Next Issue
Volume 19, February-2
Previous Issue
Volume 19, January-2
 
 
energies-logo

Journal Browser

Journal Browser

Energies, Volume 19, Issue 3 (February-1 2026) – 292 articles

Cover Story (view full-size image): This paper presents a comprehensive analysis of renewable-based Energy Community (EC) configurations, focusing on solar solutions in the Mediterranean region. Different aggregations of end-user loads—such as households and municipal offices—are investigated to optimize the match between energy demand and renewable energy availability. Several energy system layouts are analyzed, progressively integrating photovoltaic generation, heat pumps, solar cooling, and energy storage technologies. Results show that increasing the complexity of the generation mix enhances self-sufficiency, self-consumption, and CO2 mitigation. Advanced configurations allow for up to five months of 100% self-sufficiency and nearly complete annual self-consumption, while CO2 emissions can be reduced by up to 50%, highlighting the strong potential of Energy Communities for low-carbon smart cities. View this paper
  • Issues are regarded as officially published after their release is announced to the table of contents alert mailing list.
  • You may sign up for e-mail alerts to receive table of contents of newly released issues.
  • PDF is the official format for papers published in both, html and pdf forms. To view the papers in pdf format, click on the "PDF Full-text" link, and use the free Adobe Reader to open them.
Order results
Result details
Section
Select all
Export citation of selected articles as:
26 pages, 3025 KB  
Article
MILP-Based Pareto Optimization of Electric Bus Scheduling and Charging Management
by Zvonimir Dabčević, Branimir Škugor and Joško Deur
Energies 2026, 19(3), 867; https://doi.org/10.3390/en19030867 - 6 Feb 2026
Viewed by 925
Abstract
Effective scheduling and charging management of electric buses is essential for minimizing investment and operational costs while improving transit efficiency. The paper presents an optimization framework which provides a 3D Pareto frontier of fleet size, deadhead distance, and charging cost, while accounting for [...] Read more.
Effective scheduling and charging management of electric buses is essential for minimizing investment and operational costs while improving transit efficiency. The paper presents an optimization framework which provides a 3D Pareto frontier of fleet size, deadhead distance, and charging cost, while accounting for heterogeneous battery energy, charger power, charging spot capacities, integrated daily and night charging, and a charge sustaining condition. Two optimization approaches are developed: Mixed-Integer Linear Programming (MILP), which finds globally optimal solutions, and an Insertion Heuristic (IH), which generates feasible schedules in a computationally efficient way. The framework operates iteratively, starting with MILP to determine the minimum number of buses for feasible operation. Then, additional buses are incrementally incorporated, and for each fixed fleet size, a multi-objective optimization of scheduling and charging management is applied to minimize deadhead distance and charging costs using both approaches. A case study on a synthetic transport network demonstrates that the proposed IH algorithm achieves nearly optimal performance at a fraction of the computational time and memory requirements of the MILP approach. A Pareto analysis shows that increasing fleet size reduces deadhead distance and charging costs up to a saturation point, beyond which further additions yield minimal benefits. Full article
Show Figures

Figure 1

16 pages, 790 KB  
Review
Valorisation of Sheep Wool Fibers in Sustainable Energy-Efficient Materials: Thermal and Acoustic Properties of Bio-Based Composites for Low-Carbon Construction
by Julita Szczecina, Ewa Szczepanik, Jakub Barwinek, Piotr Szatkowski, Marcin Niemiec and Edyta Molik
Energies 2026, 19(3), 866; https://doi.org/10.3390/en19030866 - 6 Feb 2026
Cited by 1 | Viewed by 1052
Abstract
Amid increasing demand for energy efficiency and reduced CO2 emissions in the building sector, natural fibres such as sheep wool are gaining attention as a sustainable raw material for low-impact insulation materials. This review summarises the current state of research on the [...] Read more.
Amid increasing demand for energy efficiency and reduced CO2 emissions in the building sector, natural fibres such as sheep wool are gaining attention as a sustainable raw material for low-impact insulation materials. This review summarises the current state of research on the thermal and acoustic properties of sheep wool-based composites and their applications in low-carbon construction. The fibre structure, thermal conductivity, hygroscopicity, heat storage capacity, and sound absorption coefficient are discussed, highlighting the competitiveness of sheep wool compared to conventional synthetic and mineral materials. The review also addresses the use of wool fibres in cement composites, insulation panels, sound-absorbing materials, and sorption mats, emphasising their potential in humidity regulation, acoustic comfort, and circular economy strategies. A literature analysis indicates that utilising sheep wool waste can reduce environmental impact, lower the carbon footprint of building materials, and enhance local agricultural value. The review provides an overview of current knowledge on sustainable sheep wool-based insulation materials and focuses on an interdisciplinary and quantitative approach to the thermal, acoustic, and environmental performance of composites based on waste sheep wool, combined with an analysis of their applicability in low-carbon construction and circular economy frameworks. Future research should focus on assessing long-term durability, material ageing under real service conditions, and standardised life cycle assessment (LCA) methodologies to enable reliable comparison with conventional insulation materials. Full article
(This article belongs to the Section A4: Bio-Energy)
Show Figures

Figure 1

23 pages, 1462 KB  
Article
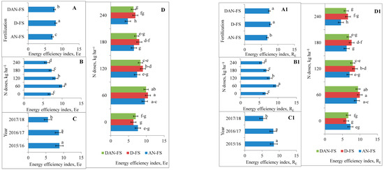
Analysis of the Energy Efficiency of Production of Winter Rapeseed Fertilized with Biogas Digestate
by Hanna Klikocka, Remigiusz Łukowiak, Witold Szczepaniak and Katarzyna Przygocka-Cyna
Energies 2026, 19(3), 865; https://doi.org/10.3390/en19030865 - 6 Feb 2026
Viewed by 495
Abstract
The research hypothesis of this study assumes that nitrogen (N) from digestate has an equivalent productive effect as mineral fertilizer. Therefore, the use of digestate as a N carrier by farmers significantly reduces the energy costs of oilseed rape production. This hypothesis was [...] Read more.
The research hypothesis of this study assumes that nitrogen (N) from digestate has an equivalent productive effect as mineral fertilizer. Therefore, the use of digestate as a N carrier by farmers significantly reduces the energy costs of oilseed rape production. This hypothesis was verified in field experiments with rapeseed conducted in the 2015/2016, 2016/2017, and 2017/2018 growing seasons. The experiment consisted of three N fertilization systems (FSs)—mineral ammonium nitrate (AN) (AN-FS), digestate-based (D-FS), and 2/3 digestate + 1/3 AN (DAN-FS)—and five Nf doses: 0, 80, 120, 160, and 240 kg N ha−1. Maximum seed yields were 3.26, 3.32 and 3.66 t ha−1 and were obtained for optimal N doses of 170, 186 and 189 kgNn ha−1, respectively. Similar trends were observed for the following yields: straw, crude oil, and cake. The values of the Nitrogen Fertilization Replacement Value for the above yield categories slightly exceeded 100%, and for the mixed variant, they were in the range of 108–112% in relation to the mixture with ammonium nitrate. The contribution of straw, oil, and oilcake in the total energy harvested accounted for 64%, 22%, and 14%, respectively. The most favorable energy efficiency ratio, Ee = 8.15 (seeds + straw), was achieved under the mixed N fertilization variant (DAN-FS; 8.3 and 15.6 m3 ha−1, respectively) and N fertilizer doses of 40 and 80 kg ha−1. For the highest nitrogen doses, the digestate significantly stabilized the yields and energy output of winter rapeseed production. Overall, based on the results of the field experiment and calculations conducted, it is recommended that winter rapeseed biomass should be used entirely for liquid fuel (oil) and solid fuel (oilcake and/or straw) production. Full article
(This article belongs to the Collection Feature Papers in Bio-Energy)
Show Figures

