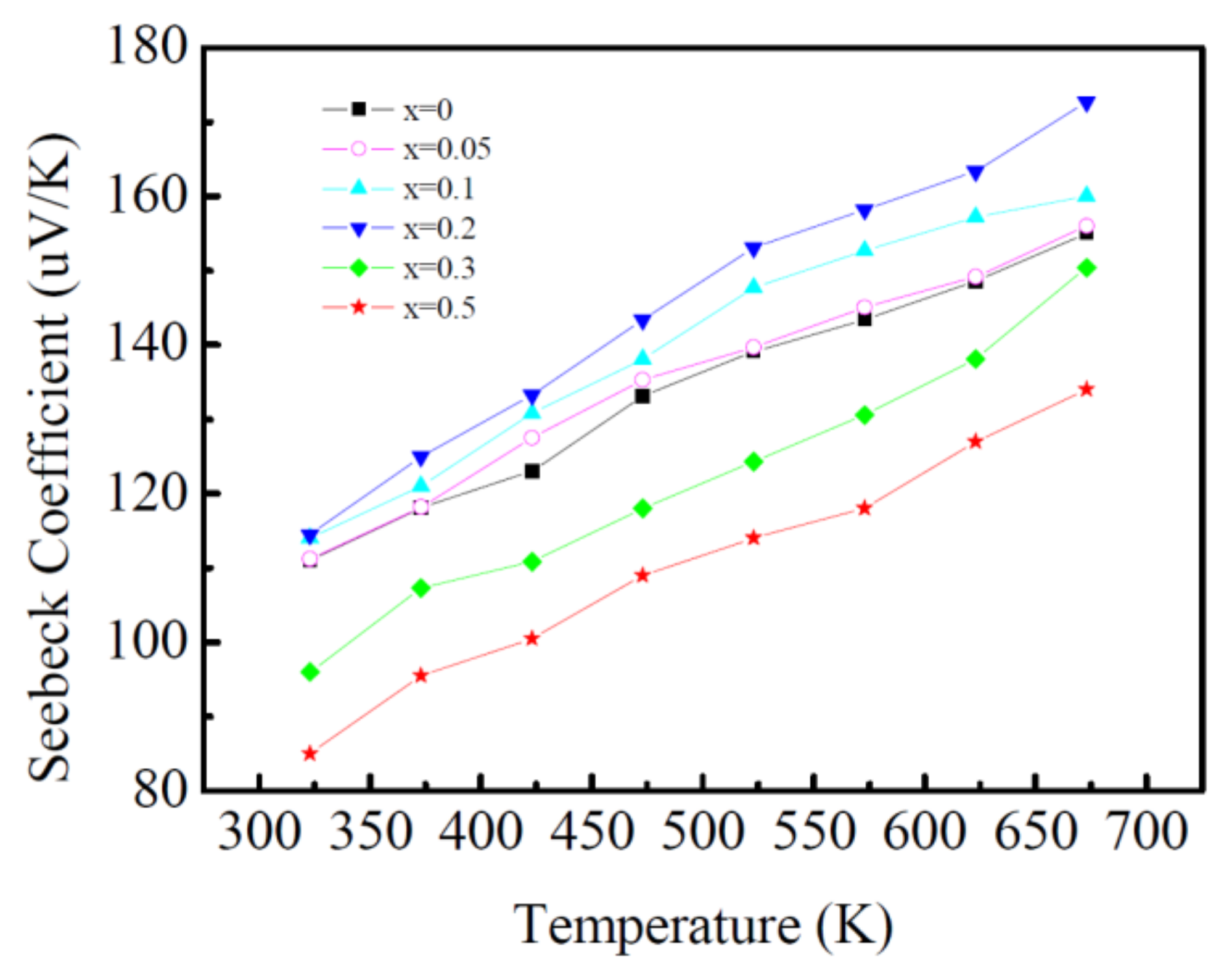
3.5. Seebeck Coefficient
- is the carrier mobility;
- Ce is the heat capacity;
- KB is the Boltzmann coefficient.