Figure 1

34 pages, 3627 KB  
Article
A Neural Network Integration of Virtual Synchronous Motor-Based EV Charging Stations Control Performance and Plant Stability Enhancement
by Kabir Momoh, Shamsul Aizam Zulkifli, Mohammed F. Allehyani, Husam S. Samkari, Abdulgafor Alfares, Petr Korba, Mohd Zamri Che Wanik and Muhamad Syazmie Sepeeh
Energies 2026, 19(3), 864; https://doi.org/10.3390/en19030864 - 6 Feb 2026
Viewed by 551
Abstract
Control techniques for neural-network-based charging stations (CSs) are attracting attention worldwide. This popularity is due to the emergent need for alternative intelligent and adaptive control solutions for attaining a CS with stabilized power transfer and voltage control at the point of common coupling. [...] Read more.
Control techniques for neural-network-based charging stations (CSs) are attracting attention worldwide. This popularity is due to the emergent need for alternative intelligent and adaptive control solutions for attaining a CS with stabilized power transfer and voltage control at the point of common coupling. This paper demonstrates novel neural-network-based improved virtual synchronous motor (NN-i-VSM) control through the mechanism of the charging voltage feedback in conjunction with a trained neural network model to adaptively produce field excitation (MN) that mimics a virtual flux model. The MN adaptively generates an electromotive force based on the trained NN output to control the rectifying converter response of the CS for power quality enhancement during multiple-CS operation. Simulation results in the scenario of multiple CSs at 750 kW (5 × 150 kW) with varying capacities showed significant improvement in voltage variable tracking capacity of up to 500 V as well as power response overshot reduction and grid voltage response tracking improvement compared with an i-VSM-based CS model. A comprehensive CS efficiency assessment and plant stability analysis, including Bode plot evaluation, further confirmed the superior dynamic response performance and robustness of the NN-i-VSM model over the i-VSM model. The proposed model offers scalable applicability in smart mobility and wireless CS integration, signifying a new control advancement for future generations of multiple-grid-friendly charging infrastructure for penetration of batteries at varying capacities. Full article
(This article belongs to the Special Issue Advances in Power Distribution Systems: 2nd Edition)
Show Figures

Figure 1

19 pages, 3553 KB  
Article
Experimental and Simulation Research on the Motion Response of a Floating Offshore Wind Turbine During Wet-Towing Operation
by Ruming Feng, Jianhu Fang, Tianguo Pan, Zhifei Huang, Yisheng Sheng and Tianhui Fan
Energies 2026, 19(3), 863; https://doi.org/10.3390/en19030863 - 6 Feb 2026
Viewed by 626
Abstract
The vast potential of deep-sea wind resources has driven substantial research focus on floating offshore wind turbines (FOWTs) in recent years. The wet-towing of the FOWT is critically challenged by the harsh conditions and remote locations of deep-sea sites. This paper proposes an [...] Read more.
The vast potential of deep-sea wind resources has driven substantial research focus on floating offshore wind turbines (FOWTs) in recent years. The wet-towing of the FOWT is critically challenged by the harsh conditions and remote locations of deep-sea sites. This paper proposes an innovative concept of FOWT based on the in-service FOWT “Sanxia Yinling”, establishing a numerical model of wet-towing for the FOWT in AQWA. The experiments of free-decay and wet-towing resistance in still water at the towing tank are carried out to validate reliability of the numerical model-integrated viscous damping and resistance coefficient of wind and current. Then, the method is applied to evaluate the effects of sea states and wet-towing speeds for the dynamic responses of the towing system. The results show that the natural periods of the FOWT in heave, roll and pitch DOFs all exceed 25 s, which is sufficiently longer than the typical wave spectral peak. In addition, the numerical model is verified against experimental data, showing close agreement. For the established towing configuration, safe operation requires sea states to be maintained at or below level 4 (significant wave height ≤ 2.5 m) and the towing speed at or below four knots. It is also found that a slack-taut cycle in towing lines at low speeds, which is attributed to wave excitation. Full article
Show Figures

Figure 1

34 pages, 10118 KB  
Article
Adaptive Harmonic Impedance Control and Flexible Compensation Method for AI Data Centers
by Jinsong Li, Bo Yang, Hao Li, Zhigang Yao, Qiwei Xu and Shuai Lu
Energies 2026, 19(3), 862; https://doi.org/10.3390/en19030862 - 6 Feb 2026
Viewed by 719
Abstract
The stochastic fluctuations of AI computational loads inject harmonic currents into the DC bus, amplifying bus voltage ripples and weakening the power quality. Existing strategies typically rely on high-gain control strategies to minimize harmonic output impedance, aiming at full absorption of harmonic currents. [...] Read more.
The stochastic fluctuations of AI computational loads inject harmonic currents into the DC bus, amplifying bus voltage ripples and weakening the power quality. Existing strategies typically rely on high-gain control strategies to minimize harmonic output impedance, aiming at full absorption of harmonic currents. However, such designs rarely consider engineering constraints such as capacity and current boundaries, which impose inherent limits on harmonic absorption. To address these issues, this paper proposes an adaptive harmonic impedance control and flexible compensation method for AI data centers. By integrating DC bus voltage feedforward with output current feedback, a virtual harmonic impedance control channel is constructed to enable real-time impedance shaping. Then, an adaptive gain regulation mechanism is developed to adjust harmonic impedance according to the available capacity and current margin. Compared with traditional strategies relying on fixed high gains or resonant links, the proposed method allows for the continuous regulation of harmonic impedance over a wide range. This enables the dynamic matching of harmonic absorption capability with the available capacity, effectively suppressing the risks of overcurrent, saturation, and stability degradation. Simulation and 8 kW experimental results verify the correctness and effectiveness of the proposed analysis and control strategy. Full article
(This article belongs to the Special Issue Control and Optimization of Power Converters)
Show Figures

Figure 1

27 pages, 442 KB  
Article
Switching to Clean(er) Technologies in a Stochastic Environment
by Alejandro Mosiño and Aude Pommeret
Energies 2026, 19(3), 861; https://doi.org/10.3390/en19030861 - 6 Feb 2026
Viewed by 507
Abstract
This paper develops a theoretical model analyzing the optimal timing of switching from fossil-fuel-based energy to cleaner technologies in a stochastic environment. The economy consists of two interacting sectors: a backstop-production sector (e.g., solar panels), which uses both fossil fuels and backstop energy, [...] Read more.
This paper develops a theoretical model analyzing the optimal timing of switching from fossil-fuel-based energy to cleaner technologies in a stochastic environment. The economy consists of two interacting sectors: a backstop-production sector (e.g., solar panels), which uses both fossil fuels and backstop energy, and a consumption sector that initially relies exclusively on fossil fuels but can adopt a hybrid (cleaner) technology by incurring a fixed, irreversible investment cost. Both pollution accumulation and backstop accumulation are assumed to be stochastic. Our results indicate that the optimal timing for switching is significantly influenced by technological parameters, particularly the dependence on fossil fuels in post-switch production and the extent of technological gains in backstop manufacturing. Specifically, reducing fossil-fuel reliance and improving backstop technology both accelerate the adoption of cleaner technologies. We also find that uncertainty can either accelerate or delay adoption, depending on technological progress and intertemporal substitution preferences. These findings underscore the importance of policies that decrease fossil fuel dependence while fostering innovation in renewable energy technologies. Full article
(This article belongs to the Section C: Energy Economics and Policy)
Show Figures

Figure 1

16 pages, 6300 KB  
Article
Investigation of Quantum Energy Storage Mechanisms in SiO2 Clathrates with Thiourea–Cobalt Chloride Supramolecular Structures
by Piotr Chabecki, Dariusz Calus, Vitalii Maksymych, Myroslava Klapchuk, Semen Khomyak and Fedir Ivashchyshyn
Energies 2026, 19(3), 860; https://doi.org/10.3390/en19030860 - 6 Feb 2026
Viewed by 663
Abstract
Conventional electrochemical mechanisms for electrical energy storage face fundamental limitations in achieving ultra-high energy density and high-power output. These constraints arise from the intrinsic nature of the electrochemical processes themselves. Overcoming this challenge requires a paradigm shift—from electrochemical to quantum mechanisms of energy [...] Read more.
Conventional electrochemical mechanisms for electrical energy storage face fundamental limitations in achieving ultra-high energy density and high-power output. These constraints arise from the intrinsic nature of the electrochemical processes themselves. Overcoming this challenge requires a paradigm shift—from electrochemical to quantum mechanisms of energy storage. As shown by theoretical models, this concept can be implemented in nanostructured materials consisting of clusters with tunnel-transparent shells. It is possible to build such a structure using supramolecular complexes and clathrate organization of matter. For this purpose, we synthesized a supramolecular clathrate with a hierarchical sub-host<host<guest>> architecture and investigated its conductive and polarization properties using impedance spectroscopy. As shown by the results of the research, in this structure it was possible to combine a high value of the dielectric permittivity with a dielectric loss tangent below unity in the ultra-low-frequency range. This was facilitated by the presumably specific energy structure of the clathrate, as evidenced by the measured spectra of thermally stimulated discharge currents. The ability of the clathrate to accumulate an electric charge is evidenced by the measured hysteresis current-voltage characteristic. The value of the specific capacitance of this clathrate reaches the value that arises from the theoretical model of a quantum supercapacitor. Full article
(This article belongs to the Section D: Energy Storage and Application)
Show Figures

Figure 1

26 pages, 29883 KB  
Article
Modified Forward Converter for Charging and Balancing Supercapacitor Modules
by Eduardo Aluísio de Gang Fabro, Andre de Souza Leone and João Américo Vilela
Energies 2026, 19(3), 859; https://doi.org/10.3390/en19030859 - 6 Feb 2026
Viewed by 544
Abstract
Supercapacitor modules for energy storage systems often require complex active balancing circuits to manage voltage imbalances between series-connected cells. This paper proposes a modified forward converter topology that passively charges and balances supercapacitor modules simultaneously. The proposed solution is modular, provides galvanic isolation, [...] Read more.
Supercapacitor modules for energy storage systems often require complex active balancing circuits to manage voltage imbalances between series-connected cells. This paper proposes a modified forward converter topology that passively charges and balances supercapacitor modules simultaneously. The proposed solution is modular, provides galvanic isolation, and is self-regulating, eliminating the need for dedicated sensors or complex control logic. Voltage equalization is achieved autonomously through coupled inductors, naturally directing current to the cells with the lowest voltage during the period when the converter is off. This work details the operating principle of the converter and analyzes two architectures: a non-crossover configuration and a crossover configuration. This study validated the system performance through PSIM simulations and a hardware prototype. The experimental results demonstrate that both configurations successfully charge and balance the supercapacitors. However, the crossover and non-crossover configurations achieve faster equalization under certain imbalance conditions. In contrast, the crossed configuration exhibits a smaller final voltage discrepancy between cells compared to the non-crossover architecture. The proposed converter proves to be a simple, robust, and effective solution for managing supercapacitor modules. Full article
(This article belongs to the Section F3: Power Electronics)
Show Figures

Figure 1

26 pages, 12359 KB  
Review
On-Board Implementation of Thermal Runaway Detection in Lithium-Ion Battery Packs: Methods, Metrics, and Challenges
by Run-Yu Yu, Bing-Chuan Wang and Yong Wang
Energies 2026, 19(3), 858; https://doi.org/10.3390/en19030858 - 6 Feb 2026
Cited by 2 | Viewed by 2135
Abstract
Effective thermal runaway (TR) detection is critical for the safety of lithium-ion battery packs, particularly in electric vehicles. However, deploying laboratory-validated methods into resource-constrained battery management systems (BMS) presents significant engineering challenges. This review surveys the state of the art in on-board TR [...] Read more.
Effective thermal runaway (TR) detection is critical for the safety of lithium-ion battery packs, particularly in electric vehicles. However, deploying laboratory-validated methods into resource-constrained battery management systems (BMS) presents significant engineering challenges. This review surveys the state of the art in on-board TR monitoring, with an emphasis on the practical constraints of automotive applications. We first examine available precursor signals, including thermal, electrical, gas, and acoustic emissions, and evaluate their trade-offs regarding response speed and integration complexity. Second, diagnostic algorithms, from threshold-based logic to deep learning, are assessed against key performance metrics such as computational latency, false alarm rates, and lead time. Furthermore, the review discusses essential deployment considerations, including model compression techniques, inference hardware architectures, and compliance with functional safety standards. Specifically, the review discusses the implementation challenges of multi-modal data fusion, with a particular focus on the constraints imposed by limited hardware resources and long-term sensor reliability. Future directions regarding data standardization and cloud-edge collaboration are also discussed. Full article
Show Figures

Figure 1

16 pages, 2067 KB  
Article
A Power Coordinated Control Method for Islanded Microgrids Based on Impedance Identification
by Yifan Wang, Shaohua Sun, Zhenwei Li, Runxin Yan and Ruifeng Xiao
Energies 2026, 19(3), 857; https://doi.org/10.3390/en19030857 - 6 Feb 2026
Viewed by 423
Abstract
Droop control is an effective power regulation method for islanded microgrids to cope with fluctuations in renewable energy and loads. However, its power coordination performance is easily affected by the line impedance. When virtual impedance is introduced to enhance impedance matching, fixed values [...] Read more.
Droop control is an effective power regulation method for islanded microgrids to cope with fluctuations in renewable energy and loads. However, its power coordination performance is easily affected by the line impedance. When virtual impedance is introduced to enhance impedance matching, fixed values struggle to adapt flexibly to varying grid conditions. To address this specific limitation, this paper proposes a novel power coordination control strategy based on real-time line impedance identification. The method first analyzes the power distribution principle and equilibrium conditions under droop control. Crucially, it then establishes a dynamic virtual impedance regulation mechanism. By continuously identifying the actual line impedance, the proposed strategy dynamically adjusts the virtual impedance, thereby reshaping the inverter’s output impedance in real-time to match the grid conditions. This approach directly enhances the inverter’s adaptability to impedance variations, which is the core challenge in robust power coordination. Simulation results demonstrate that, compared to methods using fixed virtual impedance, the proposed strategy significantly improves power-sharing accuracy and system robustness under uncertainties such as fluctuating line impedance and load changes. Full article
Show Figures