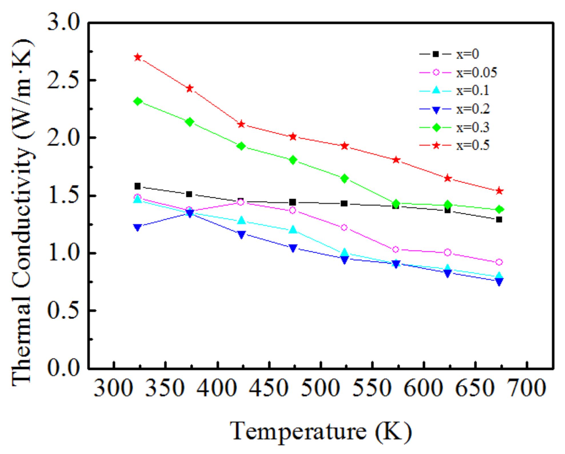
3.6. Thermal Conductivity
3.7. Thermoelectric Figure-of-Merit
4. Conclusions
Author Contributions
Funding
Conflicts of Interest
References
- Rowe, D.M. Thermoelectrics, an environmentally-friendly source of electrical power. Renew. Energy 1999, 16, 1251–1256. [Google Scholar] [CrossRef]
- Hazan, E.; Madar, N.; Parag, M.; Casian, V.; Ben-Yehuda, O.; Gelbstein, Y. Effective Electronic Mechanisms for Optimizing the Thermoelectric Properties of GeTe Rich Alloys. Adv. Electron. Mater. 2015, 1, 1500228. [Google Scholar] [CrossRef]
- Masset, A.C.; Michel, C.; Maignan, M.; Hervieu, M.; Oulemonde, O.T.; Studer, F.; Raveau, B.; Hejtmanek, J. Misfit-layered cobaltite with an anisotropic giant magnetoresistance: Ca3Co4O9. Phys. Rev. B 2000, 62, 166–175. [Google Scholar] [CrossRef]
- Klie, R.F.; Qiao, Q.; Paulauskas, T.; Gulec, A.; Rebola, A.; Ogut, S.; Prange, M.P.; Idrobo, J.C.; Pantelides, S.T.; Kolesnik, S.; et al. Observations of Co4+ in a higher spin state and the increase in the seebeck coefficient of thermoelectric Ca3Co4O9. Phys. Rev. Lett. 2012, 108, 196601. [Google Scholar] [CrossRef] [PubMed]
- Prasoetsopha, N.; Pinitsoontorn, S.; Amornkitba-mrung, V. Synthesis and thermoelectric properties of Ca3Co4O9 prepared by a simple thermal hydro-decomposition method. Electron. Mater. Lett. 2012, 8, 305–308. [Google Scholar] [CrossRef]
- Lin, Y.; Lan, J.; Shen, Z.; Liu, Y.; Nan, C.; Li, J. High-temperature electrical transport behaviors in textured Ca3Co4O9-based polycrystalline ceramics. Appl. Phys. Lett. 2009, 94, 072107. [Google Scholar] [CrossRef]
- Wang, N.; Qi, X.L.; Zeng, L.K. Effect of Sr Doping on Thermoelectric Properties of Ca3Co4O9 Ceramics. J. Synth. Cryst. 2012, 41, 611–615. [Google Scholar]
- Kenfaui, D.; Bonnefont, G.; Chateigner, D.; Fantozzi, G.; Gomina, M.; Noudem, J.G. Ca3Co4O9 ceramics consolidated by SPS process: Optimisation of mechanical and thermoelectric properties. Mater. Res. Bull. 2010, 45, 1240–1249. [Google Scholar] [CrossRef]
- Liu, Y.; Lin, Y.; Shi, Z.; Nan, C.; Shen, Z. Preparation of Ca3Co4O9 and improvement of its thermoelectric properties by spark plasma sintering. J. Am. Ceram. Soc. 2005, 88, 1337–1340. [Google Scholar] [CrossRef]
- Kwon, O.; Jo, W.; Ko, K.; Kim, J.; Bae, S.; Koo, H.; Jeong, S.; Kim, J.; Park, C. Thermoelectric properties and texture evaluation of Ca3Co4O9 prepared by a cost-effective multisheet cofiring technique. J. Mater. Sci. 2011, 46, 2887–2894. [Google Scholar] [CrossRef]