Figure 1

24 pages, 6092 KB  
Article
Dual-Output, Hybrid-Clamped, Quasi-Five-Level Inverter and Its Modulation Strategy
by Rutian Wang, Jiahui Wei and Yang Yu
Energies 2026, 19(3), 856; https://doi.org/10.3390/en19030856 - 6 Feb 2026
Viewed by 520
Abstract
This paper proposes a novel, dual-output, hybrid-clamped, quasi-five-level inverter (DO-HC-FLI) topology, capable of providing two independent AC voltage outputs with adjustable frequency and amplitude. Derived from a dual-output, active, neutral-point-clamped, three-level inverter, the proposed topology introduces three additional switches per phase to create [...] Read more.
This paper proposes a novel, dual-output, hybrid-clamped, quasi-five-level inverter (DO-HC-FLI) topology, capable of providing two independent AC voltage outputs with adjustable frequency and amplitude. Derived from a dual-output, active, neutral-point-clamped, three-level inverter, the proposed topology introduces three additional switches per phase to create dynamic switching paths. This expands the available range of DC-side voltage outputs and significantly improves the utilization rate of the DC–link voltage. Additionally, by adopting an asymmetric DC–link voltage configuration, the output line voltage levels of the conventional four-level inverter are increased to a number comparable to that of a five-level inverter. The front-end stage employs a hybrid series-parallel architecture, integrating dual Buck circuits with DC power sources. This configuration supplies the subsequent inverter stage with DC voltage levels at an optimal asymmetric ratio. In conjunction with a dual-output space vector pulse width modulation (SVPWM) strategy, the proposed system can collaboratively optimize the output voltage level characteristics of the inverter stage. Furthermore, a comprehensive analysis and comparison with other multilevel inverters are presented to demonstrate the superiority of the proposed topology. Finally, simulations and experiments are conducted to validate the effectiveness and feasibility of the proposed topology and modulation strategy. Full article
(This article belongs to the Section F: Electrical Engineering)
Show Figures

Figure 1

15 pages, 4344 KB  
Review
Review on CCUS Sections Applied to Waste to Energy Plants
by Federica Restelli, Stefania Moioli and Laura A. Pellegrini
Energies 2026, 19(3), 855; https://doi.org/10.3390/en19030855 - 6 Feb 2026
Cited by 1 | Viewed by 824
Abstract
The need to mitigate climate change has increased interest in Waste-to-Energy (WtE) plants, which reduce landfill use while generating power, but remain significant sources of carbon dioxide emissions. Carbon Capture, Utilization, and Storage (CCUS) represents a promising pathway to substantially reduce emissions from [...] Read more.
The need to mitigate climate change has increased interest in Waste-to-Energy (WtE) plants, which reduce landfill use while generating power, but remain significant sources of carbon dioxide emissions. Carbon Capture, Utilization, and Storage (CCUS) represents a promising pathway to substantially reduce emissions from WtE facilities and, when applied to WtE, it can enable net-zero or carbon-negative systems by capturing both non-biogenic and biogenic CO2. This review systematically analyzes existing Waste-to-Energy plants implementing carbon capture technologies. By collecting and critically assessing the available technical and operational information, this work provides a comprehensive synthesis that is currently lacking in the literature. Based on the reported data, only a limited number of WtE plants with CCUS are operating worldwide. Among these, facilities with the most detailed publicly available information are located in Saga City (Japan), Twence (The Netherlands), Klemetsrud (Norway), Duiven (The Netherlands), and Copenhagen (Denmark). This review highlights the current deployment status of WtE + CCUS systems and identifies key insights to support future research and large-scale implementation. Full article
Show Figures

Figure 1

31 pages, 3711 KB  
Review
Electrolysis and Biomass Pyrolysis Pathways for Green Hydrogen: Technological Progress and Policy Insights for South Africa
by Goitsione Emily Olifant and Ntalane Sello Seroka
Energies 2026, 19(3), 854; https://doi.org/10.3390/en19030854 - 6 Feb 2026
Cited by 1 | Viewed by 866
Abstract
Growing global energy demand and the imperative to reduce greenhouse gas emissions have accelerated interest in low-carbon hydrogen production. This review synthesizes advances at the intersection of electrolysis and biomass pyrolysis, with particular emphasis on the emerging role of biochar as a functional [...] Read more.
Growing global energy demand and the imperative to reduce greenhouse gas emissions have accelerated interest in low-carbon hydrogen production. This review synthesizes advances at the intersection of electrolysis and biomass pyrolysis, with particular emphasis on the emerging role of biochar as a functional and catalytic material that enhances hydrogen generation while supporting sustainable bioenergy value chains. Recent evidence shows that biochar-assisted water electrolysis (BAWE) can lower energy requirements, improve reaction efficiency, and valorize locally available biomass resources. This positions biochar as a promising complement to conventional green hydrogen pathways. The review further assesses South Africa’s evolving policy and regulatory architecture by highlighting the country’s ambition to build a competitive hydrogen economy alongside structural constraints such as limited electrolyzer manufacturing capability, inadequate infrastructure, and insufficiently targeted frameworks for technology scale-up. The review analysis therefore emphasizes that integrating biomass-derived materials into hydrogen production presents an underexplored yet high-potential route for advancing national decarbonization goals. Strengthened research, development, and innovation systems, supported by coherent and technology-specific policy measures, will be essential for South Africa to unlock the full economic, environmental, and industrial benefits of a green hydrogen and biochar-integrated future. Full article
(This article belongs to the Special Issue Recent Advances in Renewable Energy and Hydrogen Technologies)
Show Figures

Figure 1

25 pages, 2250 KB  
Review
A Green Energy Closed-Loop System Based on Aluminum
by Hong-Wen Wang and Liang-Ying Huang
Energies 2026, 19(3), 853; https://doi.org/10.3390/en19030853 - 5 Feb 2026
Cited by 1 | Viewed by 1172
Abstract
This paper presents a focused review of a closed-loop system for sustainable hydrogen production utilizing the reaction between metallic aluminum powders and water, coupled with renewable energy-driven recycling of aluminum hydroxide (or alumina) byproducts back to metallic aluminum powders. A green energy closed-loop [...] Read more.
This paper presents a focused review of a closed-loop system for sustainable hydrogen production utilizing the reaction between metallic aluminum powders and water, coupled with renewable energy-driven recycling of aluminum hydroxide (or alumina) byproducts back to metallic aluminum powders. A green energy closed-loop system based on aluminum could be achieved if the converting process is accomplished by a green Hall–Héroult process, where a cermet inert anode was used. Meanwhile, the byproduct alumina is converted back to the liquid form of aluminum at high temperature (up to 960 °C), producing pure oxygen. A high-pressure atomization process is then used to break the aluminum droplets into powder using argon gas. The technical feasibility, thermodynamic efficiency, economic viability, environmental sustainability, and comparison of this green aluminum cycle with existing hydrogen production and energy storage technologies are discussed. The aluminum–water reaction offers exceptional energy density (29.7 kJ/g of Al), ambient temperature operation, and zero direct carbon emissions. However, commercial implementation faces substantial challenges including overall round-trip energy efficiency (estimated 34.5–46.6%), technological maturity of the recycling process, passivation layer management, and economic competitiveness with conventional water electrolysis. Despite these challenges, the system demonstrates advantages for seasonal energy storage, off-grid applications, and integration with intermittent renewable energy sources. This analysis provides a framework for researchers, engineers, and policymakers to assess the potential role of aluminum-based energy cycles in the global energy transition toward carbon neutrality. Full article
Show Figures

Figure 1

15 pages, 6451 KB  
Article
Full-Bridge Intermediate-Frequency Converter with Low Voltage and Current Stress on Auxiliary Switching Devices
by Shilong Gao, Wu Chen, Haixi Zhao and Chenyang Liu
Energies 2026, 19(3), 852; https://doi.org/10.3390/en19030852 - 5 Feb 2026
Viewed by 461
Abstract
The DC converter constitutes a pivotal component within medium-voltage direct current (MVDC) collection systems, performing functions such as voltage boosting, isolation, and power transmission. To accommodate the demand for high-capacity DC converters in MVDC collection systems for new energy sources, a full-bridge medium-frequency [...] Read more.
The DC converter constitutes a pivotal component within medium-voltage direct current (MVDC) collection systems, performing functions such as voltage boosting, isolation, and power transmission. To accommodate the demand for high-capacity DC converters in MVDC collection systems for new energy sources, a full-bridge medium-frequency converter featuring low voltage and current stress on auxiliary switching devices is proposed. Based on the principles of dual-transformer configuration and component sharing, this converter employs a half-bridge circuit and a full-bridge circuit sharing two switching devices. Utilizing mixed-frequency modulation, the full-bridge main circuit operates at medium frequency to transmit the majority of power, while the half-bridge auxiliary circuit regulates overall power and voltage through high-frequency chopping control. This achieves zero-current switching for the medium-frequency switching devices across the entire load range, significantly reducing switching losses in the converter. This paper details the converter’s operating principles and analyzes key parameter design methodologies. Finally, a 240–6000 V/7200 W prototype was constructed to validate the proposed converter’s performance. Full article
Show Figures

Figure 1

18 pages, 1605 KB  
Article
Energy as a Lingering Barrier: Identifying Persistent Challenges in China’s Carbon Reduction and Pollution Abatement via Explainable Machine Learning
by Yanrong Bao, Jianjia He, Junxiang Li and Shengxue He
Energies 2026, 19(3), 851; https://doi.org/10.3390/en19030851 - 5 Feb 2026
Viewed by 609
Abstract
Persistent energy system inertia continues to hinder China’s carbon reduction progress despite global decarbonization trends. This study develops an explainable machine learning framework to dissect energy-related emission drivers through 14 secondary indicators spanning energy structure, industrial dynamics, social factors, and economic factors. Leveraging [...] Read more.
Persistent energy system inertia continues to hinder China’s carbon reduction progress despite global decarbonization trends. This study develops an explainable machine learning framework to dissect energy-related emission drivers through 14 secondary indicators spanning energy structure, industrial dynamics, social factors, and economic factors. Leveraging panel data from 260 Chinese cities (2000–2023), we conduct comparative analysis of six ML models and identify XGBoost as optimal for capturing nonlinear emission patterns. SHAP value decomposition and feature importance reveals that total energy consumption and energy consumption intensity remain the dominant contributors to carbon and pollution emissions, while the secondary industry still emerges as a critical driver. Our research establishes an actionable framework to identify drivers of carbon mitigation and pollution reduction, analyze their mechanisms, and support policymakers in optimizing policy implementation amid energy transition. Full article
(This article belongs to the Special Issue Energy Security, Transition, and Sustainable Development)
Show Figures

Figure 1

12 pages, 4544 KB  
Article
Halogen Doping in Na3PS4 Solid Electrolytes for High Performance All-Solid-State Sodium Batteries
by Liang Miao, Linxi Cao, Yaxian Zhou, Wei Wang, Yiwa Luo and Shuqiang Jiao
Energies 2026, 19(3), 850; https://doi.org/10.3390/en19030850 - 5 Feb 2026
Viewed by 780
Abstract
Sulfide-based solid electrolytes are promising for all-solid-state sodium batteries due to their high ionic conductivity and facile processability, but their practical use is limited by moisture sensitivity and poor interfacial stability. To address these issues, Na3−xPS4−xMx (M = [...] Read more.
Sulfide-based solid electrolytes are promising for all-solid-state sodium batteries due to their high ionic conductivity and facile processability, but their practical use is limited by moisture sensitivity and poor interfacial stability. To address these issues, Na3−xPS4−xMx (M = F, Cl, Br, I) electrolytes were first synthesized as a preliminary study to evaluate the effect of halogen doping. Chlorine was identified as the most effective dopant and was therefore selected for a systematic investigation of doping concentration. Na3−xPS4−xClx (x = 0.1–0.3) electrolytes were prepared by solid-state sintering, and the optimum composition was determined to be Na2.85PS3.85Cl0.15, which achieved a high ionic conductivity of 5.5 × 10−4 S·cm−1 with a reduced activation energy of 33.3 kJ·mol−1. When employed in TiS2|Na2.85PS3.85Cl0.15|Na3Sn full cells, the optimized electrolyte enabled high initial capacity, excellent rate capability, and stable long-term cycling. These results highlight the effectiveness of Cl doping concentration control in enhancing both the intrinsic properties of Na3PS4-based electrolytes and the overall electrochemical performance of all-solid-state sodium batteries. Full article
Show Figures

Figure 1

20 pages, 13192 KB  
Article
Experimental and Numerical Investigation of Heat and Mass Transfer During Solar Drying of Corn Cobs in Flexible Bulk Containers
by Baydaulet Urmashev, Ardak Mustafayeva, Indira Daurenova, Roman Mamonov, Daulet Toibazar and Marat Khazimov
Energies 2026, 19(3), 849; https://doi.org/10.3390/en19030849 - 5 Feb 2026
Viewed by 491
Abstract
This paper presents a simulation of the heat exchange process in a solar dryer designed for corn cobs placed in flexible bulk containers (Big-Bag type). The distinctive feature of this drying system is the use of soft load-bearing containers, which simplify loading, unloading, [...] Read more.
This paper presents a simulation of the heat exchange process in a solar dryer designed for corn cobs placed in flexible bulk containers (Big-Bag type). The distinctive feature of this drying system is the use of soft load-bearing containers, which simplify loading, unloading, and transportation, while also reducing mechanical damage to the corn cobs. The bottom of each container is perforated to allow the free flow of heated drying agent into the chamber. The study aims to improve the efficiency of the solar drying process to reduce the moisture content of corn cobs below 15%, thereby ensuring the required quality during storage and transport. To validate the drying regimes and parameters, heat and mass transfer processes were simulated using numerical modeling and experimental design methods based on a laboratory-scale physical model of the drying chamber. Numerical simulations were performed using the Reynolds-averaged equations coupled with the heat conduction equation for three porosity coefficients: 0.35, 0.45, and 0.55. The models provided contours of temperature and humidity distribution within the confined boundaries of the drying chamber and individual corn cobs, positioned both vertically and horizontally within the airflow zone, for varying drying durations. The core novelty of this research is the development of an optimized framework for solar drying corn in flexible containers, which integrates numerical simulation with experimental validation to establish key efficient parameters. Specifically, the study provides the following: (1) a validated regression model linking moisture content to airflow rate, drying time, and layer thickness at 45 °C; and (2) a detailed analysis of thermo-hydraulic contours within both the chamber and individual cobs for different porosities, offering practical insights for system design and operation. Full article
Show Figures