- Butt, S.; Liu, Y.; Lan, J.; Shehzad, K.; Zhan, B.; Lin, Y.; Nan, C. High-temperature thermoelectric properties of La and Fe co-doped Ca-Co-O misfit-layered cobaltites consolidated by spark plasma sintering. J. Alloy Compd. 2014, 588, 277–283. [Google Scholar] [CrossRef]
- Wu, N.Y.; van Nong, N.; Pryds, N.; Linderoth, S. Effects of yttrium and iron co-doping on the high temperature thermoelectric properties of Ca3Co4O9+δ. J. Alloy Compd. 2015, 638, 127–132. [Google Scholar] [CrossRef]
- Constantinescu, G.; Rasekh, S.; Torres, M.A.; Diez, J.C.; Madre, M.A.; Sotelo, A. Effect of Sr substitution for Ca on the Ca3Co4O9 thermoelectric properties. J. Alloy Compd. 2013, 577, 511–515. [Google Scholar] [CrossRef]
- Sun, T.; Hng, H.H.; Yan, Q.Y.; Ma, J. Effect of Ag-doping on crystal structure and high temperature thermoelectric properties of c-axis oriented Ca3Co4O9 thin films by pulsed laser deposition. J. Alloy Compd. 2012, 511, 133–138. [Google Scholar] [CrossRef]
- Zhang, F.; Lu, Q.; Li, T.; Zhang, X.; Zhang, J.; Song, X. Preparation and thermoelectric transport properties of Ba-, La- and Ag doped Ca3Co4O9 oxide materials. J. Rare Earths 2013, 31, 778–783. [Google Scholar] [CrossRef]
- Yin, Y.; Saini, S.; Tian, D.M.K.; Tiwari, A. Thermoelectric response of porous Ca3Co4O9 prepared by an eco-friendly technique. Ceram. Int. 2017, 43, 9505–9511. [Google Scholar] [CrossRef]
- Seetawan, T.; Amornkitbamrung, V.; Burinparkhon, T.; Maensiri, S.; Kurosaki, K.; Muta, H.; Uno, M.; Yamanaka, S. Thermoelectric power and electrical resistivity of Ag-doped Na1.5Co2O4. J. Alloy Compd. 2006, 407, 314–317. [Google Scholar] [CrossRef]
- Wang, Y.; Sui, Y.; Cheng, J.; Wang, X.; Miao, J.; Liu, Z.; Qian, Z.; Su, W. High temperature and thermoelectric properties of Ag-substituted Ca3Co4O9+δ systems. J. Alloy Compd. 2008, 448, 1–5. [Google Scholar] [CrossRef]
- Liu, E.K.; Zhu, B.S.; Luo, J.S. Semiconductor Physics, version 6; Publishing House of Electronics Industry: Beijing, China, 2005; pp. 372–373. [Google Scholar]
- Ohtaki, M.; Ubo, Y.; Eguchik, K. Thermoelectric properties of delafossite-related layered metal oxides. In Proceedings of the 17th International Conference on Thermoelectrics, Nagoya, Japan, 28 May 1998; pp. 559–562. [Google Scholar]
- Fisher, B.; Patlagan, L.; Reisner, G.M.; Knizhnik, A. Systematics in the thermopower of electron-doped layered manganites. Phys. Rev. B 2000, 61, 470–475. [Google Scholar] [CrossRef]
- Xiang, P.; Kinemuchi, Y.; Kaga, H.; Watari, K. Fabrication and thermoelectric properties of Ca3Co4O9/Ag composites. J. Alloy Compd. 2008, 454, 364–369. [Google Scholar] [CrossRef]