Figure 1

18 pages, 5226 KB  
Article
Effect of Condenser Location and Geometry on Thermal Performance of a Vapor Chamber with Multiple Heat Sources
by Geonho Baek, Seo Yeon Kang, Hee Soo Myeong, Mingyu Kang and Seok Pil Jang
Energies 2026, 19(3), 848; https://doi.org/10.3390/en19030848 - 5 Feb 2026
Viewed by 430
Abstract
This paper theoretically and experimentally investigates the effect of condenser location and geometry on the thermal performance of a vapor chamber, as thermal management systems for electronic devices with multiple heat sources under non-uniform heat flux conditions. A weighting factor approach was applied [...] Read more.
This paper theoretically and experimentally investigates the effect of condenser location and geometry on the thermal performance of a vapor chamber, as thermal management systems for electronic devices with multiple heat sources under non-uniform heat flux conditions. A weighting factor approach was applied to represent the non-uniform heat input imposed on individual heat sources. The proposed theoretical model was validated through comparison with Lefèvre’s analytical results under the same conditions and experimental data obtained under different condenser locations. It was shown that the wall temperature distribution for the separated condenser configuration was lower than for the concentrated configuration. Using the validated model, the effects of condenser geometry on the temperature uniformity and maximum heat transfer rate of the vapor chamber were analyzed under the capillary limit condition by varying the condenser aspect ratio. The results show that higher aspect ratios improve temperature uniformity due to wider condenser coverage, whereas lower aspect ratios enhance the maximum heat transfer rate by reducing the liquid pressure drop between the evaporator and condenser. Specifically, the maximum heat transfer rate reaches 72.6 W at an aspect ratio of 2.5, which corresponds to a 13.3% increase compared to 64.1 W at an aspect ratio of 8.3. Full article
(This article belongs to the Special Issue Advances in Heat and Mass Transfer)
Show Figures

Figure 1

18 pages, 6534 KB  
Article
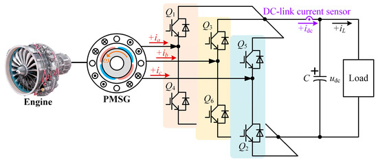
Phase Current Reconstruction of PMSG-Based Three-Phase PWM Rectifiers Using Linear Extended State Observer
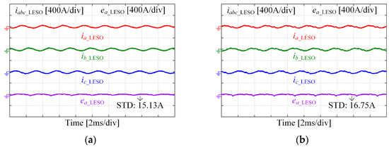
by Pengcheng Zhu, Sergio Vazquez, Eduardo Galvan, Ruifang Zhang, Juan M. Carrasco, Leopoldo G. Franquelo, Yongxiang Xu and Jiming Zou
Energies 2026, 19(3), 847; https://doi.org/10.3390/en19030847 - 5 Feb 2026
Viewed by 489
Abstract
As a core power supply component of the more electric aircraft (MEA), the reliability of the permanent magnet synchronous generator (PMSG) is of paramount importance. Phase current reconstruction technology can enhance the redundancy of current sensors, thereby improving system reliability. However, owing to [...] Read more.
As a core power supply component of the more electric aircraft (MEA), the reliability of the permanent magnet synchronous generator (PMSG) is of paramount importance. Phase current reconstruction technology can enhance the redundancy of current sensors, thereby improving system reliability. However, owing to the generally high engine speeds in MEAs, the employment of traditional d-axis current–zero control not only induces DC-link voltage fluctuations but also leads to inaccurate DC-link sampling points and distortion in the reconstructed current. In this paper, a lead-angle flux-weakening control strategy is introduced into the PMSG rectification system. This approach guarantees the normal operation of the current loop when the rotational speed exceeds the rated speed of the PMSG, ensuring the accuracy of the sampling points for phase current reconstruction. To further enhance the reconstruction accuracy, a phase current reconstruction technology based on a linear extended state observer (LESO) is proposed. The LESO not only filters the reconstructed current but also ensures that the observer performance remains robust against PMSG parameter perturbations. Finally, the effectiveness of the proposed method is validated through Hardware-in-the-Loop results. Full article
(This article belongs to the Special Issue Power Electronics Technologies for Aerospace Applications)
Show Figures

Figure 1

28 pages, 4490 KB  
Article
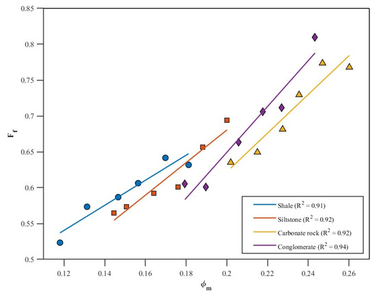
Controlling Effect of Seepage Channels in Tight Reservoirs on Fluid Flow Capacity Based on Pore–Throat Network Numerical Simulation and Fluid Injection Experiments
by Zhenglian Yuan, Xianglu Tang, Zhenxue Jiang, Shu Jiang, Ze Li, Shitan Ning, Xiaolong Yan and Caihua Lin
Energies 2026, 19(3), 846; https://doi.org/10.3390/en19030846 - 5 Feb 2026
Viewed by 533
Abstract
Micron-scale pores and their connecting throats govern fluid transport in tight reservoirs, yet seepage channel differences among lithologies remain poorly quantified. This study uses scanning electron microscopy (SEM) images of shale, siltstone, carbonate rock, and conglomerate to extract pore–throat networks and simulate fluid [...] Read more.
Micron-scale pores and their connecting throats govern fluid transport in tight reservoirs, yet seepage channel differences among lithologies remain poorly quantified. This study uses scanning electron microscopy (SEM) images of shale, siltstone, carbonate rock, and conglomerate to extract pore–throat networks and simulate fluid invasion under different minimum throat radii. Flow capacity is quantified by the fluid-accessible pore volume fraction and validated with constant-rate mercury injection (CRMI) and nuclear magnetic resonance (NMR). Shale and siltstone are dominated by fine throats, with a mean throat radius of about 0.2 μm, and contain abundant narrow pathways that are difficult to connect. As the minimum throat radius increases from 0.05 μm to 1.00 μm, the accessible pore volume fraction decreases from about 0.9 to about 0.6, indicating strong sensitivity to throat size. Carbonate rock and conglomerate show larger throats, with a mean radius of about 0.35 to 0.45 μm, and a better-developed connected framework. Under the same conditions, the fluid flow capacity index (Ff) remains relatively stable from about 0.95 to 0.75. Based on these responses, two structure flow control types are proposed: a geometric homogeneity-dominated type for shale and siltstone, and a connectivity-dominated type for carbonate rock and conglomerate. These results quantitatively link microstructural attributes to flow capacity, supporting tight reservoir evaluation and differentiated stimulation strategies. Full article
(This article belongs to the Section H: Geo-Energy)
Show Figures

Figure 1

16 pages, 3059 KB  
Article
Comparative Evaluation of YOLO- and Transformer-Based Models for Photovoltaic Fault Detection Using Thermal Imagery
by Mahdi Shamisavi, Isaac Segovia Ramirez and Carlos Quiterio Gómez Muñoz
Energies 2026, 19(3), 845; https://doi.org/10.3390/en19030845 - 5 Feb 2026
Viewed by 982
Abstract
Photovoltaic systems represent one of the most reliable and widely used technologies for electricity generation from renewable energy sources, although their performance is affected by the occurrence of faults and defects that lead to energy losses and efficiency reduction. Therefore, detecting and localizing [...] Read more.
Photovoltaic systems represent one of the most reliable and widely used technologies for electricity generation from renewable energy sources, although their performance is affected by the occurrence of faults and defects that lead to energy losses and efficiency reduction. Therefore, detecting and localizing defects in photovoltaic panels is essential. A wide variety of image analysis techniques based on aerial thermal imagery acquired by drones have been widely implemented for proper maintenance operations, requiring a comprehensive comparison among these approaches to assess their relative performance and suitability for different scenarios. This study presents a comparative evaluation of several vision-based approaches using artificial intelligence for photovoltaic defect detection. YOLO- and Transformer-based models are analyzed and benchmarked in terms of accuracy, inference time, per-class performance, and sensitivity to object size. Experimental results demonstrate that both YOLO- and Transformer-based models are computationally lightweight and suitable for real-time implementation. However, Transformer-based architectures exhibit higher detection accuracy and stronger generalization capabilities, while YOLOv5 achieves superior inference speed. The RF-DETR-Small model provides the best balance between accuracy, computational efficiency, and robustness across different defect types and object scales. These findings highlight the potential of Transformer-based vision models as a highly effective alternative for real-time, on-site photovoltaic fault detection and predictive maintenance applications. Full article
(This article belongs to the Special Issue Renewable Energy System Forecasting and Maintenance Management)
Show Figures

Figure 1

27 pages, 5197 KB  
Article
Dynamic TRM Estimation with Load–Wind Uncertainty Using Rolling Window Statistical Analysis for Improved ATC
by Uchenna Emmanuel Edeh, Tek Tjing Lie and Md Apel Mahmud
Energies 2026, 19(3), 844; https://doi.org/10.3390/en19030844 - 5 Feb 2026
Cited by 1 | Viewed by 975
Abstract
The rapid integration of renewable energy sources (RES), particularly wind, together with fluctuating demand, has introduced significant uncertainty into power system operation, challenging traditional approaches for estimating Transmission Reliability Margin (TRM) and Available Transfer Capability (ATC). This paper proposes a fully adaptive TRM [...] Read more.
The rapid integration of renewable energy sources (RES), particularly wind, together with fluctuating demand, has introduced significant uncertainty into power system operation, challenging traditional approaches for estimating Transmission Reliability Margin (TRM) and Available Transfer Capability (ATC). This paper proposes a fully adaptive TRM estimation framework that leverages rolling-window statistical analysis of net-load forecast errors to capture real-time uncertainty fluctuations. By continuously updating both the confidence factor and window length based on evolving forecast-error statistics, the method adapts to changing grid conditions. The framework is validated on the IEEE 30-bus system with 80 MW wind (42.3% penetration) and assessed for scalability on the IEEE 118-bus system (40.1% wind penetration). Comparative analysis against static TRM, fixed-confidence rolling-window, and Monte Carlo Simulation (MCS)-based methods shows that the proposed approach achieves 88.0% reliability coverage (vs. 81.8% for static TRM) while providing enhanced transfer capability for 31.5% of the operational day (7.5 h). Relative to MCS, it yields a 20.1% lower mean TRM and a 2.5% higher mean ATC, with an adaptation ratio of 18.8:1. Scalability assessment confirms preserved adaptation (12.4:1) with sub-linear computational scaling (1.82 ms to 3.61 ms for a 3.93× network size increase), enabling 1 min updates interval. Full article
(This article belongs to the Special Issue Renewable Energy System Technologies: 3rd Edition)
Show Figures

Figure 1

37 pages, 16295 KB  
Article
Broadband Stability Enhancement Method for Grid-Forming Converters Based on Frequency-Segmented Impedance Reshaping
by Hangyu Sun, Wenfeng Li, Huadong Sun, Dongping Ai, Hui Wang, Yi Du and Lin Yu
Energies 2026, 19(3), 843; https://doi.org/10.3390/en19030843 - 5 Feb 2026
Viewed by 506
Abstract
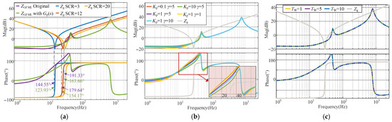
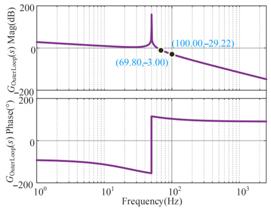
Grid-forming (GFM) converters are critical supporting equipment for power systems with high penetration of renewable energy. However, their complex interactions with the grid can lead to broadband instability, posing a serious threat to system security and stable operation. This paper proposes a frequency-segmented [...] Read more.
Grid-forming (GFM) converters are critical supporting equipment for power systems with high penetration of renewable energy. However, their complex interactions with the grid can lead to broadband instability, posing a serious threat to system security and stable operation. This paper proposes a frequency-segmented impedance reshaping method with grid-strength adaptation. First, frequency-segmented impedance models are established to reveal the stability problems. Subsequently, an outer-loop low-frequency stabilizer based on frequency feedback damping is designed to reshape the positive damping characteristics in the low-frequency band, and an inner-loop high-frequency stabilizer based on point-of-common-coupling voltage feedforward is designed to reduce the impedance magnitude in the high-frequency band. Finally, an adaptive gain-scheduling mechanism incorporating a real-time short-circuit ratio (RSCR) index is introduced to dynamically adjust key parameters in response to grid strength variations. Frequency-domain and time-domain analysis demonstrate that the proposed method effectively enhances the broadband damping capability of the converter, providing a systematic design approach and a practical engineering solution to address broadband stability issues in GFM converters. Full article
(This article belongs to the Section F: Electrical Engineering)
Show Figures

Figure 1

23 pages, 4063 KB  
Article
Stackelberg Game-Based Two-Stage Operation Optimization Strategy for a Virtual Power Plant: A Case Study
by Hongbo Zou, Boyu Xue, Fushuan Wen, Yuhong Luo and Jiehao Chen
Energies 2026, 19(3), 842; https://doi.org/10.3390/en19030842 - 5 Feb 2026
Viewed by 780
Abstract
With the rapid development of renewable energy technologies, numerous distributed energy resources (DERs) have been integrated into power systems. How to fully exploit renewable energy while maintaining the stable operation of power systems remains an urgent challenge. Furthermore, the diversity of DERs’ ownership [...] Read more.
With the rapid development of renewable energy technologies, numerous distributed energy resources (DERs) have been integrated into power systems. How to fully exploit renewable energy while maintaining the stable operation of power systems remains an urgent challenge. Furthermore, the diversity of DERs’ ownership requires scheduling approaches that account for the distinct interests and characteristics of multiple stakeholders. To address these challenges, this study introduces a two-stage operational optimization framework for the virtual power plant (VPP), which is grounded in a Stackelberg game model. This strategy innovatively combines two conventional control methods: the day-ahead stage employs direct control for global pre-scheduling, leveraging its cost optimization capability; the intraday stage utilizes dynamic pricing to guide prosumers, tapping into DERs’ flexibility while accommodating their individual energy usage preferences. The Stackelberg game is resolved through a tiered solution methodology employing particle swarm optimization (PSO). To enhance solution efficiency, a Kriging surrogate model is introduced to replace the prosumers’ models, significantly reducing the computational burden of the PSO. Case studies demonstrate that the proposed strategy can balance operating costs and energy usage preferences, and the proposed solution approach can significantly enhance solution efficiency. Full article
(This article belongs to the Section F1: Electrical Power System)
Show Figures