- Kosuga, A.; Isse, Y.; Wang, Y.F.; Koumoto, K.; Funahashi, R. High temperature thermoelectric properties of Ca0.9−xSrxYb0.1MnO3−δ (0 ≤ x ≤ 0.2). J. Appl. Phys. 2009, 105, 093717. [Google Scholar] [CrossRef]
- Kuo, Y.K.; Sivakumar, K.M. Thermoelectric Properties of the CoSi1−xGex Alloys. J. Appl. Phys. 2005, 98, 123510. [Google Scholar] [CrossRef]
- Wang, Y.; Sui, Y.; Cheng, J.; Wang, X.; Su, W. Comparison of the high temperature thermoelectric properties for Ag-doped and Ag-added Ca3Co4O9. J. Alloy Compd. 2009, 477, 817–821. [Google Scholar] [CrossRef]
- Seetawan, T.; Amornkitbamrung, V.; Burinparkhon, T.; Maensiri, S.; Kurosaki, K.; Muta, H.; Uno, M.; Yamanaka, S. Thermoelectric properties of NaxCo2O4/Ag composites. J. Alloy Compd. 2006, 414, 293–297. [Google Scholar] [CrossRef]








| Samples | a (Å) | b1 (Å) | c (Å) | V (nm3) | Theoretical Density (g/cm3) | Experimental Density (g/cm3) | Relative Density (%) |
|---|---|---|---|---|---|---|---|
| Ca3Co4O9 | 4.8352 | 4.5531 | 10.8382 | 0.2386 | 4.24 | 3.900 | 91.98 |
| Ca2.95Ag0.05Co4O9 | 4.8366 | 4.5532 | 10.8390 | 0.2387 | 4.25 | 3.902 | 91.82 |
| Ca2.9Ag0.1Co4O9 | 4.8399 | 4.5589 | 10.8435 | 0.2393 | 4.27 | 3.914 | 91.66 |
| Ca2.8Ag0.2Co4O9 | 4.8443 | 4.5632 | 10.8503 | 0.2399 | 4.30 | 3.930 | 91.40 |
| Ca2.7Ag0.3Co4O9 | 4.8446 | 4.5673 | 10.8552 | 0.2402 | 4.33 | 3.980 | 91.92 |
| Ca2.5Ag0.5Co4O9 | 4.8448 | 4.5701 | 10.8584 | 0.2404 | 4.41 | 4.120 | 93.42 |
© 2018 by the authors. Licensee MDPI, Basel, Switzerland. This article is an open access article distributed under the terms and conditions of the Creative Commons Attribution (CC BY) license (http://creativecommons.org/licenses/by/4.0/).
Share and Cite
Fan, Y.; Qi, X.; Zeng, D. Enhanced Thermoelectric Properties of Ca3−xAgxCo4O9 by the Sol–Gel Method with Spontaneous Combustion and Cold Isostatic Pressing. Materials 2018, 11, 2573. https://doi.org/10.3390/ma11122573
Fan Y, Qi X, Zeng D. Enhanced Thermoelectric Properties of Ca3−xAgxCo4O9 by the Sol–Gel Method with Spontaneous Combustion and Cold Isostatic Pressing. Materials. 2018; 11(12):2573. https://doi.org/10.3390/ma11122573
Chicago/Turabian StyleFan, Youyu, Xiaoling Qi, and Dechang Zeng. 2018. "Enhanced Thermoelectric Properties of Ca3−xAgxCo4O9 by the Sol–Gel Method with Spontaneous Combustion and Cold Isostatic Pressing" Materials 11, no. 12: 2573. https://doi.org/10.3390/ma11122573
APA StyleFan, Y., Qi, X., & Zeng, D. (2018). Enhanced Thermoelectric Properties of Ca3−xAgxCo4O9 by the Sol–Gel Method with Spontaneous Combustion and Cold Isostatic Pressing. Materials, 11(12), 2573. https://doi.org/10.3390/ma11122573