Figure 1

15 pages, 5344 KB  
Article
Research on Transport AC Loss Characteristics of Bent Conductor on Round Core Cable
by Yuxuan Chen, Zhixing Yang, Shijie Zhai, Wenxin Huang, Yufei Ouyang, Xuanqi Zhong and Jie Sheng
Energies 2026, 19(3), 841; https://doi.org/10.3390/en19030841 - 5 Feb 2026
Cited by 1 | Viewed by 528 | Correction
Abstract
High-temperature superconducting (HTS) conductor on round core (CORC) cables possess the combined features of high current-carrying capacity, strong mechanical properties, and excellent isotropic flexibility. The current relative research on the electromagnetic properties of straight CORC cables has been exceedingly mature. In high-field magnets, [...] Read more.
High-temperature superconducting (HTS) conductor on round core (CORC) cables possess the combined features of high current-carrying capacity, strong mechanical properties, and excellent isotropic flexibility. The current relative research on the electromagnetic properties of straight CORC cables has been exceedingly mature. In high-field magnets, CORC cables are typically bent into coils to meet the compactness requirement. Evaluating the bending characteristics of CORC cables, particularly their post-bending electromagnetic properties, holds great scientific significance. In this paper, CORC cables with different sizes of central formers were fabricated to explore the impacts of the bending process and strain on their transport AC loss characteristics. A mapping method was proposed to couple mechanical and electromagnetic models. Results show that the cable sample with a 4 mm outer diameter of the central former exhibits a superior bending characteristic. The bending process on the transport AC loss of CORC cable lies in the redistribution of the magnetic field, while strain mainly affects AC loss by leading to local critical current (Ic) degradation. CORC cables with small bending diameters require electromagnetic–mechanical-coupling simulation to predict their electromagnetic characteristics accurately. Conclusions drawn from this paper will provide invaluable guidance for the fabrication of bent CORC cables. Full article
Show Figures

Figure 1

19 pages, 2536 KB  
Article
A Numerical Investigation of Fault Slip Induced by Injection–Production Operations in Oilfields
by Xianbao Zheng, Xueyan Jiang, Lihong Zhu, Jiyuan Lu, Lu Qiao, Tingting Gao, Tingting Zhang, Zichen Gu, Tianyu Chen and Xiaoyu Zhang
Energies 2026, 19(3), 840; https://doi.org/10.3390/en19030840 - 5 Feb 2026
Cited by 1 | Viewed by 568
Abstract
During oilfield injection and production operations, fluid injection and withdrawal can significantly alter the stress state around faults, potentially triggering fault reactivation and even seismic events, which has become a focal issue in both industry and academia. In this study, based on fluid–solid [...] Read more.
During oilfield injection and production operations, fluid injection and withdrawal can significantly alter the stress state around faults, potentially triggering fault reactivation and even seismic events, which has become a focal issue in both industry and academia. In this study, based on fluid–solid coupling theory and the rate-and-state friction constitutive model, a mechanical framework was developed to evaluate fault shear slip behavior induced by injection–production activities. Numerical simulations were conducted using COMSOL Multiphysics to systematically investigate the effects of injection–production rate, operational schemes, well placement, reservoir permeability, and fault dip angle on fault stability. The results indicate that higher injection–production rates, non-steady operational schemes, injection wells located closer to faults, production wells farther from faults, lower fault core permeability, and larger fault dip angles can significantly enhance fluid pressure buildup and effective stress variations within the fault core zone. These processes lead to pronounced increases in Coulomb Failure Stress (CFS) and reductions in critical stiffness, thereby elevating the risk of fault instability and slip. Overall, the findings suggest that optimizing injection–production parameters and well placement can effectively mitigate the likelihood of fault reactivation. This study provides theoretical insights into the mechanisms of injection–production-induced fault slip and offers valuable references for safe oilfield operations and seismic risk assessment. Full article
Show Figures

Figure 1

35 pages, 5239 KB  
Article
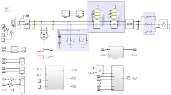
Influence of Inherent Circuit Parameters of MVDC Grid Components During Short-Circuit Faults in Ship Power Systems
by Saravanakumar Arumugam, Dheeraj Gosala, Chathura Wanigasekara, Eugene Ndoh and Sören Ehlers
Energies 2026, 19(3), 839; https://doi.org/10.3390/en19030839 - 5 Feb 2026
Viewed by 482
Abstract
Implementing medium-voltage DC (MVDC) grids in ship power systems has many intricacies, such as larger fault currents, the inability to include conventional protection systems, etc.; however, this has not been deeply investigated. To circumvent these intricacies, it is important to understand the characteristics [...] Read more.
Implementing medium-voltage DC (MVDC) grids in ship power systems has many intricacies, such as larger fault currents, the inability to include conventional protection systems, etc.; however, this has not been deeply investigated. To circumvent these intricacies, it is important to understand the characteristics of MVDC grids installed in a ship power system environment. A feasible method to achieve this is to model the grid components in terms of their equivalent circuit and study their typical behaviour under fault conditions. Being a DC circuit, the steady-state grid parameters of the ship power system are predominantly resistive in nature; therefore, the pertinent circuit model approach remains theoretically adequate. Pertinent results and information gathered from such studies might provide a clear insight into the typical behaviour of MVDC grids under faults and help to resolve their diagnostic integrity. In this context, a simulation study that aims to understand the influence of inherent circuit parameters of MVDC grid components under normal and fault conditions is initiated. First, a circuit model that adequately represents a 2 MW MVDC grid is selected, and its transient and steady-state behaviours under normal and fault conditions are studied. The grid components (i.e., generator, converters, etc.) are modelled with r, l, and c parameters in such a way that the steady-state and transient nature of the grid elements are theoretically represented. Later, the influence of these circuit representations during short-circuit faults in different sections of the DC grid is studied. Pertinent results reveal that the circuit representations of grid components manifest significant impact under fault conditions and induce damped-out oscillations superimposed on grid voltage and currents. This information is essential to developing smart fault protection systems operating independently of the main grid control algorithm and might help to enhance safety features along with grid resilience and reliability. Full article
(This article belongs to the Section F2: Distributed Energy System)
Show Figures

Figure 1

20 pages, 2690 KB  
Article
Combining State-Based Clustering and Dynamic Time Warping for the Analysis of Photovoltaic–Building Energy Interactions
by Arkadiusz Małek, Jacek Caban, Ján Vrábel and Andrzej Marciniak
Energies 2026, 19(3), 838; https://doi.org/10.3390/en19030838 - 5 Feb 2026
Cited by 1 | Viewed by 626
Abstract
This paper investigates the dynamic interaction between photovoltaic (PV) generation and building electricity demand with a focus on temporal alignment. A combined framework integrating state-based clustering and Dynamic Time Warping (DTW) is proposed to jointly analyze instantaneous operating states and time-dependent profile similarity. [...] Read more.
This paper investigates the dynamic interaction between photovoltaic (PV) generation and building electricity demand with a focus on temporal alignment. A combined framework integrating state-based clustering and Dynamic Time Warping (DTW) is proposed to jointly analyze instantaneous operating states and time-dependent profile similarity. High-resolution (15 min) data from a 50 kWp building-integrated PV system supplying an administrative university building were analyzed for March 2025. Unsupervised k-means clustering was applied in the production–consumption state space to identify typical operating regimes, while DTW was used to compare daily PV generation and load profiles accounting for temporal shifts. The results show that days classified as similar based on instantaneous energy states may exhibit substantially different temporal structures that remain invisible in state-based analyses. To assess the practical relevance of temporal similarity, DTW distances were related to daily energy performance indicators. No significant relationship was observed between DTW distance and the self-consumption ratio under high-load conditions; however, a strong and statistically significant correlation (Pearson r = −0.60, p < 0.001; Spearman ρ = −0.53, p < 0.01) was found between DTW distance and a temporal overlap index quantifying the fraction of building load occurring during the PV-active period. The authors demonstrate that the applied DTW algorithm identifies temporal mismatches that have a measurable impact on energy metrics directly linked to load–generation coincidence. These findings confirm that temporal alignment constitutes an independent and operationally meaningful dimension of PV–building energy interaction that cannot be fully captured by state-based or energy-aggregated indicators alone. Full article
(This article belongs to the Special Issue Solar Energy Conversion and Storage Technologies)
Show Figures

Figure 1

Previous Issue
Back to TopTop